Environmental Heterogeneity of Conservation Units in the Amazon Ensures High Contribution to Phytoplankton Beta Diversity in Streams
Abstract
1. Introduction
2. Materials and Methods
2.1. Study Area
2.2. Sampling
2.2.1. Environmental Variables
2.2.2. Microphytoplankton
2.2.3. Data Analysis
3. Results
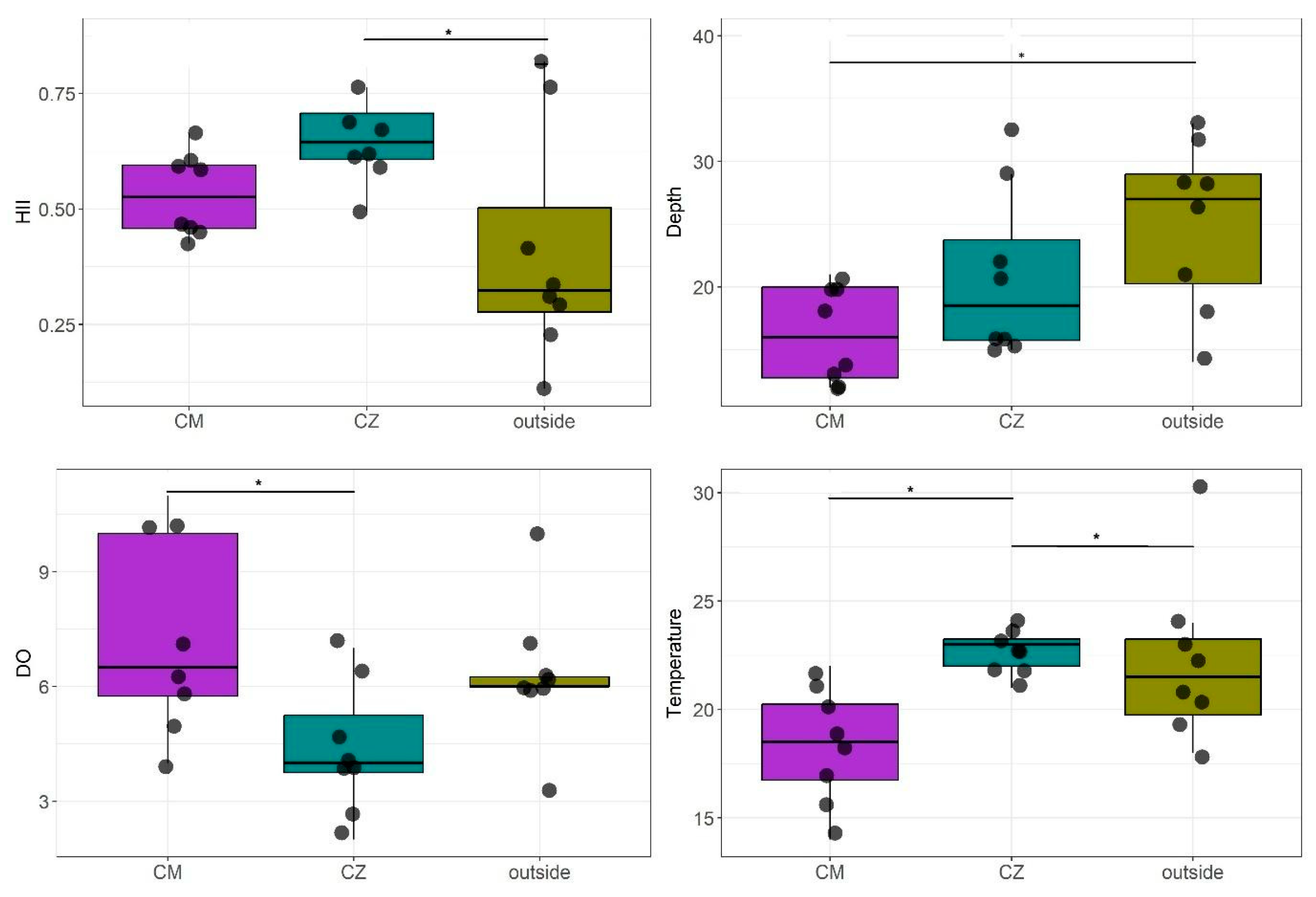
3.1. Spatial Structure of Environmental Variables
3.2. Spatial Distribution of the Phytoplankton Community in Streams
3.3. Contribution of Streams and Taxa to Beta Diversity
4. Discussion
4.1. Environmental Heterogeneity
4.2. Phytoplankton Community of Amazonian Streams
4.3. Contribution of Streams and Species to Beta Diversity
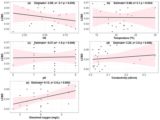
4.4. Environmental Variables and Phytoplankton Communities
5. Conclusions
Supplementary Materials
Author Contributions
Funding
Institutional Review Board Statement
Data Availability Statement
Acknowledgments
Conflicts of Interest
References
- Pimm, S.L.; Jenkins, C.N.; Abell, R.; Brooks, T.M.; Gittleman, J.L.; Joppa, L.N.; Raven, P.H.; Roberts, C.M.; Sexton, J.O. The Biodiversity of Species and Their Rates of Extinction, Distribution, and Protection. Science 2014, 344, 1246752. [Google Scholar] [CrossRef] [PubMed]
- Van Der Hoek, Y. The Potential of Protected Areas to Halt Deforestation in Ecuador. Environ. Conserv. 2017, 44, 124–130. [Google Scholar] [CrossRef]
- Montag, L.F.A.; Leão, H.; Benone, N.L.; Monteiro-Júnior, C.S.; Faria, A.P.J.; Nicacio, G.; Ferreira, C.P.; Garcia, D.H.A.; Santos, C.R.M.; Pompeu, P.S.; et al. Contrasting Associations between Habitat Conditions and Stream Aquatic Biodiversity in a Forest Reserve and Its Surrounding Area in the Eastern Amazon. Hydrobiologia 2019, 826, 263–277. [Google Scholar] [CrossRef]
- Rodrigues, F.B.; Alexandre, R.J.R.; Pena, S.A.; Correia, L.L.; Vieira, T.B. Conservation Gaps for Brazilian Bats, Limited Protection across Conservation Units and the Importance of the Indigenous Lands. Sci. Rep. 2024, 14, 23183. [Google Scholar] [CrossRef]
- Oliveira, U.; Soares-Filho, B.S.; Paglia, A.P.; Brescovit, A.D.; De Carvalho, C.J.B.; Silva, D.P.; Rezende, D.T.; Leite, F.S.F.; Batista, J.A.N.; Barbosa, J.P.P.P.; et al. Biodiversity Conservation Gaps in the Brazilian Protected Areas. Sci. Rep. 2017, 7, 9141. [Google Scholar] [CrossRef]
- Brasil Lei No 9.985; Lei n° 9.985 de 18 de Julho de 2000; Sistema Nacional de Unidades de Conservação: Brasília, Brasil, 2000.
