On a Three-Parameter Bounded Gamma–Gompertz Distribution, with Properties, Estimation, and Applications
Abstract
1. Introduction
2. Derivation and Properties of the Proposed Model
2.1. Model Derivation
- The first step in this formulation involves selecting an odd link function, denoted by , which is defined aswhere represents the baseline cumulative distribution function (CDF). The function is required to satisfy the following conditions:
- is differentiable and monotonically non-decreasing;
- as , and as .
- Now, consider the CDF of the log-logistic distribution as a baseline function, with parameters , defined over the interval as
- By substituting the baseline distribution function into , we obtain
- To incorporate the growth or decay rates of returns, volatility, or prices, we consider a mixture based on the Gamma–Gompertz distribution CDF [18]. Specifically, letand define the corresponding density asUsing this formulation, we generate a new class of distributions suitable for modeling dynamic behaviors in financial or economic data.
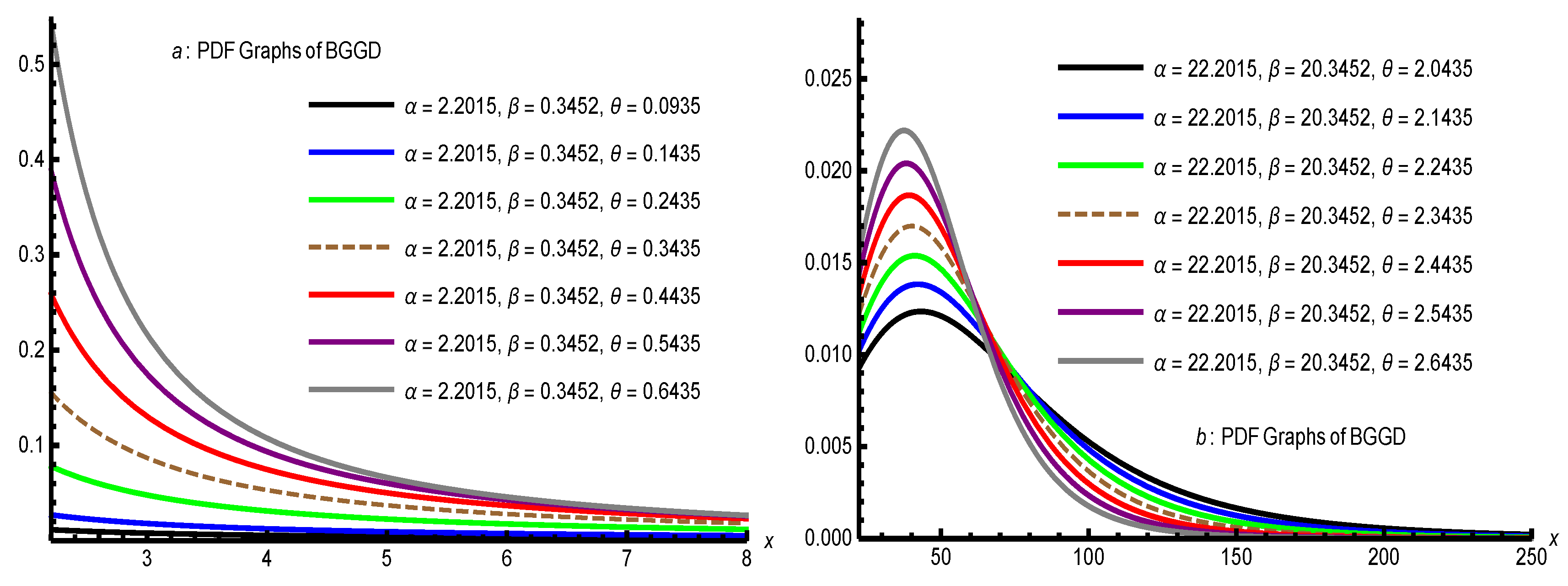
- Finally, we propose a new class, the bounded Gamma–Gompertz family, by substituting into and applying the necessary domain constraints to ensure that the resulting function iswhich, after simplification, yieldswhich is constrained both theoretically and empirically. If , the CDF reduces to which resembles a Pareto-like distribution. For , it simplifies to a shifted Lomax distribution. Moreover, Figure 1 portrays that dissimilarities in parameters impact the height, spread, and shape of the curves. Smaller values of , , and result in taller, sharper curves that drop rapidly, whereas larger values generates flatter, wider curves with heavier tails and more dispersed data. The left graph illustrates PDFs over a smaller x-range (0–8), while the right graph outspreads the analysis to a larger scale (up to 250). Overall, the figure demonstrates the sensitive dependence of the BGGD PDF on its parameters, affecting both the peak and tail characteristics.
2.2. PDF and HRF Shapes and Behavior
2.2.1. Mode of Distribution
2.2.2. Development of Formal Theorems on PDF Log-Concavity and HRF Monotonicity
2.2.3. Log-Concavity of the PDF
- Define . Then . It simplifies analysis to work with t.
- First, compute the first derivative:
- - For :
- - For :
2.3. Monotonicity of the Hazard Rate Function (HRF)
- If , the hazard rate is strictly decreasing for all .
- If , the hazard rate has a unique mode (change point) at
- Start with the HRF:
- Differentiating :
- - When : is linear in t with a negative slope, possibly crossing zero at
2.4. Log-Concavity and Curvature Analysis
2.4.1. Log-Concavity of the BGGD
2.4.2. Second Derivative of the PDF
2.4.3. Hazard Rate Function (HRF) Analysis
2.4.4. Rigorous Implications for Estimation and Modeling
- Maximum-Likelihood Estimation (MLE):
- -
- If PDF is log-concave (), is convex ⇒ the negative log-likelihood is convex in parameters ⇒ unique global maximum, no local optima.
- -
- Numerical optimization (Newton-Raphson, quasi-Newton) converges globally and rapidly.
- -
- Standard errors via observed Hessian are reliable.
- Shape-Constrained Inference:
- -
- Log-concave densities form a convex nonparametric class. BGGD with can serve as a parametric anchor in shape-constrained estimation.
- -
- Enables confidence bands and hypothesis tests with known asymptotic behavior.
- Stability and Robustness:
- -
- Convolution of log-concave densities is log-concave ⇒ BGGD priors lead to log-concave posteriors under suitable likelihoods.
- -
- Useful in Bayesian modeling with heavy-tailed data (e.g., insurance, finance).
- Hazard Rate Modeling (Survival Analysis):
- -
- Log-concave HRF ⇒ log-concave survival function and increasing failure rate on average (IFRA) in some cases.
- -
- Implies aging properties: systems wear out predictably.
- -
- Facilitates nonparametric monotone hazard estimation with BGGD as a parametric benchmark.
- Practical Recommendation:
- -
- Use for reliable MLE, interpretable shapes, and theoretical guarantees.
- -
- Use only with caution: expect multiple modes, optimization traps, and non-concave likelihoods.
- -
- Leverage log-concave HRF for robust survival modeling even when PDF is not log-concave.
3. Comparative Analysis of Bounded Probability Distributions
- Key Observations:
- -
- The BGGD and Kumaraswamy distributions possess a closed-form CDF, which is advantageous for direct probability calculations.
- -
- The Beta distribution’s CDF relies on the incomplete Beta function , which must be evaluated numerically and lacks a closed-form expression.
- -
- The Bounded Lomax has the simplest CDF form, which is a special case of the Kumaraswamy CDF when the shape parameter .
- The BGGD represents a specialized three-parameter model that occupies a unique niche within the family of bounded distributions. When compared to established models like the Beta, Kumaraswamy, and Bounded Lomax distributions, the BGGD’s distinctive characteristics become apparent across multiple dimensions, including mathematical structure, hazard behavior, and practical applicability.
3.1. Mathematical Form and Flexibility
3.2. Hazard Function Characteristics
3.3. Statistical Practicality and Implementation
3.4. Domain Applications and Selection Guidelines
3.5. Moments and Moment Generating Function (MGF)
- 1.
- The r-th raw moment, , exists and is given byif and only if the following parameter conditions hold:
- (a)
- (b)
Here, is the incomplete Beta function. - 2.
- The Moment Generating Function (MGF), , exists and is given by the series expansionwhich converges for all under the same conditions and .
- Substituting into the integral:
- -
- -
- Multiplying by gives
- -
- The constants:
- Thus, the moment simplifies elegantly to:
- Let . The limits become: , and .
- -
- -
- -
- Therefore,
- Now, substituting back and :
- Thus, the integral I becomes:
- 1.
- Condition : This ensures , which is crucial for the substitution and for the power to be well-defined for all real r. If , the term in the original PDF’s denominator becomes problematic for convergence near .
- 2.
