Abstract
Based on the recently demonstrated resonant wave–wave process, it is shown that electrons can be accelerated to ultra-relativistic energies in the magnetospheres of radio pulsars. The energization occurs via the resonant interaction of the electron wave (described by the Klein–Gordon (KG) equation) moving in unison with an intense electromagnetic (EM) wave; the KG wave/particle continuously draws energy from EM. In a brief recapitulation of the general theory, the high-energy (resonantly enhanced) electron states are investigated by solving the KG equation, minimally coupled to the EM field. The restricted class of solutions that propagate in phase with EM radiation (functions only of ) are explored to serve as a possible basis for the proposed electron energization in the radio pulsars. We show that the wave–wave resonant energization mechanism could be operative in a broad class of radio pulsars with periods ranging from milliseconds to normal values (∼1 s); this could drive the magnetospheric electrons to acquire energies from 100 s of TeVs (millisecond pulsars) to 10 ZeVs (normal pulsars).
1. Introduction
In a recent work, a new mechanism of wave–particle resonant interaction has been discovered [1], that might be a significant process for the acceleration of particles. The study of acceleration mechanisms is crucial for understanding the nature and origin of cosmic rays. Earlier research suggested that very-high-energy (VHE) particles [2] could be emitted in supernovae events. The Crab Nebula, for instance, was identified as a source of cosmic rays by [3]; the discovery of pulsars in 1967 introduced another potential contributor. In the pioneering work of [4], the role of pulsars in accelerating protons to eV was established. Since then, a number of authors have investigated pulsars as an energizing source [5,6,7,8,9,10]. It is also strongly believed that extremely high-energy cosmic rays may emerge from active galactic nuclei (AGN) [11,12] and gamma ray bursts [13,14]. In this context, it is worth noting that termination shocks of galactic outflows and star-forming regions are also considered as possible sources for ultra-high-energy particles [15,16,17].
It is, perhaps, useful to list the generally invoked mechanisms that might potentially energize the cosmic particles to VHE. Fermi-type acceleration mechanisms [18,19,20] can explain the generation of ultra-high energies. However, the Fermi process is very efficient only if the particles have already been pre-accelerated [21]. In contrast, magneto-centrifugal acceleration (MA) does not require pre-acceleration; it can operate on particles starting with lower energies. The high efficiency of the mechanism has been demonstrated in the context of pulsars [7,8,9,10] and AGN [22]. MA, however, works only if magnetic fields are strong enough to ensure that the plasma obeys the “frozen-in condition”, forcing the particles follow the co-rotating field lines [7,8,9,10].
In our recent work [23], we explored the resonant wave–wave mechanism (the same mechanism that we will be invoking in this paper) of particle energization in the context of the radio-loud AGN.
Taking into account the factors limiting the maximum energy (inverse Compton mechanism, synchrotron radiation, and curvature emission), we have found that the electrons and protons (in the magnetosphere of a radio-loud AGN) might reach energies of the order of eV. It has been shown that the most efficient factor constraining the maximum energies is the radiation field energy density, and consequently inverse Compton scattering becomes significant. In light of the Greisen–Zatsepin–Kuzmin (GZK) limit (a theoretical upper limit of extragalactic cosmic ray protons equal to eV [24,25]), a further examination of the efficiency of this new mechanism may be warranted.
In this paper, however, we turn our attention to pulsars whose magnetospheres are populated with electron–positron pairs. Because many pulsars emit in the radio spectral band, it is interesting to explore whether the resonant energization will efficiently operate in this setting.
2. Brief Outline of Theory
For a particle with a rest mass m, momentum, , and energy , the group velocity of the associated KG wave (),
Tends to unity for . One then expects that such a matter wave could strongly resonate with an EM wave. Moving almost in phase, the particle wave could continuously draw energy from the EM wave.
