Optimizing Industrial Energy Saving with On-Site Photovoltaics: A Zero Feed-In Case Study in Greece
Abstract
1. Introduction
- A real-data-driven assessment of industrial PV under strict non-export (zero feed-in) constraints in Greece.
- Tariff-consistent techno-economic evaluation (energy, regulated charges, and demand/peak effects) without export revenue.
- Scalable comparison across four PV sizes, highlighting how load–PV coincidence drives savings and (where applicable) curtailment risk.
- Policy-relevant insight for deploying behind-the-meter PV in grid-congested areas while maintaining non-export compliance.
1.1. Research Gap and Novelty
- Industrial-scale, measurement-driven modeling: twelve months of 15 min factory load data are used to represent realistic operational variability.
- Strict non-export enforcement: self-consumed PV is computed explicitly as , eliminating implicit export assumptions.
- Tariff-consistent profitability under Greek conditions: the economic analysis reflects industrial billing structure without export remuneration, enabling a realistic feasibility assessment and sensitivity to electricity price and discount rate.
1.2. Structure of the Paper
2. Literature Review
2.1. PV Self-Consumption: Mismatch, Metrics, and Operational Drivers
2.2. Industrial PV Self-Consumption: Load Characteristics and Tariff Realism
2.3. Export Constraints and “Zero Feed-In”: Control, Curtailment, and Hosting-Capacity Motivations
2.4. Techno-Economic Evaluation Under Industrial Tariffs: NPV/LCOE Use and Remaining Gaps
3. Materials and Methods
3.1. Regulatory Framework for Zero Feed-In Operation
- Meter 2, installed and owned by the grid operator, records the bidirectional energy exchange between the facility and the public grid.
- Meter 1, installed and owned by the self-producer, measures the output of the PV station and forms part of the internal installation.
3.2. Solar Resource, PV Modeling, and Energy Simulation Method
Model Verification and Result Reliability
3.3. Industrial Electricity Tariff Structure and Cost Calculation Method
3.3.1. Energy Charge
3.3.2. Regulated Charges
3.3.3. Public Utility and Environmental Charges
3.3.4. Cost Under Zero Feed-In PV Operation
3.4. Economic Evaluation Framework
3.4.1. Annual Cost Savings and Energy Cost Reduction
3.4.2. Investment Cost
3.4.3. Net Present Value (NPV)
3.4.4. Simple Payback Period (SPB)
3.4.5. Levelized Cost of Energy (LCOE)
3.4.6. Detailed Cash-Flow Formulation
3.4.7. Environmental CO2 Emissions Reduction from Avoided Grid Electricity
4. Results and Discussion
4.1. Solar Resource and PV Energy Generation Profiles
4.2. Impact of Factory-Connected Photovoltaics on the Consumption Profile
- Peak power charges (lower kVA billing).
- Total purchased energy (kWh reduction).
- Transmission and distribution charges.
- Air-pollutant fees and taxes.
4.3. Annual Energy Savings Analysis
4.4. Seasonal Performance
4.5. Relationship Between PV Generation and Savings
4.6. Relative Contribution to Energy Needs
4.7. Cost Analysis Under Zero Feed-In Operation
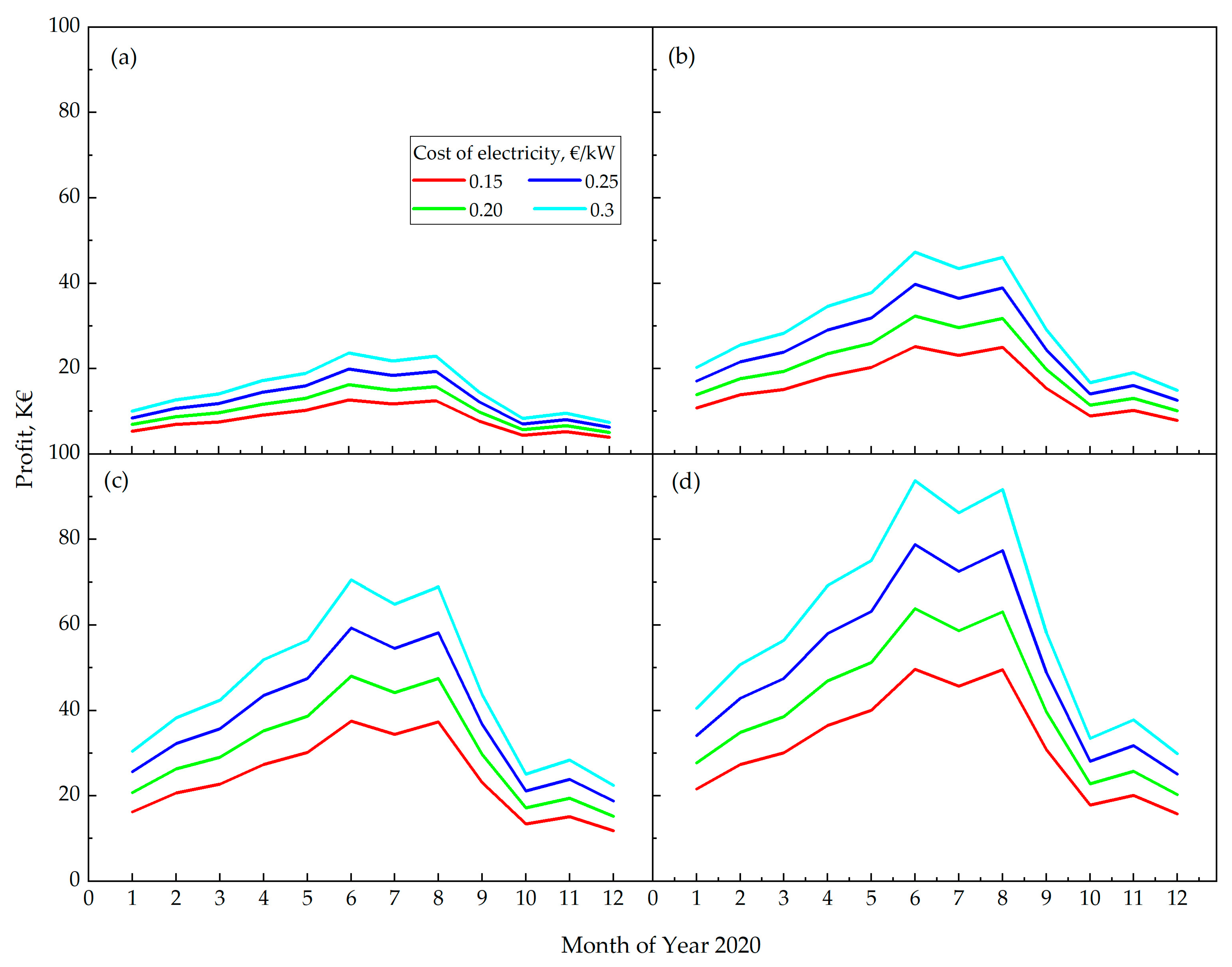
4.7.1. Impact of Electricity Price Levels
4.7.2. Annual Profitability Trends