- Condition : The incomplete Beta function requires its second and third arguments to be positive for the integral representation to be valid and finite.
- -
- The second argument is , which is always true since and .
- -
- The critical condition comes from the third argument: . Multiplying both sides by gives , or equivalently, .
- This condition, , reveals that the BGGD possesses power-law tails. The distribution has finite moments only up to a certain order determined by its shape parameter . Moments of order do not exist. This is a characteristic feature of heavy-tailed distributions. Now, we prove Theorem 5 (Part 2), that is, the “Derivation of the Moment Generating Function (MGF)”, as follows:
- The MGF is defined as .
- Substituting the PDF and using the same substitution as before, we obtain:
- Substituting the series into the integral:
3.6. Quantile Function
4. Tail-Risk Evaluation
4.1. Mean Residual Life (MRL)
4.2. Value at Risk (VaR)
4.3. Tail Value at Risk (TVaR)
- Key observations:
- -
- MRL(t) increases significantly as t increases (e.g., from Case 1 to 4 or 7), reflecting longer expected remaining lifetime at higher thresholds.
- -
- For fixed t, MRL is constant across p values within the same parameter set, as MRL is independent of p.
- -
- increases with p (moving to heavier tails) and is identical across different t values for the same , indicating scale invariance in tail quantiles.
- -
- grows rapidly with p, especially at , highlighting extreme tail-risk sensitivity.
- -
- Higher and generally reduce VaR and TVaR for the same p, suggesting lighter tails (e.g., Case 1 vs. 19).
- -
- Case 28–30 with show markedly higher risk measures, indicating heavier-tailed behavior due to increased scale.
- This numerical illustration validates the derived expressions for MRL, VaR, and TVaR in the BGGD model and demonstrates their behavior under varying parameter regimes.
4.4. Expected Shortfall (ES)
4.5. Tail Variance (TV)
4.6. Tail Variance Premium (TVP)
- Key insights include:
- -
- across all cases, suggesting that the conditional expectation beyond the p-quantile is nearly equal to the overall tail expectation, consistent with the BGGD’s continuous and smooth tail behavior.
- -
- Both and increase with p, reflecting higher average loss in extreme tails.
- -
- (tail variance) is generally small and increases slowly with p, indicating controlled dispersion in the tail conditional on exceeding .
- -
- (tail variance premium) remains modest and often decreases or stabilizes at higher p, suggesting that additional risk loading for tail variability is limited in heavy-tailed settings.
- -
- Lower or higher and reduce and (e.g., Case 13–15 vs. Case 1–3), indicating lighter tails.
- -
- Higher (e.g., Cases 16–18, 28–30) significantly increases all risk measures, confirming its role as a scale/heaviness parameter.
- -
- For fixed , risk measures are driven primarily by p, with minimal variation in and at extreme .
- These results empirically validate the closed-form expressions for , , , and derived for the BGGD, demonstrating their sensitivity to tail probability and model parameters in actuarial risk assessment.
5. Parameter Estimation, Simulation Study and Inference
5.1. Maximum-Likelihood Estimation
5.2. Bayesian Estimation Method (BEM)
- -
- We have used Gamma prior for :
- -
- Exponential prior for :
- -
- Pareto prior for :
- Initialize parameters
- For to T:
- (a)
- Propose new values:
- (b)
- Compute acceptance ratio:
- (c)
- Accept or reject:
- Discard burn-in samples and retain
- After taking the above-mentioned steps, we can draw Posterior Inferences as
Interpretation of Estimation Method Performance
5.3. Simulation Study for the BGGD
- -
- Generate 1000 simulated estimates of for each sample size n.
- -
- Compute the average of the estimates.
- -
- Calculate Bias and MSE .
- -
- Repeat for all values of the set of .
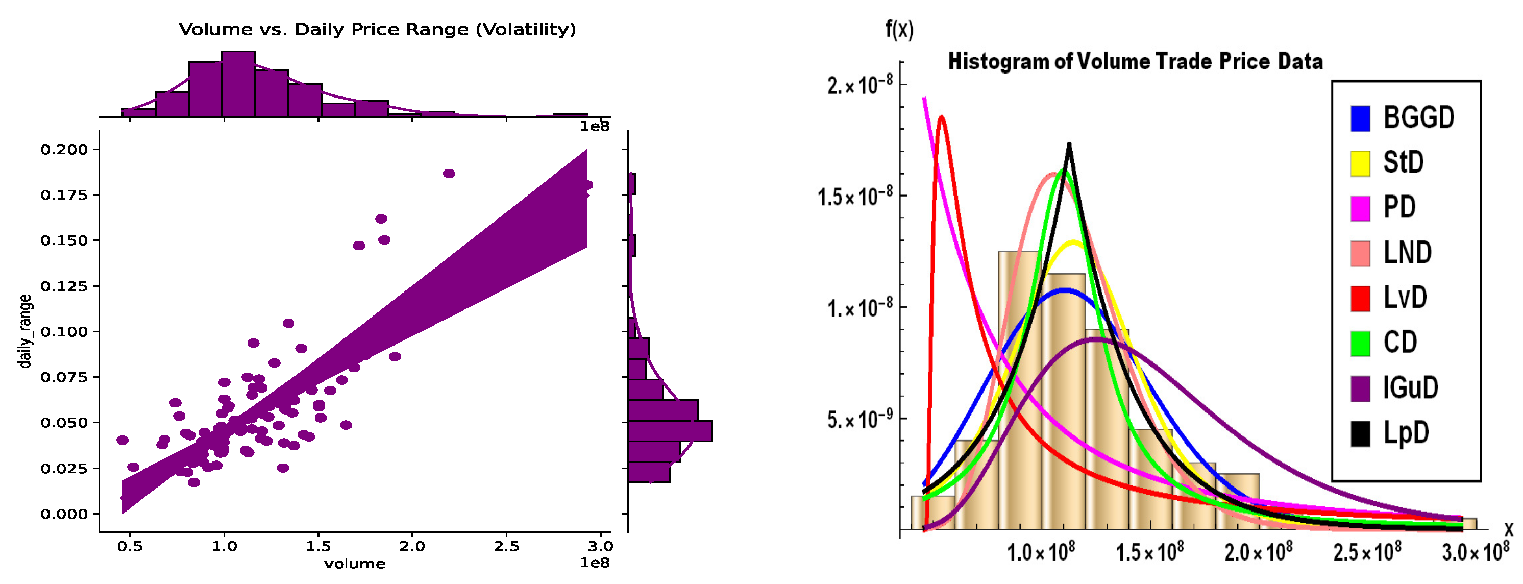
6. Stock Data and Risk Assessment
6.1. Competing Probability Models
6.2. Data Analysis of Weekly Stock Prices of TESLA
6.3. Probability Modeling of Weekly Stock Prices of TESLA
6.3.1. Open Prices in Stock Trading
6.3.2. High Prices in Stock Trading
6.3.3. Low Prices in Stock Trading
6.3.4. Close Prices in Stock Trading
6.3.5. Trade Volume in Stock Trading
| Distribution | AIC | AICC | BIC | HQIC | CAIC | |
|---|---|---|---|---|---|---|
| BGGD | 1880.37 | 3766.73 | 3766.98 | 3774.55 | 3769.89 | 3777.55 |
| Student-t | 1883.31 | 3772.63 | 3772.88 | 3780.44 | 3775.79 | 3783.44 |
| PD | 1931.52 | 3869.04 | 3869.29 | 3876.86 | 3872.2 | 3879.86 |
| LN | 1881.26 | 3766.53 | 3766.65 | 3771.74 | 3768.64 | 3773.74 |
| IGausD | 1881.36 | 3766.73 | 3766.85 | 3771.94 | 3768.84 | 3773.94 |
| CD | 1894.58 | 3793.17 | 3793.29 | 3798.38 | 3795.28 | 3800.38 |
| LvD | 1981.46 | 3966.92 | 3967.04 | 3972.13 | 3969.03 | 3974.13 |
| LpD | 1885.19 | 3774.38 | 3774.51 | 3779.59 | 3776.49 | 3781.59 |
6.3.6. Variance Covariance Matrices
7. Conclusions and Future Work
Author Contributions
Funding
Data Availability Statement
Acknowledgments
Conflicts of Interest
Appendix A
- Stock Price Data of TSLA:
- Data Collection Dates of each priced in Volume, Open, High, Low and Close respectively: 11/02/2025, 12/02/2025, 13/02/2025, 14/02/2025, 18/02/2025, 19/02/2025, 20/02/2025, 21/02/2025, 24/02/2025, 25/02/2025, 26/02/2025, 27/02/2025, 28/02/2025, 03/03/2025, 04/03/2025, 05/03/2025, 06/03/2025, 07/03/2025, 10/03/2025, 11/03/2025, 12/03/2025, 13/03/2025, 14/03/2025, 17/03/2025, 18/03/2025, 19/03/2025, 20/03/2025, 21/03/2025, 24/03/2025, 25/03/2025, 26/03/2025, 27/03/2025, 28/03/2025, 31/03/2025, 01/04/2025, 02/04/2025, 03/04/2025, 04/04/2025, 07/04/2025, 08/04/2025, 09/04/2025, 10/04/2025, 11/04/2025, 14/04/2025, 15/04/2025, 16/04/2025, 17/04/2025, 21/04/2025, 22/04/2025, 23/04/2025, 24/04/2025, 25/04/2025, 28/04/2025, 29/04/2025, 30/04/2025, 01/05/2025, 02/05/2025, 05/05/2025, 06/05/2025, 07/05/2025, 08/05/2025, 09/05/2025, 12/05/2025, 13/05/2025, 14/05/2025, 15/05/2025, 16/05/2025, 19/05/2025, 20/05/2025, 21/05/2025, 22/05/2025, 23/05/2025, 27/05/2025, 28/05/2025, 29/05/2025, 30/05/2025, 02/06/2025, 03/06/2025, 04/06/2025, 05/06/2025, 06/06/2025, 09/06/2025, 10/06/2025, 11/06/2025, 12/06/2025, 13/06/2025, 16/06/2025, 17/06/2025, 18/06/2025, 20/06/2025, 23/06/2025, 24/06/2025, 25/06/2025, 26/06/2025, 27/06/2025, 30/06/2025, 01/07/2025, 02/07/2025, 03/07/2025, 07/07/2025.
