Cross-Analysis of Magnetic and Current Density Field Topologies in a Quiescent High Confinement Mode Tokamak Discharge
Abstract
1. Introduction
2. Methods
2.1. Reconstruction Problem Formulation
2.2. Evaluation of the Flux Surface Averages
2.3. Principles of the Analysis
3. Results
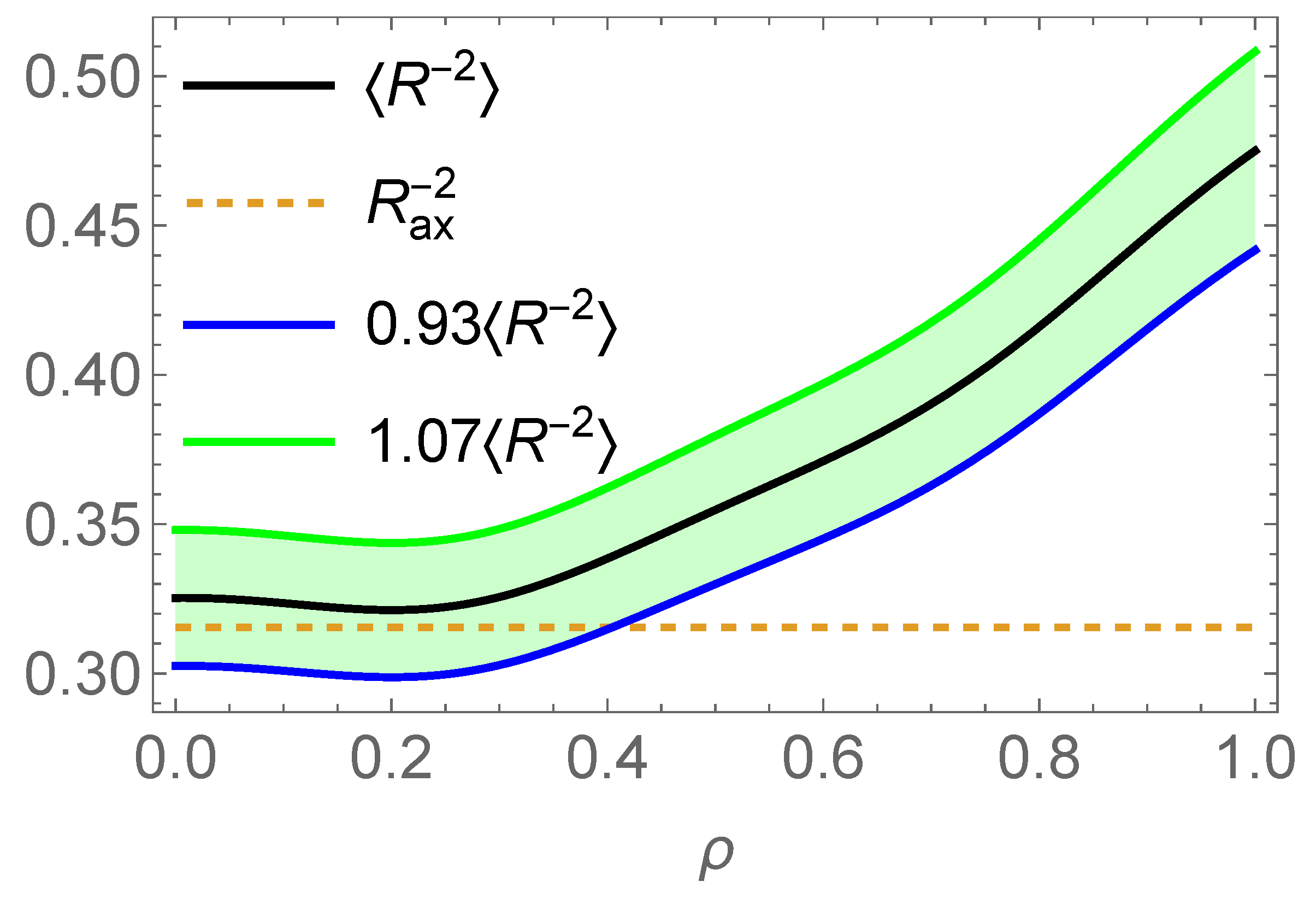
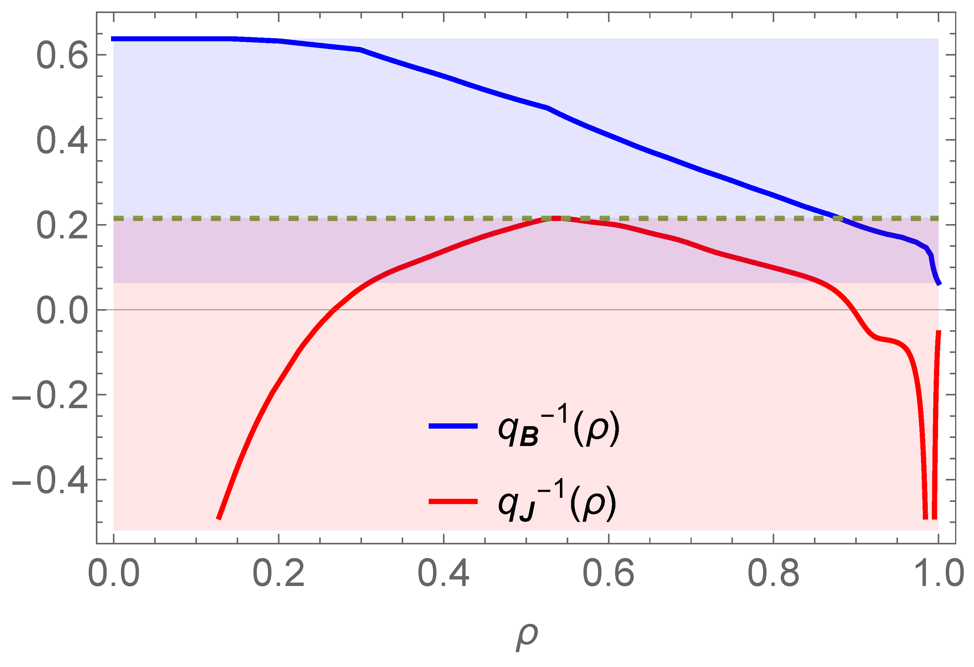
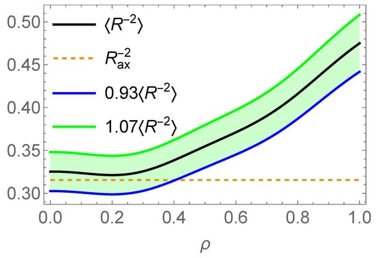
3.1. Computation of Flux Surface Averages


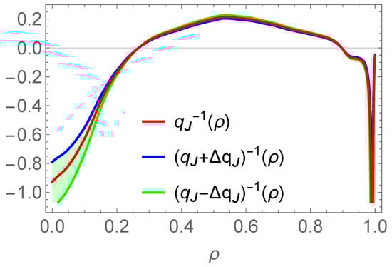
3.2. Equilibrium Reconstruction of the -Profile
3.3. Important Remark
4. Analysis and Discussion
4.1. Classification of Modes
4.2. Overview of QH-Mode Phenomenology
4.3. Discussion
5. Conclusions
Funding
Data Availability Statement
Acknowledgments
Conflicts of Interest
References
- Firpo, M.C. Interplay of the magnetic and current density field topologies in axisymmetric devices for magnetic confinement fusion. J. Plasma Phys. 2024, 90, 175900601. [Google Scholar] [CrossRef]
- Lao, L.; John, H.S.; Stambaugh, R.; Kellman, A.; Pfeiffer, W. Reconstruction of current profile parameters and plasma shapes in tokamaks. Nucl. Fusion 1985, 25, 1611. [Google Scholar] [CrossRef]
- Lao, L.; Ferron, J.; Groebner, R.; Howl, W.; John, H.S.; Strait, E.; Taylor, T. Equilibrium analysis of current profiles in tokamaks. Nucl. Fusion 1990, 30, 1035. [Google Scholar] [CrossRef]
- Lütjens, H.; Bondeson, A.; Sauter, O. The CHEASE code for toroidal MHD equilibria. Comput. Phys. Commun. 1996, 97, 219–260. [Google Scholar] [CrossRef]
- Ferron, J.; Walker, M.; Lao, L.; John, H.S.; Humphreys, D.; Leuer, J. Real time equilibrium reconstruction for tokamak discharge control. Nucl. Fusion 1998, 38, 1055. [Google Scholar] [CrossRef]
- Lao, L.L.; John, H.E.S.; Peng, Q.; Ferron, J.R.; Strait, E.J.; Taylor, T.S.; Meyer, W.H.; Zhang, C.; You, K.I. MHD Equilibrium Reconstruction in the DIII-D Tokamak. Fusion Sci. Technol. 2005, 48, 968–977. [Google Scholar] [CrossRef]
- Blum, J.; Boulbe, C.; Faugeras, B. Real-time equilibrium reconstruction in a tokamak. In Proceedings of the Burning Plasma Diagnostics: An International Conference, Varenna, Italy, 24–28 September 2007; Orsitto, F., Gorini, G., Sindoni, E., Tardocchi, M., Eds.; American Institute of Physics: College Park, MD, USA, 2007; Volume 988, pp. 420–429. [Google Scholar] [CrossRef]