An analysis of [1,26] begins with ( is the emission cyclic frequency),
Describing a KG particle wave in the presence of a circularly polarized EM wave propagating in the z direction. In Equation (2), q denotes the charge of the particle and represents the perpendicular momentum of the KG wave. For the resonant KG-EM system, we seek solutions where . Equation (2), then, converts to an ordinary differential equation
A generic Mathew equation with and .
Because and k are very close (in a vacuum, they are exactly the same), Equation (3) is a singular equation. This singular feature ( must become large to satisfy the equation) is the reason why the KG particle obeying Equation (3) must have solutions with high energy and momentum (). The novelty of our mechanism is that the enhancement of electron energy (and the rate of energy gain) depends crucially on the resonance between the two hyperbolic waves, i.e, . of the electron wave of the EM wave. Both of these are greater than unity (the latter only in a plasma).
It is worth noting that a classical electron is not a hyperbolic wave, but the physics that this theory is based on depends on the resonance of two hyperbolic waves; therefore, the mechanism of particle energization strongly depends on the quantum nature of a particle [26]. In fact, we will now show explicitly that quantum effects are essential for the acceleration process.
Whether these high-energy solutions are actually accessible requires further inquiry. This was performed by [1,26], where an expression for the rate of energy gain was derived as
where we have restored the ℏ in the numerator, assuming that the particle acceleration takes place in the region . Equation (4) fully illustrates the resonant character of the acceleration process. Indeed, for small values of , the rate of the energy gain becomes very large. One must note:
- (1)
- The rate of energy gain stems from a quantum effect;
- (2)
- It requires the perpendicular momentum to be nonzero;
- (3)
- It is resonantly enhanced.
To make an estimate for the resonant factor, after restoring dimensions (in the pulsar context, ), and using the dispersion relation (see [26]), , one obtains
Here, is the Langmuir frequency, and n denotes the plasma number density. A good estimate for the amplitude of the EM wave is , where is the radio flux of a pulsar, is the half opening angle of the pulsar’s emission beam [27], represents the radio luminosity, and km is the neutron star’s radius.
What we have shown in the paper is a promise that resonant high energy electron (wave) states exist, and one can qualitatively see an energy–gain pathway through which the electron could be driven to such states.
3. Theory in the Pulsar Context
In this section, we apply the aforementioned mechanism to radio pulsars, studying efficiency of the process over a range of physical parameters.
How long can the accelerating process last? Until some energy loss mechanisms that become more efficient at higher energies can balance the growth. We will discuss three such loss mechanisms and assess their role in limiting the maximum particle energy.
Synchrotron radiation: although the proposed acceleration mechanism was independent of the magnetic field, there does exist a strong magnetic field in the pulsar; the relativistic electrons, moving in such a magnetic field, will experience extreme synchrotron losses, characterized by the emission power [28]
where is the particle Lorentz factor, is magnetic field, Gauss is the magnetic field close to the surface of the neutron star [29]. Furthermore, P () is the period of rotation (its time derivative), cm denotes the star radius, and r is the radial coordinate. Throughout the paper, we use the relation corresponding to the death line (traditionally, the radio pulsars are assumed to locate above the so-called death line in diagram) [30]. Therefore, might be even higher, giving a more efficient picture of acceleration. Because the synchrotron-induced cooling rate goes up as (Equation (6)), it will eventually balance the rate of energy gain, putting a limit on the achieved energy. In the theory of pulsars, it is generally believed that acceleration of particles is very efficient on the length scales of the light cylinder (LC—a hypothetical area where the linear velocity of rotation equals the speed of light). Applying the synchrotron limiting condition () to electrons in the LC zone, one can obtain an expression for the maximum attainable energy:
where is normalized by a value typical for normal pulsars ( s), represents the LC radius, and we have taken into account that the radio spectral luminosity of pulsars can be approximated as erg s−1Hz−1 with [31]. Therefore, it is clear that the resonant mechanism of particle energization is extremely efficient providing relativistic factors of the order of on the LC area for the emission frequency 100 MHz.