- Volume Price in Million $: 118.5434, 105.382729, 89.441519, 68.277279, 51.631702, 67.094374, 45.965354, 74.058648, 76.052321, 134.228777, 100.118276, 101.748197, 115.696968, 115.551414, 126.706623, 94.042913, 98.451566, 102.36964, 185.037825, 174.896415, 142.215681, 114.813525, 100.242264, 111.900565, 111.477636, 111.993753, 99.02827, 132.728684, 169.079865, 150.361538, 156.254441, 162.572146, 123.809389, 134.008936, 146.486911, 212.787817, 136.174291, 181.229353, 183.453776, 171.603472, 219.433373, 181.722604, 128.948085, 100.135241, 79.594318, 112.378737, 83.404775, 97.768007, 120.858452, 150.381903, 94.464195, 167.560688, 151.731771, 108.906553, 128.961057, 99.658974, 114.454683, 94.618882, 76.715792, 71.882408, 97.539448, 132.387835, 112.826661, 136.992574, 136.997264, 97.882596, 95.895665, 88.869853, 131.715548, 102.354844, 97.113416, 84.654818, 120.146414, 91.404309, 88.545666, 123.474938, 81.873829, 99.324544, 98.912075, 292.818655, 164.747685, 140.908876, 151.25652, 122.61136, 105.127536, 128.964279, 83.925858, 88.282669, 95.137686, 108.688008, 190.716815, 114.736245, 119.84505, 80.440907, 89.067049, 76.695081, 145.085665, 119.48373, 58.042302, 131.177949.
- Open Price in Hundred $: 345.8, 329.94, 345.0, 360.62, 355.01, 354.0, 361.51, 353.44, 338.14, 327.025, 303.715, 291.16, 279.5, 300.34, 270.93, 272.92, 272.06, 259.32, 252.54, 225.305, 247.22, 248.125, 247.31, 245.055, 228.155, 231.61, 233.345, 234.985, 258.075, 283.6, 282.66, 272.48, 275.575, 249.31, 263.8, 254.6, 265.29, 255.38, 223.78, 245.0, 224.69, 260.0, 251.84, 258.36, 249.91, 247.61, 243.47, 230.26, 230.96, 254.86, 250.5, 261.69, 288.98, 285.5, 279.9, 280.01, 284.9, 284.57, 273.105, 276.88, 279.63, 290.21, 321.99, 320.0, 342.5, 340.34, 346.24, 336.3, 347.87, 344.43, 331.9, 337.92, 347.35, 364.84, 365.29, 355.52, 343.5, 346.595, 345.095, 322.49, 298.83, 285.955, 314.94, 334.395, 323.075, 313.97, 331.29, 326.09, 317.31, 327.95, 327.54, 356.17, 342.7, 324.61, 324.51, 319.9, 298.46, 312.63, 317.99, 291.37.
- High Price in Hundred $: 349.37, 346.4, 358.69, 362.0, 359.1, 367.34, 362.3, 354.98, 342.3973, 328.89, 309.0, 297.23, 293.88, 303.94, 284.35, 279.55, 272.65, 266.2499, 253.37, 237.0649, 251.84, 248.29, 251.58, 245.4, 230.1, 241.41, 238.0, 249.52, 278.64, 288.2, 284.9, 291.85, 276.1, 260.56, 277.45, 284.99, 276.3, 261.0, 252.0, 250.44, 274.69, 262.49, 257.74, 261.8, 258.75, 251.97, 244.34, 232.21, 242.79, 259.4499, 259.54, 286.85, 294.86, 293.32, 284.45, 290.8688, 294.78, 284.849, 277.73, 277.92, 289.8, 307.04, 322.21, 337.5894, 350.0, 346.1393, 351.62, 343.0, 354.9899, 347.35, 347.27, 343.18, 363.79, 365.0, 367.71, 363.68, 348.02, 355.4, 345.6, 324.5499, 305.5, 309.83, 327.83, 335.5, 332.56, 332.99, 332.05, 327.26, 329.32, 332.36, 357.54, 356.26, 343.0, 331.05, 329.3393, 325.5799, 305.89, 316.832, 318.45, 296.15.
- Low Price in Hundred $: 325.1, 329.12, 342.85, 347.5, 350.02, 353.67, 348.0, 334.42, 324.7, 297.2512, 288.04, 280.88, 273.6, 277.3, 261.8401, 267.71, 260.02, 250.73, 220.0, 217.02, 241.1, 232.6, 240.73, 232.8, 222.28, 229.201, 230.0501, 234.55, 256.33, 271.28, 266.51, 271.8216, 260.57, 243.3601, 259.25, 251.27, 261.51, 236.0, 214.25, 217.8, 223.88, 239.33, 241.3629, 245.93, 247.54, 233.89, 237.6833, 222.79, 229.8501, 244.43, 249.2, 259.63, 272.42, 279.4695, 270.78, 279.81, 279.81, 274.4, 271.35, 271.0, 279.41, 290.0, 311.5, 316.8, 337.0, 334.7153, 342.33, 333.37, 341.63, 332.2, 331.39, 333.21, 347.32, 355.91, 356.0, 345.29, 333.33, 343.04, 327.3308, 273.21, 291.14, 281.85, 310.667, 322.5, 316.86, 313.3, 326.41, 314.74, 315.45, 317.78, 327.48, 340.44, 320.4, 323.61, 317.495, 316.6, 293.21, 303.82, 312.76, 288.7701.
- Close Price in Hundred $: 328.5, 336.51, 355.94, 355.84, 354.11, 360.56, 354.4, 337.8, 330.53, 302.8, 290.8, 281.95, 292.98, 284.65, 272.04, 279.1, 263.45, 262.67, 222.15, 230.58, 248.09, 240.68, 249.98, 238.01, 225.31, 235.86, 236.26, 248.71, 278.39, 288.14, 272.06, 273.13, 263.55, 259.16, 268.46, 282.76, 267.28, 239.43, 233.29, 221.86, 272.2, 252.4, 252.31, 252.35, 254.11, 241.55, 241.37, 227.5, 237.97, 250.74, 259.51, 284.95, 285.88, 292.03, 282.16, 280.52, 287.21, 280.26, 275.35, 276.22, 284.82, 298.26, 318.38, 334.07, 347.68, 342.82, 349.98, 342.09, 343.82, 334.62, 341.04, 339.34, 362.89, 356.9, 358.43, 346.46, 342.69, 344.27, 332.05, 284.7, 295.14, 308.58, 326.09, 326.43, 319.11, 325.31, 329.13, 316.35, 322.05, 322.16, 348.68, 340.47, 327.55, 325.78, 323.63, 317.66, 300.71, 315.65, 315.35, 293.94.
