Abstract
In the present study was to determine the anti-inflammatory activity of the aqueous extract of the bark and root of Myrica esculenta and their active phytoconstituents through in vitro and in silico studies. The bioactive phytoconstituent of Myrica esculenta was determined by GC-MS spectroscopy techniques. After that, total phenolic and flavonoid content of both bark and root extract was determined. Furthermore, in vitro anti-inflammatory activity was determined in both extracts. The molecular docking analysis determined the binding affinity of bioactive compounds against inflammatory proteins such as COX-1, COX-2, IL-10, and TNF-α. The present study revealed that bark extract of Myrica esculenta has the highest total phenolic and flavonoid content compared with root extract (553.44 ± 18.38 mg GAE/g equivalent and 336.02 ± 8.04 mg quercetin/g equivalent, respectively). Similarly, the bark extract showed good inhibitory activity with 5-LOX and HYA assay (IC50 11.26 ± 3.93 and 21.61 ± 8.27 µg/mL, respectively), but 15-Lox inhibitory assay root extract showed the highest inhibitory activity, IC50 16.95 ± 5.92 µg/mL. The docking result showed that myricetin, arjunolic acid, and myricanone have the highest binding affinity with all inflammatory proteins in respective order: myricetin > arjunolic acid > celecoxib > myricanone > myricitrin > 3-epi-ursonic acid. The MD simulation of COX-1 and myricetin showed the highest stability and low deviation at 310 K through RMSD values (1.07–2.3 Å) as compared with COX-1 and myricitrin (0.193–1.885 Å) and TNF-α and myricanone (1.377 to 3.457 Å), respectively, when analyzed at 100 ns time frame. The extracts and their active constituents showed good anti-inflammatory activity. Further study is essential to define their mechanism of action.
1. Introduction
Inflammation is the body’s defensive mechanism in injured and infected tissues, triggered by immune cells and cytokines that release prostaglandins, interleukin-6, and tumor necrosis factor-α. As inflammatory mediators, inflammatory cytokines have a major role in a variety of disorders, such as asthma, arthritis, gout, etc. Nonsteroidal anti-inflammatory medications (NSAIDs) are primarily used to treat a range of inflammatory diseases and pain associated with such diseases. Anti-inflammatory medicines are thought to be an effective way of reducing the influence of chronic inflammation on the course of degenerative diseases [1]. These drugs, however, possess several side effects that worsen the body mechanism on continuous consumption [2,3]. These challenges generate the need to develop novel pharmaceuticals that are less hazardous and more efficient in treating acute and chronic inflammatory disorders [4]. The adverse effects of non-steroidal anti-inflammatory medicines (NSAIDs) have prompted researchers to examine plant compounds that have potential to develop new anti-inflammatory drug scaffold that can inhibit the release of inflammatory mediators, thereby treating a wide range of disease conditions [5,6,7].
Myrica esculenta Buch.-Ham. ex D. Don, also recognized as “Hairy Bayberry” and a member of the myricaceae family, is generally referred to as Kaiphal or Kataphala in the north Asian continent and is extensively utilized in Ayurveda for the treatment of several conditions such as asthma, diabetes, gout, arthritis, etc. [8,9,10]. Numerous species of the myricaceae have been used as medicinal ingredients in traditional medicines from the beginning of time [11]. Scientific research has reported several medicinal perspectives of Myrica esculenta, including analgesic, antiasthmatic, antidiabetic, antimicrobial, antihypertensive, antihelmintic, antioxidant, anxiolytic, chemopreventive, antipyretic, antiulcer, and antiulcer, etc. [12,13]. This diverse genus is reported in temperate and sub-tropical regions around the globe [14,15,16]. The structural diversity of natural products discovered in Myrica species put them in a favorable position as possible drug candidates with superior anti-inflammatory capabilities when compared to synthesized compounds [17]. Difficulty in understating complex etiology and exacerbating mechanism leads to hinderance in emergent enchantment bullets for chronic inflammatory disorders. Subsequently, there is a requirement for modern and secure anti-inflammatory agents extracted from plant origin [18].
Introducing protein-ligand docking, computational chemistry allows exploring the plant-inferred molecules as a drug candidate. The majority of recent computational docking approaches presume that the receptor structure is fixed. This allows for the simulated testing of a large number of possible ligands and likely canonical binding sites on receptor molecules. These procedures are significant tools for drug discovery [3]. Furthermore, molecular dynamics (MD) simulations were performed to evaluate the stability of the binding modes established by docking studies in order to investigate the interaction between protein targets and their ligands under settings that are more similar to the physiological environment [19]. The inhibitory potential of molecules presents in Myrica esculenta against inflammatory proteins can be established in vitro and confirmed via an in-silico study, which is cost-effective, time-saving, and can simplify researcher in drug modelling [20].
Thus, keeping in view the significance of the above explanations, the objective of the current study is to assess the anti-inflammatory potential of root and bark extracts of Myrica esculenta through in vitro evaluation as well as in silico molecular docking.
2. Material and Methods
The study was carried out in the department of pharmacology at the Universal College of Medical Sciences, Bhairahawa, Rupandehi, from the month of September 2022 to December 2022 after receiving approval from the Institutional Review Committee (IRC), registration number UCMS/IRC/187/22.
2.1. Plant Collection and Authentication
The bark and root of Myrica esculenta were gathered from Tansen, Palpa district, Nepal. The bark and root were cleaned properly with distilled water to remove the dust and shade dried. The collected part of Myrica esculenta was authenticated by Mr. Subodh Khanal, Assistant Professor Department of Medicinal and Aromatic plant, Institute of Agriculture and Animal Sciences (IAAS), Paklihawa, Campus, Rupandehi, Nepal (Authentication No: 205/2078/2079).
2.2. Plant Extraction
The bark and root were separately ground and made into coarse powder. The root and bark powders were weighed to 100 g and extracted with distilled water (1:10) separately for 72 h using a continuous hot Soxhlet apparatus. The extracted solvent was collected and dried under a controlled temperature of 70 ± 5 °C in a rotatory evaporator. The semisolid consistency was obtained, both extracts were weighed separately, and the percentage yield was calculated. Both extracts were stored at 4 °C for future use [21]. The % yield was calculated using the formula below:
2.3. Total Phenolic Content (TPC)
It was estimated by using the Chludil HD et al., method. The plant extract 2 mg/mL was taken in a volumetric flask with 4.6 mL of distilled water and 0.1 mL of Folin-Ciocalteau reagent was added to it and shaken for 3 min. Then, 0.3 mL of 2% Na2CO3 solution was added to the mixture and shaken for 2 h; standard gallic acid solutions (0.1–2 mg/mL) were prepared following the same procedure as the sample. The evaluation was carried out in a triplicate manner, absorbance was measured at 760 nm, and the mean value was calculated [22].
2.4. Total Flavonoid Content (TFC)
The method was based on the Shrivastava AK et al. method. Here, Quercetin was taken as the standard, and its various concentrations were prepared by dissolving it in 70% ethanol and making dilutions (0.1–2 mg/mL). The content was identified using AlCl3 by the colorimetric method. Standard solution and plant extract were prepared, and 0.2 mL of AlCl3 (10%), 0.2 mL of potassium acetate (1 M), and 5.6 mL of distilled water were added to both separately, incubated at 37 °C for 30 min. Absorbance was observed at 415 nm under U.V. spectrophotometer, and the standard curve was plotted [23].
2.5. Gas Chromatography and Mass Spectroscopy
The gas chromatography and mass spectroscopy analysis of the aqueous extract of Myrica esculenta was performed by the Nepal Academy of Science and Technology (NAST), Kathmandu, Nepal. For this study, an Agilent 7890A GC-Agilent 5975C inert MSD triple axis detector was fitted with an Agilent 19091s-433 (30 m × 250 µM × 0.25 µM) fused column. After that, carrier helium gas was used with an adjusted column velocity of 1 mL/min. The ion source and interface temperature were maintained at 230 and 320 degrees Celsius with applied 6.6018 psi pressure. The 2 µL injector in split mode with a ratio of 75:1 with injection temperature was 230 degrees Celsius. After that, the column temperature was initially maintained at 32 degrees Celsius for 5 min and changed to 70 eV at a rate of 5 degrees Celsius/minute, respectively. The temperature was increased at 280–320 °C for 5 min. The total elution time was 59.6 min. The relative percentage amount of the compound was evaluated by comparing its average peak area to the total area [24].
