Dry Reforming of Methane over Li-Doped Ni/TiO2 Catalysts: Effect of Support Basicity
Abstract
1. Introduction
2. Results and Discussion
2.1. Phase Analysis of Calcined Catalysts
2.2. Morphology Analysis Using Scanning Electron Microscopy
2.3. Temperature-Programmed Reduction
2.4. DRIFTS Analysis
2.5. Particle Size and Textural Properties
2.6. Raman Spectroscopy of Calcined Catalysts
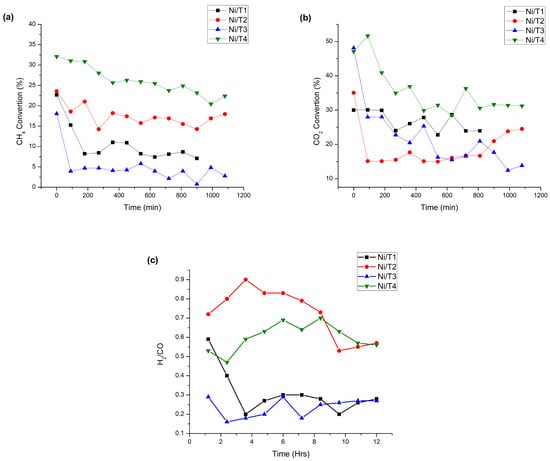
2.7. Catalytic Activity
2.8. Spent Catalyst Characterization
3. Materials & Methods
3.1. Support and Catalyst Preparation
3.2. Characterization
3.3. Activity Test in Dry Reforming of Methane
4. Conclusions
Author Contributions
Funding
Institutional Review Board Statement
Informed Consent Statement
Data Availability Statement
Acknowledgments
Conflicts of Interest
References
- Knutson, T.R.; Tuleya, R.E. Impact of CO2-Induced Warming on Simulated Hurricane Intensity and Precipitation: Sensitivity to the Choice of Climate Model and Convective Parameterization. J. Clim. 2004, 17, 3477–3495. [Google Scholar] [CrossRef]
- Notz, D.; Stroeve, J. Observed Arctic sea-ice loss directly follows anthropogenic CO2 emission. Science 2016, 354, 747–750. [Google Scholar] [CrossRef] [PubMed]
- News, C.L.U. 2021 Year in Review: Climate Action, or Blah, Blah, Blah? Available online: https://news.un.org/en/story/2021/12/1108822 (accessed on 5 May 2023).
- Bennett, J.A.; Wilson, K.; Lee, A.F. Catalytic applications of waste derived materials. J. Mater. Chem. A 2016, 4, 3617–3637. [Google Scholar] [CrossRef]
- Arora, S.; Prasad, R. An overview on dry reforming of methane: Strategies to reduce carbonaceous deactivation of catalysts. RSC Adv. 2016, 6, 108668–108688. [Google Scholar] [CrossRef]
- Németh, M.; Schay, Z.; Srankó, D.; Károlyi, J.; Sáfrán, G.; Sajó, I.; Horváth, A. Impregnated Ni/ZrO2 and Pt/ZrO2 catalysts in dry reforming of methane: Activity tests in excess methane and mechanistic studies with labeled 13CO2. Appl. Catal. A Gen. 2015, 504, 608–620. [Google Scholar] [CrossRef]
- Roine, A. HSC 6.0 Chemistry. Chemical Reactions and Equilibrium Software with Extensive Thermochemical Database and Flowsheet Simulation; Outokumpu Research Oy: Pori, Finland, 2006. [Google Scholar]
- Osaki, T.; Mori, T. Role of Potassium in Carbon-Free CO2 Reforming of Methane on K-Promoted Ni/Al2O3 Catalysts. J. Catal. 2001, 204, 89–97. [Google Scholar] [CrossRef]
- Arena, F.; Frusteri, F.; Parmaliana, A. Alkali promotion of Ni/MgO catalysts. Appl. Catal. A Gen. 1999, 187, 127–140. [Google Scholar] [CrossRef]
- Alipour, Z.; Rezaei, M.; Meshkani, F. Effect of alkaline earth promoters (MgO, CaO, and BaO) on the activity and coke formation of Ni catalysts supported on nanocrystalline Al2O3 in dry reforming of methane. J. Ind. Eng. Chem. 2014, 20, 2858–2863. [Google Scholar] [CrossRef]