- Gatiso, T.T.; Kulik, L.; Bachmann, M.; Bonn, A.; Bösch, L.; Freytag, A.; Heurich, M.; Wesche, K.; Winter, M.; Ordaz-Németh, I.; et al. Sustainable Protected Areas: Synergies between Biodiversity Conservation and Socioeconomic Development. People Nat. 2022, 4, 893–903. [Google Scholar] [CrossRef]
- Messager, M.L.; Lehner, B.; Cockburn, C.; Lamouroux, N.; Pella, H.; Snelder, T.; Tockner, K.; Trautmann, T.; Watt, C.; Datry, T. Global Prevalence of Non-Perennial Rivers and Streams. Nature 2021, 594, 391–397. [Google Scholar] [CrossRef]
- Falkowski, P.G.; Katz, M.E.; Knoll, A.H.; Quigg, A.; Raven, J.A.; Schofield, O.; Taylor, F.J.R. The Evolution of Modern Eukaryotic Phytoplankton. Science 2004, 305, 354–360. [Google Scholar] [CrossRef]
- Moiseenko, T.I.; Bazova, M.M.; Dinu, M.I.; Gashkina, N.A.; Kudryavtseva, L.P. Changes in the Geochemistry of Land Waters at Climate Warming and a Decrease in Acid Deposition: Recovery of the Lakes or Their Evolution? Geochem. Int. 2022, 60, 685–701. [Google Scholar] [CrossRef]
- Ferreira, V.R.S.; Cunha, E.J.; Calvão, L.B.; Luiza-Andrade, A.; de Resende, B.O.; de Carvalho, F.G.; Bomfim, F.d.F.; Fares, A.L.B.; Cabral, G.S.; Lima, M.; et al. Amazon Streams Impacted by Bauxite Mining Present Distinct Local Contributions to the Beta Diversity of Aquatic Insects, Fish, and Macrophytes. Sci. Total Environ. 2024, 955, 177292. [Google Scholar] [CrossRef]
- Bomfim, F.F.; Fares, A.L.B.; Melo, D.G.L.; Vieira, E.; Michelan, T.S. Land Use Increases Macrophytes Beta Diversity in Amazon Streams by Favoring Amphibious Life Forms Species. Community Ecol. 2023, 24, 159–170. [Google Scholar] [CrossRef]
- de Paiva, C.K.S.; de Faria, A.P.J.; Calvão, L.B.; Juen, L. Effect of Oil Palm on the Plecoptera and Trichoptera (Insecta) Assemblages in Streams of Eastern Amazon. Environ. Monit. Assess. 2017, 189, 393. [Google Scholar] [CrossRef] [PubMed]
- Li, H.; Reynolds, J.F. FORUM and Quantification on Definition. Oikos 1995, 73, 280–284. [Google Scholar] [CrossRef]
- Heino, J.; Melo, A.S.; Siqueira, T.; Soininen, J.; Valanko, S.; Bini, L.M. Metacommunity Organisation, Spatial Extent and Dispersal in Aquatic Systems: Patterns, Processes and Prospects. Freshw. Biol. 2015, 60, 845–869. [Google Scholar] [CrossRef]
- MacArthur, R. On the Relative Abundance of Species. Am. Nat. 1960, 94, 25–36. [Google Scholar] [CrossRef]
- Cardinale, B.J. Biodiversity Improves Water Quality through Niche Partitioning. Nature 2011, 472, 86–91. [Google Scholar] [CrossRef]