4.7.3. Interpretation Within the Zero Feed-In Framework
- Profit is driven entirely by self-consumption, not export revenue.
- Higher PV capacities are always more profitable, provided the facility load is sufficiently high to absorb all PV production.
- Electricity price volatility is a dominant factor in determining economic performance.
- No regulatory, tariff-based, or market remuneration mechanisms are involved, simplifying the economic assessment relative to grid-export systems.
- Under strict zero feed-in operation, PV curtailment may occur whenever instantaneous PV generation exceeds the facility’s electricity demand. In the examined industrial facility, such events are inherently limited due to the large and continuous load profile. Curtailment is observed only during short periods of low industrial activity coinciding with high solar irradiance, mainly in spring and summer months. Even for the largest PV capacity (2000 kWp), the energy curtailed represents a negligible fraction of annual PV production, confirming that system performance is primarily governed by load–PV coincidence rather than export limitations.
4.7.4. Summary
4.8. Sensitivity Analysis of Net Present Value (NPV) with Respect to Discount Rate
5. Conclusions
Author Contributions
Funding
Data Availability Statement
Conflicts of Interest
Abbreviations
| PV | Photovoltaic |
| TMY | Typical Meteorological Year |
| NPV | Net Present Value |
| LCOE | Levelized Cost of Energy |
| HEDNO | Hellenic Electricity Distribution Network Operator |
| LV | Low Voltage |
| MV | Medium Voltage |
| HV | High Voltage |
| PVGIS | Photovoltaic Geographical Information System |
| SAM | System Advisor Model |
| NREL | National Renewable Energy Laboratory |
| PR | Performance Ratio |
| POA | Plane-of-Array |
| DC | Direct Current |
| AC | Alternating Current |
| DEP | Daily Energy Planning |
| RES | Renewable Energy Sources |
| DCF | Discounted Cash-Flow |
| SPB | Simple Payback Period |
| CAPEX | Capital Expenditure |
| CF | Cash Flow |
Appendix A

Appendix B


References
- Al-Rasheedi, M.; Gueymard, C.A.; Al-Khayat, M.; Ismail, A.; Lee, J.A.; Al-Duaj, H. Performance evaluation of a utility-scale dual-technology photovoltaic power plant at the Shagaya Renewable Energy Park in Kuwait. Renew. Sustain. Energy Rev. 2020, 133, 110139. [Google Scholar] [CrossRef]
- Abdullah, G.; Nishimura, H. Techno-Economic Performance Analysis of a 40.1 kWp Grid-Connected Photovoltaic (GCPV) System after Eight Years of Energy Generation: A Case Study for Tochigi, Japan. Sustainability 2021, 13, 7680. [Google Scholar] [CrossRef]
- Miserocchi, L.; Franco, A. Techno-Economic Assessment of Electrification and Hydrogen Pathways for Optimal Solar Integration in the Glass Industry. Solar 2025, 5, 35. [Google Scholar] [CrossRef]
- Lombardi, P.A. Technical and Economic Approaches to Design Net-Zero Energy Factories: A Case Study of a German Carpentry Factory. Sustainability 2025, 17, 7891. [Google Scholar] [CrossRef]
- Tu, R.; Guo, Z.; Liu, L.; Wang, S.; Yang, X. Reviews of Photovoltaic and Energy Storage Systems in Buildings for Sustainable Power Generation and Utilization from Perspectives of System Integration and Optimization. Energies 2025, 18, 2683. [Google Scholar] [CrossRef]