- Tsipouriari, V.A.; Verykios, X.E. Kinetic study of the catalytic reforming of methane with carbon dioxide to synthesis gas over Ni/La2O3 catalyst. Catal. Today 2001, 64, 83–90. [Google Scholar] [CrossRef]
- Verykios, X.E. Catalytic dry reforming of natural gas for the production of chemicals and hydrogen. Int. J. Hydrogen Energy 2003, 28, 1045–1063. [Google Scholar] [CrossRef]
- García, V.; Fernández, J.J.; Ruíz, W.; Mondragón, F.; Moreno, A. Effect of MgO addition on the basicity of Ni/ZrO2 and on its catalytic activity in carbon dioxide reforming of methane. Catal. Commun. 2009, 11, 240–246. [Google Scholar] [CrossRef]
- Lemonidou, A.A.; Vasalos, I.A. Carbon dioxide reforming of methane over 5 wt.% Ni/CaO-Al2O3 catalyst. Appl. Catal. A Gen. 2002, 228, 227–235. [Google Scholar] [CrossRef]
- Xu, L.; Song, H.; Chou, L. Carbon dioxide reforming of methane over ordered mesoporous NiO–MgO–Al2O3 composite oxides. Appl. Catal. B Environ. 2011, 108–109, 177–190. [Google Scholar] [CrossRef]
- Seo, H.O. Recent Scientific Progress on Developing Supported Ni Catalysts for Dry (CO2) Reforming of Methane. Catalysts 2018, 8, 110. [Google Scholar] [CrossRef]
- Liu, S.; Guan, L.; Li, J.; Zhao, N.; Wei, W.; Sun, Y. CO2 reforming of CH4 over stabilized mesoporous Ni–CaO–ZrO2 composites. Fuel 2008, 87, 2477–2481. [Google Scholar] [CrossRef]
- Martra, G. Lewis acid and base sites at the surface of microcrystalline TiO2 anatase: Relationships between surface morphology and chemical behaviour. Appl. Catal. A Gen. 2000, 200, 275–285. [Google Scholar] [CrossRef]
- Aziz, M.A.A.; Jalil, A.A.; Wongsakulphasatch, S.; Vo, D.-V.N. Understanding the role of surface basic sites of catalysts in CO2 activation in dry reforming of methane: A short review. Catal. Sci. Technol. 2020, 10, 35–45. [Google Scholar] [CrossRef]
- Metiu, H.; Chrétien, S.; Hu, Z.; Li, B.; Sun, X. Chemistry of Lewis Acid–Base Pairs on Oxide Surfaces. J. Phys. Chem. C 2012, 116, 10439–10450. [Google Scholar] [CrossRef]
- Arenas-Hernandez, A.; Zuñiga Islas, C.; Moreno, M.; Calleja Arriaga, W.; Mendoza-Cervantes, J.C.; Carlos, N.; Ascencio-Hurtado, C.R.; Heredia Jiménez, A. Study of Oxygen Vacancies in TiO2 Nanostructures and Their Relationship with Photocatalytic Activity. Appl. Sci. 2022, 12, 3690. [Google Scholar] [CrossRef]
- Cho, E.; Han, S.; Ahn, H.-S.; Lee, K.-R.; Kim, S.K.; Hwang, C.S. First-principles study of point defects in rutile TiO2−x. Phys. Rev. B 2006, 73, 193202. [Google Scholar] [CrossRef]
- Cheng, H.; Selloni, A. Surface and subsurface oxygen vacancies in anatase TiO2 and differences with rutile. Phys. Rev. B 2009, 79, 092101. [Google Scholar] [CrossRef]