- Nessimian, J.L.; Venticinque, E.M.; Zuanon, J.; De Marco, P.; Gordo, M.; Fidelis, L.; D’arc Batista, J.; Juen, L. Land Use, Habitat Integrity, and Aquatic Insect Assemblages in Central Amazonian Streams. Hydrobiologia 2008, 614, 117–131. [Google Scholar] [CrossRef]
- Espinosa, A.C.E.; Cunha, E.J.; Shimano, Y.; Rolim, S.; Mioli, L.; Juen, L.; Dunck, B. Functional Diversity of Mayflies (Ephemeroptera, Insecta) in Streams in Mining Areas Located in the Eastern Amazon. Hydrobiologia 2023, 850, 929–945. [Google Scholar] [CrossRef]
- Alves-Martins, F.; Calatayud, J.; Medina, N.G.; De Marco, P.; Juen, L.; Hortal, J. Drivers of Regional and Local Diversity of Amazonian Stream Odonata. Insect Conserv. Divers. 2019, 12, 251–261. [Google Scholar] [CrossRef]
- Leão, H.; Siqueira, T.; Raiol, N.; Fogaça, L.; Montag, D.A. Ecological Uniqueness of Fi Sh Communities from Streams in Modi Fi Ed Landscapes of Eastern Amazonia. Ecol. Indic. 2020, 111, 106039. [Google Scholar] [CrossRef]
- França, A.A.; Dunck, B.; Rodrigues, L.; Fonseca, B.M.; Felisberto, S.A. Periphytic Diatoms (Bacillariophyta) in Streams from Three Conservation Units of Central Brazil: Pinnularia Ehrenberg. Hoehnea 2017, 44, 524–538. [Google Scholar] [CrossRef]
- Kruk, C. Classification Schemes for Phytoplankton: A Local Validation of a Functional Approach to the Analysis of Species Temporal Replacement. J. Plankton Res. 2002, 24, 901–912. [Google Scholar] [CrossRef]
- Schneck, F.; Bini, L.M.; Melo, A.S.; Petsch, D.K.; Saito, V.S.; Wengrat, S.; Siqueira, T. Catchment Scale Deforestation Increases the Uniqueness of Subtropical Stream Communities. Oecologia 2022, 199, 671–683. [Google Scholar] [CrossRef] [PubMed]
- Zeng, C.; Xing, R.; Huang, B.; Cheng, X.; Shi, W.; Liu, S. Phytoplankton in Headwater Streams: Spatiotemporal Patterns and Underlying Mechanisms. Front. Plant Sci. 2023, 14, 1276289. [Google Scholar] [CrossRef]
- Piirsoo, K.; Vilbaste, S.; Truu, J.; Pall, P.; Trei, T.; Tuvikene, A.; Viik, M. Origin of Phytoplankton and the Environmental Factors Governing the Structure of Microalgal Communities in Lowland Streams. Aquat. Ecol. 2007, 41, 183–194. [Google Scholar] [CrossRef]
- Borics, G.; Tóthmérész, B.; Lukács, B.A.; Várbíró, G. Functional Groups of Phytoplankton Shaping Diversity of Shallow Lake Ecosystems. Hydrobiologia 2012, 698, 251–262. [Google Scholar] [CrossRef]
- Schwaderer, A.S.; Yoshiyama, K.; De Tezanos Pinto, P.; Swenson, N.G.; Klausmeier, C.A.; Litchman, E. Eco-Evolutionary Differences in Light Utilization Traits and Distributions of Freshwater Phytoplankton. Limnol. Oceanogr. 2011, 56, 589–598. [Google Scholar] [CrossRef]