- Fernández Bandera, C.; Bastos Porsani, G.; Fernández-Vigil Iglesias, M. A demand side management approach to increase self-consumption in buildings. Build. Simul. 2023, 16, 317–335. [Google Scholar] [CrossRef]
- Chatzistylianos, E.S.; Psarros, G.N.; Papathanassiou, S.A. Export Constraints Applicable to Renewable Generation to Enhance Grid Hosting Capacity. Energies 2024, 17, 2588. [Google Scholar] [CrossRef]
- Garabitos Lara, E.; Vallejo Díaz, A. Sizing of Photovoltaic Systems for Self-Consumption without Surpluses through On-Site Measurements: Case Study of the Dominican Republic. Renew. Energy 2024, 236, 121422. [Google Scholar] [CrossRef]
- Meteocontrol GmbH. Zero Feed-In Solutions for PV Systems: Technical Description and Operational Principles. Available online: https://www.meteocontrol.com/en/scada-plant-control/solutions/zero-feed-in (accessed on 25 November 2025).
- Clou Global. Zero Feed-In vs. Net Metering: Understanding the Operational and Regulatory Differences. Available online: https://clouglobal.com/zero-feed-in-vs-net-metering-understanding-the-differences (accessed on 25 November 2025).
- Hellenic Electricity Distribution Network Operator (HEDNO). Zero Feed-In Requirements for PV Self-Producers and Virtual Net-Metering Schemes. Available online: https://deddie.gr (accessed on 25 November 2025).
- Pitt, J.; Nolden, C. Post-Subsidy Solar PV Business Models to Tackle Fuel Poverty in Multi-Occupancy Social Housing. Energies 2020, 13, 4852. [Google Scholar] [CrossRef]
- Martínez-Calahorro, A.J.; Jiménez-Castillo, G.; Rus-Casas, C.; Gómez-Vidal, P.; Muñoz-Rodríguez, F.J. Photovoltaic Self-Consumption in Industrial Cooling and Refrigeration. Electronics 2020, 9, 2204. [Google Scholar] [CrossRef]
- Talavera, D.L.; Muñoz-Rodriguez, F.J.; Jimenez-Castillo, G.; Rus-Casas, C. A New Approach to Sizing the Photovoltaic Generator in Self-Consumption Systems Based on Cost–Competitiveness, Maximizing Direct Self-Consumption. Renew. Energy 2019, 130, 1021–1035. [Google Scholar] [CrossRef]
- Alqahtani, N.; Balta-Ozkan, N. Assessment of Rooftop Solar Power Generation to Meet Residential Loads in the City of Neom, Saudi Arabia. Energies 2021, 14, 3805. [Google Scholar] [CrossRef]
- Nematirad, R.; Pahwa, A.; Natarajan, B. A Novel Statistical Framework for Optimal Sizing of Grid-Connected Photovoltaic–Battery Systems for Peak Demand Reduction to Flatten Daily Load Profiles. Solar 2024, 4, 179–208. [Google Scholar] [CrossRef]
- Al Khafaf, N.; Rezaei, A.A.; Moradi Amani, A.; Jalili, M.; McGrath, B.; Meegahapola, L.; Vahidnia, A. Impact of Battery Storage on Residential Energy Consumption: An Australian Case Study Based on Smart Meter Data. Renew. Energy 2022, 182, 390–400. [Google Scholar] [CrossRef]
- Kim, H.; Jeong, S.; Kim, J.; Kim, J. Analysis of load matching and grid interaction of a zero energy building. J. Korean Sol. Energy Soc. 2022, 42, 33–45. [Google Scholar] [CrossRef]
- Sánchez-Jiménez, J.L.; Muñoz-Rodríguez, F.J.; Jiménez-Castillo, G.; Martinez-Calahorro, A.J.; Rus-Casas, C. Analysis of Different Scenarios to Include PV Rooftop Systems with Battery Energy Storage Systems in Olive Mills. Energies 2024, 17, 144. [Google Scholar] [CrossRef]
