A Connection between Probability, Physics and Neural Networks †
Abstract
1. Introduction
2. Background and Related Work
2.1. Gaussian Processes
2.2. Neural Networks
2.3. The Infinite-Width Correspondence
3. Method for Deriving Physical Activations
3.1. Gaussian Processes and Physical Kernels
3.2. Neural Networks and the Infinite-Width Correspondence
3.3. Physical Neural Activation Functions
3.4. Training
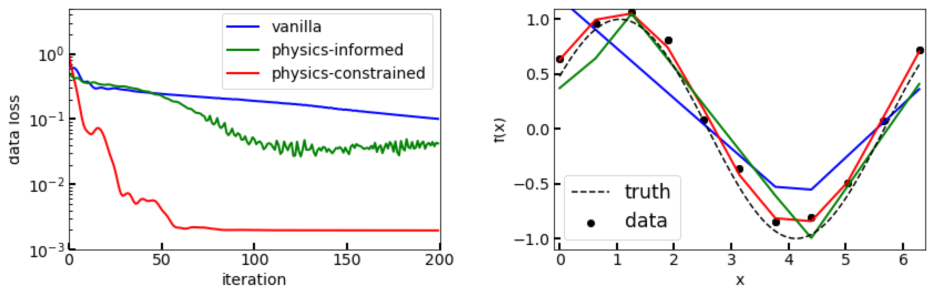
4. Numerical Example
5. Discussion
Funding
Institutional Review Board Statement
Informed Consent Statement
Data Availability Statement
Acknowledgments
Conflicts of Interest
References
- Ranftl, S.; von der Linden, W. Bayesian Surrogate Analysis and Uncertainty Propagation. Phys. Sci. Forum 2021, 3, 6. [Google Scholar] [CrossRef]
- Ranftl, S.; Rolf-Pissarczyk, M.; Wolkerstorfer, G.; Pepe, A.; Egger, J.; von der Linden, W.; Holzapfel, G.A. Stochastic Modeling of Inhomogeneities in the Aortic Wall and Uncertainty Quantification using a Bayesian Encoder-Decoder Surrogate. Comput. Methods Appl. Mech. Eng. 2022, 401 Pt B, 115594. [Google Scholar] [CrossRef]
- Albert, C.G. Gaussian processes for data fulfilling linear differential equations. Proceedings 2019, 33, 5. [Google Scholar] [CrossRef]
- Neal, R.M. Bayesian Learning for Neural Networks. Ph.D. Thesis, University of Toronto, Toronto, ON, Canada, 1996. Chapter 2: Priors on infinite networks. [Google Scholar] [CrossRef]
- Karniadakis, G.E.; Kevrekidis, I.G.; Lu, L.; Perdikaris, P.; Wang, S.; Yang, L. Physics-informed machine learning. Nat. Rev. Phys. 2021, 3, 422. [Google Scholar] [CrossRef]
- O’Hagan, A. Curve Fitting and Optimal Design for Prediction. J. R. Stat. Soc. Ser. B (Methodol.) 1978, 40, 1–24. [Google Scholar] [CrossRef]
- Rasmussen, C.E.; Williams, C.K. Gaussian Processes for Machine Learning; The MIT Press: Cambridge, MA, USA, 2006. [Google Scholar]
- Bilionis, I.; Zabaras, N.; Konomi, B.A.; Lin, G. Multi-output separable Gaussian process: Towards an efficient, fully Bayesian paradigm for uncertainty quantification. J. Comput. Phys. 2013, 241, 212–239. [Google Scholar] [CrossRef]
- Schöbi, R.; Sudret, B.; Wiart, J. Polynomial-chaos-based Kriging. Int. J. Uncertain. Quantif. 2015, 5, 171–193. [Google Scholar] [CrossRef]
- Duvenaud, D.K. Automatic Model Construction with Gaussian Processes. Ph.D. Thesis, University of Cambridge, Cambridge, UK, 2014. [Google Scholar] [CrossRef]
- Swiler, L.P.; Gulian, M.; Frankel, A.L.; Safta, C.; Jakeman, J.D. A Survey of Constrained Gaussian Process Regression: Approaches and Implementation Challenges. J. Mach. Learn. Model. Comput. 2020, 1, 119–156. [Google Scholar] [CrossRef]
- van den Boogaart, K.G. Kriging for processes solving partial differential equations. In Proceedings of the Conference of the International Association for Mathematical Geology (IAMG), Cancun, Mexico, 6–12 September 2001. [Google Scholar]
- Jidling, C.; Wahlstrom, N.; Wills, A.; Schön, T.B. Linearly Constrained Gaussian Processes. In Proceedings of the 31st International Conference on Neural Information Processing Systems, NIPS’17, Long Beach, CA, USA, 4–9 December 2017; Curran Associates Inc.: Red Hook, NY, USA, 2017; pp. 1215–1224. [Google Scholar] [CrossRef]
- Dong, A. Kriging Variables that Satisfy the Partial Differential Equation ΔZ = Y. In Proceedings of the Geostatistics. Quantitative Geology and Geostatistics; Armstrong, M., Ed.; Springer: Dordrecht, The Netherlands, 1989; Volume 4, pp. 237–248. [Google Scholar] [CrossRef]
- Graepel, T. Solving Noisy Linear Operator Equations by Gaussian Processes: Application to Ordinary and Partial Differential Equations. In Proceedings of the 20th International Conference on International Conference on Machine Learning, ICML’03, Washington, DC, USA, 21–24 August 2003; pp. 234–241. [Google Scholar] [CrossRef]