References
- McNeil, A.J.; Frey, R.; Embrechts, P. Quantitative Risk Management: Concepts, Techniques and Tools, Revised ed.; Princeton University Press: Princeton, NJ, USA, 2015. [Google Scholar]
- Christoffersen, P. Elements of Financial Risk Management; Academic Press: Cambridge, MA, USA, 2011. [Google Scholar]
- Rachev, S.T.; Menn, C.; Fabozzi, F.J. Fat-Tailed and Skewed Asset Return Distributions: Implications for Risk Management, Portfolio Selection, and Option Pricing; John Wiley & Sons: Hoboken, NJ, USA, 2005. [Google Scholar]
- Rachev, S.T.; Mittnik, S. Stable Paretian Models in Finance; John Wiley & Sons: Hoboken, NJ, USA, 2000. [Google Scholar]
- Eom, C.; Kaizoji, T.; Scalas, E. Fat tails in financial return distributions revisited: Evidence from the Korean stock market. Phys. A Stat. Mech. Its Appl. 2019, 526, 121055. [Google Scholar] [CrossRef]
- Zhang, C.; Mykl, P.A.; Aït-Sahalia, Y. A tale of two time scales: Determining integrated volatility with noisy high-frequency data. J. Am. Stat. Assoc. 2010, 100, 1394–1411. [Google Scholar] [CrossRef]
- Chattamvelli, R.; Shanmugam, R. Continuous Distributions in Engineering and the Applied Sciences—Part I; Springer Nature: Cham, Switzerland, 2022. [Google Scholar]
- Kotz, S.; Kozubowski, T.; Podgórski, K. The Laplace Distribution and Generalizations: A Revisit with Applications to Communications, Economics, Engineering, and Finance; Birkhäuser: Basel, Switzerland, 2001. [Google Scholar]
- Chhikara, R.S.; Folks, J.L. The Inverse Gaussian Distribution: Theory, Methodology, and Applications; Marcel Dekker: New York, NY, USA, 1989. [Google Scholar]
- Aït-Sahalia, Y.; Jacod, J. High-Frequency Financial Econometrics; Princeton University Press: Princeton, NJ, USA, 2014. [Google Scholar]
- Punzo, A. A new look at the inverse Gaussian distribution with applications to insurance and economic data. J. Appl. Stat. 2019, 46, 1260–1287. [Google Scholar] [CrossRef]
- Limpert, E.; Stahel, W.A.; Abbt, M. Log-normal distributions across the sciences: Keys and clues. BioScience 2001, 51, 341–352. [Google Scholar] [CrossRef]
- Embrechts, P.; Klüppelberg, C.; Mikosch, T. Modelling Extremal Events: For Insurance and Finance; Springer: Berlin/Heidelberg, Germany, 1997. [Google Scholar]
- Chattamvelli, R.; Shanmugam, R. Continuous Distributions in Engineering and the Applied Sciences—Part II; Springer International Publishing: Cham, Switzerland, 2022. [Google Scholar]
- Aït-Sahalia, Y.; Jacod, J. Analyzing the spectrum of asset returns: Jump and volatility components in high frequency data. J. Econ. Lit. 2012, 50, 1007–1050. [Google Scholar] [CrossRef]
- Gourieroux, C.; Jasiak, J. Financial Econometrics: Problems, Models, and Methods; Princeton University Press: Princeton, NJ, USA, 2001. [Google Scholar]
- Wilmott, P. Paul Wilmott on Quantitative Finance, 2nd ed.; John Wiley & Sons: Hoboken, NJ, USA, 2006. [Google Scholar]
- Benmaor, A.C.; Glady, N. Modeling purchasing behavior with sudden “death”: A flexible customer lifetime model. Manag. Sci. 2012, 58, 1012–1021. [Google Scholar] [CrossRef]
- Gradshteyn, I.S.; Ryzhik, I.M. Table of Integrals, Series, and Products, 7th ed.; Academic Press: Cambridge, MA, USA, 2007. [Google Scholar]
- Gelman, A.; Carlin, J.B.; Stern, H.S.; Rubin, D.B. Bayesian Data Analysis, 2nd ed.; Chapman & Hall/CRC: Boca Raton, FL, USA, 2004. [Google Scholar]
- Robert, C.P. The Bayesian Choice: From Decision-Theoretic Foundations to Computational Implementation, 2nd ed.; Springer: Cham, Switzerland, 2007. [Google Scholar]
- Hastie, T.; Tibshirani, R.; Wainwright, M. Statistical Learning with Sparsity: The Lasso and Generalizations; Chapman and Hall/CRC: Boca Raton, FL, USA, 2015. [Google Scholar]
- Blei, D.M.; Kucukelbir, A.; McAuliffe, J.D. Variational inference: A review for statisticians. J. Am. Stat. Assoc. 2017, 112, 859–877. [Google Scholar] [CrossRef]
- Li, Y.; Chen, B.; Yamashita, O.; Yoshimura, N.; Koike, Y. Adaptive sparseness for correntropy-based robust regression via automatic relevance determination. In Proceedings of the 2023 International Joint Conference on Neural Networks (IJCNN), Gold Coast, Australia, 18–23 June 2023; pp. 1–8. [Google Scholar]
- Polson, N.G.; Scott, J.G. On the half-Cauchy prior for a global scale parameter. Bayesian Anal. 2012, 7, 887–902. [Google Scholar] [CrossRef]
- Taleb, N.N. Statistical Consequences of Fat Tails: Real World Preasymptotics, Epistemology, and Applications; STEM Academic Press: New York, NY, USA, 2020. [Google Scholar]
- Pareto, V. Cours D’économie Politique; Librairie Droz: Carouge, Switzerland, 1964. [Google Scholar]
- Student. The probable error of a mean. Biometrika 1908, 6, 1–25. [Google Scholar] [CrossRef]
- Cauchy, A.L. Sur les résultats moyens d’observations de même nature, et sur les résultats les plus probables. Comptes Rendus Hebd. Séances Acad. Sci. 1853, 37, 198–206. [Google Scholar]
- Lévy, P. Calcul des Probabilités; Gauthier-Villars: Paris, France, 1925. [Google Scholar]
- Laplace, P.S. A Philosophical Essay on Probabilities; Truscott, F.W.; Emory, F.L., Translators. Original work published 1814; Dover Publications: Mineola, NY, USA, 1952. [Google Scholar]
- Folks, J.L.; Chhikara, R.S. The inverse Gaussian distribution and its statistical application—a review. J. R. Stat. Soc. Ser. B Methodol. 1978, 40, 263–275. [Google Scholar] [CrossRef]
- Taleb, N.N. The Black Swan: The Impact of the Highly Improbable; Random House: New York, NY, USA, 2007. [Google Scholar]