- Katsuro-Hopkins, O.; Sabbagh, S.; Bialek, J.; Park, H.; Bak, J.; Chung, J.; Hahn, S.; Kim, J.; Kwon, M.; Lee, S.; et al. Equilibrium and global MHD stability study of KSTAR high beta plasmas under passive and active mode control. Nucl. Fusion 2010, 50, 025019. [Google Scholar] [CrossRef]
- Blum, J.; Boulbe, C.; Faugeras, B. Reconstruction of the equilibrium of the plasma in a Tokamak and identification of the current density profile in real time. J. Comput. Phys. 2012, 231, 960–980. [Google Scholar] [CrossRef]
- Li, G.Q.; Ren, Q.L.; Qian, J.P.; Lao, L.L.; Ding, S.Y.; Chen, Y.J.; Liu, Z.X.; Lu, B.; Zang, Q. Kinetic equilibrium reconstruction on EAST tokamak. Plasma Phys. Control. Fusion 2013, 55, 125008. [Google Scholar] [CrossRef]
- Faugeras, B.; Orsitto, F.; Contributors, J. Equilibrium reconstruction at JET using Stokes model for polarimetry. Nucl. Fusion 2018, 58, 106032. [Google Scholar] [CrossRef]
- Xing, Z.; Eldon, D.; Nelson, A.; Roelofs, M.; Eggert, W.; Izacard, O.; Glasser, A.; Logan, N.; Meneghini, O.; Smith, S.; et al. CAKE: Consistent Automatic Kinetic Equilibrium reconstruction. Fusion Eng. Des. 2021, 163, 112163. [Google Scholar] [CrossRef]
- Zheng, L.; Kotschenreuther, M.T.; Waelbroeck, F.L.; Todo, Y. ATEQ: Adaptive toroidal equilibrium code. Phys. Plasmas 2022, 29, 072503. [Google Scholar] [CrossRef]
- Hansen, C.; Stewart, I.G.; Burgess, D.; Pharr, M.; Guizzo, S.; Logak, F.; Nelson, A.O.; Paz-Soldan, C. TokaMaker: An open-source time-dependent Grad-Shafranov tool for the design and modeling of axisymmetric fusion devices. arXiv 2023, arXiv:2311.07719. [Google Scholar] [CrossRef]
- Huang, Y.; Xiao, B.J.; Luo, Z.P. Fast parallel Grad-Shafranov solver for real-time equilibrium reconstruction in EAST tokamak using graphic processing unit. Chin. Phys. B 2017, 26, 085204. [Google Scholar] [CrossRef]
- Ma, R.; Xia, F.; Ling, F.; Li, J. Acceleration optimization of real-time equilibrium reconstruction for HL-2A tokamak discharge control. Plasma Sci. Technol. 2018, 20, 025601. [Google Scholar] [CrossRef]
