Approach for the Calculation of Transmission Ratios and Their Errors in 4-Bar Mechanisms, Considering the Precision Variations by Dimensional Tolerances
Abstract
1. Introduction
2. Mathematical Model to Evaluate the Influence of Dimensional Tolerances and Errors on Positioning Exactitude
Total Differentials of the Kinematic Constraint Equations and Positional Errors of the Output Links
3. Transmission Ratio
Total Errors in the Transmission Ratio
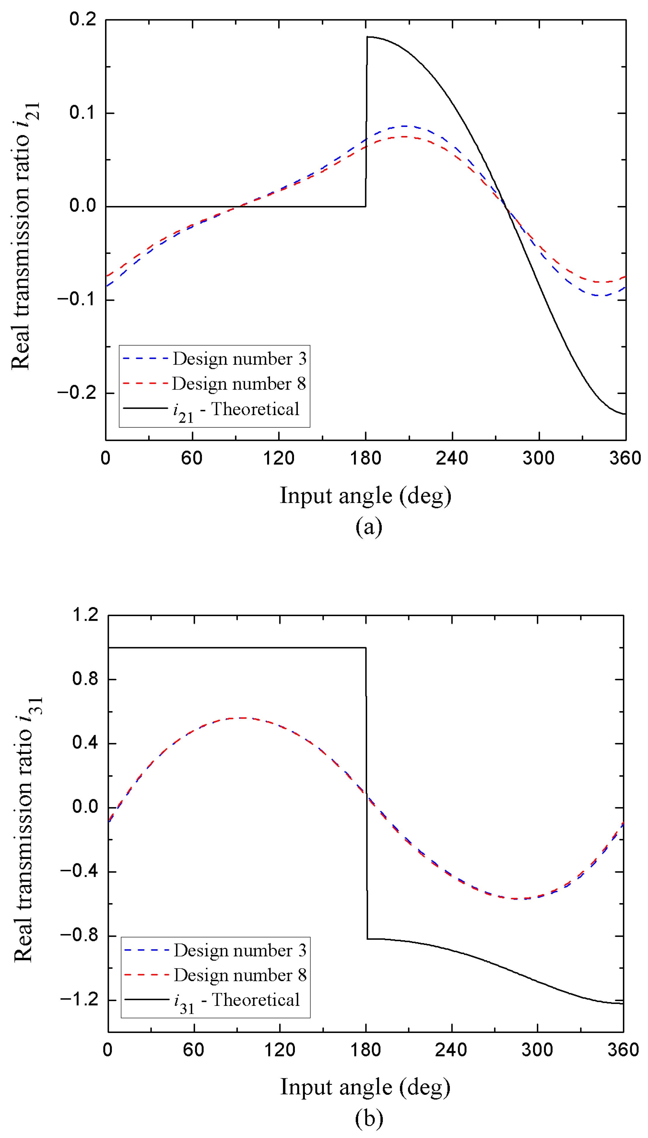
4. Study Cases
4.1. Parallelogram Four-Bar Linkage
4.2. Variations in the Link Lengths Due to Dimensional Tolerances
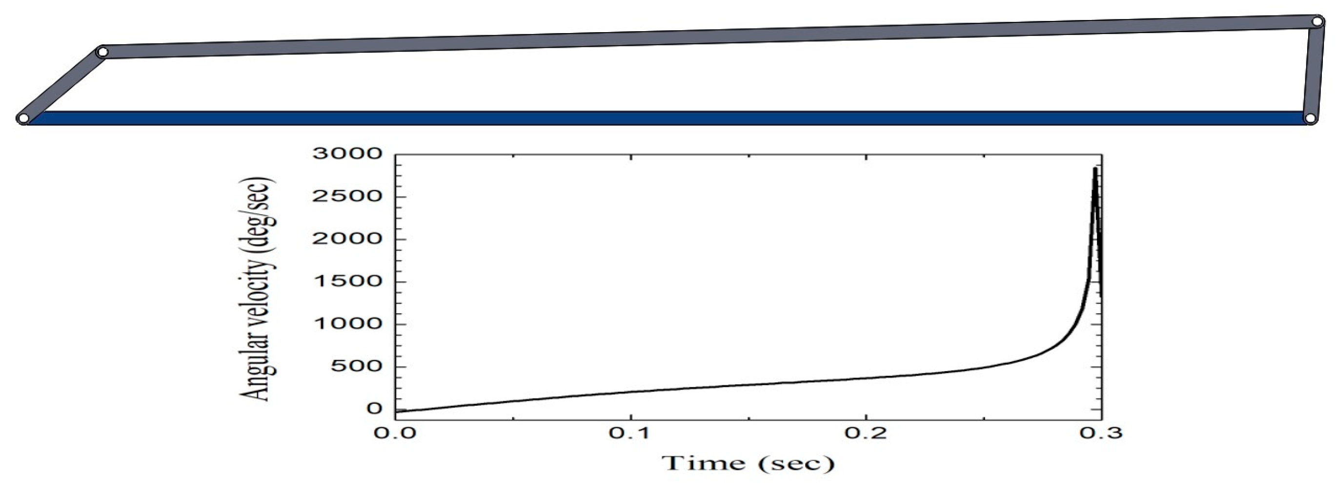
5. Validation Using a CAD Model
6. Conclusions
Author Contributions
Funding
Data Availability Statement
Acknowledgments
Conflicts of Interest
References
- Hallmann, M.; Schleich, B.; Wartzack, S. From tolerance allocation to tolerance-cost optimization: A comprehensive literature review. Int. J. Adv. Manuf. Technol. 2020, 107, 4859–4912. [Google Scholar] [CrossRef]
- Mill, F. Engineering Drawing and Product Manufacturing Information with 3D Models: ISO Geometrical Product Specification Standards, 1st ed.; CRC Press: Boca Raton, FL, USA, 2025. [Google Scholar]
- ISO 286-2:2010; Geometrical Product Specifications (GPS)-ISO Code System for Tolerances on Linear Sizes. Part 2: Tables of Standard Tolerance Classes and Limit Deviations for Holes and Shafts, 2nd Edition. ISO: Geneva, Switzerland, 2010.
- Watanabe, K. Approximate Synthesis of Plane Four-Bar Mechanism for Curve Generation. Bull. JSME 1975, 18, 536–544. [Google Scholar] [CrossRef][Green Version]
- Watanabe, K. Approximate Synthesis of Plane Four-Bar Mechanism for Function Generation. Bull. JSME 1974, 17, 951–958. [Google Scholar] [CrossRef]
- Sutherland, G.H.; Karwa, N.R. Ten-design-parameter 4-bar synthesis with tolerance considerations. Mech. Mach. Theory 1978, 13, 311–327. [Google Scholar] [CrossRef]
- Fogarasy, A.A.; Smith, M.R. The Case for a General Method of Kinematic Analysis of Plane Mechanisms Based on Equations of Constraint. Proc. Inst. Mech. Eng. Part C 1995, 209, 337–343. [Google Scholar] [CrossRef]
- Fogarasy, A.A.; Smith, M.R. The influence of manufacturing tolerances on the kinematic performance of mechanisms. Proc. Inst. Mech. Eng. Part C 1998, 212, 35–47. [Google Scholar] [CrossRef]