- Lampert, W.; Sommer, U. Limnoecology: The Ecology of Lakes and Streams. J. Plankton Res. 2008, 30, 489–490. [Google Scholar] [CrossRef]
- Reynolds, C.S. Hydroecology of River Plankton the Role of Variability in Channel Flow. Hydrol. Process. 2000, 14, 3119–3132. [Google Scholar] [CrossRef]
- Legendre, P.; De Cáceres, M. Beta Diversity as the Variance of Community Data: Dissimilarity Coefficients and Partitioning. Ecol. Lett. 2013, 16, 951–963. [Google Scholar] [CrossRef]
- Heino, J.; Grönroos, M. Exploring Species and Site Contributions to Beta Diversity in Stream Insect Assemblages. Oecologia 2017, 183, 151–160. [Google Scholar] [CrossRef] [PubMed]
- Rolls, R.J.; Deane, D.C.; Johnson, S.E.; Heino, J.; Anderson, M.J.; Ellingsen, K.E. Biotic Homogenisation and Differentiation as Directional Change in Beta Diversity: Synthesising Driver—Response Relationships to Develop Conceptual Models across Ecosystems. Biol. Rev. 2023, 98, 1388–1423. [Google Scholar] [CrossRef] [PubMed]
- Olden, J.D. Biotic Homogenization: A New Research Agenda for Conservation Biogeography. J. Biogeogr. 2006, 33, 2027–2039. [Google Scholar] [CrossRef]
- Petsch, D.K. Causes and Consequences of Biotic Homogenization in Freshwater Ecosystems. Int. Rev. Hydrobiol. 2016, 101, 113–122. [Google Scholar] [CrossRef]
- Brito, M.T.d.S.; Heino, J.; Pozzobom, U.M.; Landeiro, V.L. Ecological Uniqueness and Species Richness of Zooplankton in Subtropical Floodplain Lakes. Aquat. Sci. 2020, 82, 43. [Google Scholar] [CrossRef]
- Leibold, M.A.; Holyoak, M.; Mouquet, N.; Amarasekare, P.; Chase, J.M.; Hoopes, M.F.; Holt, R.D.; Shurin, J.B.; Law, R.; Tilman, D.; et al. The Metacommunity Concept: A Framework for Multi-Scale Community Ecology. Ecol. Lett. 2004, 7, 601–613. [Google Scholar] [CrossRef]
- Thomaz, S.M.; Bini, L.M.; Bozelli, R.L. Floods Increase Similarity among Aquatic Habitats in River-Floodplain Systems. Hydrobiologia 2007, 579, 1–13. [Google Scholar] [CrossRef]
- Ortega, J.C.G.; Thomaz, S.M.; Bini, L.M. Experiments Reveal That Environmental Heterogeneity Increases Species Richness, but They Are Rarely Designed to Detect the Underlying Mechanisms. Oecologia 2018, 188, 11–22. [Google Scholar] [CrossRef]
- Vannote, R.L.; Minshall, G.W.; Cummins, K.W.; Sedell, J.R.; Cushing, C.E. The River Continuum Concept. Aquat. Sci. 1980, 37, 130–137. [Google Scholar] [CrossRef]
- IBGE. Vegetação Por Estado Acre. Available online: https://www.ibge.gov.br/geociencias/informacoes-ambientais/vegetacao/22460-vegetacao-por-estado.html (accessed on 7 April 2025).
