Research into New Molecules with Anti-Inflammatory Activity †
Abstract
:1. Introduction
2. Material and Methods
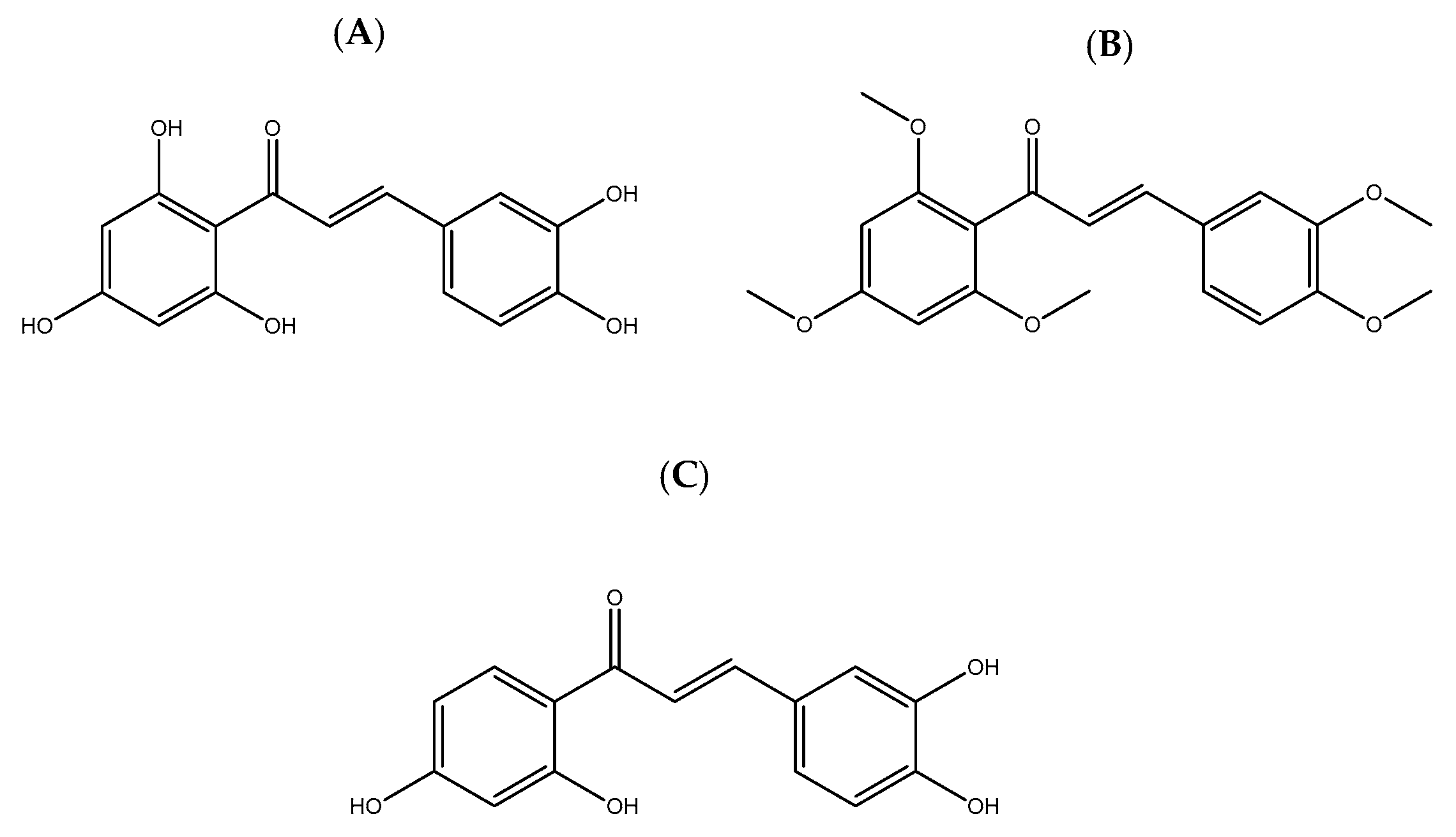
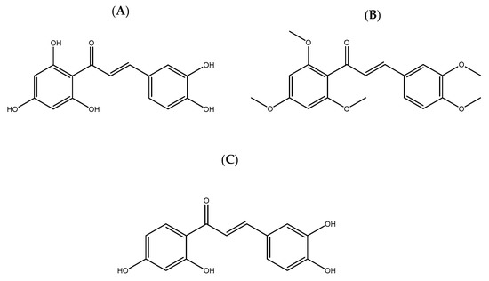
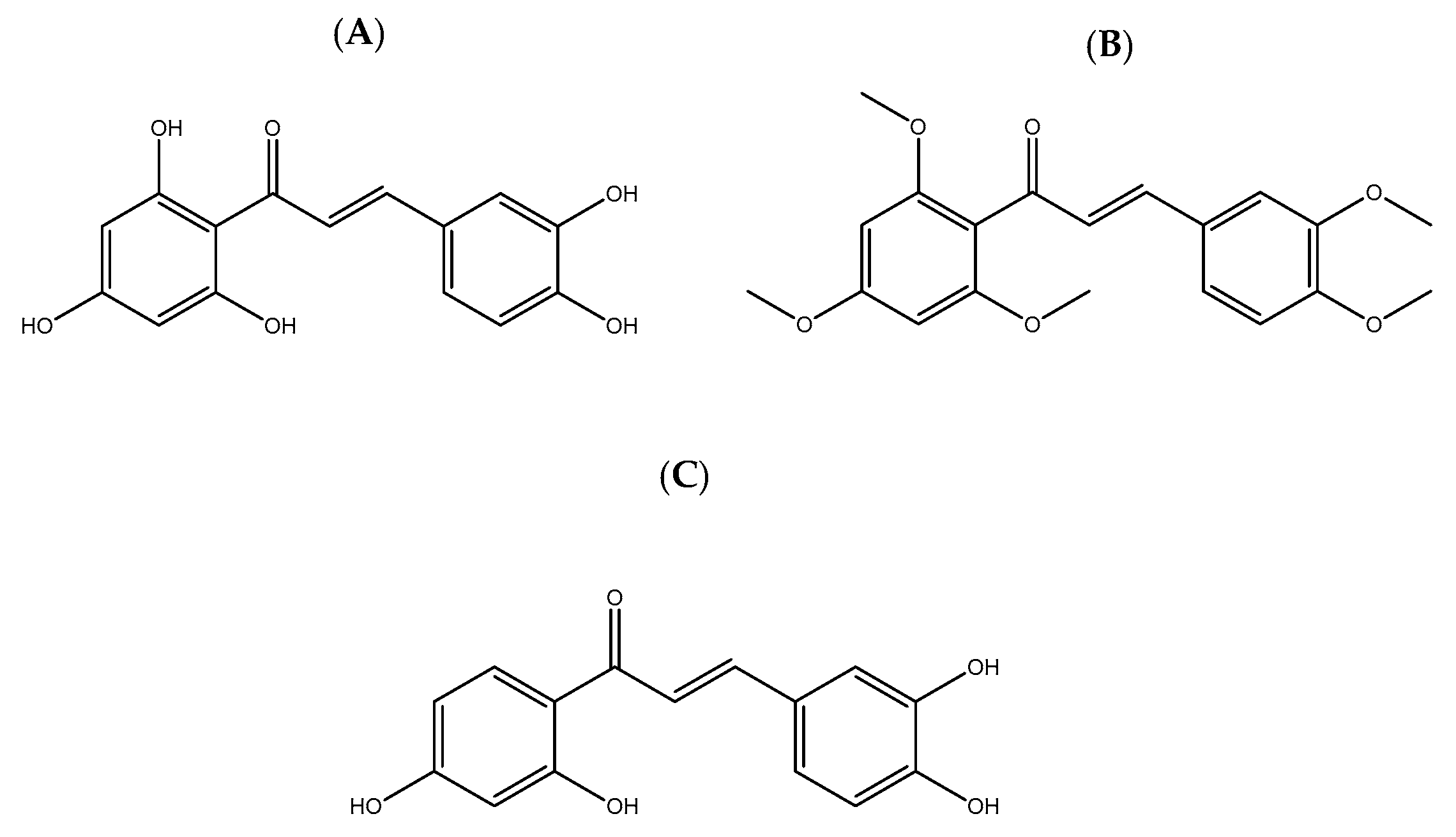
3. Results
4. Discussion
5. Conclusions
Author Contributions
Funding
Institutional Review Board Statement
Informed Consent Statement
Data Availability Statement
Acknowledgments
Conflicts of Interest
References
- Zhuang, C.; Zhang, W.; Sheng, C.; Zhang, W.; Xing, C.; Miao, Z. Chalcone: A Privileged Structure in Medicinal Chemistry. Chem. Rev. 2017, 117, 7762–7810. [Google Scholar] [CrossRef] [PubMed]
- Rudrapal, M.; Khan, J.; Bin Dukhyil, A.A.; Alarousy, R.M.I.I.; Attah, E.I.; Sharma, T.; Khairnar, S.J.; Bendale, A.R. Chalcone Scaffolds, Bioprecursors of Flavonoids: Chemistry, Bioactivities, and Pharmacokinetics. Molecules 2021, 26, 7177. [Google Scholar] [CrossRef] [PubMed]
- Wang, T.; Fu, X.; Chen, Q.; Patra, J.K.; Wang, D.; Wang, Z.; Gai, Z. Arachidonic Acid Metabolism and Kidney Inflammation. Int. J. Mol. Sci. 2019, 20, 3683. [Google Scholar] [CrossRef] [PubMed]
- Miller, S.B. Prostaglandins in Health and Disease: An Overview. Semin. Arthritis Rheum. 2006, 36, 37–49. [Google Scholar] [CrossRef] [PubMed]
- Rashid, H.U.; Xu, Y.; Ahmad, N.; Muhammad, Y.; Wang, L. Promising anti-inflammatory effects of chalcones via inhibition of cyclooxygenase, prostaglandin E2, inducible NO synthase and nuclear factor κb activities. Bioorg. Chem. 2019, 87, 335–365. [Google Scholar] [CrossRef] [PubMed]
