Next Article in Journal
The Role of DNA in Neural Development and Cognitive Function
Previous Article in Journal
Mutational Profiling of Medullary Thyroid Carcinoma via a Large-Scale Genomic Repository
 
 
Font Type:
Arial Georgia Verdana
Font Size:
Aa Aa Aa
Line Spacing:
Column Width:
Background:
Article

DNA Triplex-Formation by a Covalent Conjugate of the Anticancer Drug Temozolomide

College of Health and Life Sciences, Aston University, Aston Triangle, Birmingham B4 7ET, UK
*
Author to whom correspondence should be addressed.
Submission received: 27 May 2025 / Revised: 18 June 2025 / Accepted: 26 June 2025 / Published: 22 July 2025

Abstract

Background/Objectives: Temozolomide is an important drug used for the treatment of glioblastoma multiforme. Covalent conjugation of temozolomide to triplex-forming oligonucleotides could facilitate better sequence discrimination when targeted to DNA to lessen off-target effects and potentially reduce side-effects associated with conventional chemotherapy. The base sensitivity of temozolomide precludes use of basic deprotection conditions that typify the solid-supported synthesis of oligonucleotides. Methods: A novel di-iso-propylsilylene-linked solid support was developed and used in solid-supported synthesis of oligonucleotide conjugates. Results: Conditions were established whereby fully deprotected, solid-supported oligonucleotides could be prepared for derivatisation. Cleavage of the di-iso-propylsilylene linker was possible using mild, acidic conditions. Conclusions: The di-iso-propylsilylene-linked solid support was developed and shown to be compatible with base-sensitive oligonucleotide conjugate formation. The DNA triplex formation exhibited by a temozolomide oligonucleotide conjugate was equal in stability to the unconjugated control, opening new possibilities for sequence selective delivery of temozolomide to targeted DNA.

Graphical Abstract

1. Introduction

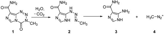
DNA alkylating agent temozolomide (1) is an important drug used for the treatment of glioblastoma multiforme, the most common primary brain malignancy in adults [1]. A dacarbazine derivative, temozolomide is a pro-drug [2] that is converted by hydrolysis, under physiological conditions, to 5-(3-methyltriazen-1-yl)imidazole-4-carboxamide (2) that is metabolised further to 5-aminoimidazole-4-carboxamide (3) with concomitant release of electrophilic, methyl diazonium ion (4) [3] (Figure 1). Temozolomide induces methylation at various sites within the DNA bases, particularly the middle guanine (G) in runs of three (GGG). Although O6-methylguanine is the least abundant of the resultant DNA adducts that are formed, it is this O6 methylation that is mainly responsible for the cytotoxic effect of temozolomide [4].
Covalent conjugation [5] of temozolomide to triplex-forming oligonucleotides [6] could facilitate better sequence discrimination when targeted to the middle guanine in runs of three, in DNA. Fewer off-target effects would potentially reduce the debilitating side-effects associated with conventional chemotherapy. Representative triplex structures are shown, whereby the Watson–Crick GC and AT DNA base pairs are targeted by protonated C+ (Figure 2, left) and T (Figure 2, right), in the triplex-forming oligonucleotide.
The delivery of therapeutic oligonucleotides and other macromolecular entities to the brain presents challenges that have been addressed using various surgically non-invasive strategies including the covalent attachment to a blood–brain barrier-penetrating, ApoE-derived peptide [7]. Efficient delivery strategies would therefore facilitate targeting of triplex-forming oligonucleotide conjugates of temozolomide to provide further treatment options for glioblastoma multiforme [8].
Solid-supported synthesis persists as a preferred method for the preparation of therapeutic oligonucleotides [9,10]. Whilst robust under acidic conditions, temozolomide (1) is hydrolytically unstable [11] above physiological pH, thus rendering the drug incompatible with aqueous, basic cleavage conditions that are commonly used for solid-supported synthesis of oligonucleotides and their conjugates [12].
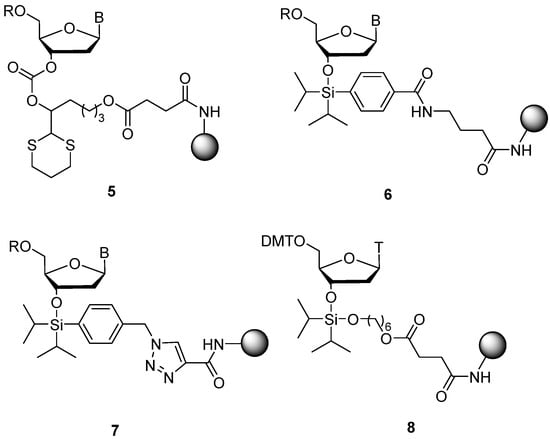
To facilitate solid-supported synthesis of base-sensitive oligodeoxynucleotides containing N4-acetyldeoxycytidine, N6-acetyladenosine N2-acetylguanosine, and N4-methyoxycarbonyldeoxycytidine, the 1,3-dithian-2-yl-methoxycarbonyl-linked solid support (5) was prepared and shown to be cleavable under weakly basic, non-nucleophilic conditions [13] (Figure 3). Using sources of fluoride ion to facilitate cleavage, the phenyl di-iso-propylsilyl linkers (6) and (7) have been successfully used to prepare base-sensitive oligonucleotides containing N4-acetyldeoxycytidine and other base-labile derivatives [14,15].
We reasoned that the presence of a second oxygen atom directly attached to silicon in the place of an aryl ring to give the di-iso-propylsilylene structure (8) [16] would allow cleavage under mild, acidic conditions [17]. Here, we demonstrate the compatibility of long chain alkylamine controlled pore glass (LCAA-CPG) solid support (8) with formation of a base-sensitive oligonucleotide conjugate of temozolomide (26) and demonstrate its capability to engage in stable DNA triplex formation.