- Peel, M.C.; Finlayson, B.L.; McMahon, T.A. Updated World Map of the Köppen-Geiger Climate Classificatio. Permafr. Periglac. Process. 2007, 13, 1633–1644. [Google Scholar] [CrossRef]
- INPE. Instituto Nacional de Pesquisas Espaciais—INPE. Available online: https://www.gov.br/inpe/pt-br (accessed on 10 December 2024).
- Moran, P.A.P. Notes on Continuous Stochastic Phenomena. Biometrika 1950, 37, 17–23. [Google Scholar] [CrossRef]
- Peck, D.V.; Herlihy, A.T.; Hill, B.H.; Hughes, R.M.; Kaufmann, P.R.; Klemm, D.J.; Lazorchak, J.M.; McCormick, F.H.; Peterson, S.A.; Ringold, P.L.; et al. Environmental Monitoring and Assessment Program-Surface Waters Western Pilot Study: Field Operations Manual for Wadeable Streams; United States Environmental Protection Agency: Washington, DC, USA, 2006.
- Utermöhl, H. Zur Vervollkommnung Der Quantitativen Phytoplankton-Methodik. Int. Ver. Theor. Angew. Limnol. Mitt. 1958, 9, 1–38. [Google Scholar] [CrossRef]
- Lund, J.; Kipling, C.; Le Cren, E. The Inverted Microscope Method of Estimating Algal Numbers and the Statistical Basis of Estimations by Counting. Hydrobiologia 1958, 11, 143–170. [Google Scholar] [CrossRef]
- APHA Standard Methods for the Examination of Water and Wastewater, 21st ed.; American Public Health Association; American Water Works Association: Washington, DC, USA, 2005.
- Hillebrand, H. Biovolume Calculation for Palagic and Benthic Microalgae. J. Phycol. 1999, 424, 403–424. [Google Scholar] [CrossRef]
- van den Hoek, C.; Mann, D.G. Algae. An Introduction to Phycology; Cambridge University Press: Cambridge, UK, 1995; ISBN 0-521-30419-9. [Google Scholar]
- Anderson, M.J. A New Method for Non-Parametric Multivariate Analysis of Variance. Austral Ecol. 2001, 26, 32–46. [Google Scholar]
- Nielsen, S.N. Numerical Ecology. Legendre P. and Legendre L., second ed., Elsevier, Amsterdam, p. 853, 1998. Ecol. Modell. 2000, 132, 303–304. [Google Scholar] [CrossRef]
- Zeileis, A.; Cribari-Neto, F.; Gruen, B.; Kosmidis, I.; Simas, A.B.; Rocha, A.V. Betareg: Beta Regression. 2013. Available online: https://cran.r-project.org/web/packages/betareg/index.html (accessed on 20 February 2022).
- Guisan, A.; Edwards, T.C., Jr.; Hastie, T. Effect of Boundary Layer Conductance on the Response of Stomata to Humidity. Ecol. Modell. 2002, 8, 89–100. [Google Scholar] [CrossRef]
- Sackett, L.C. Does the Host Matter? Variable Influence of Host Traits on Parasitism Rates. Int. J. Parasitol. 2018, 48, 27–39. [Google Scholar] [CrossRef]
- R: A Language and Environment for Statistical Computing; R Core Team: Vienna, Austria, 2020.
- Oksanen, J. Vegan: Ecological Diversity. R Proj. 2013, 368, 1–11. [Google Scholar]
- Anderson, M.J. Permutational Multivariate Analysis of Variance (PERMANOVA); John Wiley & Sons, Ltd.: Hoboken, NJ, USA, 2017; pp. 1–15. [Google Scholar] [CrossRef]
- de Souza, J.C.; Cana Verde, B.S.; de Santana, R.O.; da Silva, D.M.L. Importance of Conservation Units in the Biogeochemistry of Cerrado Streams. J. South Am. Earth Sci. 2024, 135, 104803. [Google Scholar] [CrossRef]
- Brasil. Resolução CONAMA No 357. 2005; pp. 58–63. Available online: https://conama.mma.gov.br/?option=com_sisconama&task=arquivo.download&id=450 (accessed on 10 February 2022).