- Gulian, M.; Frankel, A.; Swiler, L. Gaussian process regression constrained by boundary value problems. Comput. Methods Appl. Mech. Eng. 2022, 388, 114117. [Google Scholar] [CrossRef]
- Raissi, M.; Perdikaris, P.; Karniadakis, G.E. Machine learning of linear differential equations using Gaussian processes. J. Comput. Phys. 2017, 348, 683–693. [Google Scholar] [CrossRef]
- Särkkä, S. Linear Operators and Stochastic Partial Differential Equations in Gaussian Process Regression. In Proceedings of the Artificial Neural Networks and Machine Learning—Proceedings of the 21st International Conference on Artificial Neural Networks, ICANN’11, Espoo, Finland, 14–17 June 2011; Springer: Berlin/Heidelberg, Germany, 2011; pp. 151–158. [Google Scholar] [CrossRef]
- Álvarez, M.A.; Luengo, D.; Lawrence, N.D. Linear latent force models using gaussian processes. IEEE Trans. Pattern Anal. Mach. Intell. 2013, 35, 2693–2705. [Google Scholar] [CrossRef] [PubMed]
- López-Lopera, A.F.; Durrande, N.; Álvarez, M.A. Physically-inspired Gaussian process models for post-transcriptional regulation in Drosophila. IEEE/ACM Trans. Comput. Biol. Bioinform. 2021, 18, 656–666. [Google Scholar] [CrossRef] [PubMed]
- Apicella, A.; Donnarumma, F.; Isgrò, F.; Prevete, R. A survey on modern trainable activation functions. Neural Netw. 2021, 138, 14–32. [Google Scholar] [CrossRef] [PubMed]
- Ngom, M.; Marin, O. Fourier neural networks as function approximators and differential equation solvers. Stat. Anal. Data Min. 2021, 14, 647–661. [Google Scholar] [CrossRef]
- Tsuchida, R.; Roosta, F.; Gallagher, M. Invariance of Weight Distributions in Rectified MLPs. In Proceedings of the 35th International Conference on Machine Learning (ICML’18), Stockholm, Sweden, 10–15 July 2018; Volume 80, pp. 4995–5004. [Google Scholar] [CrossRef]
- Cho, Y.; Saul, L.K. Kernel Methods for Deep Learning. In Proceedings of the 22nd International Conference on Neural Information Processing Systems, NIPS’09, Vancouver, BC, Canada, 7–10 December 2009; Curran Associates Inc.: Red Hook, NY, USA, 2009; pp. 342–350. [Google Scholar] [CrossRef]
- Williams, C.K.I. Computing with Infinite Networks. In Proceedings of the 9th International Conference on Neural Information Processing Systems, NIPS’96, Denver, CO, USA, 2–5 December 1996; MIT Press: Cambridge, MA, USA, 1996; pp. 295–301. [Google Scholar] [CrossRef]
- Pearce, T.; Tsuchida, R.; Zaki, M.; Brintrup, A.; Neely, A. Expressive Priors in Bayesian Neural Networks: Kernel Combinations and Periodic Functions. In Proceedings of the 35th Conference on Uncertainty in Artificial Intelligence (UAI), Tel Aviv, Israel, 22–25 July 2019; p. 25. [Google Scholar] [CrossRef]
- Raissi, M.; Perdikaris, P.; Karniadakis, G. Physics-informed neural networks: A deep learning framework for solving forward and inverse problems involving nonlinear partial differential equations. J. Comput. Phys. 2019, 378, 686–707. [Google Scholar] [CrossRef]
- Lagaris, I.E.; Likas, A.; Fotiadis, D.I. Artificial neural networks for solving ordinary and partial differential equations. IEEE Trans. Neural Netw. 1998, 9, 987–1000. [Google Scholar] [CrossRef]
- Dissanayake, M.W.M.G.; Phan-Thien, N. Neural-network-based approximations for solving partial differential equations. Commun. Numer. Methods Eng. 1994, 10, 195–201. [Google Scholar] [CrossRef]
- Rohrhofer, F.M.; Posch, S.; Geiger, B.C. On the Pareto Front of Physics-Informed Neural Networks. arXiv 2021. [Google Scholar] [CrossRef]
- Mohan, A.T.; Lubbers, N.; Livescu, D.; Chertkov, M. Embedding Hard Physical Constraints in Convolutional Neural Networks for 3D Turbulence. In Proceedings of the 8th International Conference on Learning Representations: Workshop on Tackling Climate Change with Machine Learning, ICLR’20, Addis Ababa, Ethiopia, 26 April–1 May 2020. [Google Scholar] [CrossRef]
