Effect of Matrix Modification on the Post-Impact Flexural Characteristics of Glass Fiber Laminated Composites †
Abstract
:1. Introduction
2. Laminate Fabrication and Experimental Techniques
2.1. Material Processing
2.2. Low-Velocity Impact Test
2.3. Flexural Tests
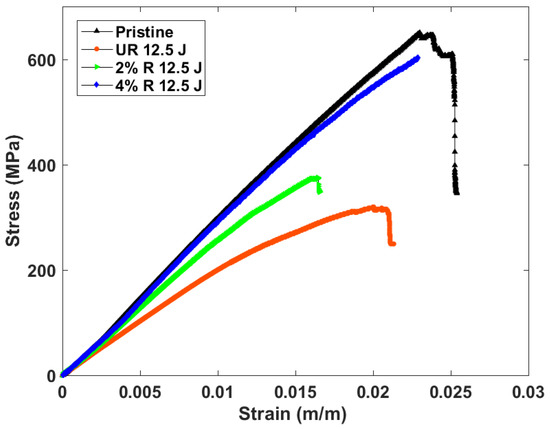
3. Results and Discussion
3.1. Analysis of the Impact Test
3.2. Microscopic Impact Damage Characterization
3.3. Analysis of Residual Flexural Properties
4. Conclusions
Author Contributions
Funding
Institutional Review Board Statement
Informed Consent Statement
Data Availability Statement
Conflicts of Interest
References
- Tang, Y.; Ye, L.; Zhang, Z.; Friedrich, K. Interlaminar fracture toughness and CAI strength of fibre-reinforced composites with nanoparticles—A review. Compos. Sci. Technol. 2013, 86, 26–37. [Google Scholar] [CrossRef]
- Xu, X.; Zhou, Z.; Hei, Y.; Zhang, B.; Bao, J.; Chen, X. Improving compression-after-impact performance of carbon–fiber composites by CNTs/thermoplastic hybrid film interlayer. Compos. Sci. Technol. 2014, 95, 75–81. [Google Scholar] [CrossRef]
- Richardson, M.O.; Wisheart, M.J. Review of low-velocity impact properties of composite materials. Compos. Part A Appl. Sci. 1996, 27, 1123–1131. [Google Scholar] [CrossRef]
- Cantwell, W.J.; Morton, J. The impact resistance of composite materials—A review. Composites 1991, 22, 347–362. [Google Scholar] [CrossRef]
- Kim, J.K. Methods for improving impact damage resistance of CFRPs. Key Eng. Mater. 1998, 141, 149–168. [Google Scholar] [CrossRef]
- Zhang, X.; Hounslow, L.; Grassi, M. Improvement of low-velocity impact and compression-after-impact performance by z-fibre pinning. Compos. Sci. Technol. 2006, 66, 2785–2794. [Google Scholar] [CrossRef] [Green Version]
- Mouritz, A.P. Review of z-pinned composite laminates. Compos. Part A Appl. Sci. 2007, 38, 2383–2397. [Google Scholar] [CrossRef]
- Hu, Y.; Liu, W.; Shi, Y. Low-velocity impact damage research on CFRPs with Kevlar-fiber toughening. Compos. Struct. 2019, 216, 127–141. [Google Scholar] [CrossRef]
- Yuan, B.; Ye, M.; Hu, Y.; Cheng, F.; Hu, X. Flexure and flexure-after-impact properties of carbon fibre composites interleaved with ultra-thin non-woven aramid fibre veils. Compos. Part A Appl. Sci. 2020, 131, 105813. [Google Scholar] [CrossRef]
- Santiuste, C.; Sánchez-Sáez, S.; Barbero, E. Residual flexural strength after low-velocity impact in glass/polyester composite beams. Compos. Struct. 2010, 92, 25–30. [Google Scholar] [CrossRef] [Green Version]
- Balakrishnan, V.S.; Wartig, K.; Tsombanis, N.; Seidlitz, H. Influence of processing parameters on the impact behaviour of glass/polyamide-6 composite. Compos. B Eng. 2019, 159, 292–299. [Google Scholar] [CrossRef]
- Hart, K.R.; Chia, P.X.; Sheridan, L.E.; Wetzel, E.D.; Sottos, N.R.; White, S.R. Comparison of compression-after-impact and flexure-after-impact protocols for 2D and 3D woven fiber-reinforced composites. Compos. Part A Appl. Sci. 2017, 101, 471–479. [Google Scholar] [CrossRef]
- ASTM D7136/D7136M-12; Standard Test Method for Measuring the Damage Resistance of a Fiber-Reinforced Polymer Matrix Composite to a Drop-Weight Impact Event. ASTM International: West Conshohocken, PA, USA, 2012.