2. Materials and Methods

General. NMR spectra were recorded on a AC-250 spectrometer (Bruker, Rheinstetten, Germany) with 1H (250.1 MHz) spectra referenced to TMS, 13C spectra (62.9 MHz) referenced to CDCl3 or (CD3)2SO, and 31P spectra (101.3 MHz) referenced to 85% H3PO4 (aq). Mass spectrometric analyses were carried out at NMSF (Swansea, UK) in EI+ or CI+ mode using a Quatro II (VG, Manchester, UK) or FAB+ mode using a AutoSpec (VG, Manchester, UK) instrument or at Aston University in electrospray ionisation (ES) mode with a HP 5989B MS Engine (Hewlett-Packard, Palo Alto, CA, USA) apparatus using a HP 59987A API-electrospray LC/MS interface (Hewlett-Packard, CA, USA). Molecular weights of oligonucleotide sequences were determined by deconvolution of their multiple ion peaks. Infrared spectra were recorded using a Galaxy 2020 FT-IR Spectrophotometer (Mattson, Fremont, CA, USA). Ultraviolet spectra were recorded using a PU8730 Spectrophotometer (Unicam, Cambridge, UK). Melting points were measured on a Electrothermal Digital apparatus (Gallenkamp, Cambridge, UK) and are uncorrected. Flash column chromatography was performed using Sorbsil C60 silica (Fisher, Loughborough, UK) using the method described by Still, Kahn and Mitra [18]. TLC was carried out on pre-coated 60 F254 (Merck, Gillingham, UK) aluminium-backed plates and visualised using UV (254 and 366 nm) and vanillin reagent; vanillin (6.0 g), ethanol (250 mL), and conc. sulfuric acid (2 mL). Thermal UV analysis of oligonucleotides was conducted using a 1E UV-Visible Spectrophotometer (Varian Cary, Mulgrave, Australia) with a 12-sample heating block. Oligodeoxynucleotides were prepared on a Oligo 1000 DNA synthesizer (Beckman, Indianapolis, IN, USA) according to the manufacturer’s protocol using commercially available reagents (LINK Technologies, Bellshill, UK). Analysis and purification of oligonucleotides were performed by reversed-phase HPLC using gradient elution through C18 reversed-phase columns (250 mm × 4.6 mm) at a flow rate of 1 mL/min where solvent system A [1 M aqueous triethylammonium acetate (10%) and acetonitrile (2%) at pH 7.0] was mixed with solvent system B [1 M aqueous triethylammonium acetate (10%) and acetonitrile (80%) at pH 7.0]. The unmodified DNA sequences prepared for triplex studies were 20-mer 3′-dCCCCCTTTCTTTTCTCTCTT (27); tR 13.3 min; ESMS (MW 5885.7 calcd for C191H252N49O129P19, found 5884.0); 20-mer 5′-dGGGGGAAAGAAAAGAGAGAA (28) tR 12.3 min, ESMS (MW calcd for C200H241N100O107P19 6343.0, found 6345.1; 15-mer 5′-dTTTCTTTTCTCTCTT (29) tR 13.1 min, ESMS (MW calcd for C146H192N34O99P14 4440.1, found 4438.7).