- Mattheakis, M.; Protopapas, P.; Sondak, D.; Di Giovanni, M.; Kaxiras, E. Physical Symmetries Embedded in Neural Networks. arXiv 2019, arXiv:1904.08991 [physics.comp-ph]. [Google Scholar] [CrossRef]
- Cuomo, S.; di Cola, V.S.; Giampaolo, F.; Rozza, G.; Raissi, M.; Piccialli, F. Scientific Machine Learning through Physics-Informed Neural Networks: Where we are and What’s next. J. Sci. Comput. 2022, 92, 1–62. [Google Scholar] [CrossRef]
- Lee, J.; Sohl-Dickstein, J.; Pennington, J.; Novak, R.; Schoenholz, S.; Bahri, Y. Deep Neural Networks as Gaussian Processes. In Proceedings of the 6th International Conference on Learning Representations, ICLR’18, Vancouver, BC, Canada, 30 April–3 May 2018. [Google Scholar] [CrossRef]
- Jacot, A.; Gabriel, F.; Hongler, C. Neural Tangent Kernel: Convergence and Generalization in Neural Networks. In Proceedings of the 32nd International Conference on Neural Information Processing Systems, NIPS’18, Montreal, QC, Canada, 3–8 December 2018; Curran Associates Inc.: Red Hook, NY, USA, 2018; pp. 8580–8589. [Google Scholar] [CrossRef]
- Gal, Y.; Ghahramani, Z. Dropout as a Bayesian Approximation: Representing Model Uncertainty in Deep Learning. In Proceedings of the 33rd International Conference on International Conference on Machine Learning, ICML’16, New York, NY, USA, 19–24 June 2016; Volume 48, pp. 1050–1059. [Google Scholar] [CrossRef]
- Novak, R.; Xiao, L.; Bahri, Y.; Lee, J.; Yang, G.; Hron, J.; Abolafia, D.A.; Pennington, J.; Sohl-Dickstein, J. Bayesian Deep Convolutional Networks with Many Channels are Gaussian Processes. In Proceedings of the 7th International Conference on Learning Representations, ICLR’19, New Orleans, LA, USA, 6–9 May 2019. [Google Scholar] [CrossRef]
- Hron, J.; Bahri, Y.; Sohl-Dickstein, J.; Novak, R. Infinite attention: NNGP and NTK for deep attention networks. In Proceedings of the 37th International Conference on Machine Learning (ICML’20), Online, 12–18 July 2020; Volume 119, pp. 4376–4386. [Google Scholar] [CrossRef]
- Hazan, T.; Jaakkola, T. Steps Toward Deep Kernel Methods from Infinite Neural Network. arXiv 2015, arXiv:1508.05133 [cs.LG]. [Google Scholar] [CrossRef]
- Schaback, R.; Wendland, H. Kernel techniques: From machine learning to meshless methods. Acta Numer. 2006, 15, 543–639. [Google Scholar] [CrossRef]
- Albert, C. Physics-Informed Transfer Path Analysis with Parameter Estimation using Gaussian Processes. In Proceedings of the 23rd International Congress on Acoustics, Aachen, Germany, 9–13 September 2019; Deutsche Gesellschaft für Akustik: Berlin, Germany, 2019; pp. 459–466. [Google Scholar] [CrossRef]
- Kingma, D.P.; Ba, J. Adam: A Method for Stochastic Optimization. In Proceedings of the 3rd International Conference on Learning Representations, ICLR’15, San Diego, CA, USA, 7–9 May 2015. [Google Scholar] [CrossRef]

Publisher’s Note: MDPI stays neutral with regard to jurisdictional claims in published maps and institutional affiliations. |
© 2022 by the author. Licensee MDPI, Basel, Switzerland. This article is an open access article distributed under the terms and conditions of the Creative Commons Attribution (CC BY) license (https://creativecommons.org/licenses/by/4.0/).
Share and Cite
Ranftl, S. A Connection between Probability, Physics and Neural Networks. Phys. Sci. Forum 2022, 5, 11. https://doi.org/10.3390/psf2022005011
Ranftl S. A Connection between Probability, Physics and Neural Networks. Physical Sciences Forum. 2022; 5(1):11. https://doi.org/10.3390/psf2022005011
Chicago/Turabian StyleRanftl, Sascha. 2022. "A Connection between Probability, Physics and Neural Networks" Physical Sciences Forum 5, no. 1: 11. https://doi.org/10.3390/psf2022005011
APA StyleRanftl, S. (2022). A Connection between Probability, Physics and Neural Networks. Physical Sciences Forum, 5(1), 11. https://doi.org/10.3390/psf2022005011