- ASTM Standard D6272–10; Standard Test Method for Flexural Properties of Unreinforced and Reinforced Plastics and Electrical Insulating Materials by Four Point Bending. ASTM International: West Conshohocken, PA, USA, 2010.
- Singh, M.K.; Kitey, R. Enhancing Dynamic Fracture Behavior of Laminated Composite by Short Fiber Reinforcement. In Advances in Structural Integrity; Jonnalagadda, K., Alankar, A., Balila, N.J., Bhandakkar, T., Eds.; Springer: Singapore, 2022; pp. 243–253. [Google Scholar]




| Laminate Type | Impact Energy (J) | Impact Test Parameters | Residual Properties | ||||
|---|---|---|---|---|---|---|---|
| First Failure Force (N) | Max. Force (kN) | Max. Disp. (mm) | Dissipated Energy (J) | Flex. Modulus (GPa) | Flex. Strength (MPa) | ||
| UR | 0 | - | - | - | - | 31.71 ± 0.1 | 602 ± 44 |
| 7.5 | 430 ± 92 | 3.28 ± 0.09 | 4.09 ± 0.23 | 4.77 ± 0.21 | 27.38 ± 2.9 | 595 ± 25 | |
| 12.5 | 595 ± 37 | 3.93 ± 0.09 | 5.57 ± 0.37 | 9.97 ± 0.99 | 21.1 ± 2.6 | 383 ± 111 | |
| 2% R | 0 | - | - | - | - | 31.25 ± 1.3 | 631 ± 61 |
| 7.5 | 418 ± 30 | 3.44 ± 0.07 | 3.87 ± 0.06 | 4.72 ± 0.17 | 29.39 ± 1.2 | 569 ± 135 | |
| 12.5 | 600 ± 12 | 4.06 ± 0.14 | 5.21 ± 0.19 | 9.39 ± 1.25 | 25.49 ± 3.5 | 371 ± 77 | |
| 4% R | 0 | - | - | - | - | 31.70 ± 1 | 663 ± 44 |
| 7.5 | 407 ± 60 | 3.53 ± 0.02 | 3.74 ± 0.06 | 4.63 ± 0.10 | 30.43 ± 2.7 | 658 ± 34 | |
| 12.5 | 623 ± 75 | 4.36 ± 0.01 | 4.75 ± 0.11 | 8.31 ± 0.33 | 27.88 ± 1.2 | 643 ± 10 | |
Publisher’s Note: MDPI stays neutral with regard to jurisdictional claims in published maps and institutional affiliations. |
© 2022 by the authors. Licensee MDPI, Basel, Switzerland. This article is an open access article distributed under the terms and conditions of the Creative Commons Attribution (CC BY) license (https://creativecommons.org/licenses/by/4.0/).
Share and Cite
Singh, M.K.; Kitey, R. Effect of Matrix Modification on the Post-Impact Flexural Characteristics of Glass Fiber Laminated Composites. Phys. Sci. Forum 2022, 4, 5. https://doi.org/10.3390/psf2022004005
Singh MK, Kitey R. Effect of Matrix Modification on the Post-Impact Flexural Characteristics of Glass Fiber Laminated Composites. Physical Sciences Forum. 2022; 4(1):5. https://doi.org/10.3390/psf2022004005
Chicago/Turabian StyleSingh, Manoj K., and R. Kitey. 2022. "Effect of Matrix Modification on the Post-Impact Flexural Characteristics of Glass Fiber Laminated Composites" Physical Sciences Forum 4, no. 1: 5. https://doi.org/10.3390/psf2022004005
APA StyleSingh, M. K., & Kitey, R. (2022). Effect of Matrix Modification on the Post-Impact Flexural Characteristics of Glass Fiber Laminated Composites. Physical Sciences Forum, 4(1), 5. https://doi.org/10.3390/psf2022004005

