Volatile Aroma Compounds of Gavina® Watermelon (Citrullus Lanatus L.) Dietary Fibers to Increase Food Sustainability
Abstract
1. Introduction
2. Materials and Methods
2.1. Samples Preparation
2.2. Volatile Organic Compounds Sampling: HS-SPME
2.3. GC-MS Analysis
2.4. Chemicals and Reagents
2.5. Statistical Analysis
3. Results and Discussion
3.1. Aldehydes
3.2. Ketones
3.3. Alcohols
3.4. Acids
3.5. Esters
3.6. Hydrocarbons
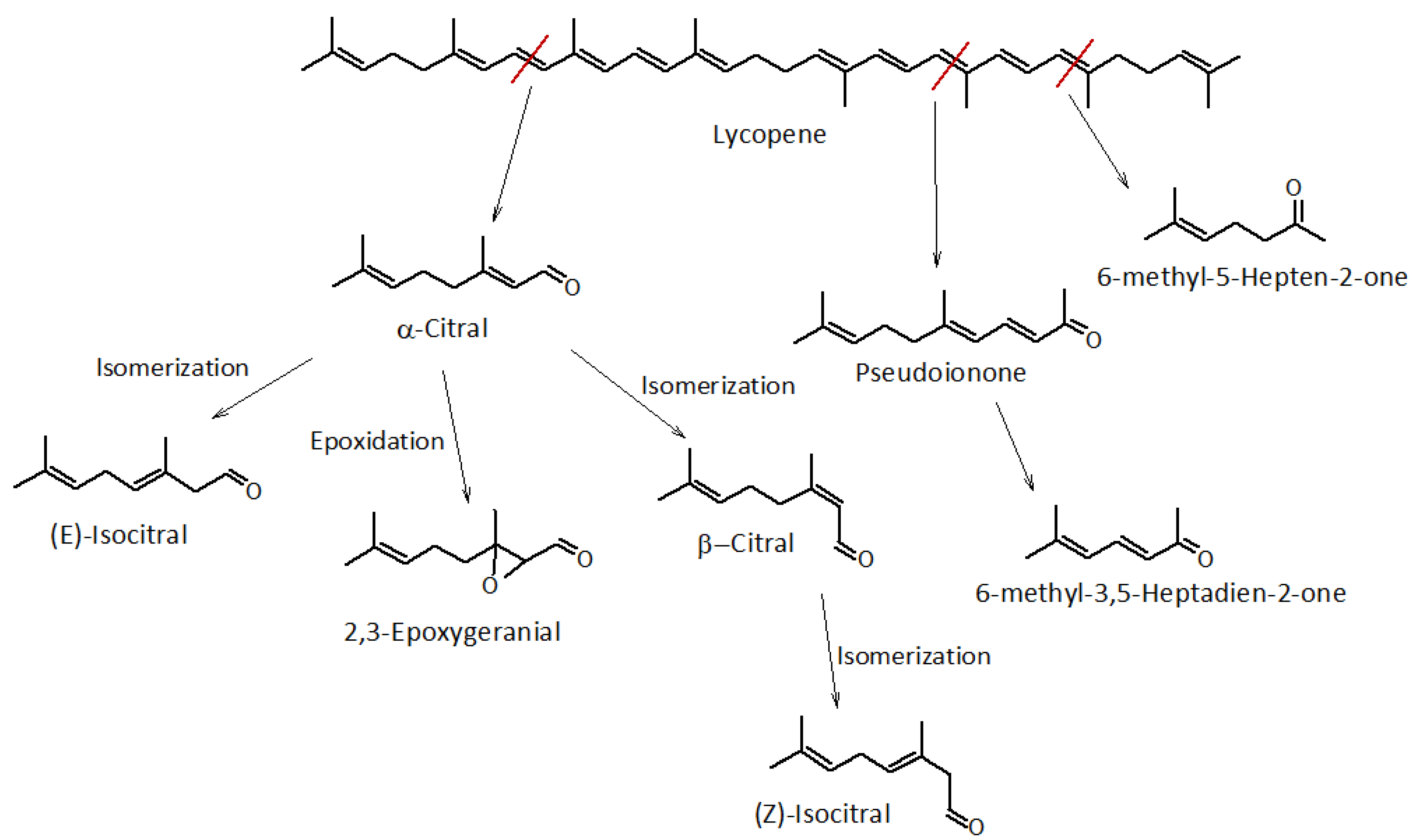
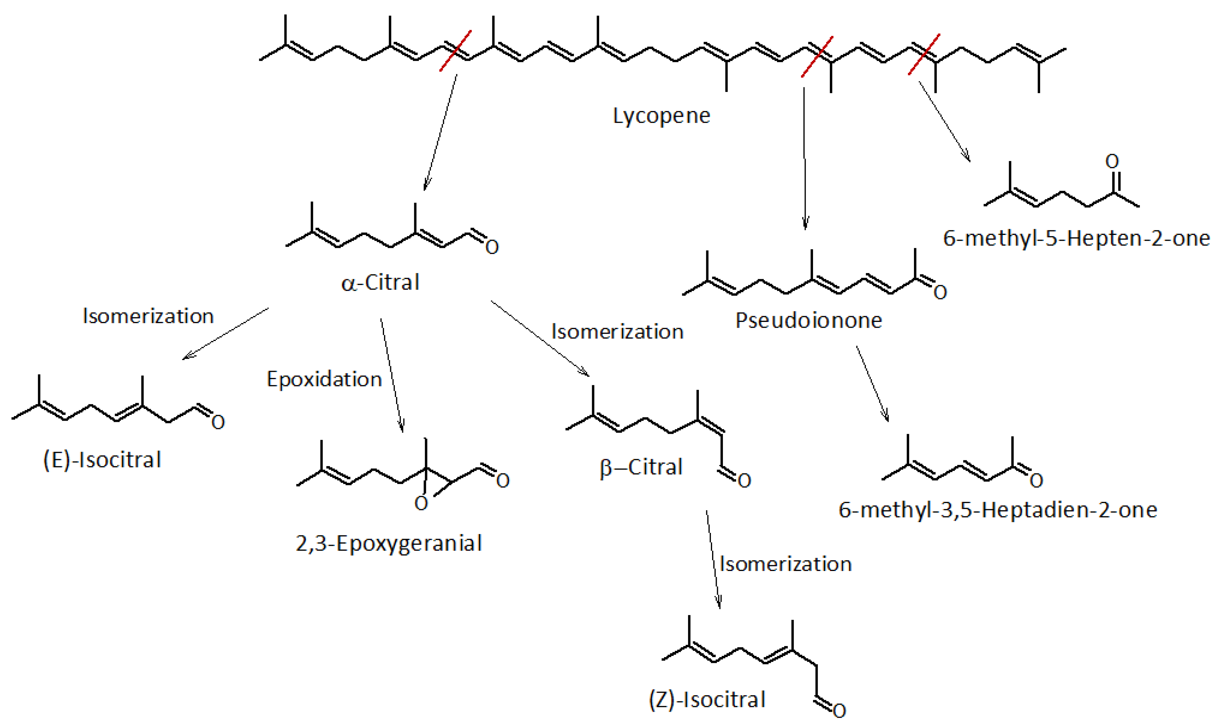
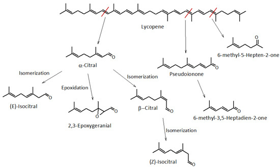
3.7. Terpenes and Derivatives
- β-ionone, produced following the breaking of the C9-C10 bond, is present in comparable quantities in WDF_t0 and WDF_t1 (35.8 × 106 and 31.2 × 106, respectively), while it is much less abundant after 24 months of storage (0.93 × 106). It is a molecule with a floral, slightly fruity, and pleasant aroma [44]; is widely used in all sectors of perfumery; and is used industrially for the synthesis of vitamin A [1]. In our samples, β-ionone was also identified in its epoxidized form (5,6-ionone epoxide), which reached a higher abundance in WDF_t1 (34.4 × 106). In this aging step, the quantities of β-ionone and 5,6-ionone epoxide were comparable. As previously reported for 2,3-epoxy-geranial, the epoxidation of these terpenes occurs quite easily in the presence of atmospheric oxygen. These two species were the most abundant among those involved in β-carotene degradation. Therefore, we can hypothesize that the C9-C10 bond is the most susceptible to breaking.
- Dihydroactinidiolide, whose formation mechanism is not well understood, is hypothesized to form starting from 5,6-ionone epoxide according to a radical oxidation mechanism [44,48] or following the oxidation of the C8-C9 bond. Like 5,6-ionone epoxide, dihydroactinidiolide also reaches its maximum quantity after 30 days of storage, and then halves after two years (44.7 × 106 and 22.0 × 106 for WDF_t1 and WDF_t2 samples, respectively), giving the aged fiber a fruity aroma with woody notes.
3.8. Other Compounds
3.9. Summary Data
3.10. Potential Applications of Gavina® Watermelon WDF
4. Conclusions
Supplementary Materials
Author Contributions
Funding
Institutional Review Board Statement
Informed Consent Statement
Data Availability Statement
Conflicts of Interest
References
- Berger, R.G. Flavours and Fragances: Chemistry, Bioprocessing and Sustainability; Springer: Berlin/Heidelberg, Germany, 2007; ISBN 978-3-540-49338-9. [Google Scholar]
- Xisto, A.L.R.P.; Boas, E.V.d.B.V.; Nunes, E.E.; Federal, B.M.V.B.; Guerreiro, M.C. Volatile profile and physical, chemical, and biochemical changes in fresh cut watermelon during storage. Food Sci. Technol. 2012, 32, 173–178. [Google Scholar] [CrossRef]
- El Hadi, M.; Zhang, F.-J.; Wu, F.-F.; Zhou, C.-H.; Tao, J. Advances in Fruit Aroma Volatile Research. Molecules 2013, 18, 8200–8229. [Google Scholar] [CrossRef] [PubMed]
- Lewinsohn, E.; Sitrit, Y.; Bar, E.; Azulay, Y.; Ibdah, M.; Meir, A.; Yosef, E.; Zamir, D.; Tadmor, Y. Not just colors—Carotenoid degradation as a link between pigmentation and aroma in tomato and watermelon fruit. Trends Food Sci. Technol. 2005, 16, 407–415. [Google Scholar] [CrossRef]
- Maletti, L.; D’Eusanio, V.; Durante, C.; Marchetti, A.; Tassi, L. VOCs Analysis of Three Different Cultivars of Watermelon (Citrullus lanatus L.) Whole Dietary Fiber. Molecules 2022, 27, 8747. [Google Scholar] [CrossRef] [PubMed]
- Dima, G.; Tripodi, G.; Condurso, C.; Verzera, A. Volatile constituents of mini-watermelon fruits. J. Essent. Oil Res. 2014, 26, 323–327. [Google Scholar] [CrossRef]
- Benzo, M.; Gilardoni, G.; Gandini, C.; Caccialanza, G.; Finzi, P.V.; Vidari, G.; Abdo, S.; Layedra, P. Determination of the threshold odor concentration of main odorants in essential oils using gas chromatography–olfactometry incremental dilution technique. J. Chromatogr. A 2007, 1150, 131–135. [Google Scholar] [CrossRef]