- Akaike, H. A new look at the statistical model identification. IEEE Trans. Autom. Control 1974, 19, 716–723. [Google Scholar] [CrossRef]
- Hurvich, C.M.; Tsai, C.L. Regression and time series model selection in small samples. Biometrika 1989, 76, 297–307. [Google Scholar] [CrossRef]
- Schwarz, G. Estimating the dimension of a model. Ann. Stat. 1978, 6, 461–464. [Google Scholar] [CrossRef]
- Hannan, E.J.; Quinn, B.G. The determination of the order of an autoregression. J. R. Stat. Soc. Ser. B Methodol. 1979, 41, 190–195. [Google Scholar] [CrossRef]
- Bozdogan, H. Model selection and Akaike’s Information Criterion (AIC): The general theory and its analytical extensions. Psychometrika 1987, 52, 345–370. [Google Scholar] [CrossRef]
- Bakouch, H.S.; Hussain, T.; Chesneau, C.; Jónás, T. A notable bounded probability distribution for environmental and lifetime data. Earth Sci. Inform. 2022, 15, 1607–1620. [Google Scholar] [CrossRef]
- Cramér, H. On the composition of elementary errors. Scand. Actuar. J. 1928, 1928, 13–74. [Google Scholar] [CrossRef]
- von Mises, R. Mathematical Theory of Probability and Statistics; Academic Press: Cambridge, MA, USA, 1964. [Google Scholar]
- Kolmogorov, A.N. Sulla determinazione empirica di una legge di distribuzione. G. Istituto Ital. Attuari 1933, 4, 83–91. [Google Scholar]
- Smirnov, N.V. Table for estimating the goodness of fit of empirical distributions. Ann. Math. Stat. 1948, 19, 279–281. [Google Scholar] [CrossRef]
- Francq, C.; Zakoian, J.M. GARCH Models: Structure, Statistical Inference and Financial Applications; John Wiley & Sons: Hoboken, NJ, USA, 2019. [Google Scholar]
- Tsay, R.S. An Introduction to Analysis of Financial Data with R; Wiley & Sons: Hoboken, NJ, USA, 2014. [Google Scholar]
- Lütkepohl, H. New Introduction to Multiple Time Series Analysis; Springer: Berlin/Heidelberg, Germany, 2013. [Google Scholar]
- Campbell, J.Y.; Lo, A.W.; MacKinlay, A.C.; Whitelaw, R.F. The econometrics of financial markets. Macroecon. Dyn. 1998, 2, 559–562. [Google Scholar] [CrossRef]
- Hamilton, J.D. Time Series Analysis; Princeton University Press: Princeton, NJ, USA, 1994. [Google Scholar]
- Tsay, R.S. Analysis of Financial Time Series; John Wiley & Sons: Hoboken, NJ, USA, 2010. [Google Scholar]























| Case | Mean | Standard Deviation | Skewness | Kurtosis | |||
|---|---|---|---|---|---|---|---|
| 1 | 1.0 | 4.0 | 2.3 | 0.5969 | 0.2710 | −0.5795 | −0.4788 |
| 2 | 1.0 | 5.0 | 2.5 | 0.4979 | 0.3472 | −0.3126 | −1.3476 |
| 3 | 0.5 | 6.0 | 2.9 | 0.2452 | 0.1831 | −0.2824 | −1.4919 |
| 4 | 1.0 | 10.0 | 3.3 | 0.3094 | 0.3865 | 0.5900 | −1.4388 |
| 5 | 1.0 | 8.0 | 3.7 | 0.4838 | 0.3908 | −0.2342 | −1.6571 |
| 6 | 0.8 | 7.0 | 4.3 | 0.5835 | 0.1950 | −1.5920 | 2.3293 |
| 7 | 1.0 | 12.0 | 4.7 | 0.4065 | 0.4166 | 0.1514 | −1.8198 |
| 8 | 3.0 | 6.0 | 3.5 | 1.9734 | 0.8645 | −1.1200 | 0.3445 |
| 9 | 1.0 | 20.0 | 5.6 | 0.2784 | 0.4017 | 0.8112 | −1.2374 |
| 10 | 1.0 | 15.0 | 6.0 | 0.4312 | 0.4303 | 0.0684 | −1.8792 |
| 11 | 2.0 | 8.0 | 3.5 | 0.8911 | 0.7874 | −0.0621 | −1.7265 |
| 12 | 1.0 | 30.0 | 8.0 | 0.2744 | 0.4119 | 0.8691 | −1.1823 |
| 13 | 2.0 | 10.0 | 3.5 | 0.6727 | 0.7888 | 0.4565 | −1.5867 |
| 14 | 1.5 | 4.5 | 2.4 | 0.8103 | 0.4812 | −0.4811 | −1.0069 |
| 15 | 0.7 | 7.5 | 2.8 | 0.2435 | 0.2673 | 0.3815 | −1.5776 |
| 16 | 1.0 | 9.0 | 4.0 | 0.4653 | 0.4009 | −0.1393 | −1.7425 |
| 17 | 0.9 | 11.0 | 5.0 | 0.4457 | 0.3708 | −0.2492 | −1.7489 |
| 18 | 2.5 | 5.5 | 3.5 | 1.8649 | 0.4008 | 0.3910 | −5.8379 |
| 19 | 1.0 | 25.0 | 6.0 | 0.2352 | 0.3854 | 1.0809 | −0.7352 |
| 20 | 1.2 | 14.0 | 7.0 | 0.6994 | 0.4935 | −0.6188 | −1.4575 |
| 21 | 3.0 | 7.0 | 3.5 | 1.5945 | 1.1109 | −0.4680 | −1.3841 |
| 22 | 1.0 | 18.0 | 8.0 | 0.5074 | 0.4392 | −0.2351 | −1.8531 |
| 23 | 0.6 | 22.0 | 9.0 | 0.2773 | 0.2695 | −0.0179 | −1.9340 |
| 24 | 1.0 | 28.0 | 10.0 | 0.3949 | 0.4504 | 0.2915 | −1.8670 |
| 25 | 2.0 | 12.0 | 3.5 | 0.5400 | 0.7582 | 0.8137 | −1.1451 |
| 26 | 1.5 | 16.0 | 3.5 | 0.2902 | 0.5166 | 1.3325 | −0.0227 |
| 27 | 1.0 | 35.0 | 12.0 | 0.3811 | 0.4540 | 0.3716 | −1.8271 |
| 28 | 3.0 | 9.0 | 3.5 | 1.1502 | 1.1938 | 0.2278 | −1.7235 |
| 29 | 1.0 | 40.0 | 13.0 | 0.3595 | 0.4519 | 0.4778 | −1.7419 |
| 30 | 1.0 | 45.0 | 14.0 | 0.3431 | 0.4496 | 0.5616 | −1.6586 |
| 31 | 2.0 | 20.0 | 3.5 | 0.3014 | 0.6299 | 1.7265 | 1.2042 |
| Case | t | p | ||||||
|---|---|---|---|---|---|---|---|---|
| 1 | 1.0 | 3.0 | 2.0 | 1.10 | 0.950 | 2.0869 | 3.3788 | |
| 2 | 1.0 | 3.0 | 2.0 | 1.10 | 0.990 | 5.2915 | ||
| 3 | 1.0 | 3.0 | 2.0 | 1.10 | 0.999 | 2.0869 | 9.6368 | |
| 4 | 1.0 | 3.0 | 2.0 | 2.00 | 0.950 | 9.0795 | 3.3788 | |
| 5 | 1.0 | 3.0 | 2.0 | 2.00 | 0.990 | 9.0795 | 5.2915 | |
| 6 | 1.0 | 3.0 | 2.0 | 2.00 | 0.999 | 9.0795 | 9.6368 | |
| 7 | 1.0 | 3.0 | 2.0 | 5.00 | 0.950 | 3.3788 | ||
| 8 | 1.0 | 3.0 | 2.0 | 5.00 | 0.990 | 5.2915 | ||
| 9 | 1.0 | 3.0 | 2.0 | 5.00 | 0.999 | 9.6368 | ||
| 10 | 1.0 | 4.0 | 2.5 | 1.10 | 0.950 | 2.0938 | 2.5375 | |
| 11 | 1.0 | 4.0 | 2.5 | 1.10 | 0.990 | 2.0938 | 3.4581 | |
| 12 | 1.0 | 4.0 | 2.5 | 1.10 | 0.999 | 2.0938 | 5.1570 | |
| 13 | 1.0 | 4.0 | 2.5 | 2.00 | 0.950 | 2.5375 | ||
| 14 | 1.0 | 4.0 | 2.5 | 2.00 | 0.990 | 3.4581 | ||
| 15 | 1.0 | 4.0 | 2.5 | 2.00 | 0.999 | 5.1570 | ||
| 16 | 1.0 | 4.0 | 2.5 | 5.00 | 0.950 | 2.5375 | ||
| 17 | 1.0 | 4.0 | 2.5 | 5.00 | 0.990 | 3.4581 | ||
| 18 | 1.0 | 4.0 | 2.5 | 5.00 | 0.999 | 5.1570 | ||