2.6. In Vitro Anti-Inflammatory Activity
2.6.1. Lipoxygenase (LOX) Inhibition Assay
The LOX inhibition assay of aqueous bark and root extract of M. esculanta was evaluated by the previously described method by Truong DH et al., 2020 [25] with minor modification. In the current study, linolic acid and lipoxidase enzyme were used as substrates. The lipoxidase (20,000 U) was dissolved in 1 mL of 0.1 M sodium borate buffer of pH 8.8. The extract was prepared at varying concentrations of 0.1, 0.2, 0.4, 0.8, 1, and 2 mg/mL. The aqueous extract of bark and root of M. esculanta at several concentrations was taken in 1 mL portions from each stock in different test tubes. An equal volume of lipoxidase solution was added in each test tube and incubated at 37 °C for 20 min. After the incubation, 1 mL of linolic acid was added to each reaction mixture and mixed. At 234 nm, the absorbance of the reaction mixture was measured with a UV spectrophotometer. Indomethacin and celecoxib were taken as standards. Using the following formula, the percentage of inhibition of LOX activity was determined:
where A1 = absorbance of control and A2 = absorbance of test.
2.6.2. 15-LOX Inhibitory Assay
The 15-LOX inhibitory assay was assessed using the previously described method reported by Adebayo SA et al., 2015. The bark and root extract of M. esculaenta was prepared at varying concentrations (0.1, 0.2, 0.4, 0.8, 1, and 2 mg/mL). Then, 125 µL of test samples at varying concentrations were added to another test tube. Similarly, 450 µL of 15-LOX was added into the same container and incubated for 15 min at room temperature. After the incubation, 500 µL of linolic acid was added to the reaction mixture and incubated for 15 min at room temperature. The absorbance was measured at 234 nm using UV-visible spectroscopy. The percentage inhibition of 15-LOX was calculated by using the following formula:
where A1 = absorbance of control and A2 = absorbance of test.
2.6.3. Hylurenadease (HYA) Inhibition Assay
The HYA inhibitory activity of bark and root extract of M. esculanta was evaluated using a previously defined method reported by Paun G. et al., 2020 [26] after minor modification. The bovine HYA enzyme 100 µL was dissolved in 1 mL (0.1 M) of acetate buffer. The bark and root extracts of M. esculanta at varying concentrations of 0.1, 0.2, 0.4, 0.8, 1, and 2 mg/mL were prepared. A 50 µL of extract sample of each concentration was taken into the different test tubes, and then 100 µL of 12.5 mM calcium chloride (CaCl2) was added to each tube and incubated for 20 min at 37 °C. After the incubation, 250 µL of sodium hyaluronate at 1.2 mg/mL concentration was added to the previous reaction mixture and incubated for 40 min at the same temperature. After the second incubation, 100 µL of sodium hydroxide and potassium borate at 0.4 M was added to the reaction mixture and incubated for 4 min at 90 °C in a water bath. The reaction mixture was then removed from the water bath and allowed to cool at room temperature. Then, 3 mL of 10% of P-dimethyl aminobenzyldehide was added to the cooled reaction mixture, and after 20 min, the absorbance of samples was taken at 585 nm. In the present study, indomethacin and celecoxib were used as the standards. The HYA inhibition activity was calculated by using the formula as follows:
where: A1 = absorbance of control, and A2 = absorbance of test.
2.7. In Silico Computational Study
2.7.1. Preparation of Target Protein/Macromolecules and Ligands
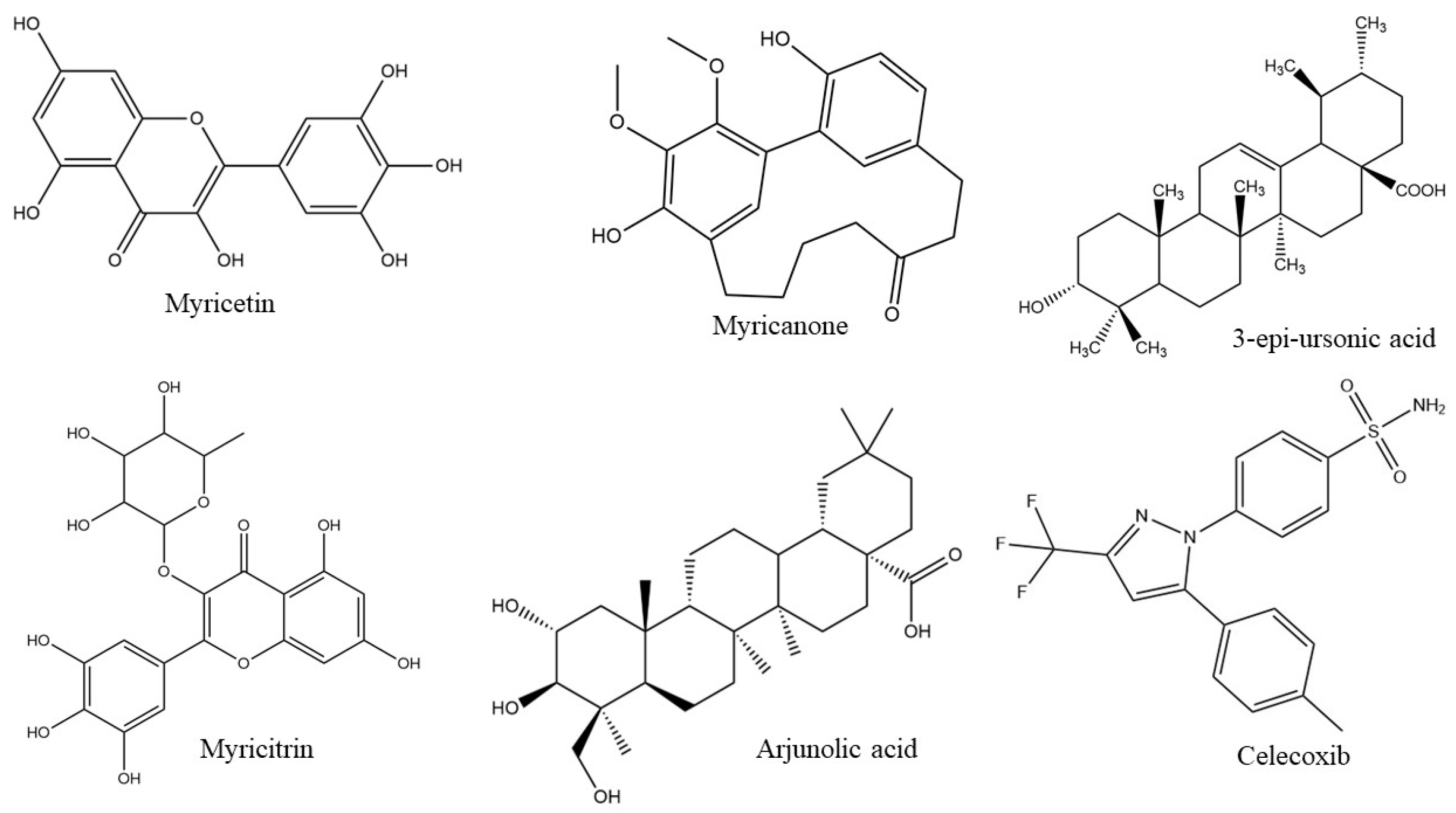
The selected proteins’ 3D X-ray crystal structures (COX1, COX2, TNF-α, and IL-10) were retrieved from the protein data bank server (https://www.rcsb.org/) (accessed on 1 September 2021). The protein structure was prepared and purified for molecular docking (Figure 1) [27,28,29]. The PDB ID of the target proteins were as follows: COX 1 (PDB ID: 4O1Z), COX 2 (PDB ID: 4M11), TNF-α (PDB ID: 2AZ5), and IL-10 (PDB ID 2H24), respectively. In the present study, a total of five phytoconstituents of Myrica esculenta were selected from Dr. Duke’s phytochemical and ethnobotanical databank (https://phyto chem.nal.usda.gov/phytochem/search/list) (accessed on 1 October 2021). All the five compounds were selected on the basis of their concentration present in M. esculenta plant and their activity. The phytoconstituents were selected in the present study were myricetin (PCID 5281672), myricanone (PCID 161748), 3-epi-ursonic acid (PCID 7163177), myricitrin (PCID 5281673), arjunolic acid (PCID 73641), and celecoxib (PCID 2662), and were obtained from the PubChem database (https://pubchem.ncbi.nlm.nih.gov/) (accessed on 1 September 2021) in SDF format and the energy was minimized by using Merck Molecular Force Field (MMFF94) of Chem draw office professional version 16.0. In the present study, celecoxib was selected as the reference compound. The structures of all ligands are represented in Figure 2 [30].
Figure 1.
3D crystal structure of inflammatory proteins (A) cyclooxygenase-1, (B) cyclooxygenase-2, (C) tumor necrosis factor (TNF) alpha, and (D) interleukin-10 (IL-10).