- Brattoli, M.; De Gennaro, G.; De Pinto, V.; Demarinis Loiotile, A.; Lovascio, S.; Penza, M. Odour Detection Methods: Olfactometry and Chemical Sensors. Sensors 2011, 11, 5290–5322. [Google Scholar] [CrossRef]
- Chambers, E.; Koppel, K. Associations of Volatile Compounds with Sensory Aroma and Flavor: The Complex Nature of Flavor. Molecules 2013, 18, 4887–4905. [Google Scholar] [CrossRef]
- Yang, F.; Liu, Y.; Wang, B.; Song, H.; Zou, T. Screening of the volatile compounds in fresh and thermally treated watermelon juice via headspace-gas chromatography-ion mobility spectrometry and comprehensive two-dimensional gas chromatography-olfactory-mass spectrometry analysis. LWT 2021, 137, 110478. [Google Scholar] [CrossRef]
- Dahl, W.J.; Stewart, M.L. Position of the Academy of Nutrition and Dietetics: Health Implications of Dietary Fiber. J. Acad. Nutr. Diet. 2015, 115, 1861–1870. [Google Scholar] [CrossRef]
- Galanakis, C.M. Dietary Fiber: Properties, Recovery, and Applications; Academic Press: London, UK, 2019; ISBN 978-0-12-816495-2. [Google Scholar]
- Li, H.; Yin, J.; Tan, B.; Chen, J.; Zhang, H.; Li, Z.; Ma, X. Physiological function and application of dietary fiber in pig nutrition: A review. Anim. Nutr. 2021, 7, 259–267. [Google Scholar] [CrossRef] [PubMed]
- Augustin, M.A.; Sanguansri, L.; Fox, E.M.; Cobiac, L.; Cole, M.B. Recovery of wasted fruit and vegetables for improving sustainable diets. Trends Food Sci. Technol. 2020, 95, 75–85. [Google Scholar] [CrossRef]
- Khattak, K.F.; Rahman, T.U. Analysis of vegetable’s peels as a natural source of vitamins and minerals. Int. Food Res. J. 2017, 24, 292–297. [Google Scholar]
- Hamam, M.; Chinnici, G.; Di Vita, G.; Pappalardo, G.; Pecorino, B.; Maesano, G.; D’Amico, M. Circular Economy Models in Agro-Food Systems: A Review. Sustainability 2021, 13, 3453. [Google Scholar] [CrossRef]
- Maletti, L.; D’Eusanio, V.; Lancellotti, L.; Marchetti, A.; Pincelli, L.; Strani, L.; Tassi, L. Candying process for enhancing pre-waste watermelon rinds to increase food sustainability. Future Foods 2022, 6, 100182. [Google Scholar] [CrossRef]
- Maletti, L.; D’Eusanio, V.; Durante, C.; Marchetti, A.; Pincelli, L.; Tassi, L. Comparative Analysis of VOCs from Winter Melon Pomace Fibers before and after Bleaching Treatment with H2O2. Molecules 2022, 27, 2336. [Google Scholar] [CrossRef]
- Méndez, D.A.; Fabra, M.J.; Gómez-Mascaraque, L.; López-Rubio, A.; Martinez-Abad, A. Modelling the Extraction of Pectin towards the Valorisation of Watermelon Rind Waste. Foods 2021, 10, 738. [Google Scholar] [CrossRef]
- FAOSTAT. Available online: https://www.fao.org/faostat/en/#data (accessed on 17 October 2022).
- Istat.it. Available online: https://www.istat.it/ (accessed on 20 November 2022).
- Lum, T.; Connolly, M.; Marx, A.; Beidler, J.; Hooshmand, S.; Kern, M.; Liu, C.; Hong, M. Effects of Fresh Watermelon Consumption on the Acute Satiety Response and Cardiometabolic Risk Factors in Overweight and Obese Adults. Nutrients 2019, 11, 595. [Google Scholar] [CrossRef]
- Beaulieu, J.C.; Lea, J.M. Characterization and Semiquantitative Analysis of Volatiles in Seedless Watermelon Varieties Using Solid-Phase Microextraction. J. Agric. Food Chem. 2006, 54, 7789–7793. [Google Scholar] [CrossRef]
- Arocho, Y.D.; Bellmer, D.; Maness, N.; McGlynn, W.; Rayas-Duarte, P. Watermelon Pomace Composition and the Effect of Drying and Storage on Lycopene Content and Color: Watermelon Pomace. J. Food Qual. 2012, 35, 331–340. [Google Scholar] [CrossRef]