- Ting, K.; Long, Y. Performance Quality and Tolerance Sensitivity of Mechanisms. ASME J. Mech. Des. 1996, 118, 144–150. [Google Scholar] [CrossRef]
- Flores, P.; Claro, J.C.P. A Systematic and General Approach to Kinematic Position Errors Due to Manufacturing and Assemble Tolerances. In Proceedings of the ASME 2007 International Design Engineering Technical Conferences and Computers and Information in Engineering Conference, Las Vegas, NV, USA, 4–7 September 2007; ASME: New York, NY, USA; Volume 5, pp. 43–49. [Google Scholar]
- RSodhi, S.; Russell, K. Kinematic Synthesis of Planar Four-Bar Mechanisms for Multi-phase Motion Generation with Tolerances. Mech. Based Des. Struct. Mach. 2004, 32, 215–233. [Google Scholar]
- Shi, Z.; Li, F.; Qin, S.; Wang, F. Analysis and synthesis of mechanical error in path generating linkages based on reliability. In Proceedings of the Annual Reliability and Maintainability Symposium, Philadelphia, PA, USA, 13–16 January 1997; pp. 303–306. [Google Scholar]
- Mishra, R.; Mohapatro, G.; Behera, R. Structural and dynamic analysis of optimized four bar mechanism considering counterweight in coupler link. Mater. Today Proc. 2018, 5 Pt 1, 5467–5474. [Google Scholar] [CrossRef]
- Mishra, R. Mechanisms of flexible four-bar linkages: A brief review. Mater. Today Proc. 2021, 47 Pt 16, 5570–5574. [Google Scholar] [CrossRef]
- Jawale, H.P.; Jaiswal, A. Investigation of mechanical error in four-bar mechanism under the effects of link tolerance. J. Braz. Soc. Mech. Sci. Eng. 2018, 40, 383. [Google Scholar] [CrossRef]
- Dsouza, D.A.; Jaiswal, A.; Jawale, H.P. Positional Error Estimation of Five-Bar Mechanism Under the Influence of Tolerances. In Recent Advances in Machines and Mechanisms; Gupta, V.K., Amarnath, C., Tandon, P., Ansari, M.Z., Eds.; Lecture Notes in Mechanical Engineering; Springer: Singapore, 2023. [Google Scholar]
- Jaiswal, A.; Jawale, H.P. Influence of tolerances on error estimation in P3R and 4R planar mechanisms. J. Braz. Soc. Mech. Sci. Eng. 2022, 44, 62. [Google Scholar] [CrossRef]
- Jaiswal, A.; Jawale, H.P. Estimation of error in four-bar mechanism under dimensional deviations. Int. J. Interact. Des. Manuf. 2024, 18, 541–554. [Google Scholar] [CrossRef]