- Wang, F.; Tian, S.; Yan, W. Unveiling the Temporal Variability of Gas Transfer Coefficients of Streams Based on High-Frequency Dissolved Oxygen Measurements. Environ. Res. 2024, 262, 119939. [Google Scholar] [CrossRef]
- Sø, J.S.; Kragh, T.; Sand-Jensen, K.; Martinsen, K.T. Environmental Drivers and Sources of Stream Oxygen Consumption in an Agricultural Lake Catchment. Ecol. Eng. 2022, 176, 106516. [Google Scholar] [CrossRef]
- Cooper, C.M. Biological Effects of Agriculturally Derived Surface Water Pollutants on Aquatic Systems—A Review. J. Environ. Qual. 1993, 22, 402–408. [Google Scholar] [CrossRef]
- Kumaraswamy, T.R.; Javeed, S.; Javaid, M.; Naika, K. Impact of Pollution on Quality of Freshwater Ecosystems. In Fresh Water Pollution Dynamics and Remediation; Springer: Singapore, 2020; pp. 69–81. [Google Scholar] [CrossRef]
- Sierra, M.V.; Gomez, N. Structural Characteristics and Oxygen Consumption of the Epipelic Biofilm in Three Lowland Streams Exposed to Different Land Uses. Water Air Soil Pollut. 2007, 186, 115–127. [Google Scholar] [CrossRef]
- Castello, L.; Mcgrath, D.G.; Hess, L.L.; Coe, M.T.; Lefebvre, P.A.; Petry, P.; Macedo, M.N.; Ren, V.F.; Arantes, C.C. The Vulnerability of Amazon Freshwater Ecosystems. Conserv. Lett. 2013, 217–229. [Google Scholar] [CrossRef]
- Blinn, D.W.; Bailey, P.C.E. Land-Use Influence on Stream Water Quality and Diatom Communities in Victoria, Australia: A Response to Secondary Salinization. Hydrobiologia 2001, 466, 231–244. [Google Scholar] [CrossRef]
- Allan, J.D.; Arbor, A.; Allan, J.D. Landscapes and Riverscapes: The Influence of Land Use on Stream Ecosystems. Annu. Rev. Ecol. Evol. Syst. 2012, 35, 257–284. [Google Scholar] [CrossRef]
- Bunn, S.E.; Davies, P.M.; Mosisch, T.D. Ecosystem Measures of River Health and Their Response to Riparian and Catchment Degradation. Freshw. Biol. 1999, 41, 333–345. [Google Scholar] [CrossRef]
- Sand-Jensen, K.; Pedersen, N.L. Differences in Temperature, Organic Carbon and Oxygen Consumption among Lowland Streams. Freshw. Biol. 2005, 50, 1927–1937. [Google Scholar] [CrossRef]
- Larkin, Z.T.; Ralph, T.J.; Tooth, S.; Fryirs, K.A.; Carthey, A.J.R. Identifying Threshold Responses of Australian Dryland Rivers to Future Hydroclimatic Change. Sci. Rep. 2020, 10, 6653. [Google Scholar] [CrossRef]
- Silva, K.; Joás, S.; Brito, S.; Martins, G.; Rafael, C.; Bastos, C.; Camilo, C.; Penagos, M.; Silva, E.; Montag, L.; et al. Odonata Diversity and Ecological Thresholds in Protected Areas of the Brazilian Amazon. Neotrop. Entomol. 2025, 54, 1–14. [Google Scholar] [CrossRef]
- Lee, J.H.; Lee, K.L.; Kim, H.S. Phytoplankton Functional Groups as Indicators of Environmental Changes in Weir and Non-Weir Sections of the Lower Nakdong River, Republic of Korea. Heliyon 2024, 10, e22966. [Google Scholar] [CrossRef]
- Heino, J.; Melo, A.S.; Bini, L.M. Reconceptualising the Beta Diversity-Environmental Heterogeneity Relationship in Running Water Systems. Freshw. Biol. 2015, 60, 223–235. [Google Scholar] [CrossRef]
- Strayer, D.L.; Dudgeon, D. Freshwater Biodiversity Conservation: Recent Progress and Future Challenges. J. N. Am. Benthol. Soc. 2010, 29, 344–358. [Google Scholar] [CrossRef]
- Reynolds, C.S.; Huszar, V.; Kruk, C.; Naselli-Flores, L.; Melo, S. Towards a Functional Classification of the Freshwater Phytoplankton. J. Plankt. Res. 2002, 24, 417–428. [Google Scholar] [CrossRef]