- Kobori, C.N.; Wagner, R.; Padula, M.; Rodriguez-Amaya, D.B. Formation of volatile compounds from lycopene by autoxidation in a model system simulating dehydrated foods. Food Res. Int. 2014, 63, 49–54. [Google Scholar] [CrossRef]
- Beaulieu, J.C.; Grimm, C.C. Identification of Volatile Compounds in Cantaloupe at Various Developmental Stages Using Solid Phase Microextraction. J. Agric. Food Chem. 2001, 49, 1345–1352. [Google Scholar] [CrossRef] [PubMed]
- Saftner, R.; Luo, Y.; McEvoy, J.; Abbott, J.A.; Vinyard, B. Quality characteristics of fresh-cut watermelon slices from non-treated and 1-methylcyclopropene- and/or ethylene-treated whole fruit. Postharvest Biol. Technol. 2007, 44, 71–79. [Google Scholar] [CrossRef]
- Cho, M.J.; Buescher, R. Degradation of cucumber flavor aldehydes in juice. Food Res. Int. 2011, 44, 2975–2977. [Google Scholar] [CrossRef]
- Liu, Y.; He, C.; Song, H. Comparison of fresh watermelon juice aroma characteristics of five varieties based on gas chromatography-olfactometry-mass spectrometry. Food Res. Int. 2018, 107, 119–129. [Google Scholar] [CrossRef]
- Genthner, E.R. Identification of Key Odorants in Fresh-Cut Watermelon Aroma and Structure-Odor Relationships of Cis,Cis-3,6-Nonadienal and Ester Analogs with Cis,Cis-3,6-Nonadiene, Cis-3-Nonene and Cis-6-Nonene Backbone Structures; University of Illinois at Urbana-Champaign: Urbana, IL, USA, 2010. [Google Scholar]
- Tripodi, G.; Condurso, C.; Cincotta, F.; Merlino, M.; Verzera, A. Aroma compounds in mini-watermelon fruits from different grafting combinations. J. Sci. Food Agric. 2020, 100, 1328–1335. [Google Scholar] [CrossRef] [PubMed]
- Yajima, I.; Sakakibara, H.; Ide, J.; Yanai, T.; Kazuo, H. Volatile Flavor Components of Watermelon (Citrullus vulgaris). Agric. Biol. Chem. 1985, 49, 3145–3150. [Google Scholar] [CrossRef]
- Kemp, T.R.; Knavel, D.E.; Stoltz, L.P.; Lundin, R.E. 3,6-Nonadien-1-ol from Citrullus vulgaris and Cucumis melo. Phytochemistry 1974, 13, 1167–1170. [Google Scholar] [CrossRef]
- Hatanaka, A.; Kajiwara, T.; Harada, T. Biosynthetic pathway of cucumber alcohol: Trans-2,cis-6-nonadienol via cis-3,cis-6-nonadienal. Phytochemistry 1975, 14, 2589–2592. [Google Scholar] [CrossRef]
- Halliwell, B.; Gutteridge, J.M.C. Role of free radicals and catalytic metal ions in human disease: An overview. In Methods in Enzymology; Elsevier: Amsterdam, The Netherlands, 1990; Volume 186, pp. 1–85. ISBN 978-0-12-182087-9. [Google Scholar]
- Josephson, D.B.; Lindsay, R.C. Retro-aldol degradations of unsaturated aldehydes: Role in the formation ofc4-heptenal fromt2,c6-nonadienal in fish, oyster and other flavors. J. Am. Oil Chem. Soc. 1987, 64, 132–138. [Google Scholar] [CrossRef]
- Hammer, M.; Schieberle, P. Model Studies on the Key Aroma Compounds Formed by an Oxidative Degradation of ω-3 Fatty Acids Initiated by either Copper (II) Ions or Lipoxygenase. J. Agric. Food Chem. 2013, 61, 10891–10900. [Google Scholar] [CrossRef] [PubMed]
- Smit, B.A.; Engels, W.J.M.; Smit, G. Branched chain aldehydes: Production and breakdown pathways and relevance for flavour in foods. Appl. Microbiol. Biotechnol. 2009, 81, 987–999. [Google Scholar] [CrossRef] [PubMed]
- Song, J.; Fan, L.; Beaudry, R.M. Application of Solid Phase Microextraction and Gas Chromatography/Time-of-Flight Mass Spectrometry for Rapid Analysis of Flavor Volatiles in Tomato and Strawberry Fruits. J. Agric. Food Chem. 1998, 46, 3721–3726. [Google Scholar] [CrossRef]
- Xiao, Z.; Lu, J.R. Generation of Acetoin and Its Derivatives in Foods. J. Agric. Food Chem. 2014, 62, 6487–6497. [Google Scholar] [CrossRef]
- Leffingwell, J.C.; Alford, E.D.; Leffingwell, D. Identification of the Volatile Constituents of Raw Pumpkin (Cucurbita pepo L.) by Dynamic Headspace Analyses. Leffingwell Rep. 2015, 7, 293–301. [Google Scholar]
- Oldfield, E.; Lin, F.-Y. Terpene Biosynthesis: Modularity Rules. Angew. Chem. Int. Ed. 2012, 51, 1124–1137. [Google Scholar] [CrossRef]