- Guo, L.; Fei, C.; Zhang, R.; Li, B.; Shen, T.; Tian, J.; Cao, G. Impact of sol aging on TiO2 compact layer and photovoltaic performance of perovskite solar cell. Sci. China Mater. 2016, 59, 710–718. [Google Scholar] [CrossRef]
- Henkel, B.; Neubert, T.; Zabel, S.; Lamprecht, C.; Selhuber-Unkel, C.; Rätzke, K.; Strunskus, T.; Vergöhl, M.; Faupel, F. Photocatalytic properties of titania thin films prepared by sputtering versus evaporation and aging of induced oxygen vacancy defects. Appl. Catal. B Environ. 2016, 180, 362–371. [Google Scholar] [CrossRef]
- Hu, D.; Liu, C.; Li, L.; Lv, K.-L.; Zhang, Y.-H.; Li, J.-L. Carbon dioxide reforming of methane over nickel catalysts supported on TiO2(001) nanosheets. Int. J. Hydrogen Energy 2018, 43, 21345–21354. [Google Scholar] [CrossRef]
- Nagaoka, K.; Takanabe, K.; Aika, K.-I. Modification of Co/TiO2 for dry reforming of methane at 2MPa by Pt, Ru or Ni. Appl. Catal. A Gen. 2004, 268, 151–158. [Google Scholar] [CrossRef]
- Li, X.; Li, D.; Tian, H.; Zeng, L.; Zhao, Z.-J.; Gong, J. Dry reforming of methane over Ni/La2O3 nanorod catalysts with stabilized Ni nanoparticles. Appl. Catal. B Environ. 2017, 202, 683–694. [Google Scholar] [CrossRef]
- Aldana, P.A.U.; Ocampo, F.; Kobl, K.; Louis, B.; Thibault-Starzyk, F.; Daturi, M.; Bazin, P.; Thomas, S.; Roger, A.C. Catalytic CO2 valorization into CH4 on Ni-based ceria-zirconia. Reaction mechanism by operando IR spectroscopy. Catal. Today 2013, 215, 201–207. [Google Scholar] [CrossRef]
- Vázquez-López, A.; Cremades, A.; Maestre, D. Temperature-dependent photoluminescence of anatase Li-doped TiO2 nanoparticles. Opt. Mater. Express 2022, 12, 3090–3100. [Google Scholar] [CrossRef]
- Liang, Y.; Su, K.; Cao, L.; Li, Z. Lithium doped TiO2 as catalysts for the transesterification of bisphenol-A with dimethyl carbonate. Mol. Catal. 2019, 465, 16–23. [Google Scholar] [CrossRef]
- Lauron-Pernot, H. Evaluation of Surface Acido-Basic Properties of Inorganic-Based Solids by Model Catalytic Alcohol Reaction Networks. Catal. Rev. 2006, 48, 315–361. [Google Scholar] [CrossRef]
- Petitjean, H.; Guesmi, H.; Lauron-Pernot, H.; Costentin, G.; Loffreda, D.; Sautet, P.; Delbecq, F. How Surface Hydroxyls Enhance MgO Reactivity in Basic Catalysis: The Case of Methylbutynol Conversion. ACS Catal. 2014, 4, 4004–4014. [Google Scholar] [CrossRef]
- Bailly, M.-L.; Chizallet, C.; Costentin, G.; Krafft, J.-M.; Lauron-Pernot, H.; Che, M. A spectroscopy and catalysis study of the nature of active sites of MgO catalysts: Thermodynamic Brønsted basicity versus reactivity of basic sites. J. Catal. 2005, 235, 413–422. [Google Scholar] [CrossRef]
- Nichele, V.; Signoretto, M.; Menegazzo, F.; Rossetti, I.; Cruciani, G. Hydrogen production by ethanol steam reforming: Effect of the synthesis parameters on the activity of Ni/TiO2 catalysts. Int. J. Hydrogen Energy 2014, 39, 4252–4258. [Google Scholar] [CrossRef]
