Effect of Ultrasound-Assisted Extraction with Probe or Bath on Total Phenolics from Tomato and Lemon By-Products †
Abstract
:1. Introduction
2. Materials and Methods
2.1. Tomato/Lemon By-Products’ Ultrasound-Assisted Extraction (USAE)
2.2. Total Polyphenolic Content
2.3. Statistics
3. Result and Discussion
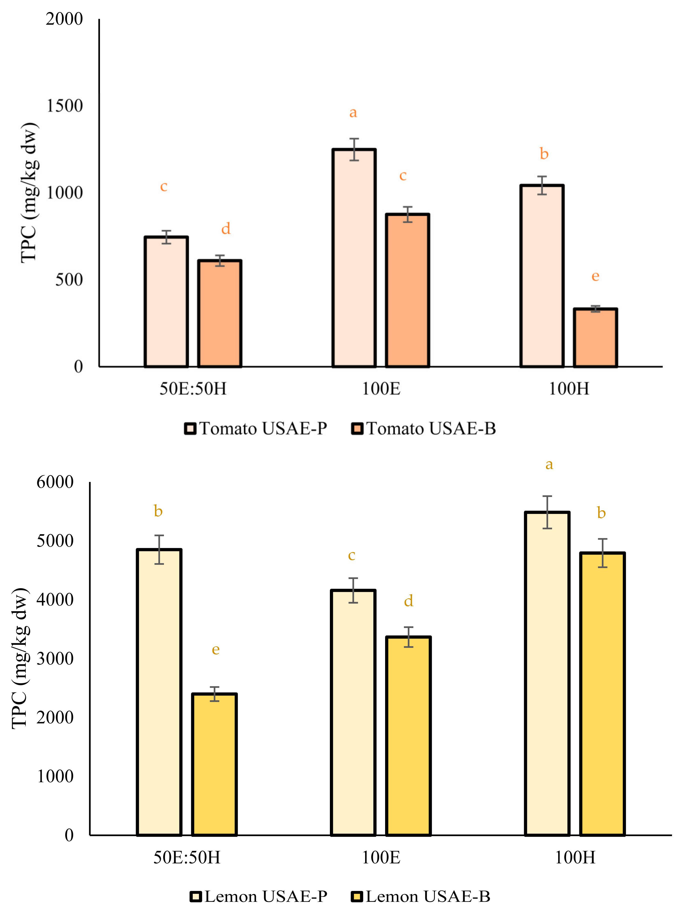
3.1. Total Polyphenolic Content of Tomato and Lemon By-Products
3.2. Ultrasound-Assisted Extraction with Probe vs. with Bath
4. Conclusions
Author Contributions
Funding
Institutional Review Board Statement
Informed Consent Statement
Data Availability Statement
Acknowledgments
Conflicts of Interest
References
- FAO. Food Loss and Waste Database. 2022. Available online: https://www.fao.org/platform-food-loss-waste/flw-data/en/ (accessed on 20 July 2022).
- Strati, I.F.; Oreopoulou, V. Recovery of Carotenoids from Tomato Processing By-Products—A Review. Food Res. Int. 2014, 65, 311–321. [Google Scholar] [CrossRef]
- Kalogeropoulos, N.; Chiou, A.; Pyriochou, V.; Peristeraki, A.; Karathanos, V.T. Bioactive Phytochemicals in Industrial Tomatoes and Their Processing Byproducts. LWT—Food Sci. Technol. 2012, 49, 213–216. [Google Scholar] [CrossRef]
- Singh, B.; Singh, J.P.; Kaur, A.; Singh, N. Phenolic Composition, Antioxidant Potential and Health Benefits of Citrus Peel. Food Res. Int. 2020, 132, 109114. [Google Scholar] [CrossRef] [PubMed]
- Suri, S.; Singh, A.; Nema, P.K. Current Applications of Citrus Fruit Processing Waste: A Scientific Outlook. Appl. Food Res. 2022, 2, 100050. [Google Scholar] [CrossRef]
- Cano-Lamadrid, M.; Martínez-Zamora, L.; Castillejo, N.; Artés-Hernández, F. From Pomegranate Byproducts Waste to Worth: A Review of Extraction Techniques and Potential Applications for Their Revalorization. Foods 2022, 11, 2596. [Google Scholar] [CrossRef] [PubMed]
- Singleton, V.L.; Rossi, J.A., Jr. Colorimetry of Total Phenolics with Phosphomolybdic-Phosphotungstic Acid Reagents. Am. J. Enol. Vitic. 1965, 16, 144–158. [Google Scholar] [CrossRef]
- Martínez-Zamora, L.; Castillejo, N.; Artés–Hernández, F. UV-B Radiation as Abiotic Elicitor to Enhance Phytochemicals and Development of Red Cabbage Sprouts. Horticulturae 2021, 7, 567. [Google Scholar] [CrossRef]
- Vorobyova, V.; Skiba, M.; Vasyliev, G. Extraction of Phenolic Compounds from Tomato Pomace Using Choline Chloride–Based Deep Eutectic Solvents. J. Food Meas. Charact. 2022, 16, 1087–1104. [Google Scholar] [CrossRef]
- Papoutsis, K.; Pristijono, P.; Golding, J.B.; Stathopoulos, C.E.; Bowyer, M.C.; Scarlett, C.J.; Vuong, Q.V. Optimizing a Sustainable Ultrasound-Assisted Extraction Method for the Recovery of Polyphenols from Lemon by-Products: Comparison with Hot Water and Organic Solvent Extractions. Eur. Food Res. Technol. 2018, 244, 1353–1365. [Google Scholar] [CrossRef]
- Sharmin, T.; Ahmed, N.; Hossain, A.; Hosain, M.M.; Mondal, S.C.; Haque, M.R.; Almas, M.; Siddik, M.A. Extraction of Bioactive Compound from Some Fruits and Vegetables (Pomegranate Peel, Carrot and Tomato). Am. J. Food Nutr. 2016, 4, 8–19. [Google Scholar] [CrossRef]