- Croteau, R.; Kutchan, T.M.; Lewis, N.G. Natural Products (Secondary Metabolites). Biochem. Mol. Biol. Plants 2000, 24, 1250–1319. [Google Scholar]
- Pénicaud, C.; Achir, N.; Dhuique-Mayer, C.; Dornier, M.; Bohuon, P. Degradation of β-carotene during fruit and vegetable processing or storage: Reaction mechanisms and kinetic aspects: A review. Fruits 2011, 66, 417–440. [Google Scholar] [CrossRef]
- Powell, Z.D.; Lakesha, C. Antioxidant capacity of lycopene-containing foods. Int. J. Food Sci. Nutr. 2001, 52, 143–149. [Google Scholar] [CrossRef]
- Gul, K.; Tak, A.; Singh, A.K.; Singh, P.; Yousuf, B.; Wani, A.A. Chemistry, encapsulation, and health benefits of β-carotene—A review. Cogent Food Agric. 2015, 1, 1018696. [Google Scholar] [CrossRef]
- Nisar, N.; Li, L.; Lu, S.; Khin, N.C.; Pogson, B.J. Carotenoid Metabolism in Plants. Mol. Plant 2015, 8, 68–82. [Google Scholar] [CrossRef] [PubMed]
- Glória, M.B.A.; Grulke, E.A.; Gray, J.I. Effect of type of oxidation on beta-carotene loss and volatile products formation in model systems. Food Chem. 1993, 46, 401–406. [Google Scholar] [CrossRef]
- Bruno, A.; Durante, M.; Marrese, P.P.; Migoni, D.; Laus, M.N.; Pace, E.; Pastore, D.; Mita, G.; Piro, G.; Lenucci, M.S. Shades of red: Comparative study on supercritical CO 2 extraction of lycopene-rich oleoresins from gac, tomato and watermelon fruits and effect of the α-cyclodextrin clathrated extracts on cultured lung adenocarcinoma cells’ viability. J. Food Compos. Anal. 2018, 65, 23–32. [Google Scholar] [CrossRef]
- Marchese, A.; Arciola, C.; Barbieri, R.; Silva, A.; Nabavi, S.; Tsetegho Sokeng, A.; Izadi, M.; Jafari, N.; Suntar, I.; Daglia, M.; et al. Update on Monoterpenes as Antimicrobial Agents: A Particular Focus on p-Cymene. Materials 2017, 10, 947. [Google Scholar] [CrossRef]
- Bernhard, R.A.; Marr, A.G. The Oxidation of Terpenes. I. Mechanism and Reaction Products of d-Limonene Autoxidation. J. Food Sci. 1960, 25, 517–530. [Google Scholar] [CrossRef]
- Rajashekar, Y.; Tonsing, N.; Shantibala, T.; Manjunath, J.R. 2, 3-Dimethylmaleic anhydride (3, 4-Dimethyl-2, 5-furandione): A plant derived insecticidal molecule from Colocasia esculenta var. esculenta (L.) Schott. Sci. Rep. 2016, 6, 20546. [Google Scholar] [CrossRef] [PubMed]
- Garcia-Amezquita, L.E.; Tejada-Ortigoza, V.; Serna-Saldivar, S.O.; Welti-Chanes, J. Dietary Fiber Concentrates from Fruit and Vegetable By-products: Processing, Modification, and Application as Functional Ingredients. Food Bioprocess Technol. 2018, 11, 1439–1463. [Google Scholar] [CrossRef]
- Pop, C.; Suharoschi, R.; Pop, O.L. Dietary Fiber and Prebiotic Compounds in Fruits and Vegetables Food Waste. Sustainability 2021, 13, 7219. [Google Scholar] [CrossRef]
- Salehi, F. Recent applications of powdered fruits and vegetables as novel ingredients in biscuits: A review. Nutrire 2020, 45, 1. [Google Scholar] [CrossRef]
- Al-Sayed, H.M.A.; Ahmed, A.R. Utilization of watermelon rinds and sharlyn melon peels as a natural source of dietary fiber and antioxidants in cake. Ann. Agric. Sci. 2013, 58, 83–95. [Google Scholar] [CrossRef]
- Sangeeta, S.; Kalphana, K. Peach Juice and Pomace Powder; Nutritive Value and Use of Pomace Powder in Biscuits. Int. J. Food Sci. Technol. 2016, 6, 5–16. [Google Scholar]
- Shelke, G.; Kad, V.; Yenge, G.; Desai, S.; Kakde, S. Utilization of jamun pomace as functional ingredients to enhance the physico-chemical and sensory characteristics of ice cream. J. Food Process. Preserv. 2020, 44, e14736. [Google Scholar] [CrossRef]
- Ahmad, S.R.; Gokulakrishnan, P.; Giriprasad, R.; Yatoo, M.A. Fruit-based Natural Antioxidants in Meat and Meat Products: A Review. Crit. Rev. Food Sci. Nutr. 2015, 55, 1503–1513. [Google Scholar] [CrossRef]