2.1. Preparation of 6-[bis(4-Methoxyphenyl)-phenyl-methoxy]hexan-1-ol (10)

To hexan-1,6-diol (6.20 g, 52.46 mmol), in dry pyridine (450 mL), under argon, a solution of DMT-Cl (15.98 g, 47.21 mmol) was added dropwise (4.5 h) with stirring overnight at room temperature. Methanol (100 mL) was added to the yellow product mixture, and the solvent evaporated under vacuum. To the residue, a mixture of hexane-ethyl acetate (1:1) (300 mL) containing triethylamine (5 mL) was added, and the resulting colourless precipitate was removed by filtration through Celite. The solvent was evaporated, and the residue purified by flash chromatography eluting with hexane-ethyl acetate (2:1) containing triethylamine (1%) to give the title compound (10) as a clear, yellow oil (11.40 g, 58%); TLC [hexane-ethyl acetate (2:1) containing triethylamine (1%)] Rf 0.31; IR (thin film): νmax 3388, 3060, 3027, 2953, 1606, 1096 cm−1; 1H NMR [(CD3)2SO]: δ 1.30–1.61 (m, 8H, 4 × CH2), 1.98 (s, 1H, OH), 3.03 (t, 2H, J 7.5 Hz, CH2O), 3.60 (t, 2H, J 7.5 Hz, CH2O), 3.78 (s, 6H, 2 × CH3O), 6.79 (d, 4H, J 8.3 Hz, 4 × CH (Ph)), 7.13–7.39 ppm (m, 9H, 9 × CH (Ar)); 13C NMR [(CD3)2SO]: δ 25.5, 26.1, 30.0, 32.6, 43.5, 55.1, 62.8, 63.2, 85.6, 112.9, 126.5, 127.6, 128.1, 129.9, 136.6, 145.3, 158.1 ppm; HRMS (calcd for [M+H] C27H33O4 421.230, found 421.339).

2.2. Preparation of 4-[6-[bis(4-Methoxyphenyl)-phenyl-methoxy]hexoxy]-4-oxo-butanoic Acid (11)

To alcohol (10), (672 mg, 1.60 mmol) succinic anhydride (176 mg, 1.76 mmol), DMAP (215 mg, 1.76 mmol), and 2,6-lutidine (8 mL) were added, and the mixture stirred (21 h) at room temperature. The product solution was diluted with dichloromethane (75 mL) and extracted with 3% (aq) citric acid (2 × 50 mL) followed by water (2 × 50 mL). The organic phase was dried (Mg2SO4), and the solvent evaporated. The residue was purified by flash column chromatography eluting sequentially with ethyl acetate-methanol 9:1, 4:1 and 2:1 to give product-containing fractions that were combined and concentrated to give the title product (11) as a hygroscopic, yellow viscous oil (564 mg, 63%); TLC [ethyl acetate-methanol (9:1)] Rf 0.54; IR (thin film): νmax 3395, 3030, 2950, 1715, 1605, 1450, 1089 cm−1; 1H NMR [(CD3)2SO]: δ 1.22–1.58 (m, 8H, 4 × CH2), 2.03 (s, 1H, OH), 2.57 (m, 4H, 2 × CH2CO), 3.01 (t, 2H, J 6.4 Hz, CH2O), 3.75 (s, 6H, 2 × CH3O), 4.03 (t, 2H, J 6.6 Hz, CH2O), 6.79 (d, 4H, J 8.8 Hz, 4 × CH (Ph)), 7.14–7.43 ppm (m, 9H, 9 × CH (Ar)); 13C NMR [(CD3)2SO]: δ 25.9, 26.3, 28.1, 30.0, 32.8, 55.0, 63.8, 65.0 80.9, 85.6, 111.9, 126.6, 127.7, 128.3, 129.8, 136.5, 145.4, 158.1, 158.4 ppm; HRMS (calcd for [M+H] C31H37O7 521.2461, found 521.2054).