- Barroso-Quiroga, M.M.; Castro-Luna, A.E. Catalytic activity and effect of modifiers on Ni-based catalysts for the dry reforming of methane. Int. J. Hydrogen Energy 2010, 35, 6052–6056. [Google Scholar] [CrossRef]
- Lázaro, M.J.; Echegoyen, Y.; Alegre, C.; Suelves, I.; Moliner, R.; Palacios, J.M. TiO2 as textural promoter on high loaded Ni catalysts for methane decomposition. Int. J. Hydrogen Energy 2008, 33, 3320–3329. [Google Scholar] [CrossRef]
- Richardson, J.T.; Turk, B.; Lei, M.; Forster, K.; Twigg, M.V. Effects of promoter oxides on the reduction of nickel oxide. Appl. Catal. A Gen. 1992, 83, 87–101. [Google Scholar] [CrossRef]
- Fouad, N.E.; Thomasson, P.; Knözinger, H. IR study of adsorption and reaction of methylbutynol on the surface of pure and modified MgO catalysts: Probing the catalyst surface basicity. Appl. Catal. A Gen. 2000, 194–195, 213–225. [Google Scholar] [CrossRef]
- Schweicher, J.; Bundhoo, A.; Frennet, A.; Kruse, N.; Daly, H.; Meunier, F.C. DRIFTS/MS Studies during Chemical Transients and SSITKA of the CO/H2 Reaction over Co-MgO Catalysts. J. Phys. Chem. C 2010, 114, 2248–2255. [Google Scholar] [CrossRef]
- Solymosi, F.; Zakar, T.S. FT-IR study on the interaction of CO2 with H2 and hydrocarbons over supported Re. J. Mol. Catal. A Chem. 2005, 235, 260–266. [Google Scholar] [CrossRef]
- Štengl, V.; Bakardjieva, S.; Grygar, T.M.; Bludská, J.; Kormunda, M. TiO2-graphene oxide nanocomposite as advanced photocatalytic materials. Chem. Cent. J. 2013, 7, 41. [Google Scholar] [CrossRef]
- Wypych, A.; Bobowska, I.; Tracz, M.; Opasinska, A.; Kadlubowski, S.; Krzywania-Kaliszewska, A.; Grobelny, J.; Wojciechowski, P. Dielectric Properties and Characterisation of Titanium Dioxide Obtained by Different Chemistry Methods. J. Nanomater. 2014, 2014, 124814. [Google Scholar] [CrossRef]
- Ruiz-Preciado, M.A.; Kassiba, A.; Gibaud, A.; Morales-Acevedo, A. Comparison of nickel titanate (NiTiO3) powders synthesized by sol–gel and solid state reaction. Mater. Sci. Semicond. Process. 2015, 37, 171–178. [Google Scholar] [CrossRef]
- Shinde, V.M.; Madras, G. Catalytic performance of highly dispersed Ni/TiO2 for dry and steam reforming of methane. RSC Adv. 2014, 4, 4817–4826. [Google Scholar] [CrossRef]
- Kim, D.H.; Kim, S.Y.; Han, S.W.; Cho, Y.K.; Jeong, M.-G.; Park, E.J.; Kim, Y.D. The catalytic stability of TiO2-shell/Ni-core catalysts for CO2 reforming of CH4. Appl. Catal. A Gen. 2015, 495, 184–191. [Google Scholar] [CrossRef]
- Pompeo, F.; Nichio, N.N.; González, M.G.; Montes, M. Characterization of Ni/SiO2 and Ni/Li-SiO2 catalysts for methane dry reforming. Catal. Today 2005, 107–108, 856–862. [Google Scholar] [CrossRef]
- Etim, U.J.; Zhang, C.; Zhong, Z. Impacts of the Catalyst Structures on CO2 Activation on Catalyst Surfaces. Nanomaterials 2021, 11, 3265. [Google Scholar] [CrossRef]