Figure 2.
Structure of different phytoconstituent of Myrica esculenta.
2.7.2. Quantitative Structure-Activity Relationship (QSAR) Analysis
The physio-chemical properties of the investigated substances and their relationship to their biological activity were ascertained using the QSAR analysis. Version 8.0.3 of the Hyper Cam Professional utility was used for the QSAR analysis. First, using the semi-empirical PM3 approach, the individual compound’s structure was optimized. Subsequently, energy was reduced using the Fletcher-Reeves conjugate gradient algorithm. Several QSAR parameters were evaluated in this investigation, including free energy, hydration energy, total energy, refractivity, surface area, volume polarizability, mass, dipole movement, and log P [31,32].
2.7.3. Molecular Docking Analysis
2.7.3.1. AutoDock 4.2.6
Molecular docking of chosen five phytoconstituents of M. esculenta and the reference drug celecoxib was carried out using AutoDock version 4.2.6 against four inflammatory proteins (COX1, COX2, TNF-α, and IL-10) (http://autodock.scripps.edu/) (accessed on 15 November 2021). With a grid spacing of 0.375 and grid coordinates in the X, Y, and Z axes set to 60 × 60 × 60, the native ligand’s position on the protein’s binding site was determined using auto-grid. The search was conducted using the Lamarckian genetic algorithm with a total of 10 iterations of GA criteria, and the binding energies of the results were further examined. Based on the lowest binding energy (B.E.) and inhibition constant (Ki), the optimal possible orientation of the ligand in the protein binding pocket was computationally analyzed and visualized using Accelrys Biovia Discovery studio version 17.1 [28,33].
2.7.3.2. AutoDock Vina
In the present study, AutoDock vina (http://vina.scripps.edu/) (accessed on 18 November 2021) version 2.1 was used to validate the docking procedure of AutoDock 4.2. It is significantly faster and more accurate in predicting the ligand-binding pocket than AutoDock 4.2. It uses multithread on multicore machines, resulting in faster results and automatically calculates the grid maps and clusters. It is used to run docking simulations, producing ten confirmations of ligand and protein complexes and ranking them based on binding energy and RMSD values. Visualization of the confirmation was carried out using Accelrys Biovia Discovery studio version 2020 [34].
2.7.3.3. iGMDOCK
Another docking software, iGMDOCK version 2.1, was used to bind the protein and ligands. The following are the genetic algorithm parameters that help in docking process: the population size is 200, the generations are 70, and the number of solutions is 2. Following the generation of the poses library, the best match was chosen to represent the overall binding energy in the form of hydrogen bonds (HB), van der Waals forces (VDW), and electrostatic interactions (EI) [35].
2.7.4. Molecular Dynamic Simulation
2.7.4.1. LARMD Online Server
Ligand-driven protein molecular dynamics analysis in drug development offers the best comprehension of how a protein functions in a physiological system. MD simulation of myricitrin with COX-1 (PDB ID: 4O1Z) and myricanone with TNF-α (PDB ID: 2AZ5) were conducted using ligand and receptor molecular dynamic (LARMD) web application version 1.0. (http://chemyang.ccnu.edu.cn/ccb/server/LARMD/) (accessed on 17 December 2021). To analyze receptor-ligand interactions at the atomic level, the LARMD server employs three modules: traditional molecular dynamics (Int mod), normal mode analysis (Nor mod), and steered molecular dynamics simulations (Str mod). Frequently used programs including CAVER3.0, AMBER16, MDTraj, and Bio3d are included in these three modules. JSmol, Chart.js, and MolScript are only a few of the plugins and programs that are integrated to show and evaluate the outcome on the Web page.
When employing molecular docking, the optimal binding poses of myricetin and myricitrin with COX-1 (PDB ID: 4O1Z) and myricanone with TNF- (PDB ID: 2AZ5) were uploaded in the initial stage to the PDB2PQR server, which generated the electrostatic fields of the receptor under various pH values. The MD simulation time was optimized for 3 ns by using the advanced settings. Following the first task submission of the ligand-receptor complex file, the ligand and non-standard residue(s) were enrolled for energy calculations and trajectory analysis. The service provided molecular dynamics simulation results in components such as PCA, conformation cluster, dynamic residue cross-correlations, hydrogen bond analysis, binding free energy, and energy decomposition. Standard molecular dynamics simulation module (Int mod) and steered molecular dynamics simulation module (Str mod) were utilized to investigate the interaction and dynamics of the inflammatory protein-ligand [36,37].
2.7.4.2. MD Simulation Methodology Using Schrodinger Software
The docking poses of myricetin-COX-1, myricitrin-COX-1, and myricanone-TNF- alpha and complexes that had lowest binding energies were chosen for molecular dynamic simulation for the determination of their docking complexes stability by employing the Desmond module of Schrodinger LCC computational software (Schrodinger, München, Germany) and the VMD molecular dynamic simulation tool was also used. Using the Desmond system builder, a water-soaked solvated system was constructed. A solvation system was thought to exist in the TIP3P water model system. The orthorhombic box has a periodic boundary condition of buffer distance, that has to be at least 10 Å from the protein’s surface. The MD simulation was carried out using the OPLS-3e force field, and the simulation box was filled with 0.15 M sodium chloride (NaCl) to preserve the iso-osmotic condition. A predetermined equilibrium protocol was executed prior to the simulation. Following the simulation’s equilibration, the abandoned production phase was conducted under NPT ensemble for 100 ns at 310 K and 1.01325 bar pressure. During the 100 ns MD simulation, 1000 frames were generated and recorded to the trajectory. Following the MD simulation, the interaction picture was utilized to examine the trajectory of the simulation using RMSD, RMSF, hydrogen bond analysis, and radiation of gyration (rg) [38,39,40].
2.7.4.3. Statistical Analysis
The in vitro anti-inflammatory activity values were calculated and represented in mean ± SEM. Microsoft Excel 2010 was used to obtain the % inhibition and IC50 values.
3. Results
3.1. Extractive Value of Bark and Root Extract of Myrica esculenta Plant
Percentage yield of Bark extract = 24.76%.
Percentage yield of root extract = 21.92%.
3.2. Determination of Total Phenolic and Total Flavonoid Content
Myrica esculenta has a considerable concentration of phenolic and flavonoid content in its aqueous bark and root extract. The total phenolic and flavonoid content was concentration dependent. The mean phenolic content of bark and root extract was 553.44 ± 18.38 and 421.17 ± 5.34 GAE/g equivalent, respectively. The total content of flavonoid in bark and root extract was 336.02 ± 8.04 and 277.65 ± 2.42 quercetin/g equivalent, respectively. The result indicated that the bark extract of M. esculenta has the highest TPC and TFC content compared to the root extract (Table 1).
Table 1.
The mean TPC content of Myrica esculenta bark and root extract was 553.44 ± 18.38 and 421.17 ± 5.34 mg GAE/g equivalent, respectively. The mean TFC content of bark and root extract of Myrica esculenta was 336.02 ± 8.04 and 421.17 ± 5.34 mg quercetin/g equivalent, respectively. The value was expressed in mean ± SEM.
3.3. Identification of Phytoconstituents by GC-MS Analysis
In the current work, GC-MS analysis of an aqueous extract of M. esculenta bark was used to predict a total of 21 bioactive components. Figure 3 depicts the GC-MS spectra, while Table 2 provides the retention time, molecular formula, molecular weight, and concentration. The bioactive compounds present in the aqueous extract of Myrica esculenta bark are as follows: methyl salicylate, O-amino benzohydroxamic acid, pyridine, 4-(1,1-dimethylethyl)-, benzoic acid, 4-amino-, hydrazide, 1,2,4-triazolo(4,3-a) pyrimidine, 2-chlorobenzimidazole, 5-chlorobenzimidazole, benzenemethanamine, N-methyl-, 2-isocyanatopyridine, N,N,N′,N′-tetraethyl-1,2-di-furan-2-yl-ethane-1,2-diamine, eicosane, octadecane, tetratetracontane, hexatriacontane, docosane, 7-hexyl-, tetrapentacontane, triacontane, 1-bromo-, hentriacontane, tetracosane, octadecane, 3-ethyl-5-(2-ethylbutyl)-, and dotriacontane.
Figure 3.
GC-MS spectra of Myrica esculenta bark extract.
Table 2.
Determination of Bioactive compounds present in aqueous bark extract of Myrica esculenta.
