A Hybrid Machine Learning Approach for Monitoring Wheat Crop Traits Using Proximal Hyperspectral Remote Sensing †
Abstract
1. Introduction
2. Materials and Methods
2.1. Study Area and Field Experimentation
2.2. Data Collection
2.3. Hybrid Machine Learning Approach
3. Results
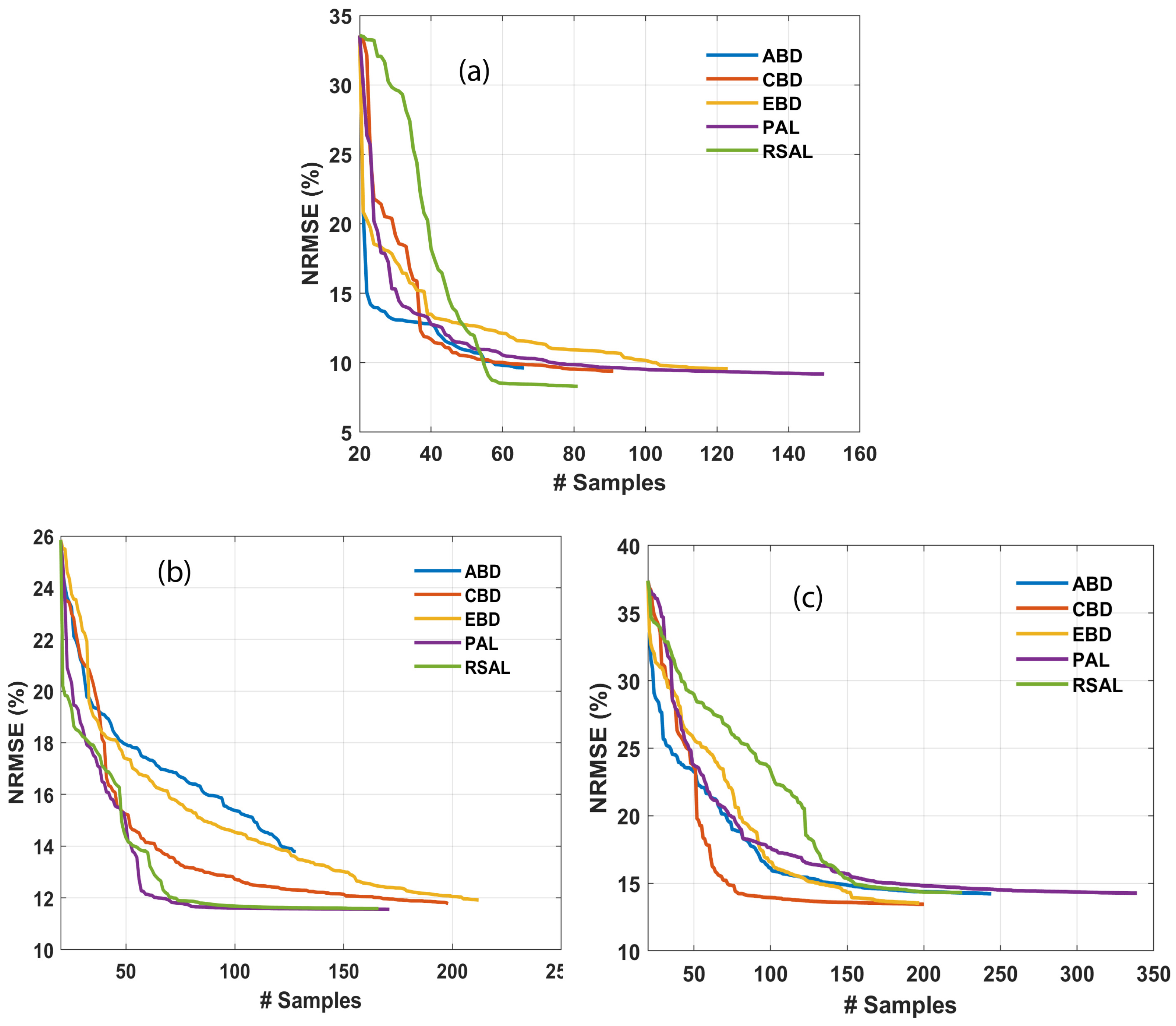
3.1. Performance of AL Techniques
3.2. Retrieval and Accuracy Assessment
4. Discussion
5. Conclusions
Author Contributions
Funding
Institutional Review Board Statement
Informed Consent Statement
Data Availability Statement
Conflicts of Interest
References
- Leng, M.; Liu, Y.; Li, B.; Che, Y.; Feng, H.; Shu, M.; Xu, X.; Qiao, H.; Yue, J. Analysis of Crop Leaf Area Index, Leaf Chlorophyll Content, and Canopy Chlorophyll Content Based on Deep Learning and Hyperspectral Remote Sensing. Int. J. Remote Sens. 2025, 46, 6937–6955. [Google Scholar] [CrossRef]
- Sahoo, R.N.; Rejith, R.G.; Gakhar, S.; Ranjan, R.; Meena, M.C.; Dey, A.; Mukherjee, J.; Dhakar, R.; Meena, A.; Daas, A.; et al. Drone Remote Sensing of Wheat N Using Hyperspectral Sensor and Machine Learning. Precis. Agric. 2023, 25, 704–728. [Google Scholar] [CrossRef]
- Sahoo, R.N.; Rejith, R.G.; Gakhar, S.; Verrelst, J.; Ranjan, R.; Kondraju, T.; Meena, M.C.; Mukherjee, J.; Dass, A.; Kumar, S.; et al. Estimation of Wheat Biophysical Variables through UAV Hyperspectral Remote Sensing Using Machine Learning and Radiative Transfer Models. Comput. Electron. Agric. 2024, 221, 108942. [Google Scholar] [CrossRef]
- Sahoo, R.N.; Gakhar, S.; Rejith, R.G.; Verrelst, J.; Ranjan, R.; Kondraju, T.; Meena, M.C.; Mukherjee, J.; Daas, A.; Kumar, S.; et al. Optimizing the Retrieval of Wheat Crop Traits from UAV-Borne Hyperspectral Image with Radiative Transfer Modelling Using Gaussian Process Regression. Remote Sens. 2023, 15, 5496. [Google Scholar] [CrossRef]
- Rejith, R.G.; Sahoo, R.N.; Kondraju, T.; Bhandari, A.; Ranjan, R.; Moursy, A. Generation of Synthetic Hyperspectral Image Cube for Mapping Soil Organic Carbon Using Proximal Remote Sensing. Environ. Earth Sci. Proc. 2025, 36, 3. [Google Scholar] [CrossRef]
- Lama, G.F.C.; Errico, A.; Pasquino, V.; Mirzaei, S.; Preti, F.; Chirico, G.B. Velocity Uncertainty Quantification Based on Riparian Vegetation Indices in Open Channels Colonized by Phragmites Australis. J. Ecohydraulics 2022, 7, 71–76. [Google Scholar] [CrossRef]
- Arnon, D.I. Copper enzymes in isolated chloroplasts. Polyphenoloxidase in Beta vulgaris. Plant Physiol. 1949, 24, 1–15. [Google Scholar] [CrossRef] [PubMed]
- Gitelson, A.A.; Viña, A.; Ciganda, V.; Rundquist, D.C.; Arkebauer, T.J. Remote Estimation of Canopy Chlorophyll Content in Crops. Geophys. Res. Lett. 2005, 32, L08403. [Google Scholar] [CrossRef]