It is also worth noting that any calculation concerning pulsars must take cognizance of the large magnetic fields. Such a calculation will necessarily add effects of order to the energy spectrum, and also cause asymmetry in the wave function. However, given that even for the pulsar fields the Landau level correction will be, at best, in 10–100 eV range, it is not relevant for the present study.
Curvature emission could be another mechanism that, in principle, might limit the maximum Lorentz factor. However, the particles, following the curved trajectories, will radiate [32] if and only if co-rotation is maintained. The maximum possible for which the particles co-rotate is given by . For normal pulsars ( s, s s−1), it reaches the value on the LC zone. Here, is the so-called Goldreich–Julian number density (or the number density of pulsar’s magentospheric particles) [33], and represents the angular velocity of the pulsar. Thus, for very-high-energy particles (), curvature losses will not be relevant.
Inverse Compton scattering: the magnetosphere of pulsars is full of thermal photons originating from the star surface. The temperature of the photon gas depends on the pulsar’s age [34]
which has been obtained by a rough fit to a numerical model presented in [35].
For s, s s−1, . The accelerated electrons will, inevitably, encounter the thermal photons and lose energy via inverse Compton (IC) scattering. We will consider the IC cooling rates in two different domains, the Compton and the Klein–Nishina regimes. The maximum acquired by the particle is, as before, attained when the energization rate is balanced by the cooling rate. In the Compton regime, the cooling rate is given by [28]
where represents the Thomson cross section, is the thermal energy density, and is the corresponding luminosity and would yield the maximum relativistic factor
which comes out to be so high that the condition , which is necessary for using the formula in the Compton regime, is violated ( for thermal photons).
In the Klein–Nishina regime, characterized by the cooling power [36]
A similar prescription (equating ) limits the maximum Lorentz factor to
where