3.4. In Vitro Anti-Inflammatory Activity
In vitro anti-inflammatory efficacy of an aqueous extract of the bark and root of M. esculenta is depicted in Table 3. The result showed that bark extract has significant inhibition of 5-Lox, 15-Lox, and HYA which were 11.26 ± 3.93, 25.57 ± 8.94, and 21.61 ± 8.27 µg/mL, respectively. Root extract has good inhibition but is least effective compared to bark extract, except 15-Lox inhibition which was 16.95 ± 5.92 µg/mL. Similarly, 5-Lox and HYA inhibition were 23.024 ± 8.04 and 40.24 ± 15.41 µg/mL, respectively. The present study used two standard anti-inflammatory drugs, indomethacin and celecoxib. In comparison between both standard drugs, indomethacin showed the highest inhibition in 5-Lox (9.87 ± 3.78 µg/mL), 15-Lox (12.19 ± 4.67 µg/mL), and HYA (7.82 ± 2.99 µg/mL) activities, respectively.
Table 3.
In vitro anti-inflammatory activity of aqueous bark and root extract of Myrica esculenta.
3.5. In Silico Computational Analysis
3.5.1. Quantitative Structure–Activity Relationship (QSAR) Studies
The current study’s computational QSAR analysis discovered that the partition coefficient (log P) values of 3-epi-ursonic acid were 9.37 greater than those of other substances. The increase in the log p value indicated the ability to permeate into the biological membrane, particularly the blood brain barrier (BBB), exhibiting its neurological activity. The other key parameters of all selected compounds were also estimated and reported in Table 4.
Table 4.
QSAR study of selected compounds.
3.5.2. Molecular Docking
Molecular docking analysis of selected M. esculenta phytoconstituents (myricetin, myricanone, 3-epi-ursonic acid, myricitrin, arjunolic acid) and a reference drug celecoxib were carried out against four selected inflammatory proteins (COX1, COX2, TNF-α, and IL-10) using AutoDock v4.2.6. In order to gather the binding energy necessary for complex formation and examine the molecular processes underlying the inhibition of particular proteins, the catalytically active region of proteins was targeted. Table 5 and Table 6 represent a summary of the binding energies and dissociation constants (Kd) of M. esculenta phytoconstituents with regard to the above-mentioned proteins. The result was further validated using AutoDock vina and iGEMDOCK expressed in Table 7, Table 8, Table 9 and Table 10 respectively. The results analyzed from AutoDock v4.2.6 showed that all the five phytoconstituents and standard drug celecoxib exhibited potent binding affinity to inflammatory proteins.
Table 5.
Binding energies (kcal/mol) and dissociation constants (Kd) of myricetin, myricanone, 3-epi-ursonic acid, myricitrin, arjunolic acid, and celecoxib towards COX-1 and COX-2 using AutoDock 4.2.6.
Table 6.
Binding energies (kcal/mol) and dissociation constants (Kd) of myricetin, myricanone, 3-epi-ursonic acid, myricitrin, arjunolic acid, and celecoxib towards TNF- α and IL-10 using AutoDock 4.2.6.
Table 7.
Binding energies (kcal/mol) and dissociation constants (Kd) of myricetin, myricanone, 3-epi-ursonic acid, myricitrin, arjunolic acid, and celecoxib towards COX-1 and COX-2 using AutoDock vina.
Table 8.
Binding energies (kcal/mol) and dissociation constants (Kd) of myricetin, myricanone, 3-epi-ursonic acid, myricitrin, arjunolic acid, and celecoxib towards TNF- α and IL-10 using AutoDock vina.
Table 9.
Binding energies (kcal/mol) and dissociation constants (Kd) of myricetin, myricanone, 3-epi-ursonic acid, myricitrin, arjunolic acid, and celecoxib towards COX-1 and COX-2 using iGEMDOCK.
Table 10.
Binding energies (kcal/mol) and dissociation constants (Kd) of myricetin, myricanone, 3-epi-ursonic acid, myricitrin, arjunolic acid, and celecoxib towards TNF-α and IL-10 using iGEMDOCK.
The binding affinities of the phytoconstituents and reference drug (celecoxib) with cyclooxygenase-1 (PDB ID: 4O1Z) decreased in order myricetin > arjunolic acid > celecoxib > myricanone > myricitrin > 3-epi-ursonic acid. However, myricetin (BE = −9.95 kcal/mol, kd = 50.71 nM) and arjunolic acid (BE = −9.25 kcal/mol, kd = 165.34 nM) were shown to have greater binding affinity than standard drug celecoxib (BE = −7.9 kcal/mol, kd = 1.61 μM) (Table 5). The binding affinities with cyclooxygenase-2 (PDB ID: 4M11) decreased in the order myricetin > arjunolic acid > 3-epi-ursonic acid > myricanone > celecoxib > myricitrin. The binding affinities of all the phytoconstituents except myricitrin were found to be similar to that of the reference drug celecoxib (BE = −5.72 kcal/mol, kd = 64.32 μM) with myricetin (BE = −6.97 kcal/mol, kd = 7.79 μM) and arjunolic acid (BE = −6.92 kcal/mol, kd = 8.5 μM) showing highest affinities (Table 4). Analysis utilizing AutoDock Vina and the iGEMDOCK program further confirmed the outcome (Table 7).
The binding affinities of phytoconstituents and celecoxib with tumor necrosis factor (TNF-α) (PDB ID: 2AZ5) decreased in the following order: myricanone > arjunolic acid > myricetin > 3-epi-ursonic acid > celecoxib > myricitrin, as shown in Table 6. Similar binding affinities of phytoconstituents except myricitrin were found with TNF-α protein having the highest affinity of myricanone (BE = −7.78 kcal/mol, kd = 2.0 μM) as compared to celecoxib (BE = −6.52 kcal/mol, kd = 16.55 μM). Similarly, myricanone showed the highest affinity towards interleukin (IL)-10 (PDB ID: 2H24) (BE = −7.09 kcal/mol, kd = 6.32 μM) as compared to celecoxib (BE = −5.44 kcal/mol, kd = 102.12 μM), respectively. The results were further confirmed using AutoDock vina (Table 8) and iGEMDOCK (Table 9 and Table 10).
The docking validation was assessed with AutoDock vina. In Table 6, the result expressed that myricitrin has the highest and almost equal binding affinity with COX-1 and COX-2 protein (BE = −10.1 kal/mol, kd = 38.59 and BE = −10.5 kal/mol, kd = 13.51), respectively. In contrast, other phytoconstituents of M. esculenta showed almost similar interaction. The arjunolic acid and 3-epi ursonic acid have the highest interaction with TNF-α (−9.4 Kcal/mol kd 120.71 nm and −9.2 Kcal/mol, kd 181.81 nm), respectively. Similarly, myricanone (−8.0 Kcal/mol, kd 1.62 µM) and arjunolic acid (−8.3 Kcal/mol, kd 848.93 nM) showed the highest and equal binding affinity with IL-10 (Table 7). The selected inflammatory proteins were redocked with active phytoconstituents of M. esculenta using iGEMDOCK v 2.1. The result revealed that myricetin shows strong interaction with COX-1 (−125.784 Kcal/mol) and COX-2 (−132.492 Kcal/mol) in Table 9, respectively. Whereas with TNF-α, myricitrin (−108.99), arjunolic acid (−95.38), and myricetin (−91.44) showed the highest interaction. Similarly, IL-10 myricetin and mrjunolic acid showed strong interaction with binding energies −87.17 and −86.14 Kcal/Mol, respectively, in Table 10. The ligand-protein interaction by different docking tools were visualized in Supplementary Tables S1–S4.
3.5.3. Molecular Dynamic (MD) Simulation
In the current investigation, the docking analysis was carefully monitored, and a few ligand protein complexes with the greatest interaction were selected. Thus, myricetin and myricitrin showed the highest interaction with cyclooxygenase 1 enzyme, while myricanone showed the highest interaction with TNF-α. The goal of the MD simulation was to determine the stability of compounds that interacted with different proteins. Thus, two different MD simulation tools, LARMD online tool and Schrodinger maestro software, were used in the present study. The LARMD molecular dynamic simulation result was explained in Supplementary File S1.