- Joung, S.; Kim, J.; Kwak, S.; Bak, J.; Lee, S.; Han, H.; Kim, H.; Lee, G.; Kwon, D.; Ghim, Y.C. Deep neural network Grad–Shafranov solver constrained with measured magnetic signals. Nucl. Fusion 2019, 60, 016034. [Google Scholar] [CrossRef]
- Lao, L.L.; Kruger, S.; Akcay, C.; Balaprakash, P.; Bechtel, T.A.; Howell, E.; Koo, J.; Leddy, J.; Leinhauser, M.; Liu, Y.Q.; et al. Application of machine learning and artificial intelligence to extend EFIT equilibrium reconstruction. Plasma Phys. Control. Fusion 2022, 64, 074001. [Google Scholar] [CrossRef]
- Kaltsas, D.A.; Throumoulopoulos, G.N. Neural network tokamak equilibria with incompressible flows. Phys. Plasmas 2022, 29, 022506. [Google Scholar] [CrossRef]
- Pavone, A.; Merlo, A.; Kwak, S.; Svensson, J. Machine learning and Bayesian inference in nuclear fusion research: An overview. Plasma Phys. Control. Fusion 2023, 65, 053001. [Google Scholar] [CrossRef]
- Douady, S.; Couder, Y.; Brachet, M.E. Direct observation of the intermittency of intense vorticity filaments in turbulence. Phys. Rev. Lett. 1991, 67, 983–986. [Google Scholar] [CrossRef]
- Rechester, A.B.; Rosenbluth, M.N. Electron Heat Transport in a Tokamak with Destroyed Magnetic Surfaces. Phys. Rev. Lett. 1978, 40, 38–41. [Google Scholar] [CrossRef]
- Isichenko, M.B. Effective plasma heat conductivity in `braided’ magnetic field-I. Quasi-linear limit. Plasma Phys. Control. Fusion 1991, 33, 795. [Google Scholar] [CrossRef]
- Isichenko, M.B. Effective plasma heat conductivity in ’braided’ magnetic field-II. Percolation limit. Plasma Phys. Control. Fusion 1991, 33, 809. [Google Scholar] [CrossRef]
- Vianello, N.; Naulin, V.; Schrittwieser, R.; Müller, H.W.; Zuin, M.; Ionita, C.; Rasmussen, J.J.; Mehlmann, F.; Rohde, V.; Cavazzana, R.; et al. Direct Observation of Current in Type-I Edge-Localized-Mode Filaments on the ASDEX Upgrade Tokamak. Phys. Rev. Lett. 2011, 106, 125002. [Google Scholar] [CrossRef] [PubMed]