High values of the factor in the exponent means that the IC process in the KN regime becomes significant only for unrealistically high Lorentz factors. It is worth noting that the so-called photo-pion reactions, when photons interacting with protons can produce pions, might become significant, but by taking the corresponding time-scale, eV/E s [37] into account (E denotes the proton’s energy), one can straightforwardly show that the maximum attainable energy is of the order of eV, which exceeds by many orders of magnitude the limit corresponding to the synchrotron process. Therefore, inverse Compton scattering and the photo-pion processes such as the curvature radiation do not impose any stringent limits on the maximum allowable energy; the synchrotron cooling process (see Equation (7)) is the only relevant one.
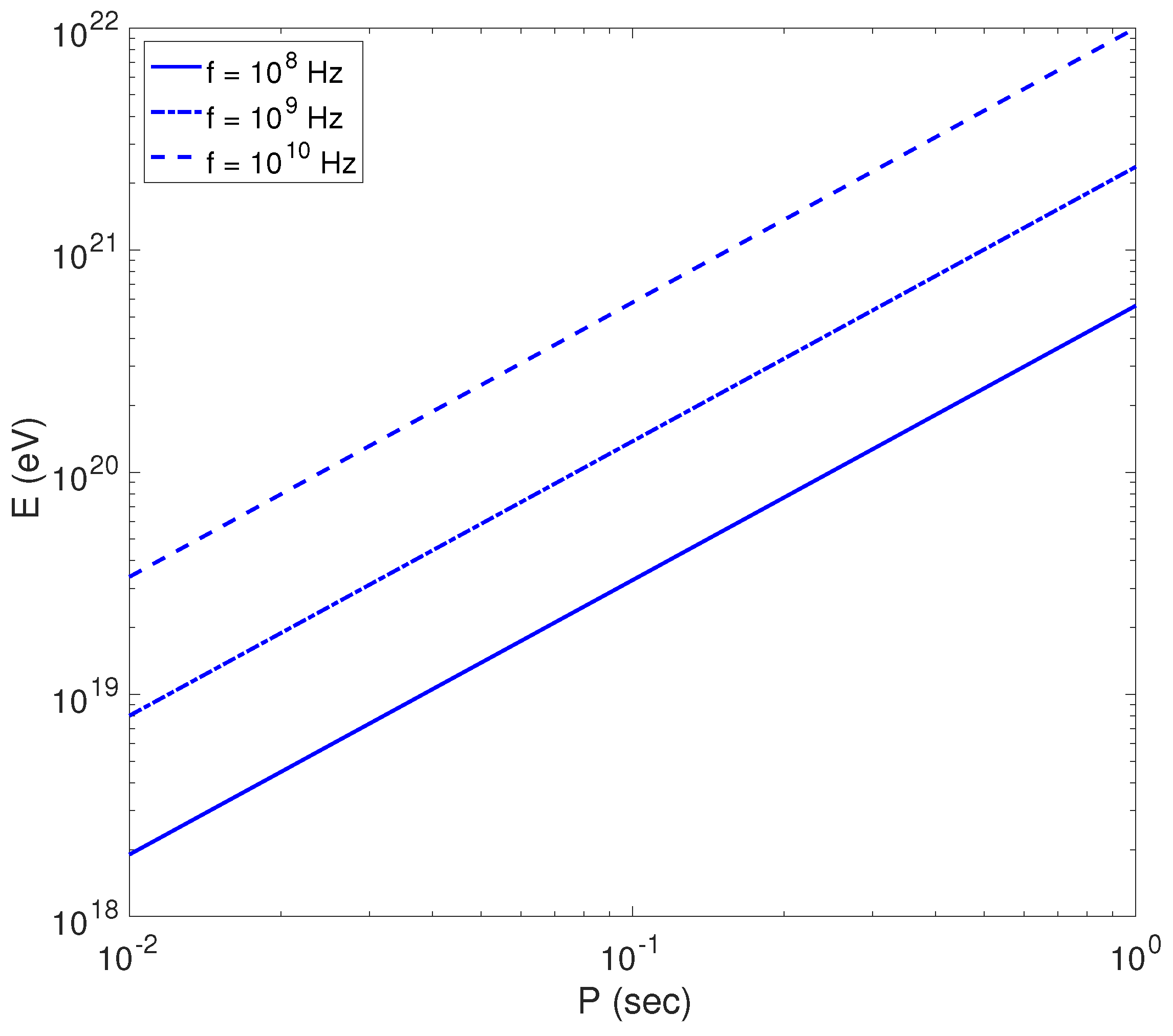
In Figure 1, we plot the behavior of electron energy, (), versus the pulsar period of rotation for three different radio frequencies Hz on the LC surface, . The maximum attainable energy is a continuously increasing function of P; resonant energization can catapult electrons to energies of the order of eV. In the following figure (Figure 2), for the same set of frequencies and a fixed period of rotation ( s), we plot E versus the non-dimensional radial coordinate (normalized by ); the maximum achievable energy falls in the range eV.
Figure 1.
Here, we show the plots of the maximum energy E(P) for different emission frequencies, Hz on the LC zone .
Figure 2.
For s, we show the maximum energy E(r) versus the radial coordinate for the same set of frequencies, Hz.
It is natural to assume that not all of the magnetospheric particles are involved in the energization process. One can estimate a theoretical upper limit on the number density, of such electrons. The total kinetic power of accelerated particles must remain below the slow-down luminosity, , of the pulsar. In the expression for , is the moment of inertia and is the pulsar mass ( g is the solar mass). The constraint puts an absolute upper limit on that varies from cm−3 (for s) to cm−3 (for s). Realistic number densities will be, surely, much less because pulsars slow down via the magneto-dipole radiation. Therefore, the flux of ultra-high-energy particles will be much less than the theoretical limit, erg cm−2 s−1.
Before summarizing our results, we note a longstanding problem concerning the fate of the low frequency magneto-dipole radiation. Gunn and Ostriker [38] have proposed that the magnetic dipole radiation could accelerate the particles to extremely high energies. This work has been generalized by introducing a refractive index different from vacuum [39], but the details on the working and efficiency of such a mechanism are far from clear [40]. It may be interesting to explore the interaction of such EM waves with the KG waves.