- Parveen, H.; Bajpai, A.; Bhatia, S.; Singh, S. Analysis of Biscuits Enriched With Fibre by Incorporating Carrot and Beetroot Pomace Powder. IJND 2017, 54, 403. [Google Scholar] [CrossRef]
- Salehi, F.; Aghajanzadeh, S. Effect of dried fruits and vegetables powder on cakes quality: A review. Trends Food Sci. Technol. 2020, 95, 162–172. [Google Scholar] [CrossRef]
- Iqbal, A.; Schulz, P.; Rizvi, S.S.H. Valorization of bioactive compounds in fruit pomace from agro-fruit industries: Present Insights and future challenges. Food Biosci. 2021, 44, 101384. [Google Scholar] [CrossRef]
- Żyżelewicz, D.; Oracz, J.; Bilicka, M.; Kulbat-Warycha, K.; Klewicka, E. Influence of Freeze-Dried Phenolic-Rich Plant Powders on the Bioactive Compounds Profile, Antioxidant Activity and Aroma of Different Types of Chocolates. Molecules 2021, 26, 7058. [Google Scholar] [CrossRef]
- Lu, Z.; Wang, J.; Gao, R.; Ye, F.; Zhao, G. Sustainable valorisation of tomato pomace: A comprehensive review. Trends Food Sci. Technol. 2019, 86, 172–187. [Google Scholar] [CrossRef]
- Manju Wadhwa, M.W.; Bakshi, M.P.S.; Makkar, H.P.S. Waste to worth: Fruit wastes and by-products as animal feed. CABI Rev. 2015, 2015, 1–26. [Google Scholar] [CrossRef]






| WDF_t0 | WDF_t1 | WDF_t2 | ||||
|---|---|---|---|---|---|---|
| Analyte | Aroma | LRI | Area (×106) | Area (×106) | Area (×106) | Ref |
| Acetaldehyde | Pungent, fresh, fruity | 435 | 54.6 ± 0.3 | 3.96 a | - | [2,23,26,27] |
| Propanal | Ethereal, pungent, fruity | 498 | 13.5 ± 0.1 | 12.5 ± 0.3 | - | [26,28] |
| 2-Methyl-propanal | Fresh, aldehydic, green | 559 | 1.57 a | 1.17 a | 48.1 ± 0.3 | - |
| (Z)-2-Butenal | - | 570 | 2.31 ± 0.06 | 6.55 ± 0.06 | - | - |
| Butanal | Pungent, cocoa, green, malty | 593 | 2.06 ± 0.07 | 2.25 ± 0.07 | - | - |
| €-2-Butenal | Green, fruity | 655 | 8.18 ± 0.1 | 6.49 ± 0.06 | - | [2,6,23,29] |
| 3-Methyl-butanal | Aldehydic, fermented, fatty | 661 | 17.2 ± 0.2 | 22.1 ± 0.2 | 257 ± 0.5 | [6,10,30] |
| 2-Methyl-butanal | Fermented, nutty, furfural | 671 | 7.19 ± 0.07 | 8.55 ± 0.08 | 195 ± 0.4 | [2,6,10] |
| Pentanal | Fermented, fruity, green | 703 | 19.0 ± 0.4 | 40.3 ± 0.4 | 93.5 ± 0.2 | [6,23,31,32] |
| 2-Methyl-2-butenal | Pungent, green, penetrating | 748 | 2.79 a | 2.19 a | - | - |
| (E)-2-Pentenal | Pungent, green, fruity, apple | 758 | 33.6 ± 0.3 | 9.52 a | - | [23,27,29,32] |
| 3-Methyl-2-butenal | Sweet, fruity, pungent, nutty | 784 | 9.29 ± 0.06 | 12.6 ± 0.1 | - | - |
| Hexanal | Green, fatty, fruity, woody | 798 | 119 ± 0.5 | 196 | 298 ± 0.6 | [2,23,27,29] |
| 2-Ethyl-3-methylbutanal | - | 833 | - | - | 8.17 a | - |
| (Z)-2-Hexenal | Green | 837 | 1.06 a | - | - | [6] |
| (E)-2-Hexenal | Green leaf, almond, fruity | 843 | 42.2 ± 0.2 | 14.1 ± 0.1 | - | [6,23,31,32] |
| 4-Heptenal | - | 878 | 3.25 ± 0.55 | 2.43 a | - | [2,23,27,29] |
| Heptanal | Fresh, fatty, green, grass | 880 | 11.9 ± 0.1 | 12.6 ± 0.2 | 13.9 ± 0.07 | [6,10,23,27] |
| (E,E)-2,4-Hexadienal | Green, fruity, citrus, waxy | 890 | 3.36 a | 5.41 ± 0.06 | - | [10,23] |
| (E)-2-Heptenal | Green, fatty, oily, fruity | 923 | 18.7 ± 0.2 | 29.0 ± 0.4 | - | [23,29,31,32] |
| Octanal | Orange, waxy, green peel | 954 | 7.35 a | 22.0 ± 0.3 | 13.3 ± 0.1 | [10,23,31,32] |
| (E,E)-2,4-Heptadienal | Fatty, sweet, melon, spicy | 963 | 10.9 ± 0.3 | 8.04 ± 0.08 | - | [10,23,31,32] |
| Benzeneacetaldehyde | Honey, sweet, rose, floral | 994 | 64.7 ± 0.5 | 41.1 ± 0.4 | - | [26,29] |
| (E)-4-Nonenal | Fruity | 1017 | 18.1 ± 0.4 | - | - | [6,10,23,29] |
| Nonanal | Waxy, citrus, cucumber | 1023 | 74.2 ± 0.5 | 70.9 ± 0.6 | 12.9 ± 0.2 | [2,6,23,33] |
| (Z,Z)-3,6-Nonadienal | Fresh-cut watermelon | 1046 | 7.88 + 0.06 | - | - | [26,30,32,34] |
| (Z)-2-Nonenal | Cucumber, fatty, waxy | 1052 | 6.91 ± 0.06 | - | - | [2,6,30,34] |