- Harrison, J.R.; Fishpool, G.M.; Thornton, A.J.; Walkden, N.R.; MAST Team. The appearance and propagation of filaments in the private flux region in Mega Amp Spherical Tokamak. Phys. Plasmas 2015, 22, 092508. [Google Scholar] [CrossRef]
- Ebrahimi, F. Nonlinear reconnecting edge localized modes in current-carrying plasmas. Phys. Plasmas 2017, 24, 056119. [Google Scholar] [CrossRef]
- Banerjee, S.; Bisai, N.; Chandra, D.; Dhyani, P.; Manchanda, R.; Chowdhuri, M.B.; Ramaiya, N.; Sangwan, D.; Ghosh, J.; Tanna, R.L.; et al. Observation of thick toroidal filaments during the disruptive phase of Aditya tokamak plasma. Phys. Plasmas 2017, 24, 102513. [Google Scholar] [CrossRef]
- Grenfell, G.; Spolaore, M.; Abate, D.; Carraro, L.; Marrelli, L.; Predebon, I.; Spagnolo, S.; Veranda, M.; Agostini, M.; van Milligen, B.; et al. Turbulent filament properties in L and H-mode regime in the RFX-mod operating as a tokamak. Nucl. Fusion 2020, 60, 126006. [Google Scholar] [CrossRef]
- Hao, G.Z.; Dong, G.Q.; Cui, B.T.; Liu, Y.Q.; Xu, Y.H.; Sun, T.F.; Ji, X.Q.; Wang, S.; Zhao, Y.F.; Xu, J.Q.; et al. Toroidal modeling of 3D perturbations generated by current filaments in scrape-off layer in tokamak with biased divertor targets. Nucl. Fusion 2022, 63, 016006. [Google Scholar] [CrossRef]
- Ham, C.; Kirk, A.; Pamela, S.; Wilson, H. Filamentary plasma eruptions and their control on the route to fusion energy. Nat. Rev. Phys. 2020, 2, 159–167. [Google Scholar] [CrossRef]
- Chouchene, S.; Brochard, F.; Lemoine, N.; Cavalier, J.; Desecures, M.; Weinzettl, V. Mutual interactions between plasma filaments in a tokamak evidenced by fast imaging and machine learning. Phys. Review. E 2024, 109, 045201. [Google Scholar] [CrossRef] [PubMed]
- Pankin, A.; King, J.; Kruger, S.; Chen, X.; Burrell, K.; Garofalo, A.; Groebner, R.J.; McKee, G.; Yan, Z. Towards validated MHD modeling of edge harmonic oscillation in DIII-D QH-mode discharges. Nucl. Fusion 2020, 60, 092004. [Google Scholar] [CrossRef]
- Burrell, K.H.; Austin, M.E.; Brennan, D.P.; DeBoo, J.C.; Doyle, E.J.; Fenzi, C.; Fuchs, C.; Gohil, P.; Greenfield, C.M.; Groebner, R.J.; et al. Quiescent double barrier high-confinement mode plasmas in the DIII-D tokamak. Phys. Plasmas 2001, 8, 2153–2162. [Google Scholar] [CrossRef]