- Vidal, H.; Rivera, M.; Wheeler, P.; Vicencio, N. The Analysis Performance of a Grid-Connected 8.2 KWp Photovoltaic System in the Patagonia Region. Sustainability 2020, 12, 9227. [Google Scholar] [CrossRef]
- Serrano Guardiola, D. Photovoltaic Installation Project for Self-Consumption on Industrial Roof. Master’s Thesis, Universitat Politècnica de València, Valencia, Spain, 2022. [Google Scholar]
- Fleschutz, M.; Bohlayer, M.; Braun, M.; Murphy, M.D. From Prosumer to Flexumer: Case Study on the Value of Flexibility in Decarbonizing the Multi-Energy System of a Manufacturing Company. Appl. Energy 2023, 347, 121430. [Google Scholar] [CrossRef]
- Miranda, M.T.; Sepúlveda, F.J.; Fernández, A.; Arranz, J.I.; Montero, I. Analysis of Photovoltaic Self-Consumption as a Function of the Demand Profile in Detached Houses. Energy Build. 2024, 316, 114375. [Google Scholar] [CrossRef]
- Milenov, V.; Zarkov, Z. Modeling of Photovoltaic Systems for Self-Consumption. In Proceedings of the 15th Electrical Engineering Faculty Conference (BulEF), Varna, Bulgaria, 16–19 September 2023; pp. 1–6. [Google Scholar] [CrossRef]
- Šriupša, L.; Vaitkūnas, M.; Baronas, A.; Dosinas, J. Analysis of Self-Generated PV Energy Consumption Profiles in Prosumers Microgrid. Int. J. Sustain. Energy 2023, 42, 1583–1602. [Google Scholar] [CrossRef]
- Kim, D.; Jang, Y.; Choi, Y. Improved Metrics for Evaluating Self-Consumption and Self-Sufficiency Rates in ESS-Integrated Renewable Energy Systems. Renew. Energy 2025, 247, 123059. [Google Scholar] [CrossRef]
- Babaei, A.; Nasr Esfahani, A. A Review of Photovoltaic Waste Management from a Sustainable Perspective. Electricity 2024, 5, 734–750. [Google Scholar] [CrossRef]
- Hughes, K.M.; Phillips, C.C. A Quantitative Analysis of the Need for High Conversion Efficiency PV Technologies in Carbon Mitigation Strategies. Solar 2024, 4, 209–221. [Google Scholar] [CrossRef]
- Roodneshin, M.; Alcojor, A.M.; Masseck, T. Spatial Strategies for the Renewable Energy Transition: Integrating Solar Photovoltaics into Barcelona’s Urban Morphology. Solar 2025, 5, 34. [Google Scholar] [CrossRef]
- Murat Ates, A.; Singh, H. Rooftop Solar Photovoltaic (PV) Plant–One Year Measured Performance and Simulations. J. King Saud Univ. Sci. 2021, 33, 101361. [Google Scholar] [CrossRef]
- Bibiloni-Mulet, P.A.; Moià-Pol, A.; Vidal-Noguera, J.; Alonso, I.; Martínez-Moll, V.; Díaz Torres, Y.; Canals, V.; Mas, B.; Mulet-Forteza, C. Zero Emissions Analysis for a Hybrid System with Photovoltaic and Thermal Energy in the Balearic Islands University. Solar 2025, 5, 31. [Google Scholar] [CrossRef]
- Peña-Becerra, C.A.; Pacheco-Cano, W.A.; Aragones-Vargas, D.F.; Irizarry-Rivera, A.; Castro-Sitiriche, M. Barrio-Level Assessment of Solar Rooftop Energy and Initial Insights into Energy Inequalities in Puerto Rico. Solar 2025, 5, 28. [Google Scholar] [CrossRef]
- Sørensen, R.; Mihet-Popa, L. Comparative Evaluation of Traditional and Advanced Algorithms for Photovoltaic Systems in Partial Shading Conditions. Solar 2024, 4, 572–594. [Google Scholar] [CrossRef]