- Crossetti, L.O.; Bicudo, C.E.d.M. Adaptations in Phytoplankton Life Strategies to Imposed Change in a Shallow Urban Tropical Eutrophic Reservoir, Garças Reservoir, over 8 Years. Hydrobiologia 2008, 614, 91–105. [Google Scholar] [CrossRef]
- De, K.; Dey, D.; Shruti, M.; Uniyal, V.P.; Adhikari, B.S.; Johnson, J.A.; Hussain, S.A. β-Diversity of Odonate Community of the Ganga River: Partitioning and Insights from Local and Species Contribution. Wetl. Ecol. Manag. 2023, 31, 899–912. [Google Scholar] [CrossRef]
- Amorim, C.A.; Moura, A.d.N. Ecological Impacts of Freshwater Algal Blooms on Water Quality, Plankton Biodiversity, Structure, and Ecosystem Functioning. Sci. Total Environ. 2021, 758, 143605. [Google Scholar] [CrossRef]
- Fernández-González, C.; Tarran, G.A.; Schuback, N.; Woodward, E.M.S.; Arístegui, J.; Marañón, E. Phytoplankton Responses to Changing Temperature and Nutrient Availability Are Consistent across the Tropical and Subtropical Atlantic. Commun. Biol. 2022, 5, 1–13. [Google Scholar] [CrossRef]
- Victorero, L.; Robert, K.; Robinson, L.F.; Taylor, M.L.; Huvenne, V.A.I. Species Replacement Dominates Megabenthos Beta Diversity in a Remote Seamount Setting. Sci. Rep. 2018, 8, 4152. [Google Scholar] [CrossRef]
- Perez Rocha, M.; Morris, T.J.; Cottenie, K.; Schwalb, A.N. Limitations of Beta Diversity in Conservation Site Selection. Ecol. Indic. 2023, 154, 110732. [Google Scholar] [CrossRef]
- Hill; Wood, P.J.; White, J.C.; Thornhill, I.; Fairchild, W.; Williams, P.; Nicolet, P.; Biggs, J. Environmental Correlates of Aquatic Macroinvertebrate Diversity in Garden Ponds: Implications for Pond Management. Insect Conserv. Divers. 2024, 17, 374–385. [Google Scholar] [CrossRef]
- Trindade, E.G.A.; Dunck, B. Environmental Preservation Leads to Greater Beta Diversity of Periphytic Algae in Amazonian Streams. Limnologica 2025, 110, 126221. [Google Scholar] [CrossRef]
- Clavel, J.; Julliard, R.; Devictor, V. Worldwide Decline of Specialist Species: Toward a Global Functional Homogenization? Front. Ecol. Environ. 2011, 9, 222–228. [Google Scholar] [CrossRef]
- Elmqvist, T.; Folke, C.; Nyström, M.; Peterson, G.; Bengtsson, J.; Walker, B.; Norberg, J. Response Diversity, Ecosystem Change, and Resilience. Front. Ecol. Environ. 2003, 1, 488–494. [Google Scholar] [CrossRef]
- Schindler, D.W. Experimental Perturbations of Whole Lakes as Tests of Hypotheses Concerning Ecosystem Structure and Function. Oikos 1990, 57, 25. [Google Scholar] [CrossRef]
- Connell, J.H. Diversity in Tropical Rain Forests and Coral Reefs. Science 1978, 199, 1302–1310. [Google Scholar] [CrossRef]
- Agra, J.; Ligeiro, R.; Heino, J.; Macedo, D.R.; Castro, D.M.P.; Linares, M.S.; Callisto, M. Anthropogenic Disturbances Alter the Relationships between Environmental Heterogeneity and Biodiversity of Stream Insects. Ecol. Indic. 2021, 121, 107079. [Google Scholar] [CrossRef]
- Poff, N.L.; Allan, J.D.; Bain, M.B.; Karr, J.R.; Prestegaard, K.L.; Brian, D.; Sparks, R.E.; Stromberg, J.C.; Poff, N.L.; Allan, J.D.; et al. A Paradigm for River Conservation and Restoration. Bioscience 1997, 47, 769–784. [Google Scholar] [CrossRef]
- Gavioli, A.; Milardi, M.; Soininen, J.; Soana, E.; Lanzoni, M.; Castaldelli, G. How Does Invasion Degree Shape Alpha and Beta Diversity of Freshwater Fish at a Regional Scale? Ecol. Evol. 2022, 12, e9493. [Google Scholar] [CrossRef]