- Singh, R.; Tripathi, K.; Pant, K.K. Investigating the role of oxygen vacancies and basic site density in tuning methanol selectivity over Cu/CeO2 catalyst during CO2 hydrogenation. Fuel 2021, 303, 121289. [Google Scholar] [CrossRef]
- Chagas, L.H.; Zonetti, P.C.; Matheus, C.R.V.; Rabello, C.R.K.; Alves, O.C.; Appel, L.G. The Role of the Oxygen Vacancies in the Synthesis of 1, 3-Butadiene from Ethanol. ChemCatChem 2019, 11, 5625–5632. [Google Scholar] [CrossRef]
- Gao, X.; Lin, W.; Ge, Z.; Ge, H.; Kawi, S. Modification Strategies of Ni-Based Catalysts with Metal Oxides for Dry Reforming of Methane. Methane 2022, 1, 139–157. [Google Scholar] [CrossRef]
- He, Z.; Wang, X. Renewable energy and fuel production over transition metal oxides: The role of oxygen defects and acidity. Catal. Today 2015, 240, 220–228. [Google Scholar] [CrossRef]
- He, Z.; Yang, M.; Wang, X.; Zhao, Z.; Duan, A. Effect of the transition metal oxide supports on hydrogen production from bio-ethanol reforming. Catal. Today 2012, 194, 2–8. [Google Scholar] [CrossRef]
- Rajabi, Z.; Martinelli, M.; Watson, C.D.; Cronauer, D.C.; Jeremy Kropf, A.; Jacobs, G. Lithium promotion of Pt/m-ZrO2 catalysts for low temperature water-gas shift. Int. J. Hydrogen Energy 2022, 47, 30872–30895. [Google Scholar] [CrossRef]
- Rajabi, Z.; Martinelli, M.; Upton, G.F.; Watson, C.D.; Cronauer, D.C.; Jeremy Kropf, A.; Jacobs, G. Low temperature ethanol steam reforming: Selectivity control with lithium doping of Pt/m-ZrO2. Catal. Today 2022, 402, 335–349. [Google Scholar] [CrossRef]
- Xie, W.; Yang, Z.; Chun, H. Catalytic Properties of Lithium-Doped ZnO Catalysts Used for Biodiesel Preparations. Ind. Eng. Chem. Res. 2007, 46, 7942–7949. [Google Scholar] [CrossRef]
- Do, J.Y.; Park, N.-K.; Seo, M.W.; Lee, D.; Ryu, H.-J.; Kang, M. Effective thermocatalytic carbon dioxide methanation on Ca-inserted NiTiO3 perovskite. Fuel 2020, 271, 117624. [Google Scholar] [CrossRef]
- Gupta, A.; Chen, G.; Joshi, P.; Tadigadapa, S.; Eklund. Raman Scattering from High-Frequency Phonons in Supported n-Graphene Layer Films. Nano Lett. 2006, 6, 2667–2673. [Google Scholar] [CrossRef] [PubMed]
- Pimenta, M.A.; Dresselhaus, G.; Dresselhaus, M.S.; Cançado, L.G.; Jorio, A.; Saito, R. Studying disorder in graphite-based systems by Raman spectroscopy. Phys. Chem. Chem. Phys. 2007, 9, 1276–1290. [Google Scholar] [CrossRef] [PubMed]
- Liu, D.Z.; Hayes, W.; Kurmoo, M.; Dalton, M.; Chen, C. Raman scattering of the Li1+xTi2−xO4 superconducting system. Phys. C Supercond. 1994, 235–240, 1203–1204. [Google Scholar] [CrossRef]
- Nguyen, V.T.; Le, H.D.; Nguyen, V.C.; Tam Ngo, T.T.; Le, D.Q.; Nguyen, X.N.; Phan, N.M. Synthesis of multi-layer graphene films on copper tape by atmospheric pressure chemical vapor deposition method. Adv. Nat. Sci. Nanosci. Nanotechnol. 2013, 4, 035012. [Google Scholar] [CrossRef]