3.5.4. Schrodinger Molecular Dynamic Simulation
3.5.4.1. Stability Analysis of Complex by RMSD
Structural changes of the Cα atoms were first calculated separately for each time point during the RMSD study for the MD simulation of PDB ID-4O1Z COX-1 (Figure 4A), COX-1 (Figure 4B), and PDB ID 2AZ5 TNF alpha (Figure 4C) with ligands myricetin, myricitrin, and myricanone. The RMSD analysis of proteins provides information about the rotational displacement of atoms in the PDB ID-4O1Z COX-1 (Figure 4A), COX-1 (Figure 4B), and PDB ID-2AZ5 TNF alpha (Figure 4C) structures throughout the course of 100 MD simulations. The RMSD analysis of the ligand provides information about the amino acid that interacts with the protein for ligand stability. The RMSD graph of PDB ID-4O1Z COX- 1 (Figure 4A) illustrates the initial displacement of protein Cα atoms, although it remained in the equilibrium phase until the simulation was completed, with an RMSD value ranging from 1.07–2.3 Å. While the ligand RMSD which ranges from 0.193–1.885 Å demonstrates the better stability of a complex exhibiting equilibrated motion during the 100 ns MD simulation. Similarly, the RMSD graph of PDB ID 401Z COX-1 (Figure 4B) represented the initial displacement of the protein Cα atom. Even so, it kept the equilibrium phase going, although the simulation ended with values 1.172–2.247 Å. The ligand RMSD value ranges between 1.493–3.972 Å showed good complex stability by equilibrium motion throughout 100 ns of MD simulation. The RMSD graph of PDB ID 2AZ5 TNF alpha (Figure 4C) represents the initial displacement of protein Cα atoms, but it reached the equilibrium phase until the end of the simulation with RMSD values ranging from 1.377 to 3.457, whereas the ligand RMSD with values ranging from 0.378 to 1.267 demonstrates the good stability of complex by equilibrated motion during 100 ns MD simulation.
Figure 4.
PDB ID-4O1Z COX-1 (A), COX-1 (B), and PDB ID 2AZ5 TNF alpha (C) with ligands myricetin, myricitrin, and myricanone. RMSD values plotted against simulation 100 ns.
A thorough examination of the RMSD of protein Cα atoms for the PDB ID 2AZ5 TNF alpha protein reveals little time fluctuations. In the initial phase up to 10 ns, the RMSD value of protein Cα atoms was 1.429–1.872 Å, after which it gets equilibrated with an RMSD value of 1.427–1.811 Å and again showed some fluctuation in the final 10 ns (90–100 ns) with an RMSD value of 1.853–2.258 Å. The ligand position slightly shifted from its previous position to another position several times with an RMSD value of 0.378–1.267 Å. Similarly, Figure 4B shows that the ligand RMSD value fluctuated at the end phase of the simulation of 5 ns (95–100 ns) ranging from 2.347–3.628 Å. On analysis with both the RMSD value the complexes PDB ID-4O1Z COX-1-myricetin and myricitrin and PDB ID 2AZ5 TNF alpha—myricanone, the result showed that PDB ID-4O1Z COX-1-myricetin was more stable system than PDB ID 2AZ5 TNF alpha—myricanone and PDB ID 4O1Z-COX-1-myricetrin, respectively.
3.5.4.2. Stability Analysis by RMSF
All Cα atoms were subjected to the RMSF analysis for structural flexibility for each time point throughout the simulation for PDB ID-4O1Z COX-1-myricetin, PDB ID-4O1Z COX-1-myricetrin, and PDB ID 2AZ5 TNF alpha—myricanone. (Figure 5A–C). To elucidate the local conformational shift of the complex, RMSF analysis of the PDB ID-4O1Z COX-1 and PDB ID-2AZ5 TNF alpha structure RMSF has been conducted. During PDB ID-4O1Z COX-1-myricetin and myricitrin simulation, the peaks in the graph RMSF illustrate the fluctuation of Cα. A and B, more profound analyses of the secondary structure of protein RMSF display the enhanced flexibility in the loop region followed by the beta-strand, and the alpha helix was more stable. The myricetin and myricitrin interact with PDB ID-4O1Z COX-1, mainly in the region of alpha-helices amino acids, so it displays good stability similar to alpha helices (green lines). The RMSF values of amino acids interacting with myricetin and myricitrin are 0.428–3.749 and 0.486–3.751 Å, respectively. These interacting residues allow the myricetin and myricitrin to explore the PDB ID-4O1Z COX-1 binding site to find a favorably energetic location to interact with the surrounding residue.
Figure 5.
The PDB ID-4O1Z COX-1 (A), COX-1 (B), and PDB ID 2AZ5 TNF alpha (C) RMSF graph displays protein residue fluctuations from the 100 ns simulation (light blue curve) residues in interaction with the ligand.
The RMSF study of COX-1 indicates that all areas of the protein are flexible, with the exception of the myricanone-binding amino acid domains. The RMSF value of myricanone binding amino acids was found to be 0.536–4.472 Å whereas the RMSF value of protein was 0.536–4.472 Å; these values revealed that myricanone shows good binding affinity with protein, but due to the local fluctuation of c-alpha atoms of protein RMSD, values of myricanone displayed more variation.
3.5.4.3. Protein-Ligand Contact Analysis
In order to verify and examine the time-dependent interaction of protein-ligand complexes, as well as establish the complex’s stabilization, a dynamic molecular study was carried out. The selection of best-docked complexes was made to execute MD simulations based on the findings of interaction research carried out on COX-1 and TNF-α with myricetin, myricitrin, and myricanone. The dynamic stability of complexes was characterized and evaluated using computational variables such as P-RMSF, protein-ligand RMSD, protein-ligand contacts, P-RMSF, ligand torsion profile, and ligand characteristics during a 100 ns MD simulation.
Monitoring the protein-ligand interaction was performed throughout the MD simulation. As shown in Figure 6A, myricetin was found to form hydrogen bonds directly with COX-1 at amino acid positions A:Ser143, A:Asn144, A:Arg374, A:Asn375, A:Arg376, B:Phe142, B:Leu224, B:His226, B:Gly227, B:Arg374, B:Asn375, and B:Gly536. Amino acid Asn375 present on the B chain of COX-1 protein was found to interact for approximately 0.85 interaction fraction. However, Leu224 and His226 formed hydrogen bonds for a 0.6 interaction fraction.
Figure 6.
Protein-ligand contacts of (A) COX-1 and myrecitin, (B) COX-1 and myricitrin, and (C) TNF-α and myricanone during 100 ns simulation run.
Furthermore, in Figure 6B, myricitrin formed hydrogen bonds at positions A:Ser143, A:Asn144, A:Val145, A:Leu224, A:Gly225, A:Arg374, A:Asn375, B:Ser143, B:Gly225, B:Arg374, B:Asn375, and B:Arg376 in COX-1 protein. The ligand was found to interact with the protein for approximately 2.3 interaction fraction of time. Figure 6C shows that myricanone formed hydrogen bonds at amino acid positions C:Ser60, C:Gln61, C:Leu120, C:Gly121, C:Tyr151, D:Ser60, and D:Leu120. The hydrogen bond formed by Leu120 in the D chain of TNF-α protein stabilized for about 0.4 of the interaction fraction time. All three ligands also formed hydrophobic and ionic interactions with different amino acids, as depicted in Figure 6.
COX-1 B:Asn375 and B:Gly:225 formed direct bonds with the OH-group of myricitrin for approximately 81% and 60% of the simulation run (Figure 6A). Additionally, A:Leu224 formed direct bonds with OH-groups for 48%, 55%, and 32% of the time of the run. However, A:Gly225 formed a direct bond with the OH-group for 50% of the run time. A:Arg374 formed bonds with OH-groups for 32% and 81%, whereas it formed bonds with the O-group for approximately 112% of the run time. Additionally, A:Arg374 formed pi-pi interaction with one of the benzene rings for 65% of the 100 ns simulation run time.
In the case of myricetin, three OH-groups formed direct bonds with A:Ser143, B:Gly227, B:Leu224, and B:Asn375 residues of COX-1 for approximately 35%, 64%, 60%, and 58% of the simulation run time, respectively. However, two other OH-groups formed water-mediated bonds with A:Asn375 for 33% and 34% of the run time. Additionally, two pi-pi bonds, one with A:Phe142 and the other with A:Arg374, were observed bonding with the two benzene rings of myricetin for 45% and 47% of the 100 ns run time. Furthermore, myricanone was found to form one direct bond with D:Leu120 residue of TNF alpha protein (Figure 7).
Figure 7.
Ligand-protein contact analysis of (A) myricitrin with COX-1 protein (B) myricetin with COX-1 protein and (C) myricanone with TNF alpha protein.
The radius of gyration (rGyr) provides a detailed indication of the compactness of the selected target protein structures with ligands. The myricetin-COX-1, myricitrin-COX-1, and myricanone- TNF alpha complexes ranged between 3.783–3.891 Å, 4.102–4.345 Å, and 3.358–3.662 Å, respectively. However, the number of intra-hydrogen bonds ranges between 0–2 for myricitrin-COX-1, myricetin-COX-1, and 0–1 for myricanone- TNF. The solvent-accessible surface area (SASA) helps determine how well the ligand and solvent interact during the complete simulation runtime. In the current study, the values of SASA range between 9.258–48.928 Å for the myricetin-COX-1 complex, and11.428–123.515 Å for the myricitrin-COX-1 complex; however, values range between 64.599–233.373 Å for the myricanone-TNF alpha complex. The solvent-accessible surface area of ligands with contributions from solely oxygen and nitrogen atoms was also measured using a polar surface. Furthermore, the molecular surface area (MolSA) was also calculated with a 1.4 Å probe radius that was equivalent to van der Waals surface area ranging between 355.514–372.228 Å for myricitrin-COX-1, and 312.612–332.148 Å and 310.953–327.422 Å for myricanone-TNF alpha (Figure 8A–C), respectively.