- Larned, S.T.; Datry, T.; Arscott, D.B.; Tockner, K. Emerging Concepts in Temporary-River Ecology. Freshw. Biol. 2010, 55, 717–738. [Google Scholar] [CrossRef]
- Lopes, P.M.; Bini, L.M.; Declerck, S.A.J.; Farjalla, V.F.; Vieira, L.C.G.; Bonecker, C.C.; Lansac-Toha, F.A.; Esteves, F.A.; Bozelli, R.L. Correlates of Zooplankton Beta Diversity in Tropical Lake Systems. PLoS ONE 2014, 9, e109581. [Google Scholar] [CrossRef]
- Kirk, J.T.O. The Upwelling Light Stream in Natural Waters. Limnol. Oceanogr. 1989, 34, 1410–1425. [Google Scholar] [CrossRef]
- Portalier, S.M.J.; Cherif, M.; Zhang, L.; Fussmann, G.F.; Loreau, M. Size-Related Effects of Physical Factors on Phytoplankton Communities. Ecol. Modell. 2016, 323, 41–50. [Google Scholar] [CrossRef]
- Dantas, Ê.W.; Bittencourt-Oliveira, M.d.C.; Moura, A.d.N. Dynamics of Phytoplankton Associations in Three Reservoirs in Northeastern Brazil Assessed Using Reynolds’ Theory. Limnologica 2012, 42, 72–80. [Google Scholar] [CrossRef]
- Hill, W.R.; Fanta, S.E.; Roberts, B.J. Quantifying Phosphorus and Light Effects in Stream Algae. Limnol. Oceanogr. 2009, 54, 368–380. [Google Scholar] [CrossRef]
- Pannard, A.; Minaudo, C.; Leitao, M.; Abonyi, A.; Moatar, F.; Gassama, N. Meroplanktic Phytoplankton Play a Crucial Role in Responding to Peak Discharge Events in the Middle Lowland Section of the Loire River (France). Hydrobiologia 2023, 851, 869–895. [Google Scholar] [CrossRef]
- Margalef, R. Life-Forms of Phytoplankton as Survival Alternatives in an Unstable Environment. Oceanol. Acta 1978, 1, 493–509. [Google Scholar] [CrossRef]






Disclaimer/Publisher’s Note: The statements, opinions and data contained in all publications are solely those of the individual author(s) and contributor(s) and not of MDPI and/or the editor(s). MDPI and/or the editor(s) disclaim responsibility for any injury to people or property resulting from any ideas, methods, instructions or products referred to in the content. |
© 2025 by the authors. Licensee MDPI, Basel, Switzerland. This article is an open access article distributed under the terms and conditions of the Creative Commons Attribution (CC BY) license (https://creativecommons.org/licenses/by/4.0/).
Share and Cite
da Silva, I.G.; Trindade, E.G.A.; Palheta, L.; Dunck, B. Environmental Heterogeneity of Conservation Units in the Amazon Ensures High Contribution to Phytoplankton Beta Diversity in Streams. Phycology 2025, 5, 30. https://doi.org/10.3390/phycology5030030
da Silva IG, Trindade EGA, Palheta L, Dunck B. Environmental Heterogeneity of Conservation Units in the Amazon Ensures High Contribution to Phytoplankton Beta Diversity in Streams. Phycology. 2025; 5(3):30. https://doi.org/10.3390/phycology5030030
Chicago/Turabian Styleda Silva, Idelina Gomes, Ellen Guimarães Amaral Trindade, Leandra Palheta, and Bárbara Dunck. 2025. "Environmental Heterogeneity of Conservation Units in the Amazon Ensures High Contribution to Phytoplankton Beta Diversity in Streams" Phycology 5, no. 3: 30. https://doi.org/10.3390/phycology5030030
APA Styleda Silva, I. G., Trindade, E. G. A., Palheta, L., & Dunck, B. (2025). Environmental Heterogeneity of Conservation Units in the Amazon Ensures High Contribution to Phytoplankton Beta Diversity in Streams. Phycology, 5(3), 30. https://doi.org/10.3390/phycology5030030

