Generating Stellar Spectra Using Neural Networks
Abstract
1. Introduction
2. Materials and Methods
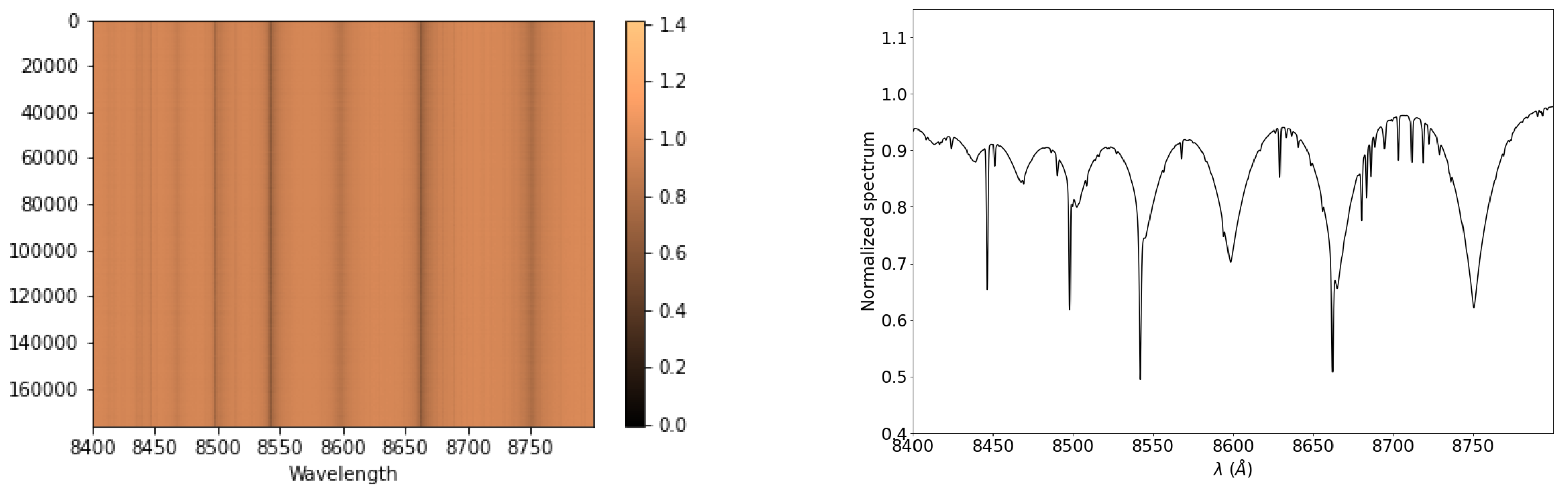
2.1. Training Database
2.2. Autoencoder
2.3. Fully Connected Neural Network
2.4. Connecting Both Networks
3. Results
3.1. Generated Spectra
3.2. Stellar Parameters
4. Discussion and Conclusions
Funding
Acknowledgments
Conflicts of Interest
| 1 | https://www.tensorflow.org/ (accessed on 15 October 2023).  | 
| 2 | https://keras.io/ (accessed on 15 October 2023).  | 
| 3 | https://www.royer.se/melchiors.html (accessed on 10 November 2023).  | 
References
- Gebran, M.; Farah, W.; Paletou, F.; Monier, R.; Watson, V. A new method for the inversion of atmospheric parameters of A/Am stars. A&A 2016, 589, A83. [Google Scholar] [CrossRef]
 - Gebran, M.; Connick, K.; Farhat, H.; Paletou, F.; Bentley, I. Deep learning application for stellar parameters determination: I-constraining the hyperparameters. Open Astron. 2022, 31, 38. [Google Scholar] [CrossRef]
 - Gebran, M.; Paletou, F.; Bentley, I.; Brienza, R.; Connick, K. Deep learning applications for stellar parameter determination: II-application to the observed spectra of AFGK stars. Open Astron. 2023, 32, 209. [Google Scholar] [CrossRef]
 - Gilda, S. Deep-REMAP: Parameterization of Stellar Spectra Using Regularized Multi-Task Learning. arXiv 2023, preprint. arXiv:2311.03738. [Google Scholar]
 - Kassounian, S.; Gebran, M.; Paletou, F.; Watson, V. Sliced Inverse Regression: Application to fundamental stellar parameters. Open Astron. 2019, 28, 68. [Google Scholar] [CrossRef]
 - Gustafsson, B.; Edvardsson, B.; Eriksson, K.; Jørgensen, U.G.; Nordlund, Å.; Plez, B. A grid of MARCS model atmospheres for late-type stars. A&A 2008, 486, 951. [Google Scholar] [CrossRef]
 - Plez, B. Astrophysics Source Code Library, Record Ascl:1205.004. 2012. Available online: https://ui.adsabs.harvard.edu/abs/2012ascl.soft05004P (accessed on 15 October 2023).