Figure 8.
Ligand properties demonstrated of (A) myricetin, (B) myricitrin, (C) myricanone by RMSD (blue line), radius of gyration (green line), molecular surface area (orange line), solvent accessible surface area (cyan blue line), and polar surface area (brown line).
4. Discussion
Extracts from Myrica esculenta have been reported to possess anti-allergic [41], antiasthmatic [8], analgesic, anti-inflammatory, antipyretic [42,43], and mast cell-stabilizing properties [44]. Based on these shards of evidence, an effort has been undertaken to explore the anti-inflammatory property of certain compounds present in M. esculenta through computational methods. The current study aimed to evaluate the in vitro anti-inflammatory activity of the aqueous extract of the bark and root of M. esculenta as well as in silico evaluation of selected phytoconstituents of Myrica esculenta (myricetin, myricanone, 3-epi-ursonic acid, myricitrin, arjunolic acid) against four inflammatory proteins (COX-1, COX-2, TNF-α, and IL-10) regarding the standard drug celecoxib.
Previous research showed that M. esculenta methanolic bark extract has the highest extractive values, 26.45% and 19.02%, respectively [45,46]. Similarly, in the present study, aqueous bark and root of M. escuenta showed similar extractive values of 24.76% and 21.92%, respectively.
A prior study by Kabra A. et al. claimed that aqueous leaves extract of M. esculenta showed significant total phenolic and flavonoid content of 62.38 ± 0.14 mg/g GAE and 35.77 ± 0.14 mg/g QE, respectively [10]. In this investigation, the aqueous bark and root extract of M. esculenta exhibited the greatest total phenolic (553.44 ± 18.38, 226.02 ± 8.04 mg/g GAE) and flavonoid content (421.17 ± 5.34, 277.65 ± 2.42 mg/g QE), respectively. A different prior study found that methanolic fruit pulp extract of M. esculenta contains a significant quantity of total phenolic and flavonoid content, which was 1.78 mg/g GAE and 1.59 mg/g QE, respectively [47]. Comparing different parts of the plant and their solvent, the present study showed the highest total phenolic and flavonoid content in the aqueous bark extract of M. esculenta.
Myrica rubra is a Chinese bayberry of the same family as Myrica esculenta. The previous study reported that aqueous leaves extract of M. rubra revealed a significant lipoxygenase inhibitory activity of IC50 50.57 µg/mL [48]. Another earlier study conducted by Middha SK et al. found that the methanolic extract of Myrica nagi showed dose-dependent inhibition of IL-1β and TNF-α. A 200 mg of M. nagi methanolic extract showed the highest inhibition in both inflammatory proteins [17]. In the current study, lipoxygenase enzyme activity was carried out, and a dose-dependent inhibition by the aqueous extract of M. esculenta was observed. As such, no previous lipoxygenase inhibitory activity of M. esculenta study was reported.
Molecular docking analysis of selected phytoconstituents using AutoDock4.2.6 has revealed that myricetin (BE = −9.95 kcal/mol, kd = 50.71 nM) has excellent binding affinities with COX-1 (PDB ID: 4O1Z) followed by arjunolic acid (BE = −9.25 kcal/mol, kd = 165.34 nM). Similar results were found using AutoDock vina.
In the case of binding affinities towards COX-2 (PDB ID: 4M11), myricetin (BE = −6.97 kcal/mol, kd = 7.79 μM) followed by arjunolic acid (BE = −6.92 kcal/mol, kd = 8.5 μM) exhibited best binding affinities as analyzed by AutoDock 4.2.6. The current results are in agreement with the docking score of myricetin and COX-2 protein (PDB ID: 4PH9) (BE = −6.52 kcal/mol) with a previous study performed by Kumar et al., 2019 [49]. In contrast, myricanone (BE = −10.5 kcal/mol, kd = 13.51 M) displayed the greatest binding affinity with COX-2 protein as analyzed by AutoDock vina.
Likewise, in the case of binding interaction with TNF- α, myricanone (BE = −7.78 kcal/mol, kd = 2.0 μM) showed the best result, followed by arjunolic acid (BE = −7.34 kcal/mol, kd = 4.2 μM) (Table 6). However, the AutoDock vina analyzed result showed the best binding affinity arjunolic acid (BE = −9.4 kcal/mol, kd = 120 nM) with TNF- α followed by 3-epi-ursonic acid (BE = −9.2 kcal/mol, kd = 181.81 nM).
Similarly, myricanone showed the highest affinity towards IL-10 (PDB ID: 2H24) (BE = −7.09 kcal/mol, kd = 6.32 μM), as analyzed from AutoDock 4.2.6 (Table 6), whereas the AutoDock vina analyzed result exhibiting arjunolic acid (BE = −8.3 kcal/mol, kd = 8848.93 nM) has the best affinity towards IL-10.
As is evident from the above results, the binding affinity of phytoconstituents showed modest variances, which might be attributed to discrepancies in grid box creation and identification of binding sites on target proteins by this software due to slight variations in the selection criterion. Because of this, the COX-1, COX-2, TNF-, and IL-10 proteins’ binding pockets have different interactions with amino acids.
Based on binding energies and dissociation constant (Kd) values, myricetin, arjunolic acid, myricanone, and myricitrin were the most effective anti-inflammatory phytoconstituents in Myrica esculenta.
A molecular dynamics simulation is an important tool for understanding the dynamic behavior of a macromolecule in a biological system at various timeframes. RMSD is always a positive number, and a value of 0 indicates a perfect match to the data, which is impossible to attain in practice. Generally, a lower value of RMSD indicates a model is better than the target structure. When a dynamic system varies around a well-defined average location, the RMSD is referred to as the RMSF. Interestingly, in the present study, complexes of myricetin with COX-1, myricitrin, and COX-1 and myricanone with TNF-α protein were found to display very low deviations of 0.24–1.30 Å, 0.6–1.55 Å, and 0.44–1.35 Å, respectively, in a timeframe of 3 ns, which suggested good stability of complexes. Similarly, the analysis of RMSF, Rg, and Qx throughout 3 ns, comprising B-factors, demonstrated the thermodynamic stability of the above complexes. Similar to this, the study of a 100 ns MD simulation revealed that the RMSD values of myricetin COX-1, myricetin COX-1, and myricanone TNF- α showed good stability and that their respective equilibrium motion ranges were 1.07–2.3 Å, 1.172–2.247 Å, and 1.493 Å, respectively. However, the myricetin COX-1 complex showed the highest RMSD and RMSF stability compared to other complexes.
5. Conclusions
In the current study, the aqueous extract of M. esculenta showed significant and dose-dependent antioxidant and anti-inflammatory activity. The result from the present study revealed that M. esculenta extract contains high TPC and TFC content, representing a major contributor to antioxidant capacity. Similarly, the bark and root extract of M. esculenta extract showed significant anti-inflammatory activity. The present study concluded that bark extract contains different types of bioactive compounds and revealed the highest antioxidant and anti-inflammatory activity compared to root extract.
Supplementary Materials
The following supporting information and presentation material can be downloaded at: https://www.mdpi.com/article/10.3390/ECB2023-14079/s1, supporting information: (1) Best docking poses of selected phytoconstituents of Myrica esculenta with COX-1, COX-2, TNF-alpha and interleukin 10 generated by using AutoDock 4.2.6, AutoDock Vina and iGEMDOCK. (2) Molecular dynamic (MD) simulation study by using LARMD online server.
Author Contributions
Conceptualization, A.K.S. and D.C.; methodology, D.C. and L.S.; Software, A.K.S., D.C., M.A., M.E.A., S.T.A.-S. and W.A.E.; validation, A.K.S., P.P.G. and M.P.; formal analysis, A.K.S., D.C. and A.G.; investigation, A.K.S. and M.A.; resources, D.C.; data curation, D.C. and A.K.S.; writing original, D.C., A.T., A.P., A.S. and A.K.S.; draft preparation, A.K.S., D.C., P.P.G. and M.P.; writing review and editing, A.P., A.T. and A.S.; supervision, A.K.S., L.S., A.P. and P.P.G. All authors have read and agreed to the published version of the manuscript.