- Everts, B.; Währborg, P.; Hedner, T. COX-2 specific inhibitors—The emergence of a new class of analgesic and anti-inflammatory drugs. Clin. Rheumatol. 2000, 19, 331–343. [Google Scholar] [CrossRef]
- Borer, J.S.; Simon, L.S. Cardiovascular and gastrointestinal effects of COX-2 inhibitors and NSAIDs: Achieving a balance. Thromb. Haemost. 2005, 7 (Suppl. S4), S14–S22. [Google Scholar] [CrossRef]
- Laufer, S.; Greim, C.; Luik, S.; Ayoub, S.S.; Dehner, F. Human whole blood assay for rapid and routine testing of non-steroidal anti-inflammatory drugs (NSAIDs) on cyclo-oxygenase-2 activity. Inflammopharmacology 2008, 16, 155–161. [Google Scholar] [CrossRef] [PubMed]
- Heireman, L.; Van Geel, P.; Musger, L.; Heylen, E.; Uyttenbroeck, W.; Mahieu, B. Causes, consequences and management of sample hemolysis in the clinical laboratory. Clin. Biochem. 2017, 50, 1317–1322. [Google Scholar] [CrossRef] [PubMed]
- Scholkmann, F.; Restin, T.; Ferrari, M.; Quaresima, V. The Role of Methemoglobin and Carboxyhemoglobin in COVID-19: A Review. J. Clin. Med. 2020, 10, 50. [Google Scholar] [CrossRef] [PubMed]
- Sabino, R.M.; Kauk, K.; Movafaghi, S.; Kota, A.; Popat, K.C. Interaction of blood plasma proteins with superhemophobic titania nanotube surfaces. Nanomed. Nanotechnol. Biol. Med. 2019, 21, 102046. [Google Scholar] [CrossRef] [PubMed]
- Lee, J.; El-Abaddi, N.; Duke, A.; Cerussi, A.E.; Brenner, M.; Tromberg, B.J. Noninvasive in vivo monitoring of methemoglobin formation and reduction with broadband diffuse optical spectroscopy. J. Appl. Physiol. 2006, 100, 615–622. [Google Scholar] [CrossRef] [PubMed]