- Armillotta, A. Concurrent optimization of dimensions and tolerances on structures and mechanisms. Int. J. Adv. Manuf. Technol. 2020, 111, 3141–3157. [Google Scholar] [CrossRef]
- Velmurugan, S.; Sivakumar, K.; Ramabalan, S. Impact of mixed tolerance combination on the geometric position and torques of a four-bar kinematic chain using genetic algorithm. Mater. Today Proc. 2022, 66 Pt 3, 1056–1065. [Google Scholar] [CrossRef]
- Figliolini, G.; Pennestrì, E. Synthesis of Quasi-Constant Transmission Ratio Planar Linkages. ASME J. Mech. Des. 2015, 137, 102301. [Google Scholar] [CrossRef]
- Liu, K.; Kong, X.; Yu, J. Algebraic synthesis and input-output analysis of 1-DOF multi-loop linkages with a constant transmission ratio between two adjacent parallel, intersecting or skew axes. Mech. Mach. Theory 2023, 190, 105467. [Google Scholar] [CrossRef]
- Liu, K.; Kong, X.; Yu, J. Algebraic synthesis of single-loop 6R spatial mechanisms for constant velocity transmission between two adjacent parallel, intersecting or skew axes. Mech. Mach. Theory 2024, 200, 105725. [Google Scholar] [CrossRef]
- Liu, K.; Yu, J. Algebraic Method for Exact Synthesis of One-Degree-of-Freedom Linkages with Arbitrarily Prescribed Constant Velocity Ratios. ASME J. Mech. Des. 2022, 144, 063301. [Google Scholar] [CrossRef]
- Karakuş, R.; Tanık, E. Transmission angle in compliant four-bar mechanism. Int. J. Mech. Mater. Des. 2023, 19, 713–727. [Google Scholar] [CrossRef]
- Wu, X.; Liu, Q.; Ding, J.; Wang, C.; Yu, H.; Bai, S. Transmission angle of planar four-bar linkages applicable for different input-output links subject to external loads. Mech. Mach. Theory 2024, 203, 105829. [Google Scholar] [CrossRef]
- Rothenhofer, G.; Walsh, C.; Slocum, A. Transmission ratio based analysis and robust design of mechanisms. Precis. Eng. 2010, 34, 790–797. [Google Scholar] [CrossRef]
- Norton, R.L.; Higgins, M.P. Design of Machinery: An Introduction to the Synthesis and Analysis of Mechanisms and Machines, 6th ed.; McGraw Hill: Columbus, OH, USA, 2019. [Google Scholar]
- ISO 2768-1:1989; General Tolerances-Part 1: Tolerances for Linear and Angular Dimensions Without Individual Tolerance Indications, 1st Edition. ISO: Geneva, Switzerland, 1989.