Funding
This research received no external funding.
Institutional Review Board Statement
Before starting the experiment, the research proposal was submitted to the Institutional Review committee (IRC). After taking the approval from the (IRC) the experiments were started. The IRC Registration No UCMS/IRC/187/22.
Informed Consent Statement
Not applicable.
Data Availability Statement
Not applicable.
Acknowledgments
The authors extend their appreciation to the Researchers Supporting Project number (RSPD2023R543), King Saud University, Riyadh, Saudi Arabia.
Conflicts of Interest
The authors have no conflict of interest.
References
- Min, Z.; Navam, S.H.; Ronny, H.; Arvind, K.; Apputhury, P.M.; Arumugam, M.; Rasekhara, R.M. Phytochemicals, antioxidant and antimicrobial activity of Hibiscus sabdariffa, Centella asiatica, Moringa oleifera and Murraya koenigii leaves. J. Med. Plants Res. 2011, 5, 6672–6680. [Google Scholar]
- Utami, W.; Aziz, H.; Fitriani, I.; Zikri, A.; Mayasri, A.; Nasrudin, D. In silico anti-inflammatory activity evaluation of some bioactive compound from ficus religiosa through molecular docking approach. J. Phys. Conf. Ser. 2020, 1563, 012024. [Google Scholar] [CrossRef]
- Ul Hassan, S.S.; Zhang, W.-D.; Jin, H.-Z.; Basha, S.H.; Priya, S.S. In silico anti-inflammatory potential of guaiane dimers from Xylopia vielana targeting COX-2. J. Biomol. Struct. Dyn. 2022, 40, 484–498. [Google Scholar] [CrossRef] [PubMed]
- Dinarello, C.A. Anti-inflammatory agents: Present and future. Cell 2010, 140, 935–950. [Google Scholar] [CrossRef] [PubMed]
- Oboh, G. Effect of blanching on the antioxidant properties of some tropical green leafy vegetables. LWT Food Sci. Technol. 2005, 38, 513–517. [Google Scholar] [CrossRef]
- Refaey, M.S.; Abouelela, M.E.; El-Shoura, E.A.M.; Alkhalidi, H.M.; Fadil, S.A.; Elhady, S.S.; Abdelhameed, R.F.A. In Vitro Anti-Inflammatory Activity of Cotula anthemoides Essential Oil and In silico Molecular Docking of Its Bioactives. Molecules 2022, 27, 1994. [Google Scholar] [CrossRef] [PubMed]
- Tiwari, M.; Dwivedi, U.N.; Kakkar, P. Suppression of oxidative stress and pro-inflammatory mediators by Cymbopogon citratus D. Stapf extract in lipopolysaccharide stimulated murine alveolar macrophages. Food Chem. Toxicol. 2010, 48, 2913–2919. [Google Scholar] [CrossRef]
- K Rana, R.; K Patel, R. Pharmacological evaluation of antiasthmatic activity of Myrica nagi bark extracts. Anti-Inflamm. Anti-Allergy Agents Med. Chem. 2016, 15, 145–152. [Google Scholar] [CrossRef]
- Kabra, A.; Martins, N.; Sharma, R.; Kabra, R.; Baghel, U.S. Myrica esculenta Buch.-Ham. ex D. Don: A Natural Source for Health Promotion and Disease Prevention. Plants 2019, 8, 149. [Google Scholar] [CrossRef]
- Kabra, A.; Sharma, R.; Hano, C.; Kabra, R.; Martins, N.; Baghel, U.S. Phytochemical Composition, Antioxidant, and Antimicrobial Attributes of Different Solvent Extracts from Myrica esculenta Buch.-Ham. ex. D. Don Leaves. Biomolecules 2019, 9, 357. [Google Scholar] [CrossRef]
- Sood, P.; Shri, R. A review on ethnomedicinal, phytochemical and pharmacological aspects of Myrica esculenta. Indian J. Pharm. Sci. 2018, 80, 2–13. [Google Scholar] [CrossRef]
- Fang, Z.; Zhang, Y.; Lü, Y.; Ma, G.; Chen, J.; Liu, D.; Ye, X. Phenolic compounds and antioxidant capacities of bayberry juices. Food Chem. 2009, 113, 884–888. [Google Scholar] [CrossRef]
- Srivastava, B.; Sharma, V.C.; Pant, P.; Pandey, N.; Jadhav, A. Evaluation for substitution of stem bark with small branches of Myrica esculenta for medicinal use–A comparative phytochemical study. J. Ayurveda Integr. Med. 2016, 7, 218–223. [Google Scholar] [CrossRef] [PubMed]
- Mahato, R.; Chaudhary, R. Ethnomedicinal study and antibacterial activities of selected plants of Palpa district, Nepal. Sci. World 2005, 3, 26–31. [Google Scholar]
- Rauf, A.; Abu-Izneid, T.; Rashid, U.; Alhumaydhi, F.A.; Bawazeer, S.; Khalil, A.A.; Aljohani, A.S.M.; Abdallah, E.M.; Al-Tawaha, A.R.; Mabkhot, Y.N.; et al. Anti-inflammatory, Antibacterial, Toxicological Profile, and In silico Studies of Dimeric Naphthoquinones from Diospyros lotus. Biomed Res. Int. 2020, 2020, 7942549. [Google Scholar] [CrossRef]
- Singh, J.; Lan, V.K.; Trivedi, V.P. Pharmacognostic Evaluation of Katphala (The bark of Myrica esculenta Buch—Ham). Anc. Sci. Life 1986, 6, 85–87. [Google Scholar]
- Middha, S.K.; Usha, T.; Babu, D.; Misra, A.K.; Lokesh, P.; Goyal, A.K. Evaluation of antioxidative, analgesic and anti-inflammatory activities of methanolic extract of Myrica nagi leaves-an animal model approach. Symbiosis 2016, 70, 179–184. [Google Scholar] [CrossRef]
- Yadav, D.K.; Mudgal, V.; Agrawal, J.; Maurya, A.K.; Bawankule, D.U.; Chanotiya, C.S.; Khan, F.; Thul, S.T. Molecular docking and ADME studies of natural compounds of Agarwood oil for topical anti-inflammatory activity. Curr. Comput. Aided Drug. Des. 2013, 9, 360–370. [Google Scholar] [CrossRef]
- Wang, Y.; Hu, B.; Peng, Y.; Xiong, X.; Jing, W.; Wang, J.; Gao, H. In silico exploration of the molecular mechanism of cassane diterpenoids on anti-inflammatory and immunomodulatory activity. J. Chem. Inf. Model. 2019, 59, 2309–2323. [Google Scholar] [CrossRef]
- Iqbal, D.; Khan, M.S.; Waiz, M.; Rehman, M.T.; Alaidarous, M.; Jamal, A.; Alothaim, A.S.; AlAjmi, M.F.; Alshehri, B.M.; Banawas, S. Exploring the Binding Pattern of Geraniol with Acetylcholinesterase through In silico Docking, Molecular Dynamics Simulation, and In Vitro Enzyme Inhibition Kinetics Studies. Cells 2021, 10, 3533. [Google Scholar] [CrossRef]
- Kabra, A.; Sharma, R.; Singla, S.; Kabra, R.; Baghel, U.S. Pharmacognostic characterization of Myrica esculenta leaves. J. Ayurveda Integr. Med. 2019, 10, 18–24. [Google Scholar] [CrossRef] [PubMed]
- Chludil, H.D.; Corbino, G.B.; Leicach, S.R. Soil quality effects on Chenopodium album flavonoid content and antioxidant potential. J. Agric. Food Chem. 2008, 56, 5050–5056. [Google Scholar] [CrossRef] [PubMed]
- Shrivastava, A.K.; Thapa, S.; Shrestha, L.; Mehta, R.K.; Gupta, A.; Koirala, N. Phytochemical screening and the effect of Trichosanthes dioica in high-fat diet induced atherosclerosis in Wistar rats. Food Front. 2021, 2, 527–536. [Google Scholar] [CrossRef]
- Olivia, N.U.; Goodness, U.C.; Obinna, O.M. Phytochemical profiling and GC-MS analysis of aqueous methanol fraction of Hibiscus asper leaves. Future J. Pharm. Sci. 2021, 7, 59. [Google Scholar] [CrossRef]
- Truong, D.H.; Ta, N.T.A.; Pham, T.V.; Huynh, T.D.; Do, Q.T.G.; Dinh, N.C.G.; Dang, C.D.; Nguyen, T.K.C.; Bui, A.V. Effects of solvent—Solvent fractionation on the total terpenoid content and in vitro anti-inflammatory activity of Serevenia buxifolia bark extract. Food Sci. Nutr. 2021, 9, 1720–1735. [Google Scholar] [CrossRef]