- Burrell, K.H.; Austin, M.E.; Brennan, D.P.; DeBoo, J.C.; Doyle, E.J.; Gohil, P.; Greenfield, C.M.; Groebner, R.J.; Lao, L.L.; Luce, T.C.; et al. Quiescent H-mode plasmas in the DIII-D tokamak. Plasma Phys. Control. Fusion 2002, 44, A253. [Google Scholar] [CrossRef]
- Suttrop, W.; Maraschek, M.; Conway, G.D.; Fahrbach, H.U.; Haas, G.; Horton, L.D.; Kurki-Suonio, T.; Lasnier, C.J.; Leonard, A.W.; Maggi, C.F.; et al. ELM-free stationary H-mode plasmas in the ASDEX Upgrade tokamak. Plasma Phys. Control. Fusion 2003, 45, 1399. [Google Scholar] [CrossRef]
- Suttrop, W.; Hynönen, V.; Kurki-Suonio, T.; Lang, P.; Maraschek, M.; Neu, R.; Stäbler, A.; Conway, G.; Hacquin, S.; Kempenaars, M.; et al. Studies of the ‘Quiescent H-mode’ regime in ASDEX Upgrade and JET. Nucl. Fusion 2005, 45, 721. [Google Scholar] [CrossRef]
- Meier, L.; Hoelzl, M.; Cathey, A.; Huijsmans, G.; Viezzer, E.; Dunne, M.; van Dijk, J.; Zabala, D.J.C.; Lackner, K.; Günter, S.; et al. MHD simulations of formation, sustainment and loss of quiescent H-mode in the all-tungsten ASDEX Upgrade. Nucl. Fusion 2023, 63, 086026. [Google Scholar] [CrossRef]
- Sakamoto, Y.; Shirai, H.; Fujita, T.; Ide, S.; Takizuka, T.; Oyama, N.; Kamada, Y. Impact of toroidal rotation on ELM behaviour in the H-mode on JT-60U. Plasma Phys. Control. Fusion 2004, 46, A299. [Google Scholar] [CrossRef]
- Oyama, N.; Sakamoto, Y.; Isayama, A.; Takechi, M.; Gohil, P.; Lao, L.; Snyder, P.; Fujita, T.; Ide, S.; Kamada, Y.; et al. Energy loss for grassy ELMs and effects of plasma rotation on the ELM characteristics in JT-60U. Nucl. Fusion 2005, 45, 871. [Google Scholar] [CrossRef]
- Khinchin, A.Y. Mathematical Foundations of Statistical Mechanics; Dover Publications: New York, NY, USA, 1949. [Google Scholar]
- Hamada, S. Hydromagnetic equilibria and their proper coordinates. Nucl. Fusion 1962, 2, 1–2. Available online: https://iopscience.iop.org/article/10.1088/0029-5515/2/1-2/005 (accessed on 8 June 2025). [CrossRef]