- Ajlouni, S.; Premier, R.; Tow, W.W. Improving Extraction of Lycopene from Tomato Waste By-Products Using Ultrasonication and Freeze Drying. World J. Adv. Res. Rev. 2020, 2020, 2581–9615. [Google Scholar] [CrossRef]
- Durmus, N.; Kilic-Akyilmaz, M. Bioactivity of Non-Extractable Phenolics from Lemon Peel Obtained by Enzyme and Ultrasound Assisted Extractions. Food Biosci. 2023, 53, 102571. [Google Scholar] [CrossRef]


| By-Product | Drying Method | % EtOH | % H2O | Codification Solvent | Ratio Solid:Liquid | US Type | Time (min) | T (°C) |
|---|---|---|---|---|---|---|---|---|
| Tomato | FD | 50 | 50 | 50E:50H | 1:25 | Probe: USAE-P | 13 | 50 |
| FD | 100 | 0 | 100E | 1:25 | Probe: USAE-P | 13 | 50 | |
| FD | 0 | 100 | 100H | 1:25 | Probe: USAE-P | 13 | 50 | |
| FD | 50 | 50 | 50E:50H | 1:25 | Bath: USAE-B | 13 | 50 | |
| FD | 100 | 0 | 100E | 1:25 | Bath: USAE-B | 13 | 50 | |
| FD | 0 | 100 | 100H | 1:25 | Bath: USAE-B | 13 | 50 | |
| Lemon | FD | 50 | 50 | 50E:50H | 1:25 | Probe: USAE-P | 13 | 50 |
| FD | 100 | 0 | 100E | 1:25 | Probe: USAE-P | 13 | 50 | |
| FD | 0 | 100 | 100H | 1:25 | Probe: USAE-P | 13 | 50 | |
| FD | 50 | 50 | 50E:50H | 1:25 | Bath: USAE-B | 13 | 50 | |
| FD | 100 | 0 | 100E | 1:25 | Bath: USAE-B | 13 | 50 | |
| FD | 0 | 100 | 100H | 1:25 | Bath: USAE-B | 13 | 50 |
Disclaimer/Publisher’s Note: The statements, opinions and data contained in all publications are solely those of the individual author(s) and contributor(s) and not of MDPI and/or the editor(s). MDPI and/or the editor(s) disclaim responsibility for any injury to people or property resulting from any ideas, methods, instructions or products referred to in the content. |
© 2023 by the authors. Licensee MDPI, Basel, Switzerland. This article is an open access article distributed under the terms and conditions of the Creative Commons Attribution (CC BY) license (https://creativecommons.org/licenses/by/4.0/).
Share and Cite
Mozafari, L.; Cano-Lamadrid, M.; Martínez-Zamora, L.; Zapata, R.; Artés-Hernández, F. Effect of Ultrasound-Assisted Extraction with Probe or Bath on Total Phenolics from Tomato and Lemon By-Products. Biol. Life Sci. Forum 2023, 26, 30. https://doi.org/10.3390/Foods2023-15006
Mozafari L, Cano-Lamadrid M, Martínez-Zamora L, Zapata R, Artés-Hernández F. Effect of Ultrasound-Assisted Extraction with Probe or Bath on Total Phenolics from Tomato and Lemon By-Products. Biology and Life Sciences Forum. 2023; 26(1):30. https://doi.org/10.3390/Foods2023-15006
Chicago/Turabian StyleMozafari, Laleh, Marina Cano-Lamadrid, Lorena Martínez-Zamora, Rosa Zapata, and Francisco Artés-Hernández. 2023. "Effect of Ultrasound-Assisted Extraction with Probe or Bath on Total Phenolics from Tomato and Lemon By-Products" Biology and Life Sciences Forum 26, no. 1: 30. https://doi.org/10.3390/Foods2023-15006
APA StyleMozafari, L., Cano-Lamadrid, M., Martínez-Zamora, L., Zapata, R., & Artés-Hernández, F. (2023). Effect of Ultrasound-Assisted Extraction with Probe or Bath on Total Phenolics from Tomato and Lemon By-Products. Biology and Life Sciences Forum, 26(1), 30. https://doi.org/10.3390/Foods2023-15006