2.3. Preparation of Di-iso-propylsilylene Linker (13)

To succinate (11) (440 mg, 0.85 mmol) in DMF (10 mL), DhbtOH (207 mg, 1.27 mmol), DCC (201 mg, 1.27 mmol), DMAP (155 mg, 1.27 mmol), and LCAA-CPG (800 mg) were added, and the mixture was gently shaken (30 min) at room temperature. The mixture was filtered and washed successively with DMF (6 × 25 mL), methanol (3 × 25 mL), and diethyl ether (3 × 25 mL), and the solid dried to give the di-iso-propylsilylene linker (12) with a loading of 68 µmol.g−1 by trityl assay [19]. Underivatised amino groups in linker (12) were capped by acylation (30 min) using acetic anhydride (500 µL) and DMAP (125 mg, 1.02 mmol) in pyridine (10 mL) at room temperature. The linker (12) was washed successively with methanol (3 × 25 mL) and diethyl ether (3 × 25 mL), after which it was subjected to detritylation (3 min) by gently shaking with dichloroacetic acid (3%) in dichloromethane (20 mL). The title product (13) was filtered, washed successively with methanol (3 × 25 mL) and diethyl ether (3 × 25 mL), and dried to give the LCAA-CPG bound, di-iso-propylsilylene linker (13) (999 mg).

2.4. Preparation of Di-iso-propylsilylene-linked Solid Support (8)

A solution of freshly sublimed imidazole (70 mg, 1.03 mmol) and bis-(trifluoromethanesulfonyl)diisopropylsilane (0.15 mL, 0.5 mmol) in mixture of anhydrous acetonitrile-DMF (1:1, 3 mL), was prepared (10 min) under argon atmosphere at −40 °C. To this solution, a solution 5′-O-DMT-2′-deoxythymidine (253 mg, 0.47 mmol) and imidazole (34 mg, 0.5 mmol) were added in anhydrous acetonitrile-DMF (1:1, 3 mL) in three portions (15 min). The mixture solution was allowed to warm to room temperature then added to a mixture of solid support (13) (450 mg, loading 55 µmol.g−1), 2,6-lutidine (0.2 mL, 1.72 mmol), and DMAP (35 mg, 0.29 mmol) under argon. After gentle shaking (19 h), the solid support (8) was collected by filtration and washed successively with DMF (3 × 25 mL), methanol (3 × 25 mL), and diethyl ether (3 × 25 mL) to give the di-iso-propylsilylene-linked solid support (8) with a loading of 30 µmol.g−1 based on trityl assay [19].

2.5. Preparation of Phenacetoylaminopentylphosphate-linked d[T8] Oligonucleotide Conjugate (19)

Support-bound oligonucleotide (15) was prepared (1 µmol scale) using 3-[(diisopropylamino)-[5-N-(4,4′demethoxytritylamino)pentoxy]phosphanyl]oxypropanenitrile (21) for attachment in the final coupling cycle with the synthesis concluded in “trityl-off” mode. This gave solid supported oligonucleotide conjugate (16) with appendant cyanoethyl-protecting groups that were removed (15.5 h) using tert-butylamine (1 mL) at room temperature. The solid support was filtered and washed with acetonitrile (3 × 1 mL) and diethyl ether (2 × 1 mL to give the support-bound conjugate (17). A solution of phenylacetic acid (16.3 mg, 120 µmol), PyBOP (0.62 mg, 120 µmol), and DIPEA (0.05 mL, 290 µmol) in DMF (0.30 mL) was prepared and allowed to stand (10 min) then added to the support-bound sequence (17), and the mixture was gently shaken (2 h). The solid support was filtered and washed successively with acetonitrile (2 × 1 mL), DMF (2 × 1 mL), acetonitrile (2 × 1 mL), and diethyl ether (2 × 1 mL), then treated (1 h) with TFA (2%) in dichloromethane (1 mL) to cleave oligonucleotide conjugate (18) from the solid support into solution. Product (19) was purified by reversed-phase HPLC; tR 16.6 min; ESMS (MW calcd for C93H124N17O58P8 2654.5, found 2654.0).