- Paun, G.; Neagu, E.; Albu, C.; Savin, S.; Radu, G.L. In vitro evaluation of antidiabetic and anti-inflammatory activities of polyphenolic-rich extracts from anchusa officinalis and melilotus officinalis. ACS Omega 2020, 5, 13014–13022. [Google Scholar] [CrossRef]
- Ahmad, R. Steroidal glycoalkaloids from Solanum nigrum target cytoskeletal proteins: An In silico analysis. Peerj 2019, 7, 6012. [Google Scholar] [CrossRef]
- Contreras-Puentes, N.; Alviz-Amador, A. Virtual screening of natural metabolites and antiviral drugs with potential inhibitory activity against 3CL-PRO and PL-PRO. Biomed. Pharmacol. J. 2020, 13, 933–941. [Google Scholar] [CrossRef]
- Khan, T.; Azad, I.; Ahmad, R.; Raza, S.; Dixit, S.; Joshi, S.; Khan, A.R. Synthesis, characterization, computational studies and biological activity evaluation of Cu, Fe, Co and Zn complexes with 2-butanone thiosemicarbazone and 1, 10-phenanthroline ligands as anticancer and antibacterial agents. Excli J. 2018, 17, 331. [Google Scholar]
- Okoli, B.J.; Eltayb, W.A.; Gyebi, G.A.; Ghanam, A.R.; Ladan, Z.; Oguegbulu, J.C.; Abdalla, M. In silico Study and Excito-Repellent Activity of Vitex negundo L. Essential Oil against Anopheles gambiae. Appl. Sci. 2022, 12, 7500. [Google Scholar] [CrossRef]
- Mohapatra, R.K.; Dhama, K.; El–Arabey, A.A.; Sarangi, A.K.; Tiwari, R.; Emran, T.B.; Azam, M.; Al-Resayes, S.I.; Raval, M.K.; Seidel, V. Repurposing benzimidazole and benzothiazole derivatives as potential inhibitors of SARS-CoV-2: DFT, QSAR, molecular docking, molecular dynamics simulation, and In silico pharmacokinetic and toxicity studies. J. King Saud. Univ. Sci. 2021, 33, 101637. [Google Scholar] [CrossRef]
- Alameen, A.A.; Abdalla, M.; Alshibl, H.M.; AlOthman, M.R.; Alkhulaifi, M.M.; Mirgany, T.O.; Elsayim, R. In silico studies of glutathione peroxidase4 activators as candidate for multiple sclerosis management. J. Saudi Chem. Soc. 2022, 26, 101554. [Google Scholar] [CrossRef]
- Morris, G.M.; Goodsell, D.S.; Halliday, R.S.; Huey, R.; Hart, W.E.; Belew, R.K.; Olson, A.J. Automated docking using a Lamarckian genetic algorithm and an empirical binding free energy function. J. Comput. Chem. 1998, 19, 1639–1662. [Google Scholar] [CrossRef]
- Trott, O.; Olson, A.J. AutoDock Vina: Improving the speed and accuracy of docking with a new scoring function, efficient optimization, and multithreading. J. Comput. Chem. 2010, 31, 455–461. [Google Scholar] [CrossRef] [PubMed]
- Yang, J.M.; Chen, C.C. GEMDOCK: A generic evolutionary method for molecular docking. Proteins 2004, 55, 288–304. [Google Scholar] [CrossRef] [PubMed]
- Dolinsky, T.J.; Czodrowski, P.; Li, H.; Nielsen, J.E.; Jensen, J.H.; Klebe, G.; Baker, N.A. PDB2PQR: Expanding and upgrading automated preparation of biomolecular structures for molecular simulations. Nucleic Acids Res. 2007, 35, W522–W525. [Google Scholar] [CrossRef] [PubMed]
- Yang, J.-F.; Wang, F.; Chen, Y.-Z.; Hao, G.-F.; Yang, G.-F. LARMD: Integration of bioinformatic resources to profile ligand-driven protein dynamics with a case on the activation of estrogen receptor. Brief. Bioinform. 2020, 21, 2206–2218. [Google Scholar] [CrossRef]
- Kausar, M.A.; Anwar, S.; Eltayb, W.A.; Kuddus, M.; Khatoon, F.; El-Arabey, A.A.; Khalifa, A.M.; Rizvi, M.R.; Najm, M.Z.; Thakur, L.; et al. MD Simulation Studies for Selective Phytochemicals as Potential Inhibitors against Major Biological Targets of Diabetic Nephropathy. Molecules 2022, 27, 4980. [Google Scholar] [CrossRef]
- Baby, K.; Maity, S.; Mehta, C.H.; Suresh, A.; Nayak, U.Y.; Nayak, Y. Targeting SARS-CoV-2 RNA-dependent RNA polymerase: An In silico drug repurposing for COVID-19. F1000Research 2020, 9, 1166. [Google Scholar] [CrossRef]
- Trivedi, A.; Ahmad, R.; Siddiqui, S.; Misra, A.; Khan, M.A.; Srivastava, A.; Ahamad, T.; Khan, M.F.; Siddiqi, Z.; Afrin, G. Prophylactic and therapeutic potential of selected immunomodulatory agents from Ayurveda against coronaviruses amidst the current formidable scenario: An In silico analysis. J. Biomol. Struct. Dyn. 2022, 40, 9648–9700. [Google Scholar] [CrossRef]
- Patel, K.; Rao, N.; Gajera, V.; Bhatt, P.; Patel, K.; Gandhi, T. Anti-allergic activity of stem bark of Myrica esculenta Buch.-Ham (Myricaceae). J. Young Pharm. 2010, 2, 74–78. [Google Scholar] [CrossRef]
- Patel, T.; Dudhpejiya, A.; Sheath, N. Anti inflammatory activity of Myrica nagi Linn. Bark. Anc. Sci. Life 2011, 30, 100. [Google Scholar] [PubMed]
- Patel, M. Analgesic and anti-inflammatory activity of ethanolic extract of stem bark of Myrica nagi (T.). World J. Pharm. Res. 2017, 6, 844–857. [Google Scholar] [CrossRef]
- Patel, T.; Rajshekar, C.; Parmar, R. Mast cell stabilizing activity of bark of Myrica nagi. J. Pharm. Stud. Res. 2011, 2, 1–6. [Google Scholar]
- Shresta, S.; Bhattarai, B.R.; Adhikari, B.; Rayamajhee, B.; Poudel, P.; Khanal, S.; Marasini, B.P.; Aryal, B.; Bhandari, S.; Parajuli, N. Evaluation of phytochemical, antioxidant and antibacterial activities of selected medicinal plants. Nepal J. Biotechnol. 2021, 9, 50–62. [Google Scholar] [CrossRef]
- Anjum, N.; Tripathi, Y. evaluation of total polyphenols, flavonoids and antioxidant activity of Myrica esculenta buch-ham. ex d. don fruits. World J. Pharm. Med. Res. 2021, 7, 186–192. [Google Scholar]
- Rawat, S.; Jugran, A.; Giri, L.; Bhatt, I.D.; Rawal, R.S. Assessment of antioxidant properties in fruits of Myrica esculenta: A popular wild edible species in Indian Himalayan region. Evid. Based Complement. Altern. Med. 2011, 2011, 512787. [Google Scholar] [CrossRef] [PubMed]
- Langhansova, L.; Landa, P.; Kutil, Z.; Tauchen, J.; Marsik, P.; Rezek, J.; Lou, J.D.; Yun, Z.L.; Vanek, T. Myrica rubra leaves as a potential source of a dual 5-LOX/COX inhibitor. Food Agric. Immunol. 2017, 28, 343–353. [Google Scholar] [CrossRef]
- Kumar, H.P.; Panda, P.; Karunakar, P.; Shiksha, K.; Singh, L.; Ramesh, N.; Usha, T.; Middha, S.K. Potential Cyclooxygenase (COX-2) enzyme inhibitors from Myrica nagi-from In silico to in vitro investigation. Pharmacogn. Mag. 2019, 15, 280. [Google Scholar]
Disclaimer/Publisher’s Note: The statements, opinions and data contained in all publications are solely those of the individual author(s) and contributor(s) and not of MDPI and/or the editor(s). MDPI and/or the editor(s) disclaim responsibility for any injury to people or property resulting from any ideas, methods, instructions or products referred to in the content. |
© 2023 by the authors. Licensee MDPI, Basel, Switzerland. This article is an open access article distributed under the terms and conditions of the Creative Commons Attribution (CC BY) license (https://creativecommons.org/licenses/by/4.0/).




