- Tripathi, R.; Sahoo, R.N.; Sehgal, V.K.; Gupta, V.K.; Bhattacharya, B.B.K.; Gupta, K.; Bhattacharya, B.B.K. Remote Sensing Derived Composite Vegetation Health Index Through Inversion of Prosail for Monitoring of Wheat Growth in Trans Gangetic Plains of India. In ISPRS Archives XXXVIII-8/W3 Workshop Proceedings: Impact of Climate Change on Agriculture; ISPRS: Hanover, Germany, 2009. [Google Scholar]
- Chakraborty, D.; Sehgal, V.K.; Sahoo, R.N.; Pradhan, S.; Gupta, V.K. Study of the Anisotropic Reflectance Behaviour of Wheat Canopy to Evaluate the Performance of Radiative Transfer Model PROSAIL5B. J. Indian Soc. Remote Sens. 2015, 43, 297–310. [Google Scholar] [CrossRef]
- Mridha, N. Assessing Crop Biophysical Parameters from Hyper-Spectral and Multispectral Remote Sensing and Multispectral Remote Sensing Data Through Radiative Transfer Modeling; Indian Agricultural Research Institute: New Delhi, India, 2014. [Google Scholar]
- Sahoo, R.N.; Rejith, R.G.; Kondraju, T.; Ranjan, R.; Bhandari, A.; Gakhar, S.; Asim, M.; Verrelst, J.; Kaur, R.; Singh, T.; et al. Scaling-up Plant Chlorophyll Retrieval from Proximal to UAV-Borne Hyperspectral Data Using a Gaussian Process Hybrid Model. Int. J. Remote Sens. 2025, 46, 8990–9014. [Google Scholar] [CrossRef]
- Estévez, J.; Berger, K.; Vicent, J.; Rivera-Caicedo, J.P.; Wocher, M.; Verrelst, J. Top-of-Atmosphere Retrieval of Multiple Crop Traits Using Variational Heteroscedastic Gaussian Processes within a Hybrid Workflow. Remote Sens. 2021, 13, 1589. [Google Scholar] [CrossRef] [PubMed]
- Rejith, R.G.; Sahoo, R.N.; Verrelst, J.; Ranjan, R.; Gakhar, S.; Anand, A.; Kondraju, T.; Kumar, S.; Kumar, M.; Dhandapani, R. UAV-Based Retrieval Of Wheat Canopy Chlorophyll Content Using A Hybrid Machine Learning Approach. In Proceedings of the 2023 IEEE India Geoscience and Remote Sensing Symposium (InGARSS); IEEE: New York, NY, USA, 2023; pp. 1–4. [Google Scholar]
- Pascual-Venteo, A.B.; Portalés, E.; Berger, K.; Tagliabue, G.; Garcia, J.L.; Pérez-Suay, A.; Rivera-Caicedo, J.P.; Verrelst, J. Prototyping Crop Traits Retrieval Models for CHIME: Dimensionality Reduction Strategies Applied to PRISMA Data. Remote Sens. 2022, 14, 2448. [Google Scholar] [CrossRef] [PubMed]
- Berger, K.; Rivera Caicedo, J.P.; Martino, L.; Wocher, M.; Hank, T.; Verrelst, J. A Survey of Active Learning for Quantifying Vegetation Traits from Terrestrial Earth Observation Data. Remote Sens. 2021, 13, 287. [Google Scholar] [CrossRef] [PubMed]
- Sahoo, R.N.; Kondraju, T.; Rejith, R.G.; Verrelst, J.; Ranjan, R.; Gakhar, S.; Bhandari, A.; Chinnusamy, V. Monitoring Cropland LAI Using Gaussian Process Regression and Sentinel—2 Surface Reflectance Data in Google Earth Engine. Int. J. Remote Sens. 2024, 45, 5008–5027. [Google Scholar] [CrossRef]