- Maghalseh, M.; Iqteit, N.; Alqadi, H.; Ajib, S. Investigation of Grid-Tied Photovoltaic Power Plant on Medium-Voltage Feeder: Palestine Polytechnic University Case Study. Solar 2025, 5, 1. [Google Scholar] [CrossRef]
- Sekyere, C.K.; Davis, F.; Opoku, R.; Otoo, E.; Takyi, G.; Atepor, L. Performance evaluation of a 20 MW grid-coupled solar park located in the southern oceanic environment of Ghana. Clean. Eng. Technol. 2021, 5, 100273. [Google Scholar] [CrossRef]
- Pedrero, J.; Hernández, P.; Martínez, Á. Economic Evaluation of PV Installations for Self-Consumption in Industrial Parks. Energies 2021, 14, 728. [Google Scholar] [CrossRef]
- Ciocia, A.; Amato, A.; Di Leo, P.; Fichera, S.; Malgaroli, G.; Spertino, F.; Tzanova, S. Self-Consumption and Self-Sufficiency in Photovoltaic Systems: Effect of Grid Limitation and Storage Installation. Energies 2021, 14, 1591. [Google Scholar] [CrossRef]
- Christopoulos, K.; Stefanidi, I.; Kavadias, K.; Zafirakis, D. Self-Consumption and Market Integration Balance Analysis for RES–Battery Electricity Prosumers in Greece. Environ. Sci. Proc. 2023, 26, 182. [Google Scholar] [CrossRef]
- Keskinis, S.; Elmasides, C.; Kosmadakis, I.E.; Raptis, I.; Tsikalakis, A. Techno-Economic Photovoltaic-Battery Energy Storage System Microgrids with Diesel Backup Generator: A Case Study in Industrial Loads in Germany Comparing Load-Following and Cycle-Charging Control. Energies 2025, 18, 6463. [Google Scholar] [CrossRef]
- Sánchez-Jiménez, J.L.; Jiménez-Castillo, G.; Rus-Casas, C.; Martínez-Calahorro, A.J.; Muñoz-Rodriguez, F.J. Performance Evaluation of Photovoltaic Self-Consumption Systems on Industrial Rooftops under Continental Mediterranean Climate Conditions with Multi-String Inverter Topology. Energy Rep. 2025, 14, 1020–1042. [Google Scholar] [CrossRef]
- Gusmedi, H.; Zebua, O.; Khairan, A.G.; Samosir, A.S. Maximizing Self-Consumption in Industrial Hybrid PV Systems: A Case Study on Indonesia’s Energy Policies. Nanotechnol. Percept. 2024, 20, 36–49. [Google Scholar] [CrossRef]
- Kosmadakis, I.E.; Elmasides, C.; Koulinas, G.; Tsagarakis, K.P. Energy Unit Cost Assessment of Six Photovoltaic-Battery Configurations. Renew. Energy 2021, 173, 24–41. [Google Scholar] [CrossRef]
- Meo, N. Self-Consumption Photovoltaic Plant: Project Verdeto 127.68 kWp. Master’s Thesis, Politecnico di Milano, Milan, Italy, 2023. Available online: https://hdl.handle.net/10589/205916 (accessed on 25 November 2025).
- Parhamfar, M.; Zabihi, A. Comprehensive design of a 100-kilowatt solar power plant with bifacial technology in PVsyst for Arak, Iran. Sol. Energy Adv. 2025, 5, 100092. [Google Scholar] [CrossRef]
- Gilman, P.; Dobos, A.; DiOrio, N.; Freeman, J.; Janzou, S.; Ryberg, D. System Advisor Model (SAM) Photovoltaic Model Technical Reference Update; National Renewable Energy Laboratory: Golden, CO, USA, 2018. [Google Scholar]
- Photovoltaic Geographical Information System. Available online: https://re.jrc.ec.europa.eu/pvg_tools/en/tools.html (accessed on 25 November 2025).
- System Advisor Model; Version 2017.9.5 (SAM 2017.9.5); National Renewable Energy Laboratory: Golden, CO, USA, 2017. Available online: https://sam.nrel.gov/download (accessed on 25 November 2025).