- Morales, E.R.; Mathews, N.R.; Reyes-Coronado, D.; Magaña, C.R.; Acosta, D.R.; Alonso-Nunez, G.; Martinez, O.S.; Mathew, X. Physical properties of the CNT:TiO2 thin films prepared by sol–gel dip coating. Sol. Energy 2012, 86, 1037–1044. [Google Scholar] [CrossRef]
- Rodríguez-Carvajal, J. Recent advances in magnetic structure determination by neutron powder diffraction. Phys. B Condens. Matter 1993, 192, 55–69. [Google Scholar] [CrossRef]
- Harold, P.; Klug, L.E.A. X-ray Diffraction Procedures: For Polycrystalline and Amorphous Materials, 2nd ed.; Wiley: Hoboken, NJ, USA, 1974. [Google Scholar]













| Sample | Input Structural CIF File | Space Group | Lattice Parameters [nm] | Atomic Positions | General FullProf Details | |||
|---|---|---|---|---|---|---|---|---|
| a | c | x/a | x/b | x/c | ||||
| Rutile | 647553 | 136 | 0.458 | 0.295 | Ti = 0.00 | Ti = 0.00 | Ti = 0.00 | Peak shape function: Npr = 7, TCH pseudo-Voigt Resolution function type: RES = 4, Instrumental resolution file Occupancies: Initially, set to 1. Refined. Isotropic displacement (temperature) parameter: Not considered |
| O = 0.305 | O = 0.305 | O = 0.00 | ||||||
| Anatase | 9852 | 141 | 0.37842 | 0.95146 | Ti = 0.00 | Ti = 0.00 | Ti = 0.00 | |
| O = 0.00 | O = 0.00 | O = 0.2081 | ||||||
| NiTiO3 | 33854 | 148 | 0.50274 | 1.3783 | Ni = 0.00 | Ni = 0.00 | Ni = 0.3507 | |
| O = 0.316 | O = 0.0149 | O = 0.2471 | ||||||
| Ti = 0.00 | Ti = 0.00 | Ti = 0.1445 | ||||||
| NiO | 9866 | 225 | 0.478 | 0.478 | Ni = 0.00 | Ni = 0.00 | Ni = 0.00 | |
| O = 0.500 | O = 0.500 | O = 0.500 | ||||||
| LiTi2O4 | 15789 | 227 | 0.83910 | 0.83910 | Li = 0.0000 | Li = 0.000 | Li = 0.000 | |
| O = 0.3900 | O = 0.3900 | O = 0.3900 | ||||||
| Ti = 0.6250 | Ti = 0.6250 | Ti = 0.6250 | ||||||
| Ni | 52331 | 225 | 0.35243 | 0.35243 | Ni = 0.00 | Ni = 0.00 | Ni = 0.00 | |
| C | 31170 | 186 | 0.2470 | 0.6790 | C1 = 0.000 | C1 = 0.000 | C1 = 0.000 | |
| C2 = 0.3333 | C1 = 0.6667 | C1 = 0.005 | ||||||
| Sample | Anatase | Rutile | NiO | NiTiO3 | NiO Crystallite Size [nm] | A/R Ratio |
|---|---|---|---|---|---|---|
| Ni/T1 | 66.4 | 8.6 | 15.7 | 9.3 | 23.8 | 7.72 |
| Ni/T2 | 68.7 | 7.8 | 8.6 | 14.9 | 19.8 | 8.81 |
| Ni/T3 | 63.5 | 10.3 | 10.9 | 15.3 | 22.7 | 6.17 |
| Ni/T4 | 72.7 | 1.6 | 17.4 | 8.3 | 23.3 | 45.44 |
| Sample | Total H2 Consumption (µmol/gcat) | Total Ni2+ (µmol/gcat) | H2/Ni2+ | NiO, NiTiO3 Molar Ratio | Total NiO Reduced (%) | Total NiTiO3 Reduced (%) | Peak Center (°C), by Regions (β = 10 °C min−1, XH2 = 5%) | ||
|---|---|---|---|---|---|---|---|---|---|
| I | II | III | |||||||
| Ni/T1 | 1593 | 2704 | 0.59 | 3.5 | 62.2 | 47.4 | 366 | 440 | 519 |