4. Summary
Resonant energization of relativistic electrons via the immense EM fields of a radio pulsar was explored as a mechanism for producing very-high-energy cosmic rays.
By considering several “cooling” mechanisms that will eventually compete with resonant energization, we calculated the limiting energies to which the particles could be accelerated. For typical radio pulsars, these limits are set by the synchrotron radiation emission.
Alternative cooling mechanisms such as curvature radiation or inverse Compton scattering (Thomson or KN regime) on thermal photons, were found not to impose any significant restrictions on energy gain
The situation could drastically change for the radio-loud pulsars that are gamma-ray sources in the GeV-TeV regime. For such highly energetic photons, IC scattering will become so strong that the particles will not accelerate at all.
When limited, primarily, by synchrotron radiation, the electrons could attain extremely high relativistic factors, ∼. This will translate to an energy range eV for the large range of radio pulsars with periods varying from millisecond to normal values ( s).
A similar mechanism of acceleration could also pertain for protons or hadrons; the roles of limiting factors, however, will need to be reassessed. For hadrons, for example, the IC scattering does not impose any constraints on maximum energies [37].
By taking the pulsar’s slow-down luminosity into account, we have also estimated the upper limit on the number density of electrons that undergo resonant energization; the fraction of particles that could be so energized, will constitute only an insignificant fraction of the Goldreich–Julian number density.
Author Contributions
Both authors contributed equally to this work. All authors have read and agreed to the published version of the manuscript.
Funding
The work of Z.N.O. was partially supported by the EU fellowships for Georgian researchers, 2023 (57655523). Z.N.O. also would like to thank Torino Astrophysical Observatory and Universitá degli Studi di Torino for hospitality during working on this project. SMM acknowledges the support of US DOE grants: DE-FG02-04ER54742 and DE-AC02-09CH11466.
Institutional Review Board Statement
Not applicable.
Informed Consent Statement
Not applicable.
Data Availability Statement
Data are available in the article and can be accessed via arXiv: 2310.05830.
Conflicts of Interest
The authors declare no conflict of interest.
Abbreviations
The following abbreviations are used in this manuscript:
| AGN | Active galactic nuclei |
| EM | Electromagnetic |
| IC | Inverse Compton |
| KG | Klein–Gordon |
| KN | Klein–Nishina |
| LC | Light cylinder |
| MA | Magneto-centrifugal acceleration |
| VHE | Very high energy |
References
- Mahajan, S.M.; Asenjo, F.A. A statistical model for relativistic quantum fluids interacting with an intense electromagnetic wave. Phys. Plasmas 2016, 23, 056301. [Google Scholar] [CrossRef]
- Baade, W.; Zwicky, F. On Super-novae. Proc. Natl. Acad. Sci. USA 1934, 20, 254. [Google Scholar] [CrossRef] [PubMed]
- Sekido, Y.; Masuda, T.; Yoshida, S.; Wada, M. The Crab Nebula as an Observed Point Source of Cosmic Rays. Phys. Rev. 1951, 83, 658. [Google Scholar] [CrossRef]