- Burrell, K.H.; Osborne, T.H.; Snyder, P.B.; West, W.P.; Fenstermacher, M.E.; Groebner, R.J.; Gohil, P.; Leonard, A.W.; Solomon, W.M. Quiescent H-Mode Plasmas with Strong Edge Rotation in the Cocurrent Direction. Phys. Rev. Lett. 2009, 102, 155003. [Google Scholar] [CrossRef] [PubMed]
- Evans, T.E.; Moyer, R.A.; Burrell, K.H.; Fenstermacher, M.E.; Joseph, I.; Leonard, A.W.; Osborne, T.H.; Porter, G.D.; Schaffer, M.J.; Snyder, P.B.; et al. Edge stability and transport control with resonant magnetic perturbations in collisionless tokamak plasmas. Nat. Phys. (Print) 2006, 2, 419–423. [Google Scholar] [CrossRef]
- Firpo, M.C. Microtearing turbulence: Magnetic braiding and disruption limit. Phys. Plasmas 2015, 22, 122511. [Google Scholar] [CrossRef]




Disclaimer/Publisher’s Note: The statements, opinions and data contained in all publications are solely those of the individual author(s) and contributor(s) and not of MDPI and/or the editor(s). MDPI and/or the editor(s) disclaim responsibility for any injury to people or property resulting from any ideas, methods, instructions or products referred to in the content. |
© 2025 by the author. Licensee MDPI, Basel, Switzerland. This article is an open access article distributed under the terms and conditions of the Creative Commons Attribution (CC BY) license (https://creativecommons.org/licenses/by/4.0/).
Share and Cite
Firpo, M.-C. Cross-Analysis of Magnetic and Current Density Field Topologies in a Quiescent High Confinement Mode Tokamak Discharge. Foundations 2025, 5, 22. https://doi.org/10.3390/foundations5020022
Firpo M-C. Cross-Analysis of Magnetic and Current Density Field Topologies in a Quiescent High Confinement Mode Tokamak Discharge. Foundations. 2025; 5(2):22. https://doi.org/10.3390/foundations5020022
Chicago/Turabian StyleFirpo, Marie-Christine. 2025. "Cross-Analysis of Magnetic and Current Density Field Topologies in a Quiescent High Confinement Mode Tokamak Discharge" Foundations 5, no. 2: 22. https://doi.org/10.3390/foundations5020022
APA StyleFirpo, M.-C. (2025). Cross-Analysis of Magnetic and Current Density Field Topologies in a Quiescent High Confinement Mode Tokamak Discharge. Foundations, 5(2), 22. https://doi.org/10.3390/foundations5020022