| (E,E)-2,6-Nonadienal | Melon, cucumber, fatty | 1054 | 4.47 a | - | - | [6,10,27] |
| (E,Z)-2,6-Nonadienal | Cucumber, melon, green | 1059 | 237 ± 0.5 | 21.7 ± 0.3 | - | [2,23,29,32] |
| (E)-2-Nonenal | Fatty, green, melon | 1062 | 266 ± 0.6 | 23.4 ± 0.2 | - | [2,28,29,32] |
| Decanal | Zest, waxy, orange, floral | 1090 | 19.7 ± 0.2 | 11.7 ± 0.2 | - | [6,10,23] |
| (E,E)-2,4-Nonadienal | Cucumber, melon, waxy | 1101 | 6.56 ± 0.1 | 6.64 ± 0.07 | - | [6,10,23,30] |
| (E)-2-Decenal | Waxy, fatty, earthy | 1128 | 8.67 a | 15.0 ± 0.1 | - | [6,10,29,33] |
| (E,Z)-2,4-Decadienal | Fatty, orange, citrus, fresh | 1165 | 4.66 a | - | - | [6,23,26,32] |
| Dodecanal | Soapy, waxy, citrus, floral | 1214 | 2.36 ± 0.06 | - | - | [6] |
| WDF_t0 | WDF_t1 | WDF_t2 | ||||
|---|---|---|---|---|---|---|
| Analyte | Aroma | LRI | Area (×106) | Area (×106) | Area (×106) | Ref |
| Acetone | Solvent, apple, pear | 495 | 31.1 ± 0.2 | 32.5 ± 0.3 | 166 ± 0.5 | - |
| 3-Methyl-2-butanone | Camphor | 588 | 6.14 a | 6.43 a | - | - |
| 1-Penten-3-one | Pepper, mustard, onion | 689 | 45.0 ± 0.3 | 52.7 ± 0.4 | - | [23,26,29,39] |
| 2,3-Pentanedione | Buttery, toasted, caramelized | 698 | 4.20 a | 2.83 a | - | [23,26] |
| Acetoin | Sweet, milk, buttery, creamy, | 713 | 15.0 ± 0.3 | 4.90 a | - | [10] |
| 3-Penten-2-one | Bitter, fruity | 742 | - | 2.58 a | - | - |
| 1-(1-Cyclohexen-1-yl)-ethanone | - | 869 | 6.57 a | 17.3 ± 0.2 | 14.5 ± 0.2 | - |
| 3,5-Octadien-2-one (E,Z) | Fatty fruity, green hay | 1000 | 14.1 ± 0.2 | 37.9 ± 0.2 | - | [26,37] |
| 3,5-Octadien-2-one (E,E) | Fruity, green, grassy | 1018 | 6.21 a | 23.4 ± 0.3 | - | [26] |
| 2-Cyclopenten-1-one | - | 1065 | - | 8.49 ± 0.06 | - | - |
| WDF_t0 | WDF_t1 | WDF_t2 | ||||
|---|---|---|---|---|---|---|
| Analyte | Aroma | LRI | Area (×106) | Area (×106) | Area (×106) | Ref |
| Ethanol | Alcoholic | 466 | 22.5 ± 0.2 | 2.16 a | - | [26,27,31,32] |
| 2-Methyl-3-buten-2-ol | Grass, earthy, oily | 613 | 1.81 a | 1.67 a | 39.4 ± 0.1 | - |
| 1-Penten-3-ol | Horseradish, green, fruity | 686 | 35.8 ± 0.2 | 10.4 ± 0.3 | - | [6,23,27,31] |
| 2-Methyl-1-butanol | Alcohol, fatty, wine | 741 | 3.59 a | - | - | [6,26,31,32] |
| 1-Pentanol | Fermented, yeast | 765 | 29.8 ± 0.08 | 22.1 ± 0.3 | 62.8 ± 0.4 | [6,25,26,27] |
| 2-Penten-1-ol (Z) | Green, phenolic, ethereal | 768 | 41.8 ± 0.2 | 7.84 ± 0.06 | - | [23,27,29,31] |
| 2,3-Butandiol | Fruity, creamy, buttery | 777 | 4.21 a | 2.80 a | - | - |
| 2,5-Dimethyl-1,5-hexadien-3-ol | - | 839 | 11.2 ± 0.3 | 7.40 a | 6.89 ± 0.06 | - |
| 1-Hexanol | Pungent, oleic, fruity, alcoholic | 851 | 3.67 a | 2.17 a | - | [2,6,23,32] |
| 1-Heptanol | Must, pungent, green, fruity | 926 | - | 10.1 ± 0.1 | - | [2,23,26] |
| 1-Octen-3-ol | Mushroom, earthy, green | 936 | 23.6 ± 0.2 | 21.5 ± 0.1 | 19.2 ± 0.1 | [23,29,31,32] |
| 2-Methyl-6-hepten-1-ol | - | 944 | - | - | 11.1 ± 0.1 | - |
| Benzyl alcohol | Sweet, floral, fruity | 983 | - | 20.2 ± 0.1 | 5.97 a | [23,26,28,32] |
| 1-Octanol | Waxy, green, citrus, floral | 997 | 15.2 ± 0,1 | 32.3 ± 0.3 | - | [23,27,29,31] |
| 2,6-Dimethylcyclohexanol | - | 1044 | 132 ± 0.5 | 37.3 ± 0.2 | 28.2 ± 0.1 | - |
| 2,6-Nonadien-1-ol | Cucumber, green | 1051 | 10.3 ± 0.2 | - | - | [29,31,32,33] |
| 6-Nonen-1-ol | Green, melon, cucumber | 1056 | 11.2 ± 0.1 | - | - | [2,23,27,32] |
| 3,4-Dimethylcyclohexanol | - | 1129 | 22.0 ± 0.3 | 6.11 a | - | - |
| WDF_t0 | WDF_t1 | WDF_t2 | ||||
|---|---|---|---|---|---|---|
| Analyte | Aroma | LRI | Area (×106) | Area (×106) | Area (×106) | Ref |
| Acetic acid | Vinegar, acid, pungent, strong | 598 | 21.8 ± 0.1 | 210 ± 0.5 | 283 ± 0.4 | [10] |
| Propanoic acid | Vinegar, cheese, acid, pungent | 680 | - | 13.8 ± 0.1 | - | - |
| Propanoic anhydride | - | 688 | - | - | 113 ± 0.2 | - |