- Berger, K.; Hank, T.; Halabuk, A.; Rivera-Caicedo, J.P.; Wocher, M.; Mojses, M.; Gerhátová, K.; Tagliabue, G.; Dolz, M.M.; Venteo, A.B.P.; et al. Assessing Non-Photosynthetic Cropland Biomass from Spaceborne Hyperspectral Imagery. Remote Sens. 2021, 13, 4711. [Google Scholar] [CrossRef] [PubMed]
- Wocher, M.; Berger, K.; Verrelst, J.; Hank, T. Retrieval of Carbon Content and Biomass from Hyperspectral Imagery over Cultivated Areas. ISPRS J. Photogramm. Remote Sens. 2022, 193, 104–114. [Google Scholar] [CrossRef] [PubMed]





| Parameter | Values |
|---|---|
| Leaf Model: PROSPECT-4 | |
| Leaf structure coefficient (N) | 1 |
| Leaf chlorophyll content (LCC) | 0–80 µgcm−2 (0.2 interval) |
| Equivalent water thickness (Cw) | 0.01–0.045 cm (0.001 interval) |
| Dry Matter (Cm) | 0.0046 gcm−2 |
| Canopy Model: 4-SAIL | |
| Leaf area index (LAI) | 0.1–7 m2m−2 (0.01 interval) |
| Average leaf inclination angle (ALIA) | 70, 57, 45 Degree |
| Fraction of diffuse incoming solar radiation (skyl) | 0.1 |
| Soil brightness coefficient (αsoil) | 0.1 |
| Hot-spot size parameter (hspot) | 0.78, 0.40, 0.32 mm−1 |
| Solar zenith angle (tts) | 51, 45, 33 Degree |
| Sensor zenith angle (tto) | 0 Degree |
| Relative azimuth (psi) | 0 Degree |
Disclaimer/Publisher’s Note: The statements, opinions and data contained in all publications are solely those of the individual author(s) and contributor(s) and not of MDPI and/or the editor(s). MDPI and/or the editor(s) disclaim responsibility for any injury to people or property resulting from any ideas, methods, instructions or products referred to in the content. |
© 2026 by the authors. Licensee MDPI, Basel, Switzerland. This article is an open access article distributed under the terms and conditions of the Creative Commons Attribution (CC BY) license.
Share and Cite
Rejith, R.G.; Sahoo, R.N.; Kondraju, T.; Bhandari, A.; Ranjan, R. A Hybrid Machine Learning Approach for Monitoring Wheat Crop Traits Using Proximal Hyperspectral Remote Sensing. Biol. Life Sci. Forum 2025, 54, 33. https://doi.org/10.3390/blsf2025054033
Rejith RG, Sahoo RN, Kondraju T, Bhandari A, Ranjan R. A Hybrid Machine Learning Approach for Monitoring Wheat Crop Traits Using Proximal Hyperspectral Remote Sensing. Biology and Life Sciences Forum. 2025; 54(1):33. https://doi.org/10.3390/blsf2025054033
Chicago/Turabian StyleRejith, Rajan G., Rabi N. Sahoo, Tarun Kondraju, Amrita Bhandari, and Rajeev Ranjan. 2025. "A Hybrid Machine Learning Approach for Monitoring Wheat Crop Traits Using Proximal Hyperspectral Remote Sensing" Biology and Life Sciences Forum 54, no. 1: 33. https://doi.org/10.3390/blsf2025054033
APA StyleRejith, R. G., Sahoo, R. N., Kondraju, T., Bhandari, A., & Ranjan, R. (2025). A Hybrid Machine Learning Approach for Monitoring Wheat Crop Traits Using Proximal Hyperspectral Remote Sensing. Biology and Life Sciences Forum, 54(1), 33. https://doi.org/10.3390/blsf2025054033