- Gunn, J.E.; Ostriker, J.P. Acceleration of high-energy cosmic rays by pulsars. Phys. Rev. Lett. 1969, 22, 728. [Google Scholar] [CrossRef]
- Bednarek, W.; Protheroe, R.J. Contribution of nuclei accelerated by gamma-ray pulsars to cosmic rays in the Galaxy. APh 2002, 16, 397. [Google Scholar] [CrossRef]
- Lemoine, M.; Kotera, K.; Pétri, J. On ultra-high energy cosmic ray acceleration at the termination shock of young pulsar winds. Phys. Rev. Lett. 1969, 22, 728. [Google Scholar] [CrossRef]
- Osmanov, Z.; Rieger, F.M. On particle acceleration and very high energy γ-ray emission in Crab-like pulsars. Astron. Astrophys. 2009, 502, 15–20. [Google Scholar] [CrossRef]
- Osmanov, Z.; Rieger, F.M. Pulsed VHE emission from the Crab Pulsar in the context of magnetocentrifugal particle acceleration. Mon. Not. R. Astron. Soc. 2017, 463, 1347. [Google Scholar] [CrossRef]
- Mahajan, S.; Machabeli, G.; Osmanov, Z.; Chkheidze, N. Ultra High Energy Electrons Powered by Pulsar Rotation. Sci. Rep. 2013, 3, 1262. [Google Scholar] [CrossRef]
- Osmanov, Z.; Mahajan, S.; Machabeli, G.; Chkheidze, N. Millisecond newly born pulsars as efficient accelerators of electrons. Sci. Rep. 2015, 5, 14443. [Google Scholar] [CrossRef] [PubMed]
- Protheroe, R.J.; Szabo, A.P. High energy cosmic rays from active galactic nuclei. Phys. Rev. Lett. 1992, 69, 2885. [Google Scholar] [CrossRef] [PubMed]
- Peér, A.; Murase, K.; Mészáros, P. Radio-quiet active galactic nuclei as possible sources of ultrahigh-energy cosmic rays. Phys. Rev. D 2009, 80, 123018. [Google Scholar] [CrossRef]
- Schady, P. Gamma-ray bursts and their use as cosmic probes. Royal Soc. Op. Sc. 2017, 4, 170304. [Google Scholar] [CrossRef]
- Zhang, Z.; Liu, R.; Wang, X. Acceleration of ultrahigh-energy cosmic rays in the early afterglows of gamma-ray bursts: Concurrence of jet dynamics and wave-particle interactions. Phys. Rev. D 2021, 104, 103005. [Google Scholar] [CrossRef]
- Marcowith, A.; van Marle, A.J.; Plotnikov, I. The cosmic ray-driven streaming instability in astrophysical and space plasmas. Phys. Plasmas 2021, 28, 080601. [Google Scholar] [CrossRef]
- Globus, N.; Blandford, R. Ultra High Energy Cosmic Ray Source Models: Successes, Challenges and General Predictions. In Proceedings of the 6th International Symposium on Ultra High Energy Cosmic Rays (UHECR2022), L’Aquila, Italy, 3–7 October 2022. [Google Scholar]
- Owen, E.R. Cosmic ray processes in galactic ecosystems. Galaxies 2023, 11, 86. [Google Scholar] [CrossRef]
- Fermi, E. On the origin of the cosmic radiation. Phys. Rev. 1949, 75, 1169. [Google Scholar] [CrossRef]
- Bell, A.R. The acceleration of cosmic rays in shock fronts—I. Mon. Not. R. Astron. Soc. 1978, 182, 147–156. [Google Scholar] [CrossRef]
- Catanese, M.; Weeks, T.C. Very High Energy Gamma-Ray Astronomy. Publ. Astron. Soc. Pac. 1999, 111, 1193. [Google Scholar] [CrossRef]
- Rieger, F.M.; Matthaeus, W.H. Relativistic particle transport and acceleration in structured plasma turbulence. Astrophys. J. 2022, 928, 25. [Google Scholar]
- Osmanov, Z.; Mahajan, S.; Machabeli, G.; Chkheidze, N. Extremely efficient Zevatron in rotating AGN magnetospheres. Mon. Not. R. Astron. Soc. 2015, 445, 4155. [Google Scholar] [CrossRef]
- Mahajan, S.M.; Osmanov, Z.N. Resonant energization of particles by radio AGN. Astron. Astrophys. 2022, 664, 4. [Google Scholar] [CrossRef]