- Rodi, P.; Gianello, M.B.; Corregido, M.; Gennaro, A. Comparative study of the interaction of CHAPS and Triton X-100 with the erythrocyte membrane. Biochim. Biophys. Acta (BBA)-Biomembr. 2014, 1838, 859–866. [Google Scholar] [CrossRef] [PubMed]
- D’Arcy, M.S. Cell death: A review of the major forms of apoptosis, necrosis and autophagy. Cell Biol. Int. 2019, 43, 582–592. [Google Scholar] [CrossRef] [PubMed]
- Lee, D.S.; Jeong, G.S. Butein provides neuroprotective and anti-neuroinflammatory effects through Nrf2/ARE-dependent haem oxygenase 1 expression by activating the PI3K/Akt pathway. Br. J. Pharmacol. 2016, 173, 2894–2909. [Google Scholar] [CrossRef] [PubMed]
- Kato, K.; Ohkawa, S.; Terao, S.; Terashita, Z.; Nishikawa, K. Thromboxane synthetase inhibitors (TXSI). Design, synthesis, and evaluation of a novel series of ω-pyridylalkenoic acids. J. Med. Chem. 1985, 28, 287–294. [Google Scholar] [CrossRef] [PubMed]
- Patrono, C.; Rocca, B. Aspirin and Other COX-1 Inhibitors. In Handbook of Experimental Pharmacology; Springer: Berlin/Heidelberg, Germany, 2012; pp. 137–164. [Google Scholar] [CrossRef]
- Zheng, W.; Zhang, H.; Jin, Y.; Wang, Q.; Chen, L.; Feng, Z.; Chen, H.; Wu, Y. Butein inhibits IL-1β-induced inflammatory response in human osteoarthritis chondrocytes and slows the progression of osteoarthritis in mice. Int. Immunopharmacol. 2017, 42, 1–10. [Google Scholar] [CrossRef] [PubMed]