| 3-Methyl-butanoic acid | - | 817 | - | 9.2 ± 0.06 | 21.8 ± 0.1 | - |
| 2-Methyl-butanoic acid | - | 824 | - | 2.40 a | 7.22 ± 0.07 | - |
| Butanoic acid | Bitter, milk, buttery, fruity | 849 | - | 21.1 ± 0.1 | 38.2 ± 0.1 | - |
| Hexanoic acid | - | 923 | 11.7 ± 0.2 | 69.1 ± 0.3 | 176 ± 0.3 | - |
| Octanoic acid | - | 1050 | - | 9.94 ± 0.08 | 4.90 a | - |
| WDF_t0 | WDF_t1 | WDF_t2 | ||||
|---|---|---|---|---|---|---|
| Analyte | Aroma | LRI | Area (×106) | Area (×106) | Area (×106) | Ref |
| Isopropyl formate | Ethereal, solvent, cocoa | 739 | - | 0.97 a | - | - |
| 3-Methylcyclopentyl acetate | - | 883 | 50.6 ± 0.3 | 141 ± 0.5 | 77.5 ± 0.4 | - |
| Methyl hexanoate | Fruit, pineapple, apricot, banana | 892 | - | - | 20.8 ± 0.2 | [2,26] |
| WDF_t0 | WDF_t1 | WDF_t2 | ||||
|---|---|---|---|---|---|---|
| Analyte | Aroma | LRI | Area (×106) | Area (×106) | Area (×106) | Ref |
| 3-Ethyl-2-methyl-1,3-hexadiene | - | 986 | 69.7 ± 0.4 | 16.0 ± 0.1 | 20.2 ± 0.2 | [26] |
| 4,5-Dimethyl nonane | - | 1159 | 7.77 ± 0.07 | - | ||
| Octadecane | - | 1170 | 3.44 a | - | - | [26,32,41] |
| Tetradecane | Waxy, soft | 1204 | 2.20 a | 40.8 ± 0.2 | - | [26,41] |
| 1-Tridecene | - | 1248 | 24.5 ± 0.3 | 9.63 ± 0.06 | - | - |
| Heicosane | Waxy | 1256 | 1.82 a | - | - | [41] |
| Heneicosane | Waxy | 1279 | 1.77 a | - | - | [32,41] |
| WDF_t0 | WDF_t1 | WDF_t2 | ||||
|---|---|---|---|---|---|---|
| Analyte | Aroma | LRI | Area (×106) | Area (×106) | Area (×106) | Ref |
| 6-Methyl-5-hepten-2-one | Fruity, apple, moldy, cream | 940 | 810 ± 0.6 | 240 ± 0.6 | 236 ± 0.3 | [2,4,6,26] |
| β-Terpinene | - | 944 | 22.8 ± 0.2 | - | - | [41] |
| Isoterpinelene | - | 693 | - | - | 3.99 a | [41] |
| γ-Terpinene | Terpenic, sweet, citrus, tropical | 970 | 2.52 a | - | - | [41] |
| Cymene | Bitter, woody, terpenic, citrus | 979 | 10.5 ± 0.07 | - | - | [50] |
| Limonene | Citrus, orange, sweet, fresh | 984 | 1330 ± 0.8 | - | - | [6,10,26,41] |
| 2,2,6-Trimethyl-cyclohexanone | Pungent, honey | 989 | - | - | 21.0 ± 0.2 | [4] |
| Citronellol | Floral, rose, sweet, citrus | 990 | 37.8 ± 0.1 | 13.3 ± 0.2 | - | - |
| Linalool oxide | Woody, nuance, floral, green | 1010 | 5.18 a | 6.52 ± 0.06 | 6.78 ± 0.07 | [41] |
| Linalool | Citrus, orange, floral, waxy | 1021 | 26.7 ± 0.1 | - | - | [41] |
| 6-methyl-3,5-Heptadien-2-one | Sweet, green, spicy, fresh | 1025 | 22.8 ± 0.1 | 41.1 ± 0.1 | 18.1 ± 0.2 | - |
| Isocitral | - | 1073 | 8.14 ± 0.09 | - | - | - |
| Borneol | Balsamic, woody, camphor | 1084 | 18.0 ± 0.1 | 14.8 ± 0.1 | - | - |
| α-Terpineol | Pine, woody, resinous, citrus | 1097 | 5.82 a | - | - | [41] |
| 5-Isopropenyl-2-methylcyclopent-1-enecarboxaldehyde | - | 1106 | 16.9 ± 0.2 | 18.2 ± 0.1 | - | - |
| 2,3-Epoxygeranial | - | 1110 | 61.0 ± 0.3 | 40.9 ± 0.3 | - | [4,25] |
| β-Cyclocitral | Saffron, tropical, grass, rose | 1116 | - | - | 3.32 a | [3,4,41] |
| β-Citral | Fresh, lemon, sweet, green | 1116 | 85.4 ± 0.4 | 21.6 ± 0.2 | - | [29,31,48] |
| 1,4-Dimethyl-3-cyclohexene-1-carboxaldehyde | - | 1121 | 7.59 ± 0.06 | 15.5 ± 0.1 | - | - |
| α-Citral | Tea, refreshing, mint, fruity | 1132 | 89.8 ± 0.3 | 24.1 ± 0.3 | - | [25,31,32] |
| β-Homocyclocitral | Camphor, fresh, fruity | 1140 | 4.72 a | - | - | [41] |
| Isopulegol | Mint, refreshing, woody, grass | 1154 | 8.34 ± 0.06 | - | - | - |
| Isocitral | - | 1180 | 2.23 a | - | - | - |
| Cubebene | Grass, waxy | 1217 | 1.38 a | - | - | - |
| Geranylacetone | Rose, fresh, leaf, floral, green | 1237 | 181 ± 0.5 | 104 ± 0.5 | 2.36 a | [3,4,29] |
| β-Ionone | Sweet, wood, violet, fruity | 1266 | 35.8 ± 0.1 | 31.2 ± 0.3 | 0.93 a | [27,32,41] |
| 5,6-β-Ionone epoxide | Fruity, sweet, woody, violet | 1269 | 5.78 a | 34.4 ± 0.2 | 4.19 a | [31,32,33] |
| Carvone oxide | Mint, green | 1298 | - | 4.26 a | - | - |