- Al Mahdi, H.; Leahy, P.G.; Alghoul, M.; Morrison, A.P. A Review of Photovoltaic Module Failure and Degradation Mecha-nisms: Causes and Detection Techniques. Solar 2024, 4, 43–82. [Google Scholar] [CrossRef]
- Ciambellini, G.; D’Adamo, I.; Gastaldi, M.; Smol, M. Sustainability and competitiveness: Economic analysis of a photovoltaic plant with storage in an Italian textile company. Innov. Green Dev. 2025, 4, 100209. [Google Scholar] [CrossRef]
- Yakubu, R.O.; Ijeoma, M.W.; Yusuf, H.; Abdulazeez, A.A.; Acheampong, P.; Carbajales-Dale, M. Performance Analysis of a 50 MW Solar PV Installation at BUI Power Authority: A Comparative Study between Sunny and Overcast Days. Electricity 2024, 5, 546–561. [Google Scholar] [CrossRef]
- Ewart, M.; Santos, J.; Pacheco, A.; Monteiro, J.; Sequeira, C. On a new method to design solar photovoltaic systems in renewable energy communities: The case of Culatra Island (Ria Formosa, Portugal). Energy 2023, 285, 129257. [Google Scholar] [CrossRef]
- Jiménez Borges, R.; Castillo Alvarez, Y.; Iturralde Carrera, L.A.; Garduño Aparicio, M.; Rodríguez Pérez, B.; Rodríguez-Reséndiz, J. Methodological Framework for the Integrated Technical, Economic, and Environmental Evaluation of Solar Photovoltaic Systems in Agroindustrial Environments. Technologies 2025, 13, 360. [Google Scholar] [CrossRef]
- Mathew, M.; Hossain, M.S.; Saha, S.; Mondal, S.; Haque, M.E. Sizing approaches for solar photovoltaic-based microgrids: A comprehensive review. IET Energy Syst. Integr. 2022, 4, 1–27. [Google Scholar] [CrossRef]
- Butturi, M.A.; Gamberini, R. Urban–industrial symbiosis to support sustainable energy transition. Int. J. Energy Prod. Manag. 2020, 5, 355–366. [Google Scholar] [CrossRef]
- Álvaro, D.; Arranz, R.; Aguado, J.A. Sizing and operation of hybrid energy storage systems to perform ramp-rate control in PV power plants. Int. J. Electr. Power Energy Syst. 2019, 107, 589–596. [Google Scholar] [CrossRef]
- Fuster-Palop, E.; Vargas-Salgado, C.; Ferri-Revert, J.C.; Payá, J. Performance analysis and modelling of a 50 MW grid-connected photovoltaic plant in Spain after 12 years of operation. Renew. Sustain. Energy Rev. 2022, 170, 112968. [Google Scholar] [CrossRef]
- Veerendra Kumar, D.J.; Deville, L.; Ritter, K.A., III; Raush, J.R.; Ferdowsi, F.; Gottumukkala, R.; Chambers, T.L. Performance Evaluation of 1.1 MW Grid-Connected Solar Photovoltaic Power Plant in Louisiana. Energies 2022, 15, 3420. [Google Scholar] [CrossRef]
- Kosmadakis, I.E.; Elmasides, C. A Sizing Method for PV–Battery–Generator Systems for Off-Grid Applications Based on the LCOE. Energies 2021, 14, 1988. [Google Scholar] [CrossRef]
- International Energy Agency (IEA). Levelised Cost of Electricity (LCOE) Calculator. Available online: https://www.iea.org/data-and-statistics/data-tools/levelised-cost-of-electricity-calculator?utm_ (accessed on 25 November 2025).
- Cristea, M.; Cristea, C.; Tîrnovan, R.-A.; Șerban, F.M. Levelized Cost of Energy (LCOE) of Different Photovoltaic Technolo-gies. Appl. Sci. 2025, 15, 6710. [Google Scholar] [CrossRef]
- Manzolini, G.; Gentile, G.; Pilotti, L.; Martelli, E.; Picotti, G.; Binotti, M.; Cholette, M.E. Limitations of using LCOE as economic indicator for solar power plants. Renew. Sustain. Energy Rev. 2025, 209, 115087. [Google Scholar] [CrossRef]
- Rodriguez-Ossorio, J.R.; Gonzalez-Martinez, A.; de Simon-Martin, M.; Diez-Suarez, A.M.; Colmenar-Santos, A.; Rosales-Asensio, E. Levelized cost of electricity for the deployment of solar photovoltaic plants: The region of León (Spain) as case study. Energy Rep. 2021, 7, 199–203. [Google Scholar] [CrossRef]
- Campana, P.E.; Cioccolanti, L.; François, B.; Jurasz, J.; Zhang, Y.; Varini, M.; Stridh, B.; Yan, J. Li-ion batteries for peak shaving, price arbitrage, and photovoltaic self-consumption in commercial buildings: A Monte Carlo Analysis. Energy Convers. Manag. 2021, 234, 113889. [Google Scholar] [CrossRef]