| 19 | 1.0 | 5.0 | 3.0 | 1.10 | 0.950 | 2.1320 | 2.1232 | |
| 20 | 1.0 | 5.0 | 3.0 | 1.10 | 0.990 | 2.1320 | 2.6781 | |
| 21 | 1.0 | 5.0 | 3.0 | 1.10 | 0.999 | 2.1320 | 3.5830 | |
| 22 | 1.0 | 5.0 | 3.0 | 2.00 | 0.950 | 2.1232 | ||
| 23 | 1.0 | 5.0 | 3.0 | 2.00 | 0.990 | 2.6781 | ||
| 24 | 1.0 | 5.0 | 3.0 | 2.00 | 0.999 | 3.5830 | ||
| 25 | 1.0 | 5.0 | 3.0 | 5.00 | 0.950 | 2.1232 | ||
| 26 | 1.0 | 5.0 | 3.0 | 5.00 | 0.990 | 2.6781 | ||
| 27 | 1.0 | 5.0 | 3.0 | 5.00 | 0.999 | 3.5830 | ||
| 28 | 2.0 | 2.5 | 3.5 | 2.20 | 0.950 | 14.5980 | 3.0508 | |
| 29 | 2.0 | 2.5 | 3.5 | 2.20 | 0.990 | 14.5980 | 3.5992 | |
| 30 | 2.0 | 2.5 | 3.5 | 2.20 | 0.999 | 14.5980 | 4.4547 |
| Case | p | |||||||
|---|---|---|---|---|---|---|---|---|
| 1 | 1.0 | 3.0 | 2.0 | 0.95 | 4.6592 | 4.6592 | 3.1247 | 1.7677 |
| 2 | 1.0 | 3.0 | 2.0 | 0.99 | 7.1551 | 7.1551 | 6.8042 | 2.6085 |
| 3 | 1.0 | 3.0 | 2.0 | 0.999 | 12.9043 | 12.9043 | 21.2165 | 4.6061 |
| 4 | 1.0 | 4.0 | 2.5 | 0.95 | 3.1305 | 3.1305 | 0.4784 | 0.6916 |
| 5 | 1.0 | 4.0 | 2.5 | 0.99 | 4.1871 | 4.1871 | 0.7522 | 0.8673 |
| 6 | 1.0 | 4.0 | 2.5 | 0.999 | 6.1784 | 6.1784 | 1.5119 | 1.2296 |
| 7 | 1.0 | 5.0 | 3.0 | 0.95 | 2.4746 | 2.4746 | 0.1431 | 0.3783 |
| 8 | 1.0 | 5.0 | 3.0 | 0.99 | 3.0683 | 3.0683 | 0.1852 | 0.4303 |
| 9 | 1.0 | 5.0 | 3.0 | 0.999 | 4.0624 | 4.0624 | 0.2883 | 0.5370 |
| 10 | 2.0 | 2.5 | 3.5 | 0.95 | 3.3958 | 3.3958 | 0.1308 | 0.3617 |
| 11 | 2.0 | 2.5 | 3.5 | 0.99 | 3.9689 | 3.9689 | 0.1554 | 0.3942 |
| 12 | 2.0 | 2.5 | 3.5 | 0.999 | 4.8803 | 4.8803 | 0.2112 | 0.4596 |
| 13 | 0.5 | 6.0 | 4.0 | 0.95 | 0.9163 | 0.9163 | 0.0070 | 0.0835 |
| 14 | 0.5 | 6.0 | 4.0 | 0.99 | 1.0497 | 1.0497 | 0.0073 | 0.0852 |
| 15 | 0.5 | 6.0 | 4.0 | 0.999 | 1.2459 | 1.2459 | 0.0085 | 0.0923 |
| 16 | 3.0 | 2.0 | 4.5 | 0.95 | 4.0516 | 4.0516 | 0.0659 | 0.2566 |
| 17 | 3.0 | 2.0 | 4.5 | 0.99 | 4.4622 | 4.4622 | 0.0703 | 0.2651 |
| 18 | 3.0 | 2.0 | 4.5 | 0.999 | 5.0738 | 5.0738 | 0.0813 | 0.2851 |
| 19 | 1.0 | 10.0 | 5.0 | 0.95 | 1.6734 | 1.6734 | 0.0119 | 0.1092 |
| 20 | 1.0 | 10.0 | 5.0 | 0.99 | 1.8492 | 1.8492 | 0.0110 | 0.1046 |
| 21 | 1.0 | 10.0 | 5.0 | 0.999 | 2.0908 | 2.0908 | 0.0052 | 0.0724 |
| 22 | 2.0 | 3.0 | 5.5 | 0.95 | 2.5948 | 2.5948 | 0.0155 | 0.1246 |
| 23 | 2.0 | 3.0 | 5.5 | 0.99 | 2.7954 | 2.7954 | 0.0148 | 0.1215 |
| 24 | 2.0 | 3.0 | 5.5 | 0.999 | 3.0745 | 3.0745 | 0.0149 | 0.1222 |
| 25 | 1.0 | 8.0 | 6.0 | 0.95 | 1.4281 | 1.4281 | 0.0048 | 0.0690 |
| 26 | 1.0 | 8.0 | 6.0 | 0.99 | 1.5393 | 1.5393 | 0.0040 | 0.0636 |
| 27 | 1.0 | 8.0 | 6.0 | 0.999 | 1.6847 | 1.6847 | 0.0037 | 0.0606 |
| 28 | 4.0 | 2.0 | 6.5 | 0.95 | 4.6585 | 4.6585 | 0.0223 | 0.1493 |
| 29 | 4.0 | 2.0 | 6.5 | 0.99 | 4.8989 | 4.8989 | 0.0215 | 0.1465 |
| 30 | 4.0 | 2.0 | 6.5 | 0.999 | 5.2356 | 5.2356 | 0.0214 | 0.1463 |
| Method | Sample Size | ||||||
|---|---|---|---|---|---|---|---|
| Set-I: | |||||||
| MLE | 25 | 0.0001 | 0.0000 | 0.2640 | 1.9884 | 0.0337 | 0.0569 |
| MLE | 50 | 0.0001 | 0.0000 | 0.1034 | 0.4150 | 0.0240 | 0.0254 |
| MLE | 100 | 0.0000 | 0.0000 | 0.0525 | 0.1609 | 0.0117 | 0.0113 |
| MLE | 250 | 0.0000 | 0.0000 | 0.0086 | 0.0532 | 0.0026 | 0.0040 |
| MLE | 500 | 0.0000 | 0.0000 | −0.0015 | 0.0237 | −0.0005 | 0.0018 |
| Set-II: | |||||||
| MLE | 25 | 0.0032 | 0.0000 | 0.7191 | 5.5969 | 0.7752 | 4.1066 |
| MLE | 50 | 0.0016 | 0.0000 | 0.2248 | 0.4962 | 0.3183 | 1.1414 |
| MLE | 100 | 0.0007 | 0.0000 | 0.0856 | 0.0815 | 0.1431 | 0.3577 |
| MLE | 250 | 0.0003 | 0.0000 | 0.0299 | 0.0193 | 0.0570 | 0.1060 |
| MLE | 500 | 0.0001 | 0.0000 | 0.0146 | 0.0092 | 0.0248 | 0.0576 |
| Set-III: | |||||||
| MLE | 25 | 0.0335 | 0.0021 | 2.0087 | 52.8113 | 0.2400 | 0.9226 |
| MLE | 50 | 0.0173 | 0.0006 | 0.6740 | 11.8033 | 0.0823 | 0.4041 |
| MLE | 100 | 0.0086 | 0.0001 | 0.2957 | 3.2500 | 0.0395 | 0.1690 |
| MLE | 250 | 0.0037 | 0.0000 | 0.1252 | 1.2388 | 0.0153 | 0.0673 |
| MLE | 500 | 0.0017 | 0.0000 | 0.0596 | 0.6220 | 0.0126 | 0.0353 |
| Method | Sample Size | ||||||
|---|---|---|---|---|---|---|---|
| Set-I: | |||||||
| BEM | 25 | −0.0004 | 0 | 0.1507 | 0.0438 | 0.7715 | 0.6183 |
| BEM | 50 | −0.0006 | 0 | 0.2277 | 0.0675 | 0.7721 | 0.6218 |
| BEM | 100 | −0.0009 | 0 | 0.2360 | 0.0747 | 0.7631 | 0.6018 |
| BEM | 250 | −0.0012 | 0 | 0.2375 | 0.0715 | 0.7862 | 0.6316 |
| BEM | 500 | −0.0011 | 0 | 0.2436 | 0.0761 | 0.7655 | 0.6092 |
| Set-II: | |||||||
| BEM | 25 | −1.0727 | 1.1558 | 2.1328 | 4.6377 | −1.5191 | 2.3090 |
| BEM | 50 | −0.0241 | 0.0049 | 0.3376 | 0.2533 | 0.3390 | 0.3885 |
| BEM | 100 | −0.0002 | 0.0000 | 0.1288 | 0.0362 | 0.2657 | 0.1718 |
| BEM | 250 | −0.0001 | 0.0000 | 0.2075 | 0.0690 | 0.3890 | 0.2741 |
| BEM | 500 | −0.0001 | 0.0000 | 0.2346 | 0.0788 | 0.4420 | 0.2822 |
| Set-III: | |||||||
| BEM | 25 | 0.0088 | 0.0014 | −1.3175 | 2.7683 | −0.5109 | 0.4725 |
| BEM | 50 | 0.0033 | 0.0003 | −1.1190 | 2.5333 | −0.4296 | 0.2871 |
| BEM | 100 | −0.0002 | 0.0001 | −0.2195 | 1.0147 | −0.1094 | 0.0895 |
| BEM | 250 | −0.0005 | 0.0000 | −0.0479 | 0.5661 | −0.0382 | 0.0393 |
| BEM | 500 | −0.0013 | 0.0000 | −0.2597 | 0.5874 | −0.1143 | 0.0477 |
| Parameter Set | Best Method | Remarks |
|---|---|---|
| Set I | MLE | Superior for and ; both good for . |
| Set II | MLE | More stable for small n; lower bias and MSE throughout. |
| Set III | MLE | Faster convergence and lower error for all parameters. |
| Method | Sample Size | ||||
|---|---|---|---|---|---|
| Set-I: | |||||
| BEM | 25 | 1.2831 | 7.1863 | 8.2556 | 5.5750 |