| Pseudoionone | Sweet, waxy, citrus, floral | 1307 | - | 4.79 a | - | [3,48] |
| Dihydroactinidiolide | Apricot, red fruit, wood | 1309 | 7.65 ± 0.07 | 44.7 ± 0.1 | 22.0 ± 0.1 | [4,41,48] |
| WDF_t0 | WDF_t1 | WDF_t2 | ||||
|---|---|---|---|---|---|---|
| Analyte | Aroma | LRI | Area (×106) | Area (×106) | Area (×106) | Ref |
| 2-Methylfuran | Ethereal, vinegar, chocolate | 604 | 1.83 a | 2.26 a | - | - |
| 3-Methylfuran | - | 615 | 2.05 a | 1.44 a | - | - |
| 2-Ethylfuran | Sweet, malty, earthy | 706 | 3.49 a | 4.18 a | - | [23] |
| Dimethyl disulfide | Cabbage, vegetable, onion | 757 | - | - | 12.8 ± 0.2 | - |
| Furfural | Sweet, brown, woody, bread | 829 | - | - | 8.98 ± 0.08 | [29] |
| Methional | Tomato, potatoes, yeast | 887 | 7.81 ± 0.06 | - | - | - |
| 2,4-Dimethylphenol | Dark, roast, smoked | 905 | 4.89 a | 6.94 ± 0.07 | - | - |
| 2-Pentylfuran | Green, waxy, caramel | 947 | 76.1 ± 0.3 | 29.5 ± 0.2 | 4.96 a | [6,10,32] |
| 2-(2-Pentenyl)furan | - | 953 | 23.3 ± 0.2 | - | - | [29] |
| 3,4-Dimethyl-2,5-furandione | - | 978 | - | 29.7 ± 0.1 | 16.9 ± 0.1 | - |
| 5-Ethyldihydro-2(3H)-furanone | Creamy, fatty, fruity, coconut | 996 | - | - | 15.9 ± 0.2 | - |
| 5-Hydroxy-2-Methyl-3-esenoic acid | - | 1193 | 4.38 a | 17.7 ± 0.1 | - | - |
| 5-Heptyldihydro-2(3H)-furanone | - | 1196 | 2.16 a | 3.43 a | - | - |
| 2-Methyl propanoic acid, 3-Hydroxy-2,2,4-trimethylpentyl ester | - | 1202 | 5.87 ± 0.06 | 25.4 ± 0.3 | 2.14 a | - |
| Compound Class | WDF_t0 TIC Area ×106 | WDF_t1 TIC Area ×106 | WDF_t2 TIC Area ×106 | p-Value |
|---|---|---|---|---|
| ALC | 369.2 ± 1.0 | 184.1 ± 1.6 | 173.6 ± 1.0 | p < 0.05 |
| EST | 50.6 a | 142.0 ± 0.6 | 98.3 ± 0.5 | p < 0.05 |
| KET | 128.3 ± 0.5 | 189.0 ± 0.9 | 181.0 ± 0.7 | p < 0.05 |
| OTH | 131.9 ± 0.7 | 120.6 ± 0.7 | 61.7 ± 0.6 | p < 0.05 |
| AHA | 111.2 ± 0.8 | 66.4 a | 20.2 a | p < 0.05 |
| ALD | 1109 ± 3 | 608.5 ± 2.3 | 940.4 ± 1.9 | p < 0.05 |
| ACD | 33.5 a | 335.6 ± 1.2 | 644.2 ± 1.1 | p < 0.05 |
| TER | 2807 ± 1 | 659.2 ± 1.8 | 318.7 ± 1.0 | p < 0.05 |
Disclaimer/Publisher’s Note: The statements, opinions and data contained in all publications are solely those of the individual author(s) and contributor(s) and not of MDPI and/or the editor(s). MDPI and/or the editor(s) disclaim responsibility for any injury to people or property resulting from any ideas, methods, instructions or products referred to in the content. |
© 2023 by the authors. Licensee MDPI, Basel, Switzerland. This article is an open access article distributed under the terms and conditions of the Creative Commons Attribution (CC BY) license (https://creativecommons.org/licenses/by/4.0/).
Share and Cite
D’Eusanio, V.; Maletti, L.; Marchetti, A.; Roncaglia, F.; Tassi, L. Volatile Aroma Compounds of Gavina® Watermelon (Citrullus Lanatus L.) Dietary Fibers to Increase Food Sustainability. AppliedChem 2023, 3, 66-88. https://doi.org/10.3390/appliedchem3010006
D’Eusanio V, Maletti L, Marchetti A, Roncaglia F, Tassi L. Volatile Aroma Compounds of Gavina® Watermelon (Citrullus Lanatus L.) Dietary Fibers to Increase Food Sustainability. AppliedChem. 2023; 3(1):66-88. https://doi.org/10.3390/appliedchem3010006
Chicago/Turabian StyleD’Eusanio, Veronica, Laura Maletti, Andrea Marchetti, Fabrizio Roncaglia, and Lorenzo Tassi. 2023. "Volatile Aroma Compounds of Gavina® Watermelon (Citrullus Lanatus L.) Dietary Fibers to Increase Food Sustainability" AppliedChem 3, no. 1: 66-88. https://doi.org/10.3390/appliedchem3010006
APA StyleD’Eusanio, V., Maletti, L., Marchetti, A., Roncaglia, F., & Tassi, L. (2023). Volatile Aroma Compounds of Gavina® Watermelon (Citrullus Lanatus L.) Dietary Fibers to Increase Food Sustainability. AppliedChem, 3(1), 66-88. https://doi.org/10.3390/appliedchem3010006