| Disclaimer/Publisher’s Note: The statements, opinions and data contained in all publications are solely those of the individual author(s) and contributor(s) and not of MDPI and/or the editor(s). MDPI and/or the editor(s) disclaim responsibility for any injury to people or property resulting from any ideas, methods, instructions or products referred to in the content. | 
© 2023 by the authors. Licensee MDPI, Basel, Switzerland. This article is an open access article distributed under the terms and conditions of the Creative Commons Attribution (CC BY) license (https://creativecommons.org/licenses/by/4.0/).
Share and Cite
Vale, A.; Lucas, M.; Ribeiro, D.; Fernandes, E. Research into New Molecules with Anti-Inflammatory Activity. Med. Sci. Forum 2023, 21, 12. https://doi.org/10.3390/ECB2023-14095
Vale A, Lucas M, Ribeiro D, Fernandes E. Research into New Molecules with Anti-Inflammatory Activity. Medical Sciences Forum. 2023; 21(1):12. https://doi.org/10.3390/ECB2023-14095
Chicago/Turabian StyleVale, Abel, Mariana Lucas, Daniela Ribeiro, and Eduarda Fernandes. 2023. "Research into New Molecules with Anti-Inflammatory Activity" Medical Sciences Forum 21, no. 1: 12. https://doi.org/10.3390/ECB2023-14095
APA StyleVale, A., Lucas, M., Ribeiro, D., & Fernandes, E. (2023). Research into New Molecules with Anti-Inflammatory Activity. Medical Sciences Forum, 21(1), 12. https://doi.org/10.3390/ECB2023-14095
 
         
                                                