2.6. Preparation of 5-[[bis(4-Methoxyphenyl)-phenyl-methyl]amino]pentan-1-ol (20)

To 5-aminopentan-1-ol (0.5 mL, 4.60 mmol) in anhydrous pyridine (10 mL), trimethylsilyl chloride (1.75 mL, 13.79 mmol) was added at 0 °C under argon, and the mixture was allowed to warm (1 h) to room temperature. A solution of DMT chloride (1.55 g, 4.58 mmol) in anhydrous pyridine (5 mL) was then added, and the clear solution was stirred (12 h) at room temperature. Methanol (2 mL) was added, the solution was stirred (5 min), and the product mixture was concentrated by rotary evaporation. The residue was dissolved in ethyl acetate (40 mL) and washed with ice-cold, saturated (aq) sodium carbonate (50 mL), brine (50 mL), and water (50 mL), after which it was dried (Na2SO4). Evaporation of the solvent gave a yellow oil which was purified by flash chromatography, eluting with ethyl acetate-hexane-triethylamine (40:60:1) to give the title compound (20) as a viscous yellow oil (1.06 g, 57%); TLC [ethyl acetate-hexane-triethylamine (60:40:1)] Rf 0.56; IR (thin film): νmax 3600–3100, 3075, 2929, 1604, 1511 cm−1; 1H NMR [(CD3)2SO]: δ 1.16–1.40 (m, 6H, 3 × CH2), 1.94 (m, 2H, CH2NH), 2.37 (m, 1H, NH), 3.34 (t, 2H, J 6.3 Hz, CH2OH), 3.75 (s, 6H, 2 × CH3O), 4.32 (t, 1H, J 4.9 Hz, OH), 6.82 (d, 4H, J 8.3 Hz, 4 × CH (Ph)), 7.13–7.39 ppm (m, 9 H, 9 × CH (Ar)); 13C NMR [(CD3)2SO]: δ 23.5, 30.1, 32.6, 43.5, 55.0, 60.7, 69.4, 113.0, 125.8, 127.6, 128.2, 129.5, 138.6, 147.0, 157.3 ppm; HRMS (APCI+): Calcd for C26H31NO3: (M + H) 406.238. Found 406.238.

2.7. Preparation of 3-[(Diisopropylamino)-[5-N-(4,4′demethoxytritylamino)pentoxy]phosphanyl]oxypropanenitrile (21)

Alcohol (20) (0.28 g, 0.69 mmol) was dried by co-evaporation with anhydrous pyridine (3 × 3 mL) and dissolved in anhydrous tetrahydrofuran (4 mL) to which DIPEA (0.49 mL, 2.81 mmol) and 2-cyanoethyl-N,N-diisopropyl chlorophosphoramidite (0.23 mL, 1.03 mmol) were added with stirring under argon at room temperature. A precipitate formed (45 min), and the product mixture concentrated to an oil and was purified by flash chromatography eluting with ethyl acetate-hexane-triethylamine (25:75:1) to give the title compound (21) as a clear, yellow oil (0.37 g, 88%); TLC [ethyl acetate-hexane-triethylamine (25:75:1)]: Rf 0.27; IR (thin film): νmax 3054, 2962, 1604, 1506, 1459 cm−1; 1H NMR [(CD3)2SO]: δ 1.08–1.13 (m, 12H, 4 × CH3 (iso-Pr), 1.34–1.44 (m, 6H, 3 × CH2), 1.96 (m, 2H, CH2NH), 2.34 (t, 1H, J 7.8 Hz, NH), 2.72 (t, 2H, J 5.9 Hz, CH2CN), 3.49–3.70 (m, 12H, 2 × CH3O, 2 × NCH, POCH2CH2CN), 6.8–7.39 ppm (m, 13H, CH (Ar)); 13C NMR [(CD3)2SO]: δ 19.8, 23.4, 24.3, 24.4, 29.7, 30.7, 42.3, 42.5, 43.3, 54.9, 58.0, 63.0, 69.3, 112.9, 119.0, 125.7, 127.5, 128.1, 129.4, 138.5, 147.0, 157.2 ppm; 31P NMR ([(CD3)2SO]: δ 146.8 ppm; HRMS (FAB+): Calcd for C35H48N3O4P: (M + H) 606.346. Found 606.350.

2.8. Preparation of 3-Methyl-4-oxoimidazo [5,1-d]-1,2,3,5-tetrazine-8-carboxylic Acid (22)

Temozolomide (1) (2.01 g, 0.01 mmol) was added slowly to concentrated sulfuric acid (50 mL) with stirring. Once dissolved, a solution of NaNO2 (2.60 g, 0.04 mmol) in H2O (4 mL) was added dropwise (50 min) with the temperature being kept below 60 °C. The resulting yellow solution was stirred (3 h) and poured onto ice to give a white precipitate that was filtered off and dried to give the title compound (22) as a colourless solid (1.62 g, 80%); decomposed >170 °C (lit. [20] dec. 177 °C); 1H NMR [(CD3)2SO]: δ (s, 3H, NCH3), 8.88 (s, 1 H, 6-CH), 13.5 ppm (br s, 1 H, CO2H); 13C NMR [(CD3)2SO]: δ 36.5, 127.8, 129.3, 136.7, 139.3, 162.0 ppm; MS (EI+): m/z 195 (M+, 2%), 138 (15%), 57 (100%).