 - Sneden, C.; Bean, J.; Ivans, I.; Lucatello, S.; Sobeck, J. 2012, Astrophysics Source Code Library, Record Ascl:1202.009. Available online: https://ui.adsabs.harvard.edu/abs/2012ascl.soft02009S (accessed on 15 October 2023).
 - Kurucz, R.L. model atmospheres for population synthesis. Symp. Int. Astron. Union 1992, 149, 225. [Google Scholar]
 - Sbordone, L.; Bonifacio, P.; Castelli, F.; Kurucz, R.L. ATLAS and SYNTHE under Linux. arXiv 2004, preprint. arXiv:astro-ph/0406268. [Google Scholar] [CrossRef]
 - Piskunov, N.; Valenti, J.A. Spectroscopy Made Easy: Evolution. A&A 2017, 597, A16. [Google Scholar] [CrossRef]
 - Hubeny, I.; Lanz, T. Astrophysics Source Code Library, 2011, Record Ascl:1109.022. Available online: https://ui.adsabs.harvard.edu/abs/2011ascl.soft09022H (accessed on 15 October 2023).
 - Hubeny, I.; Lanz, T. A brief introductory guide to TLUSTY and SYNSPEC. arXiv 2017, preprint. arXiv:1706.01859. [Google Scholar] [CrossRef]
 - Hubeny, I.; Allende Prieto, C.; Osorio, Y.; Lanz, T. TLUSTY and SYNSPEC Users’s Guide IV: Upgraded Versions 208 and 54. arXiv 2021, preprint. arXiv:2104.02829. [Google Scholar] [CrossRef]
 - Husser, T.-O.; Berg, W.; Dreizler, S.; Homeier, D.; Reiners, A.; Barman, T.; Hauschildt, P.H. A new extensive library of PHOENIX stellar atmospheres and synthetic spectra. A&A 2013, 553, A6. [Google Scholar] [CrossRef]
 - Palacios, A.; Gebran, M.; Josselin, E.; Martins, F.; Plez, B.; Belmas, M.; Lèbre, A. POLLUX: A database of synthetic stellar spectra. A&A 2010, 516, A13. [Google Scholar] [CrossRef]
 - Lanz, T.; Hubeny, I. A Grid of Non-LTE Line-blanketed Model Atmospheres of O-Type Stars. Astrophys. J. Suppl. Ser. 2003, 146, 417. [Google Scholar] [CrossRef]
 - de Laverny, P.; Recio-Blanco, A.; Worley, C.C.; Plez, B. The AMBRE project: A new synthetic grid of high-resolution FGKM stellar spectra. A&A 2012, 544, A126. [Google Scholar] [CrossRef]
 - Cropper, M.; Katz, D.; Sartoretti, P.; Prusti, T.; de Bruijne, J.H.J.; Chassat, F.; Charvet, P.; Boyadjian, J.; Perryman, M.; Sarri, G.; et al. Gaia Data Release 2. Gaia Radial Velocity Spectrometer. A&A 2018, 616, A5. [Google Scholar] [CrossRef]
 - Vallenari, A.; Brown, A.G.A.; Prusti, T.; de Bruijne, J.H.J.; Arenou, F.; Babusiaux, C.; Creevey, O.L.; Ducourant, C.; Evans, D.W.; Eyer, L.; et al. [Gaia Collaboration] Gaia Data Release 3. Summary of the content and survey properties. A&A 2023, 674, A1. [Google Scholar] [CrossRef]
 - Recio-Blanco, A.; de Laverny, P.; Allende Prieto, C.; Fustes, D.; Manteiga, M.; Arcay, B.; Bijaoui, A.; Dafonte, C.; Ordenovic, C.; Blanco, D.O. Stellar parametrization from Gaia RVS spectra. A&A 2016, 585, A93. [Google Scholar] [CrossRef]
 - Castelli, F.; Kurucz, R.L. New Grids of ATLAS9 Model Atmospheres. arXiv 2003, preprint. arXiv:astro-ph/0405087. [Google Scholar] [CrossRef]