- Yu, H.J.J. System contributions of residential battery systems: New perspectives on PV self-consumption. Energy Econ. 2021, 96, 105151. [Google Scholar] [CrossRef]
- Pontes Luz, G.; Amaro e Silva, R. Modeling Energy Communities with Collective Photovoltaic Self-Consumption: Synergies between a Small City and a Winery in Portugal. Energies 2021, 14, 323. [Google Scholar] [CrossRef]
- Khezri, R.; Mahmoudi, A.; Haque, M.H. Optimal Capacity of Solar PV and Battery Storage for Australian Grid-Connected Households. IEEE Trans. Ind. Appl. 2020, 56, 5319–5329. [Google Scholar] [CrossRef]
- Ayadi, O.; Rinchi, B.; Alnaser, S.; Haj-Ahmed, M. Transition towards a sustainable campus: Design, implementation, and performance of a 16 MWp solar photovoltaic system. Case Stud. Therm. Eng. 2025, 68, 105907. [Google Scholar] [CrossRef]











| Study | Application/Scale | Data Resolution | Export Allowed | Zero Feed-In Explicitly Enforced | Tariff Modeling Detail | Key KPIs | Main Limitation Relative to This Work |
|---|---|---|---|---|---|---|---|
| [14] | Residential/small commercial | Hourly (synthetic) | Yes (net billing) | No | Energy-only | Self-consumption rate, IRR | Export revenue assumed; no strict non-export |
| [12] | Residential/social housing | Aggregated | Yes | No | Simplified tariffs | NPV, business models | Not industrial; no operational constraint |
| [13] | Industrial cooling | Hourly | Yes | No | Energy charge only | Energy savings | No demand charges; export allowed |
| [36] | Industrial parks | Monthly/hourly | Yes | No | Partial tariff modeling | NPV, payback | Non-export not enforced |
| [37] | Residential–commercial | Hourly | Limited | Partially | Simplified | Self-consumption, self-sufficiency | Grid limitation ≠ strict zero feed-in |
| [38] | Greek prosumers | Hourly | Yes | No | Market-oriented | Market balance indices | Not industrial; export assumed |
| [8] | Commercial/institutional | Measured | No | Yes | Energy-only | PV sizing metrics | No demand charges; non- industrial |
| [40] | Industrial rooftops | Hourly | Yes | No | Energy-focused | Performance ratios | No non-export constraint |
| [41] | Industrial hybrid PV | Hourly | Yes | No | Simplified | Energy savings | Policy-specific; export assumed |
| This work | Industrial manufacturing facility (Greece) | 15 min measured load + TMY PV | No | Yes (strict zero feed-in) | Full industrial tariff (energy, regulated fees, demand charges) | Self-consumed energy, peak reduction, NPV, LCOE | — |
| Parameter | Value |
|---|---|
| PV capacities (kWp) | 500, 1000, 1500, 2000 |
| PV technology | Monocrystalline silicon modules |
| Mounting | Fixed-tilt rooftop system |
| Tilt angle | 25° |
| Azimuth | 180° (south-facing) |
| DC/AC ratio | 1.1 |
| Inverter efficiency | 98% |
| Annual degradation rate | 0.5%/year |
| Feed-in to grid | Strictly prohibited (zero feed-in) |
| Performance ratio (PR) | 0.78–0.81 |
| Meteorological input | PVGIS Typical Meteorological Year (TMY), Serres, Greece (41.09° N, 23.55° E) |
| PV simulation tool/time step | NREL SAM, Δt = 1 h |
| Load data time step | Measured factory demand, Δt = 15 min |
| Loss modeling (summary) | Standard PV loss components modeled in SAM (e.g., optical/thermal/electrical); availability assumed 100% in baseline |
| Parameter | Value | Notes |
|---|---|---|
| Project lifetime | 25 years | Typical for industrial PV systems |
| PV degradation rate | 0.5% per year | Manufacturer-consistent |
| Discount rate (real) | 6% (baseline) | Sensitivity: 4–10% |
| O&M cost | 1.5% of CAPEX per year | Preventive maintenance |
| Electricity price escalation | 2% per year | Conservative assumption |
| Feed-in tariff | 0 EUR/kWh | Strict zero feed-in |
| System availability | 100% (baseline) | Discussed as limitation |
| PV Energy Generation (kWh) | |||||||||
|---|---|---|---|---|---|---|---|---|---|