| Ni/T2 | 1745 | 2115 | 0.82 | 1.2 | 79.9 | 85.6 | 351 | 435 | 464 |
| Ni/T3 | 1518 | 2449 | 0.62 | 1.5 | 75.9 | 41.4 | 353 | 424 | 495 |
| Ni/T4 | 1588 | 2867 | 0.55 | 4.3 | 60.0 | 35.4 | 334 | 414 | 485 |
| Sample | Aacet (1612, 1672 y 1748 cm−1) | AOH (3645 cm−1) | Relative Basicity (%) |
|---|---|---|---|
| Rutile * | 1.142 | 1.084 | 5.5 |
| Ni/T1 | 4.223 | 1.042 | 20.3 |
| Ni/T2 | 4.92 | 1.3 | 23.6 |
| Ni/T3 | 2.225 | 0.52 | 10.7 |
| Ni/T4 | 17.628 | 1.763 | 84.7 |
| Anatase * | 20.808 | 3.401 | 100.0 |
| Sample | Particle Size [nm] | S BET [m2 g−1] | Pore Diameter [nm] | VP [cm3 g−1] |
|---|---|---|---|---|
| Ni/T1 | 730.9 | 11.0 | 14.31 | 0.08 |
| Ni/T2 | 437.9 | 20.5 | 14.30 | 0.11 |
| Ni/T3 | 748.2 | 20.1 | 14.58 | 0.11 |
| Ni/T4 | 384.3 | 19.7 | 8.51 | 0.07 |
| Sample | Mass of C [mg] | XRD Analysis (wt.%) | Crystallite Size [nm] | |||
|---|---|---|---|---|---|---|
| Rutile | LiTi2O4 | Ni | C | Ni | ||
| Ni/T1 | 2.08 | 67.08 | 21.34 | 7.93 | 3.65 | 41.0 |
| Ni/T2 | 1.4 | 69.78 | 14.51 | 12.02 | 3.69 | 38.2 |
| Ni/T3 | 2.24 | * | * | * | 99.37 | * |
| Ni/T4 | 1.25 | 49.25 | 42.89 | 7.86 | * | 41.0 |
Disclaimer/Publisher’s Note: The statements, opinions and data contained in all publications are solely those of the individual author(s) and contributor(s) and not of MDPI and/or the editor(s). MDPI and/or the editor(s) disclaim responsibility for any injury to people or property resulting from any ideas, methods, instructions or products referred to in the content. |
© 2023 by the authors. Licensee MDPI, Basel, Switzerland. This article is an open access article distributed under the terms and conditions of the Creative Commons Attribution (CC BY) license (https://creativecommons.org/licenses/by/4.0/).
Share and Cite
Pérez-Madrigal, V.; Ríos-Valdovinos, E.; Rojas-García, E.; Valenzuela, M.A.; Pola-Albores, F. Dry Reforming of Methane over Li-Doped Ni/TiO2 Catalysts: Effect of Support Basicity. Methane 2023, 2, 452-469. https://doi.org/10.3390/methane2040031
Pérez-Madrigal V, Ríos-Valdovinos E, Rojas-García E, Valenzuela MA, Pola-Albores F. Dry Reforming of Methane over Li-Doped Ni/TiO2 Catalysts: Effect of Support Basicity. Methane. 2023; 2(4):452-469. https://doi.org/10.3390/methane2040031
Chicago/Turabian StylePérez-Madrigal, Vicente, Edna Ríos-Valdovinos, Elizabeth Rojas-García, Miguel A. Valenzuela, and Francisco Pola-Albores. 2023. "Dry Reforming of Methane over Li-Doped Ni/TiO2 Catalysts: Effect of Support Basicity" Methane 2, no. 4: 452-469. https://doi.org/10.3390/methane2040031
APA StylePérez-Madrigal, V., Ríos-Valdovinos, E., Rojas-García, E., Valenzuela, M. A., & Pola-Albores, F. (2023). Dry Reforming of Methane over Li-Doped Ni/TiO2 Catalysts: Effect of Support Basicity. Methane, 2(4), 452-469. https://doi.org/10.3390/methane2040031