 - Smalley, B. Observations of convection in A-type stars. Proc. Int. Astron. Union 2004, 224, 131. [Google Scholar] [CrossRef]
 - Grevesse, N.; Sauval, A.J. Standard Solar Composition. Space Sci. Rev. 1998, 85, 161. [Google Scholar] [CrossRef]
 - Recio-Blanco, A.; de Laverny, P.; Palicio, P.A.; Kordopatis, G.; Álvarez, M.A.; Schultheis, M.; Contursi, G.; Zhao, H.; Torralba Elipe, G.; Ordenovic, C.; et al. Gaia Data Release 3. Analysis of RVS spectra using the General Stellar Parametriser from spectroscopy. A&A 2023, 674, A29. [Google Scholar] [CrossRef]
 - Einig, L.; Pety, J.; Roueff, A.; Vandame, P.; Chanussot, J.; Gerin, M.; Orkisz, J.H.; Palud, P.; Santa-Maria, M.G.; Magalhaes, V.d.S.; et al. Deep learning denoising by dimension reduction: Application to the ORION-B line cubes. A&A 2023, 677, A158. [Google Scholar] [CrossRef]
 - Scourfield, M.; Saintonge, A.; de Mijolla, D.; Viti, S. De-noising of galaxy optical spectra with autoencoders. Mon. Not. R. Astron. Soc. 2023, 526, 3037. [Google Scholar] [CrossRef]
 - Paletou, F.; Böhm, T.; Watson, V.; Trouilhet, J.-F. Inversion of stellar fundamental parameters from ESPaDOnS and Narval high-resolution spectra. A&A 2015, 573, A67. [Google Scholar] [CrossRef]
 - Steinmetz, M.; Zwitter, T.; Siebert, A.; Watson, F.G.; Freeman, K.C.; Munari, U.; Campbell, R.; Williams, M.; Seabroke, G.M.; Wyse, R.F.; et al. The Radial Velocity Experiment (RAVE): First Data Release. Astron. J. 2006, 132, 1645. [Google Scholar] [CrossRef]
 - Gilmore, G.; Randich, S.; Asplund, M.; Binney, J.; Bonifacio, P.; Drew, J.; Feltzing, S.; Ferguson, A.; Jeffries, R.; Micela, G.; et al. The Gaia-ESO public spectroscopic survey. Messenger 2012, 147, 25. [Google Scholar]
 - Zhao, G.; Zhao, Y.-H.; Chu, Y.-Q.; Jing, Y.-P.; Deng, L.-C. LAMOST spectral survey—An overview. Res. Astron. Astrophys. 2012, 12, 723. [Google Scholar] [CrossRef]
 - Majewski, S.R.; Schiavon, R.P.; Frinchaboy, P.M.; Prieto, C.A.; Barkhouser, R.; Bizyaev, D.; Blank, B.; Brunner, S.; Burton, A.; Carrera, R.; et al. The Apache Point Observatory Galactic Evolution Experiment (APOGEE). Astron. J. 2017, 154, 94. [Google Scholar] [CrossRef]
 - Martell, S.L.; Sharma, S.; Buder, S.; Duong, L.; Schlesinger, K.J.; Simpson, J.; Lind, K.; Ness, M.; Marshall, J.P.; Asplund, M.; et al. The GALAH survey: Observational overview and Gaia DR1 companion. Mon. Not. R. Astron. Soc. 2017, 465, 3203. [Google Scholar] [CrossRef]
 - Royer, P.; Merle, T.; Dsilva, K.; Sekaran, S.; Van Winckel, H.; Frémat, Y.; Van der Swaelmen, M.; Gebruers, S.; Tkachenko, A.; Laverick, M.; et al. MELCHIORS: The Mercator Library of High Resolution Stellar Spectroscopy. arXiv 2023, preprint. arXiv:2311.02705. [Google Scholar] [CrossRef]
 









| Parameter | Range | 
|---|---|
| 3600–15,000 K | |
| 2.0–5.0 dex | |
| 0–300 km/s | |
| −1.5–1.5 dex | |