| PV Peak Power (MWp) | 0.5 | Percentage of Power Contribution per Month | 1 | Percentage of Power Contribution per Month | 1.5 | Percentage of Power Contribution per Month | 2 | Percentage of Power Contribution per Month | |
| Month (2020) | January | 40.2 | 5% | 81 | 5% | 121 | 5% | 161.2 | 5% |
| February | 45.5 | 6% | 91.5 | 6% | 137 | 6% | 182.4 | 6% | |
| March | 60 | 8% | 120.5 | 8% | 180.5 | 8% | 240.4 | 8% | |
| April | 72 | 10% | 144.1 | 10% | 215.8 | 10% | 287.5 | 10% | |
| May | 81.1 | 11% | 163.3 | 11% | 244.4 | 11% | 325.6 | 11% | |
| June | 77.5 | 10% | 156.2 | 10% | 233.7 | 10% | 311.2 | 10% | |
| July | 81.5 | 11% | 164.2 | 11% | 245.7 | 11% | 327.2 | 11% | |
| August | 78.5 | 11% | 158.2 | 11% | 236.7 | 11% | 315.2 | 11% | |
| September | 72.4 | 10% | 146 | 10% | 218.2 | 10% | 290.6 | 10% | |
| October | 60.4 | 8% | 121.6 | 8% | 182.1 | 8% | 242.5 | 8% | |
| November | 36.4 | 5% | 73.4 | 5% | 109.8 | 5% | 146.3 | 5% | |
| December | 34.3 | 5% | 69.1 | 5% | 103.4 | 5% | 137.6 | 5% | |
| Total | 739.8 | 100% | 1489.1 | 100% | 2228.3 | 100% | 2967.7 | 100% | |
| Without PV | 500 kWp | 1000 kWp | 1500 kWp | 2000 kWp | ||||||
|---|---|---|---|---|---|---|---|---|---|---|
| Month | Peak Power, MW | Energy Consumed, MWh | Peak Power, ΜW | Energy Consumed, ΜWh | Peak Power, ΜW | Energy Consumed, ΜWh | Peak Power, ΜW | Energy Consumed, ΜWh | Peak Power, ΜW | Energy Consumed, ΜWh |
| 1 | 6.6 | 4269 | 6.3 | 4229 | 6.4 | 4188 | 6.3 | 4148 | 6.3 | 4108 |
| 2 | 12.3 | 6736 | 12.2 | 6690 | 12.1 | 6644 | 12 | 6599 | 12 | 6553 |
| 3 | 12.3 | 6857 | 12 | 6797 | 11.9 | 6736 | 11.9 | 6676 | 11.9 | 6617 |
| 4 | 6.2 | 3785 | 6 | 3713 | 5.8 | 3640 | 5.6 | 3569 | 5.3 | 3497 |
| 5 | 7.4 | 4765 | 7.3 | 4684 | 7.3 | 4602 | 7.2 | 4520 | 7.1 | 4439 |
| 6 | 12.3 | 7964 | 12 | 7886 | 12 | 7808 | 11.9 | 7730 | 11.8 | 7653 |
| 7 | 12.3 | 8215 | 12 | 8134 | 12 | 8051 | 11.9 | 7969 | 11.9 | 7888 |
| 8 | 12.1 | 6750 | 11.8 | 6672 | 11.6 | 6592 | 11.5 | 6514 | 11.5 | 6435 |
| 9 | 12.3 | 8093 | 12 | 8021 | 12 | 7947 | 12 | 7875 | 12 | 7802 |
| 10 | 12.3 | 8311 | 12 | 8251 | 11.9 | 8189 | 11.9 | 8129 | 11.8 | 8068 |
| 11 | 12 | 7829 | 11.8 | 7793 | 11.8 | 7756 | 11.7 | 7719 | 11.7 | 7683 |
| 12 | 12 | 7867 | 11.8 | 7833 | 11.7 | 7796 | 11.7 | 7761 | 11.7 | 7726 |
| PV Capacity (kWp) | Annual Energy Savings (MWh) |
|---|---|
| 500 | 40.18 |
| 1000 | 80.36 |
| 1500 | 120.54 |
| 2000 | 160.72 |
Disclaimer/Publisher’s Note: The statements, opinions and data contained in all publications are solely those of the individual author(s) and contributor(s) and not of MDPI and/or the editor(s). MDPI and/or the editor(s) disclaim responsibility for any injury to people or property resulting from any ideas, methods, instructions or products referred to in the content. |
© 2026 by the authors. Licensee MDPI, Basel, Switzerland. This article is an open access article distributed under the terms and conditions of the Creative Commons Attribution (CC BY) license.
Share and Cite
Pelekas, N.; Keskinis, S.; Kosmadakis, I.E.; Elmasides, C. Optimizing Industrial Energy Saving with On-Site Photovoltaics: A Zero Feed-In Case Study in Greece. Solar 2026, 6, 12. https://doi.org/10.3390/solar6020012
Pelekas N, Keskinis S, Kosmadakis IE, Elmasides C. Optimizing Industrial Energy Saving with On-Site Photovoltaics: A Zero Feed-In Case Study in Greece. Solar. 2026; 6(2):12. https://doi.org/10.3390/solar6020012
Chicago/Turabian StylePelekas, Nick, Stefanos Keskinis, Ioannis E. Kosmadakis, and Costas Elmasides. 2026. "Optimizing Industrial Energy Saving with On-Site Photovoltaics: A Zero Feed-In Case Study in Greece" Solar 6, no. 2: 12. https://doi.org/10.3390/solar6020012
APA StylePelekas, N., Keskinis, S., Kosmadakis, I. E., & Elmasides, C. (2026). Optimizing Industrial Energy Saving with On-Site Photovoltaics: A Zero Feed-In Case Study in Greece. Solar, 6(2), 12. https://doi.org/10.3390/solar6020012

