Effect of Hydration on the Technological Properties of Andean Maize Native Whole-Grain Flour Dough and Bread †
Abstract
:1. Introduction
2. Materials and Methods
2.1. Materials
2.2. Breadmaking Process
2.3. Technological Properties
2.3.1. Dough Rheological Properties
2.3.2. Weight Loss (WL)
2.3.3. Textural Analysis
2.4. Statistical Analysis
3. Results and Discussion
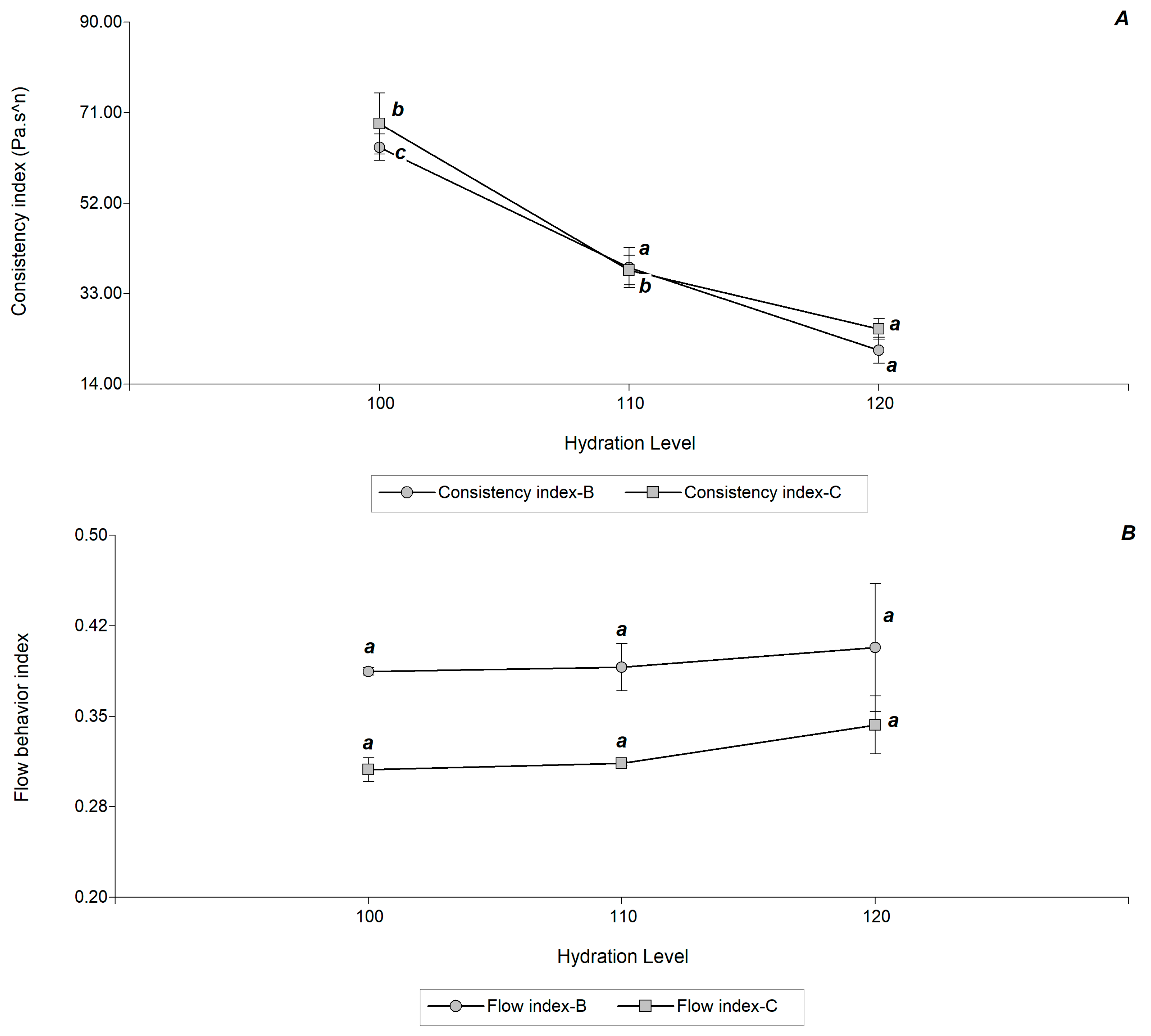
3.1. Dough Properties
3.2. Technological Characteristics of Bread
4. Conclusions
Author Contributions
Funding
Institutional Review Board Statement
Informed Consent Statement
Data Availability Statement
Acknowledgments
Conflicts of Interest
References
- Sciarini, L.S.; Steffolani, M.E.; Leon, A.E. El rol del gluten en la panificación y el desafío de prescindir de su aporte en la elaboración de pan. Agriscientia 2016, 33, 61–74. [Google Scholar] [CrossRef]
- Vidaurre-Ruiz, J.; Matheus-Diaz, S.; Salas-Valerio, F.; Barraza-Jauregui, G.; Schoenlechner, R.; Repo-Carrasco-Valencia, R. Influence of tara gum and xanthan gum on rheological and textural properties of starch-based gluten-free dough and bread. Eur. Food Res. Technol. 2019, 245, 1347–1355. [Google Scholar] [CrossRef]
- Vidaurre-Ruiz, J.; Salas-Valerio, F.; Schoenlechner, R.; Repo-Carrasco-Valencia, R. Rheological and textural properties of gluten-free doughs made from Andean grains. Int. J. Food Sci. Technol. 2021, 56, 468–479. [Google Scholar] [CrossRef]
- Ronda, F.; Pérez-Quirce, S.; Villanueva, M. Rheological properties of gluten-free bread doughs: Relationship with bread quality. In Advances in Food Rheology and Its Applications, 1st ed.; Woodhead Publishing: Cambridge, UK, 2016; pp. 297–334. [Google Scholar] [CrossRef]
- Demirkesen, I.; Mert, B.; Sumnu, G.; Sahin, S. Rheological properties of gluten-free bread formulations. J. Food Eng. 2010, 96, 295–303. [Google Scholar] [CrossRef]
- Encina-Zelada, C.R.; Cadavez, V.; Monteiro, F.; Teixeira, J.A.; Gonzales-Barron, U. Combined effect of xanthan gum and water content on physicochemical and textural properties of gluten-free batter and bread. Food Res. Int. 2018, 111, 544–555. [Google Scholar] [CrossRef] [PubMed]