| BEM | 50 | 1.2681 | 8.6178 | 10.7116 | 6.8658 |
| BEM | 100 | 1.3027 | 9.9027 | 7.8196 | 6.3416 |
| BEM | 250 | 1.4045 | 9.7967 | 8.9085 | 6.7033 |
| BEM | 500 | 1.2897 | 9.5269 | 9.5420 | 6.7862 |
| Set-II: | |||||
| BEM | 25 | 1.7198 | 1.2397 | 1.0840 | 1.3478 |
| BEM | 50 | 1.3800 | 2.1113 | 2.3121 | 1.9345 |
| BEM | 100 | 1.0402 | 2.3761 | 2.8465 | 2.0876 |
| BEM | 250 | 1.1474 | 3.7771 | 4.7968 | 3.2404 |
| BEM | 500 | 1.3976 | 5.3929 | 6.6457 | 4.4787 |
| Set-III: | |||||
| BEM | 25 | 1.7198 | 1.2397 | 1.0840 | 1.3478 |
| BEM | 50 | 1.3800 | 2.1113 | 2.3121 | 1.9345 |
| BEM | 100 | 1.0402 | 2.3761 | 2.8465 | 2.0876 |
| BEM | 250 | 1.1474 | 3.7771 | 4.7968 | 3.2404 |
| BEM | 500 | 1.3976 | 5.3929 | 6.6457 | 4.4787 |
| Variable | Min | Q1 | Median | Mean | Q3 | Max | Skewness | Kurtosis |
|---|---|---|---|---|---|---|---|---|
| Open | 223.7800 | 258.0750 | 290.6850 | 295.8130 | 331.9000 | 365.2900 | −0.0335 | 1.6934 |
| High | 230.1000 | 266.2500 | 300.5850 | 303.7790 | 343.0000 | 367.7100 | −0.0639 | 1.6956 |
| Low | 214.2500 | 249.2000 | 280.3450 | 287.1790 | 325.1000 | 356.0000 | −0.0303 | 1.6928 |
| Close | 221.8600 | 262.6700 | 291.4150 | 295.5940 | 330.5300 | 362.8900 | −0.0772 | 1.7821 |
| Vol. | 45,965,354 | 94,618,900 | 112,603,000 | 119,078,000 | 136,174,000 | 292,819,000 | 1.2778 | 6.2002 |
| Metric | Shapiro p-Value | ADF p-Value | KPSS p-Value |
|---|---|---|---|
| open | 0.0002 | 0.2954 | 0.0352 |
| close | 0.0008 | 0.3567 | 0.0296 |
| low | 0.0002 | 0.4308 | 0.0282 |
| high | 0.0002 | 0.3261 | 0.0363 |
| volume | 0.0000 | 0.0000 | 0.1000 |
| Distribution | KS | p-Value | ||||
|---|---|---|---|---|---|---|
| BGGD | 223.78 | 7.0362 | 57.9936 | 0.2731 | 0.1059 | 0.2118 |
| Student-t | 295.8174 | 41.4398 | 328.4642 | 0.3154 | 0.1092 | 0.1838 |
| PD | 250,021.5217 | 3471.2522 | 223.78 | 1.1515 | 0.1703 | 0.0060 |
| LN | — | 5.6796 | 0.1424 | 0.3078 | 0.1232 | 0.0957 |
| IGausD | — | 295.8132 | 14,462.8132 | 0.3067 | 0.1233 | 0.0956 |
| CD | — | 294.2535 | 32.7504 | 0.4059 | 0.1384 | 0.0432 |
| LvD | — | 219.4605 | 39.1195 | 2.7405 | 0.3954 | 0.0000 |
| LpD | — | 290.685 | 36.9607 | 0.5110 | 0.1667 | 0.0077 |
| Distribution | AIC | AICC | BIC | HQIC | CAIC | |
|---|---|---|---|---|---|---|
| BGGD | 507.165 | 1020.33 | 1020.58 | 1028.15 | 1023.49 | 1031.15 |
| Student-t | 514.523 | 1035.05 | 1035.3 | 1042.86 | 1038.21 | 1045.86 |
| PD | 527.722 | 1061.44 | 1061.69 | 1069.26 | 1064.61 | 1072.26 |
| LN | 514.98 | 1033.96 | 1034.08 | 1039.17 | 1036.07 | 1041.17 |
| IGausD | 514.881 | 1033.76 | 1033.89 | 1038.97 | 1035.87 | 1040.97 |
| CD | 545.886 | 1095.77 | 1095.89 | 1100.98 | 1097.88 | 1102.98 |
| LvD | 573.958 | 1151.92 | 1152.04 | 1157.13 | 1154.02 | 1159.13 |
| LpD | 529.808 | 1063.62 | 1063.74 | 1068.83 | 1065.72 | 1070.83 |
| p | Quantile (VaR) | TVaR (ES) | MRL (VaR) | Tail Variance | TVP () |
|---|---|---|---|---|---|
| 0.10 | 244.6914 | 303.8962 | 59.2048 | 1288.7741 | 321.8459 |
| 0.25 | 266.5158 | 313.4434 | 46.9276 | 991.7706 | 329.1896 |
| 0.50 | 295.0957 | 329.5817 | 34.4860 | 672.6843 | 342.5498 |
| 0.75 | 324.3811 | 349.9517 | 25.5706 | 445.1990 | 360.5016 |
| 0.90 | 350.3920 | 370.6524 | 20.2604 | 316.6637 | 379.5500 |
| 0.99 | 395.1032 | 410.1826 | 15.0794 | 201.9608 | 417.2882 |
| Distribution | KS | p-Value | ||||
|---|---|---|---|---|---|---|
| BGGD | 230.1 | 7.0362 | 78.0319 | 0.2436 | 0.0964 | 0.3156 |
| Student-t | 303.7873 | 40.3113 | 327.6775 | 0.2803 | 0.1034 | 0.2398 |
| PD | 380,077.0870 | 5158.8191 | 230.1 | 1.2772 | 0.1916 | 0.0013 |
| LN | — | 5.7072 | 0.1350 | 0.2703 | 0.1156 | 0.1416 |
| IGausD | — | 303.7794 | 16,546.4639 | 0.2694 | 0.1156 | 0.1414 |
| CD | — | 303.1020 | 31.6019 | 0.3683 | 0.1448 | 0.0314 |
| LvD | — | 226.3180 | 43.1389 | 3.0840 | 0.4192 | 0.0000 |
| LpD | — | 300.5850 | 35.7742 | 0.4249 | 0.1481 | 0.0259 |
| Distribution | AIC | AICC | BIC | HQIC | CAIC | |
|---|---|---|---|---|---|---|
| BGGD | 505.415 | 1016.83 | 1017.08 | 1024.64 | 1019.99 | 1027.64 |
| Student-t | 511.763 | 1029.53 | 1029.78 | 1037.34 | 1032.69 | 1040.34 |
| PD | 529.979 | 1065.96 | 1066.21 | 1073.77 | 1069.12 | 1076.77 |
| LN | 512.379 | 1028.76 | 1028.88 | 1033.97 | 1030.87 | 1035.97 |
| IGausD | 512.291 | 1028.58 | 1028.71 | 1033.79 | 1030.69 | 1035.79 |
| CD | 542.817 | 1089.63 | 1089.76 | 1094.84 | 1091.74 | 1096.84 |
| LvD | 575.194 | 1154.39 | 1154.51 | 1159.6 | 1156.5 | 1161.6 |
| LpD | 527.038 | 1058.08 | 1058.2 | 1063.29 | 1060.18 | 1065.29 |
| Distribution | KS | p-Value | ||||
|---|---|---|---|---|---|---|
| BGGD | 214.25 | 6.8767 | 60.1331 | 0.2826 | 0.1245 | 0.1027 |
| Student-t | 287.1824 | 41.5802 | 328.2968 | 0.3250 | 0.1278 | 0.0786 |
| PD | 188,424.9749 | 2584.0174 | 214.25 | 1.1459 | 0.1776 | 0.0039 |
| LN | — | 5.6493 | 0.1473 | 0.3144 | 0.1420 | 0.0368 |
| IGausD | — | 287.1785 | 13,116.3822 | 0.3133 | 0.1420 | 0.0367 |
| CD | — | 284.6245 | 32.2970 | 0.4021 | 0.1369 | 0.0487 |
| LvD | — | 210.5635 | 40.0273 | 2.7374 | 0.4001 | 0.0000 |
| LpD | — | 280.345 | 36.8379 | 0.5623 | 0.1946 | 0.0011 |
| Distribution | AIC | AICC | BIC | HQIC | CAIC | |
|---|---|---|---|---|---|---|
| BGGD | 507.858 | 1021.72 | 1021.97 | 1029.53 | 1024.88 | 1032.53 |
| Student-t | 514.862 | 1035.72 | 1035.97 | 1043.54 | 1038.89 | 1046.54 |
| PD | 5528.961 | 1063.92 | 1064.17 | 1071.74 | 1067.09 | 1074.74 |
| LN | 515.325 | 1034.65 | 1034.77 | 1039.86 | 1036.76 | 1041.86 |
| IGausD | 515.219 | 1034.44 | 1034.56 | 1039.65 | 1036.55 | 1041.65 |