| 0–4 km/s | |
| Resolution () | 5000–14,500 | 
| Layer | Characteristics | Activation Function | 
|---|---|---|
| Encoder | ||
| Input | Spectrum of 4000 data points | – | 
| Hidden | 1024 neurons | relu | 
| Hidden | 512 neurons | relu | 
| Hidden | 256 neurons | relu | 
| Hidden | 64 neurons | relu | 
| Hidden | 32 neurons | relu | 
| Latent Space | 10 neurons | relu | 
| Decoder | ||
| Hidden | 32 neurons | relu | 
| Hidden | 64 neurons | relu | 
| Hidden | 256 neurons | relu | 
| Hidden | 512 neurons | relu | 
| Hidden | 1024 neurons | relu | 
| Output | Reconstructed spectrum of 4000 data points | – | 
| Layer | Characteristics | Activation Function | 
|---|---|---|
| Input | Stellar parameters + resolution (six data points per spectrum) | – | 
| Hidden | 5000 neurons | relu | 
| Dropout | 30% | – | 
| Hidden | 2000 neurons | relu | 
| Dropout | 30% | – | 
| Hidden | 512 neurons | relu | 
| Dropout | 30% | – | 
| Hidden | 32 neurons | relu | 
| Output | Latent Space of 10 data points | – | 
| Layer | Characteristics | Activation Function | 
|---|---|---|
| Input | PCA coefficient (15 data points per spectrum) | – | 
| Hidden | 5000 neurons | relu | 
| Hidden | 2000 neurons | relu | 
| Hidden | 1000 neurons | relu | 
| Hidden | 512 neurons | relu | 
| Hidden | 64 neurons | relu | 
| Output | Stellar Parameters (six data points per spectrum) | – | 
| Parameter | Training | Validation | Test | Generated | 
|---|---|---|---|---|
| (K) | 70 | 110 | 120 | 119 | 
| (dex) | 0.02 | 0.03 | 0.03 | 0.05 | 
| (Km/s) | 5.0 | 6.0 | 6.5 | 7.0 | 
| (dex) | 0.04 | 0.08 | 0.15 | 0.15 | 
| (Km/s) | 0.15 | 0.17 | 0.17 | 0.20 | 
Disclaimer/Publisher’s Note: The statements, opinions and data contained in all publications are solely those of the individual author(s) and contributor(s) and not of MDPI and/or the editor(s). MDPI and/or the editor(s) disclaim responsibility for any injury to people or property resulting from any ideas, methods, instructions or products referred to in the content.  | 
© 2024 by the author. Licensee MDPI, Basel, Switzerland. This article is an open access article distributed under the terms and conditions of the Creative Commons Attribution (CC BY) license (https://creativecommons.org/licenses/by/4.0/).
Share and Cite
Gebran, M. Generating Stellar Spectra Using Neural Networks. Astronomy 2024, 3, 1-13. https://doi.org/10.3390/astronomy3010001
Gebran M. Generating Stellar Spectra Using Neural Networks. Astronomy. 2024; 3(1):1-13. https://doi.org/10.3390/astronomy3010001
Chicago/Turabian StyleGebran, Marwan. 2024. "Generating Stellar Spectra Using Neural Networks" Astronomy 3, no. 1: 1-13. https://doi.org/10.3390/astronomy3010001
APA StyleGebran, M. (2024). Generating Stellar Spectra Using Neural Networks. Astronomy, 3(1), 1-13. https://doi.org/10.3390/astronomy3010001
        