- De La Hera, E.; Rosell, C.M.; Gomez, M. Effect of water content and flour particle size on gluten-free bread quality and digestibility. Food Chem. 2014, 151, 526–531. [Google Scholar] [CrossRef] [PubMed]
- Santos, F.G.; Fratelli, C.; Muniz, D.G.; Capriles, V.D. The impact of dough hydration level on gluten-free bread quality: A case study with chickpea flour. Int. J. Gastronomy Food Sci. 2021, 26, 100434. [Google Scholar] [CrossRef]




Disclaimer/Publisher’s Note: The statements, opinions and data contained in all publications are solely those of the individual author(s) and contributor(s) and not of MDPI and/or the editor(s). MDPI and/or the editor(s) disclaim responsibility for any injury to people or property resulting from any ideas, methods, instructions or products referred to in the content. |
© 2023 by the authors. Licensee MDPI, Basel, Switzerland. This article is an open access article distributed under the terms and conditions of the Creative Commons Attribution (CC BY) license (https://creativecommons.org/licenses/by/4.0/).
Share and Cite
Miranda, R.M.; Lobo, M.O.; Sammán, N.C. Effect of Hydration on the Technological Properties of Andean Maize Native Whole-Grain Flour Dough and Bread. Biol. Life Sci. Forum 2023, 25, 5. https://doi.org/10.3390/blsf2023025005
Miranda RM, Lobo MO, Sammán NC. Effect of Hydration on the Technological Properties of Andean Maize Native Whole-Grain Flour Dough and Bread. Biology and Life Sciences Forum. 2023; 25(1):5. https://doi.org/10.3390/blsf2023025005
Chicago/Turabian StyleMiranda, Rita M., Manuel O. Lobo, and Norma C. Sammán. 2023. "Effect of Hydration on the Technological Properties of Andean Maize Native Whole-Grain Flour Dough and Bread" Biology and Life Sciences Forum 25, no. 1: 5. https://doi.org/10.3390/blsf2023025005
APA StyleMiranda, R. M., Lobo, M. O., & Sammán, N. C. (2023). Effect of Hydration on the Technological Properties of Andean Maize Native Whole-Grain Flour Dough and Bread. Biology and Life Sciences Forum, 25(1), 5. https://doi.org/10.3390/blsf2023025005