2.9. Preparation of the Aminopentylphosphate-linked d[TTTCTTTTCTCTCTT] Sequence (24)

Support-bound oligonucleotide (23) was prepared (1 µmol scale) using tert-BPA-protected C phosphoramidites and 3-[(diisopropylamino)-[5-N-(4,4′-dimethoxytritylamino)pentoxy]phosphanyl]oxypropanenitrile (21) for attachment in the final coupling cycle. This gave solid supported oligonucleotide conjugate (23) with appendant cyanoethyl and tert-BPA-protecting groups that were removed (15.5 h) using tert-butylamine (1 mL) at room temperature and with ethanolamine (1 mL) with vigorous shaking (30 min). The solid support (23) was washed with acetonitrile (2 × 1 mL), methanol (2 × 1 mL), and ethyl acetate, then treated (1 h) with TFA (2%) in dichloromethane (1 mL) to cleave oligonucleotide sequence (24) from the solid support into solution. Product (24) was purified by reversed-phase HPLC; tR 12.7 min; ESMS (MW calcd for C150H204N35O103P15 4607.8, found 4606.5).

2.10. Preparation of the Temozolomide Conjugate of Aminopentylphosphate-linked d[TTTCTTTTCTCTCTT] Sequence (26)

A solution of 3-methyl-4-oxoimidazo[5,1-d]-1,2,3,5-tetrazine-8-carboxylic acid (22) (0.76 mg, 3.9 µmol), PyBOP (2.03 mg, 3.9 µmol), DIPEA (1.7 µL, 9.7 µmol), and DMF (0.25 mL) was prepared and allowed to stand for 10 min then added to fully deprotected, solid supported oligonucleotide (23), and the mixture was gently shaken (2 h). The solid support (25) was filtered and washed successively with acetonitrile (2 × 1 mL), DMF (2 × 1 mL), acetonitrile (2 × 1 mL), and diethyl ether (2 × 1 mL), then treated (1 h) with TFA (2%) in dichloromethane (1 mL) to cleave oligonucleotide conjugate (25) from the solid support into solution. Product (26) was purified by reversed-phase HPLC; tR 16.5 min; ESMS (MW calcd for C156H206N40O105P15 4814.8, found 4812.7).