- Freudenstein, F. Design of Four-Link Mechanisms. Ph.D. Thesis, Columbia University, New York, NY, USA, 1954. [Google Scholar]
- Ghosal, A. The Freudenstein equation. Resonance 2010, 15, 699–710. [Google Scholar] [CrossRef]



















| Dimensional Tolerance | Quality (Grade) of Tolerance | ||
|---|---|---|---|
| IT01 (mm) | IT9 (mm) | IT18 (mm) | |
| δl1 | 0.0006 | 0.052 | 3.3 |
| δl2 | 0.002 | 0.115 | 7.2 |
| δl3 | 0.0006 | 0.052 | 3.3 |
| δl4 | 0.002 | 0.115 | 7.2 |
| Design Number | Sign of Dimensional Tolerances | Grashof Condition | |||
|---|---|---|---|---|---|
| 1 | −δl1 | −δl2 | −δl3 | −δl4 | S + L = P + Q |
| 2 | −δl1 | −δl2 | −δl3 | δl4 | Non-Grashof |
| 3 | −δl1 | −δl2 | δl3 | −δl4 | S + L < P + Q |
| 4 | −δl1 | −δl2 | δl3 | δl4 | Non-Grashof |
| 5 | −δl1 | δl2 | −δl3 | −δl4 | Non-Grashof |
| 6 | −δl1 | δl2 | −δl3 | δl4 | S + L = P + Q |
| 7 | −δl1 | δl2 | δl3 | −δl4 | Non-Grashof |
| 8 | −δl1 | δl2 | δl3 | δl4 | S + L < P + Q |
| 9 | δl1 | −δl2 | −δl3 | −δl4 | Non-Grashof |
| 10 | δl1 | −δl2 | −δl3 | δl4 | Non-Grashof |
| 11 | δl1 | −δl2 | δl3 | −δl4 | S + L = P + Q |
| 12 | δl1 | −δl2 | δl3 | δl4 | Non-Grashof |
| 13 | δl1 | δl2 | −δl3 | −δl4 | Non-Grashof |
| 14 | δl1 | δl2 | −δl3 | δl4 | Non-Grashof |
| 15 | δl1 | δl2 | δl3 | −δl4 | Non-Grashof |
| 16 | δl1 | δl2 | δl3 | δl4 | S + L = P + Q |
| Design Number | Input Angle Interval θ1 | |
|---|---|---|
| Allowed Movements | Blocking Positions | |
| 2 | 0 ≤ θ1 ≤ 107° and 253° ≤ θ1 ≤ 360° | 108° ≤ θ1 ≤ 252° |
| 4 | 0° ≤ θ1 ≤ 128° and 232° ≤ θ1 ≤ 360° | 129° ≤ θ1 ≤ 231° |
| 5 | 68° ≤ θ1 ≤ 292° | 0° ≤ θ1 ≤ 67° and 293° ≤ θ1 ≤ 360° |
| 7 | 49° ≤ θ1 ≤ 311° | 0° ≤ θ1 ≤ 48° and 312° ≤ θ1 ≤ 360° |
| 9 | 38° ≤ θ1 ≤ 137° and 223° ≤ θ1 ≤ 322° | 0 ≤ θ1 ≤ 37°,138° ≤ θ1 ≤ 222° and 323° ≤ θ1 ≤ 360° |
| 10 | 0 ≤ θ1 ≤ 101° and 259° ≤ θ1 ≤ 360° | 102° ≤ θ1 ≤ 258° |
| 12 | 0 ≤ θ1 ≤ 116° and 244° ≤ θ1 ≤ 360° | 117° ≤ θ1 ≤ 243° |
| 13 | 72° ≤ θ1 ≤ 288° | 0 ≤ θ1 ≤ 71° and 289° ≤ θ1 ≤ 360° |
| 14 | 38° ≤ θ1 ≤ 138° and 222° ≤ θ1 ≤ 322° | 0° ≤ θ1 ≤ 37°, 139° ≤ θ1 ≤ 221° and 323° ≤ θ1 ≤ 360° |
| 15 | 58° ≤ θ1 ≤ 302° | 0° ≤ θ1 ≤ 57° and 303° ≤ θ1 ≤ 360° |