- Greisen, K. End to the cosmic-ray spectrum? Phys. Rev. Lett. 1966, 16, 748. [Google Scholar] [CrossRef]
- Zatsepin, G.T.; Kuzmin, V.A. Upper limit of the spectrum of cosmic rays. JETP Lett. 1966, 4, 78. [Google Scholar]
- Mahajan, S.M.; Asenjo, F.A. Interacting quantum and classical waves: Resonant and non-resonant energy transfer to electrons immersed in an intense electromagnetic wave. Phys. Plasmas 2022, 29, 022107. [Google Scholar] [CrossRef]
- Machabeli, G.Z.; Usov, V.V. Cyclotron instability in the magnetosphere of the Crab Nebula pulsar, and the origin of its radiation. Sov. Astron. Lett. 1979, 5, 445–449. [Google Scholar]
- Rybicki, G.B.; Lightman, A.P. Radiative Processes in Astrophysics; Wiley: New York, NY, USA, 1979. [Google Scholar]
- Shapiro, S.L.; Teukolsky, S.A. Black Holes, White Dwarfs, and Neutron Stars: The Physics of Compact Objects; Wiley-VCH: Weinheim, Germany, 2004. [Google Scholar]
- Ruderman, A.; Sutherland, P.G. Theory of pulsars-Polar caps, sparks, and coherent microwave radiation. Astrophys. J. 1975, 196, 51–72. [Google Scholar] [CrossRef]
- Stollman, G.V. The radio luminosity of pulsars. Astron. Astrophys. 1987, 171, 152–156. [Google Scholar]
- Ochelkov, Y.P.; Usov, V.V. Curvature radiation of relativistic particles in the magnetosphere of pulsars: I: Theory. Astrophys. Space Sci. 1980, 69, 439–460. [Google Scholar] [CrossRef]
- Goldreich, P.; Julian, W.H. Pulsar Electrodynamics. Astrophys. J. 1999, 157, 869. [Google Scholar]
- Zhang, B.; Harding, A.K. Full polar cap cascade scenario: Gamma-ray and X-ray luminosities from spin-powered pulsars. Astrophys. J. 2000, 532, 1150. [Google Scholar] [CrossRef]
- Schaab, C.; Sedrakian, A.; Weber, F.; Weigel, M.K. Impact of internal heating on the thermal evolution of neutron stars. Astron. Astrophys. 1999, 346, 465–480. [Google Scholar]
- Blumenthal, G.R.; Gould, R.J. Bremsstrahlung, Synchrotron Radiation, and Compton Scattering of High-Energy Electrons Traversing Dilute Gases. Rev. Mod. Phys. 1970, 42, 237. [Google Scholar] [CrossRef]
- Aharonian, F.A. Very High Energy Cosmic Gamma Radiation—A Crucial Window on the Extreme Universe; World Scientic Publishing Co. Pte. Ltd.: Singapore, 2004. [Google Scholar]
- Gunn, J.E.; Ostriker, J.P. Magnetic dipole radiation from pulsars. Nature 1969, 221, 454–456. [Google Scholar] [CrossRef]
- Kegel, W.H.; Herold, H.; Ruder, H.; Leinemann, R. The radiation of charged particles accelerated in strong electromagnetic waves. Astron. Astrophys. 1995, 297, 369. [Google Scholar]
- Pétri, J. Particle acceleration and radiation reaction in strong spherical electromagnetic waves. Mon. Not. R. Astron. Soc. 2021, 503, 2123–2136. [Google Scholar] [CrossRef]
Disclaimer/Publisher’s Note: The statements, opinions and data contained in all publications are solely those of the individual author(s) and contributor(s) and not of MDPI and/or the editor(s). MDPI and/or the editor(s) disclaim responsibility for any injury to people or property resulting from any ideas, methods, instructions or products referred to in the content. |
© 2023 by the authors. Licensee MDPI, Basel, Switzerland. This article is an open access article distributed under the terms and conditions of the Creative Commons Attribution (CC BY) license (https://creativecommons.org/licenses/by/4.0/).