3. Results and Discussion

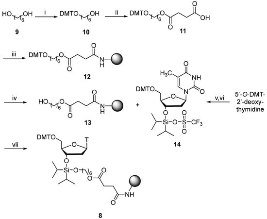
The di-iso-propylsilylene linker (8) was prepared as shown in Scheme 1. Firstly, 1,6-hexanediol (9) was protected using DMT-Cl to give alcohol (10) that was purified by flash column chromatography for subsequent conversion to the succinate (11). Succinate (11) was used to derivatise the primary amino groups of LCAA-CPG to give derivatised solid support (12). Removal of the 5′-DMT-protecting group by brief (3 min) treatment with dichloroacetic acid (3%) in dichloromethane gave the primary alcohol (13). This support-bound alcohol (13) underwent derivatisation using triflate (14) generated in situ by reacting 5′-O-DMT-protected, 2′-deoxythymidine with bis-(trifluoromethanesulfonyl)diisopropylsilane, to give the DMT-protected, di-iso-propylsilylene linker (8) (Scheme 1) with an acceptable nucleoside loading of 30 µmol.g−1.
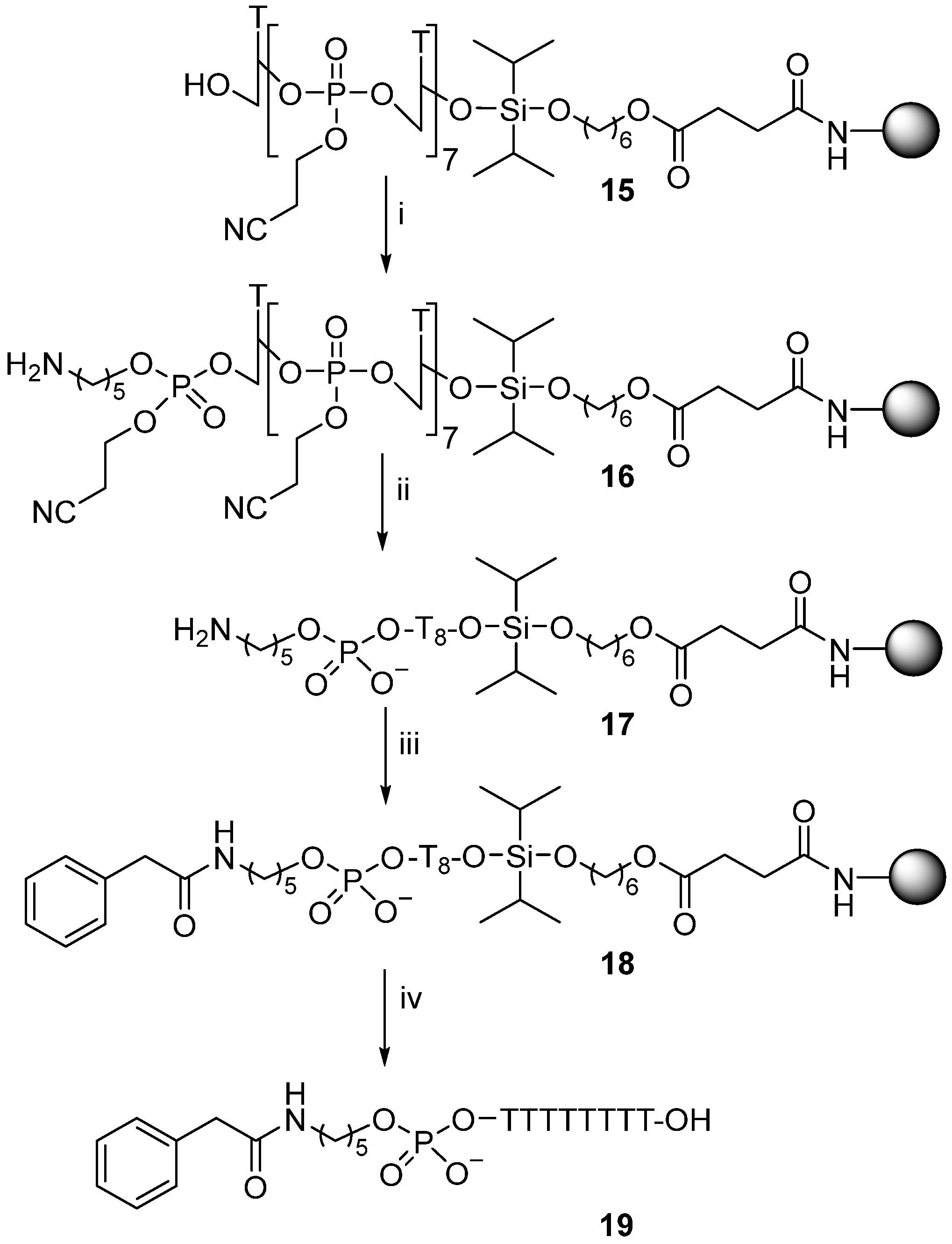
To establish suitable conditions to cleave di-iso-propylsilylene linker (8), phenylacetic acid was used as a robust surrogate ligand for temozolomide to prepare and characterise conjugate (19) (Scheme 2).
Firstly, solid supported synthesis of the dT8-containing oligomer (15) was carried out. The final coupling cycle was concluded with attachment of the DMT-protected aminopentyl amidite (21) (Scheme 3) to give oligomer (16) after removal of the 5′-DMT-protecting group. Care was needed to remove the cyanoethyl-protecting groups from phosphorus without inadvertent cleavage of the di-iso-propylsilylene linker. Thus, treatment of oligomer (16) with tert-butylamine gave the fully deprotected, support-bound oligonucleotide (17) to which phenyl acetic acid, in the presence of PyBOP and DIPEA in DMF, was attached over 2 h, to form conjugate (18).
Cleavage of the di-iso-propylsilylene linker in conjugate (18) was achieved within 1 h using 2% trifluoroacetic acid in dichloromethane to give the target conjugate (19), which was purified by reversed-phase HPLC (tR 16.6 min) and characterised by ESMS (MW calcd 2653.5, found 2654.0).
Having established reliable conditions for conjugate preparation, we carried out synthesis of the DNA triplex-forming oligonucleotide conjugate of temozolomide (26) (Scheme 4). Solid-phase synthesis of support-bound sequence (23) was achieved whereby the necessary tert-BPA-protecting groups on the cytosine bases were removed post-synthesis using ethanolamine after for removal of the cyanoethyl-protecting groups from the phosphate using tert-butylamine. The di-iso-propylsilylene linker in solid-supported oligonucleotide (25) was cleaved (2% TFA in CH2Cl2) to give C,T-containing, aminopentyl-linked oligonucleotide sequence (24) that was purified by reversed-phase HPLC (tR 12.7 min) and characterised by ESMS (MW calcd 4607.8, found 4606.5).
With conditions for the removal of the tert-BPA-protecting groups from the C bases established, temozolomide oligonucleotide conjugate (26) was prepared by reacting support-bound oligonucleotide (23) with 21 molar equivalents of the carboxylic acid derivative of temozolomide (22) (Scheme 4) in the presence of PyBOP, DIPEA and DMF. The use of fewer than 21 molar equivalents of carboxylic acid (22) failed to completely derivatise all the 5′-amino sites whereas use of more than 21 molar equivalents of carboxylic acid (22) caused additional derivatisation of the amino group of the C nucleobases.
The oligonucleotide conjugate of temozolomide (26) was cleaved into solution on treatment (1 h) of solid-supported conjugate (25) with TFA (2%) in dichloromethane. Conjugate (26) which was purified by reversed-phase HPLC (tR 16.5 min) and characterised by ESMS (MW calcd 4814.8, found 4812.7).
DNA triplex-forming properties of the oligonucleotide conjugate of temozolomide (26) and unconjugated oligonucleotide (29) were determined by variable temperature UV analysis (Table 1). The target DNA duplex was formed from equimolar amounts of polypyrimidine 20-mer sequence (28) and polypurine 20-mer sequence (29). The oligonucleotide conjugate of temozolomide (26) formed a stable DNA triplex that was equal in stability to the triplex formed by the unconjugated sequence (29). This demonstrated that drug conjugation was accommodated well and did not compromise DNA triplex-forming capability.