Disclaimer/Publisher’s Note: The statements, opinions and data contained in all publications are solely those of the individual author(s) and contributor(s) and not of MDPI and/or the editor(s). MDPI and/or the editor(s) disclaim responsibility for any injury to people or property resulting from any ideas, methods, instructions or products referred to in the content. |
© 2025 by the authors. Licensee MDPI, Basel, Switzerland. This article is an open access article distributed under the terms and conditions of the Creative Commons Attribution (CC BY) license (https://creativecommons.org/licenses/by/4.0/).
Share and Cite
Flores Méndez, J.; Minquiz, G.M.; Morales-Sánchez, A.; Moreno, M.; Simón, Z.J.H.; Luna López, J.A.; Severiano Carrillo, F.; Hernández Martínez, L.; González Sierra, N.E.; Piñón Reyes, A.C. Approach for the Calculation of Transmission Ratios and Their Errors in 4-Bar Mechanisms, Considering the Precision Variations by Dimensional Tolerances. AppliedMath 2025, 5, 154. https://doi.org/10.3390/appliedmath5040154
Flores Méndez J, Minquiz GM, Morales-Sánchez A, Moreno M, Simón ZJH, Luna López JA, Severiano Carrillo F, Hernández Martínez L, González Sierra NE, Piñón Reyes AC. Approach for the Calculation of Transmission Ratios and Their Errors in 4-Bar Mechanisms, Considering the Precision Variations by Dimensional Tolerances. AppliedMath. 2025; 5(4):154. https://doi.org/10.3390/appliedmath5040154
Chicago/Turabian StyleFlores Méndez, Javier, Gustavo M. Minquiz, Alfredo Morales-Sánchez, Mario Moreno, Zaira Jocelyn Hernández Simón, José Alberto Luna López, Francisco Severiano Carrillo, Luis Hernández Martínez, Nancy E. González Sierra, and Ana Cecilia Piñón Reyes. 2025. "Approach for the Calculation of Transmission Ratios and Their Errors in 4-Bar Mechanisms, Considering the Precision Variations by Dimensional Tolerances" AppliedMath 5, no. 4: 154. https://doi.org/10.3390/appliedmath5040154
APA StyleFlores Méndez, J., Minquiz, G. M., Morales-Sánchez, A., Moreno, M., Simón, Z. J. H., Luna López, J. A., Severiano Carrillo, F., Hernández Martínez, L., González Sierra, N. E., & Piñón Reyes, A. C. (2025). Approach for the Calculation of Transmission Ratios and Their Errors in 4-Bar Mechanisms, Considering the Precision Variations by Dimensional Tolerances. AppliedMath, 5(4), 154. https://doi.org/10.3390/appliedmath5040154