| CD | 545.828 | 1095.66 | 1095.78 | 1100.87 | 1097.76 | 1102.87 |
| LvD | 573.8 | 1151.6 | 1151.72 | 1156.81 | 1153.71 | 1158.81 |
| LpD | 529.336 | 1062.67 | 1062.8 | 1067.88 | 1064.78 | 1069.88 |
| p | Quantile (VaR) | TVaR (ES) | MRL (VaR) | Tail Variance | TVP () |
|---|---|---|---|---|---|
| 0.10 | 253.2405 | 311.8171 | 58.5766 | 1186.6358 | 329.0409 |
| 0.25 | 275.7069 | 321.1521 | 45.4452 | 892.8043 | 336.0920 |
| 0.50 | 303.8753 | 336.6117 | 32.7363 | 589.5714 | 348.7522 |
| 0.75 | 331.9080 | 355.7802 | 23.8722 | 379.8603 | 365.5252 |
| 0.90 | 356.3165 | 374.9694 | 18.6529 | 263.5765 | 383.0869 |
| 0.99 | 397.3698 | 410.9191 | 13.5494 | 160.6054 | 417.2556 |
| p | Quantile (VaR) | TVaR (ES) | MRL (VaR) | Tail Variance | TVP (q = 0.5) |
|---|---|---|---|---|---|
| 0.10 | 235.7189 | 295.3151 | 59.5962 | 1300.3074 | 313.3449 |
| 0.25 | 257.7930 | 304.9108 | 47.1177 | 999.8636 | 320.7211 |
| 0.50 | 286.5025 | 321.1059 | 34.6034 | 679.0147 | 334.1349 |
| 0.75 | 315.8660 | 341.5558 | 25.6898 | 450.9700 | 352.1738 |
| 0.90 | 341.9750 | 362.3748 | 20.3999 | 322.2909 | 371.3511 |
| 0.99 | 387.0159 | 402.2813 | 15.2654 | 207.7820 | 409.4886 |
| p | Quantile (VaR) | TVaR (ES) | MRL (VaR) | Tail Variance | TVP (q = 0.5) |
|---|---|---|---|---|---|
| 0.10 | 245.0884 | 303.6077 | 58.5193 | 1186.5916 | 320.8311 |
| 0.25 | 267.5317 | 312.9327 | 45.4010 | 893.8772 | 327.8816 |
| 0.50 | 295.6428 | 328.3853 | 32.7425 | 591.9664 | 340.5505 |
| 0.75 | 323.6504 | 347.5766 | 23.9262 | 383.0244 | 357.3621 |
| 0.90 | 348.0915 | 366.8320 | 18.7405 | 267.0524 | 375.0029 |
| 0.99 | 389.3588 | 403.0423 | 13.6835 | 164.3737 | 409.4527 |
| Distribution | KS | p-Value | ||||
|---|---|---|---|---|---|---|
| BGGD | 221.86 | 7.4863 | 78.1291 | 0.2105 | 0.1016 | 0.2525 |
| Student-t | 295.6045 | 40.3002 | 306.1828 | 0.2394 | 0.1077 | 0.1960 |
| PD | 340,685.0822 | 4620.7355 | 221.86 | 1.3869 | 0.2036 | 0.0005 |
| LN | — | 5.6794 | 0.1390 | 0.2372 | 0.1232 | 0.0958 |
| IGausD | — | 295.5944 | 15,160.1049 | 0.2366 | 0.1233 | 0.0954 |
| CD | — | 294.16051 | 30.5895 | 0.3441 | 0.1332 | 0.0572 |
| LvD | — | 217.3383 | 42.6475 | 3.0800 | 0.4116 | 0.0000 |
| LpD | — | 280.345 | 36.8379 | 0.5623 | 0.1946 | 0.0011 |
| Distribution | AIC | AICC | BIC | HQIC | CAIC | |
|---|---|---|---|---|---|---|
| BGGD | 505.443 | 1016.89 | 1017.14 | 1024.7 | 1020.05 | 1027.7 |
| Student-t | 511.757 | 1029.51 | 1029.76 | 1037.33 | 1032.68 | 1040.33 |
| PD | 530.055 | 1066.11 | 1066.36 | 1073.92 | 1069.27 | 1076.92 |
| LN | 512.573 | 1029.15 | 1029.27 | 1034.36 | 1031.25 | 1036.36 |
| IGausD | 512.489 | 1028.98 | 1029.1 | 1034.19 | 1031.09 | 1036.19 |
| CD | 541.495 | 1086.99 | 1087.11 | 1092.2 | 1089.1 | 1094.2 |
| LvD | 576.983 | 1157.97 | 1158.09 | 1163.18 | 1160.07 | 1165.18 |
| LpD | 525.298 | 1054.6 | 1054.72 | 1059.81 | 1056.7 | 1061.81 |
| Distribution | KS | p-Value | ||||
|---|---|---|---|---|---|---|
| BGGD | 4.5965354 | 3.7539 | 148.5482 | 0.1034 | 0.0607 | 0.7480 |
| Student-t | 1.14 | 2.94 | 4.7522 | 0.0946 | 0.0716 | 0.6830 |
| PD | 340,685.0822 | 4620.7355 | 221.86 | 1.3869 | 0.2036 | 0.0005 |
| LN | — | 18.5473 | 0.3087 | 0.0609 | 0.0612 | 0.7455 |
| IGausD | — | 1.19 | 1.18 | 0.0542 | 0.0642 | 0.7474 |
| CD | — | 1.09 | 1.96 | 0.2850 | 0.1076 | 0.1973 |
| LvD | — | 4.55 | 2.49 | 3.5753 | 0.2958 | 0.0000 |
| LpD | — | 1.13 | 2.88 | 0.1372 | 0.0732 | 0.6571 |
| p | Quantile (VaR) | TVaR (ES) | MRL (VaR) | Tail Variance | TVP (q = 0.5) |
|---|---|---|---|---|---|
| 0.10 | 71.4208 | 124.2240 | 52.8032 | 1152.6452 | 141.1993 |
| 0.25 | 90.7173 | 132.7193 | 42.0020 | 944.0611 | 148.0821 |
| 0.50 | 114.8667 | 147.5480 | 32.6812 | 732.4892 | 161.0802 |
| 0.75 | 141.0917 | 167.7890 | 26.6973 | 589.3825 | 179.9276 |
| 0.90 | 166.9748 | 190.6401 | 23.6653 | 522.2960 | 202.0670 |
| 0.99 | 220.3285 | 242.6522 | 22.3237 | 527.5472 | 254.1364 |
Disclaimer/Publisher’s Note: The statements, opinions and data contained in all publications are solely those of the individual author(s) and contributor(s) and not of MDPI and/or the editor(s). MDPI and/or the editor(s) disclaim responsibility for any injury to people or property resulting from any ideas, methods, instructions or products referred to in the content. |
© 2025 by the authors. Licensee MDPI, Basel, Switzerland. This article is an open access article distributed under the terms and conditions of the Creative Commons Attribution (CC BY) license (https://creativecommons.org/licenses/by/4.0/).
Share and Cite
Hussain, T.; Shakil, M.; Ahsanullah, M. On a Three-Parameter Bounded Gamma–Gompertz Distribution, with Properties, Estimation, and Applications. AppliedMath 2025, 5, 177. https://doi.org/10.3390/appliedmath5040177
Hussain T, Shakil M, Ahsanullah M. On a Three-Parameter Bounded Gamma–Gompertz Distribution, with Properties, Estimation, and Applications. AppliedMath. 2025; 5(4):177. https://doi.org/10.3390/appliedmath5040177
Chicago/Turabian StyleHussain, Tassaddaq, Mohammad Shakil, and Mohammad Ahsanullah. 2025. "On a Three-Parameter Bounded Gamma–Gompertz Distribution, with Properties, Estimation, and Applications" AppliedMath 5, no. 4: 177. https://doi.org/10.3390/appliedmath5040177
APA StyleHussain, T., Shakil, M., & Ahsanullah, M. (2025). On a Three-Parameter Bounded Gamma–Gompertz Distribution, with Properties, Estimation, and Applications. AppliedMath, 5(4), 177. https://doi.org/10.3390/appliedmath5040177