4. Conclusions

The di-iso-propylsilylene-linked solid support (8) was developed and shown to be compatible with base sensitive oligonucleotide conjugate formation. The cyanoethyl and tert-BPA-protecting groups could be removed to give fully deprotected, support-bound oligonucleotides for conjugate formation. The di-iso-propylsilylene linker could be cleaved (1 h) under mild, acidic conditions (2% TFA in CH2Cl2) that were compatible with base sensitive oligonucleotide conjugate formation. DNA triplex formation was exhibited by a temozolomide oligonucleotide that was equal in stability to the unconjugated control. This opens new avenues of research [21] to allow evaluation of the in vitro and in vivo cytotoxicity profiles and anticancer properties of oligonucleotide conjugates of temozolomide.

Supplementary Materials

Spectroscopic data and other supporting information can be downloaded at https://www.mdpi.com/article/10.3390/dna5030036/s1.

Author Contributions

Investigation, writing—original draft preparation, A.J.W.; conceptualisation, studentship acquisition, writing—review and editing, W.F. All authors have read and agreed to the published version of the manuscript.

Funding

This research was funded by Cancer Research UK SP2283/0101.

Institutional Review Board Statement

Not applicable.

Informed Consent Statement

Not applicable.

Data Availability Statement

The original contributions presented in this study are included in the article/Supplementary Material. Further inquiries can be directed to the corresponding author(s).

Acknowledgments

We thank Cancer Research UK for a studentship (A.J.W.), and the National Mass Spectrometry Facility (Swansea) and Karen Farrow (Aston University) for mass spectral analyses.

Conflicts of Interest

The authors declare no conflicts of interest. The funders had no role in the design of the study, in the collection, analyses, or interpretation of data, in the writing of the manuscript, or in the decision to publish the results.

Abbreviations

The following abbreviations are used in this manuscript:
CPGControlled pore glass
DCCN,N’-Dicyclohexylcarbodiimide
DhbtOH3,4-Dihydro-3-hydroxy-4-oxo-1,2,3-benzotriazine
DMT4,4′-Dimethoxytrityl
DMFN,N-Dimethylformamide
DIPEAN,N-Diisopropylethylamine
ESMSElectrospray mass spectrometry
HPLCHigh performance liquid chromatography
LCAALong chain alkyl amine
MWMolecular weight
PIPESPiperazine-N,N’-bis(2-ethanesulfonic acid)
PyBOPBenzotriazol-1-yloxytripyrrolidinophosphonium hexafluorophosphate
RfRetention factor
r.t.Room temperature
SPSSolid-supported synthesis
tRRetention time
tert-BPAtert-Butylphenoxyacetyl
TFATrifluoroacetic acid

References

  1. Jezierzański, M.; Nafalska, N.; Stopyra, M.; Furgoł, T.; Miciak, M.; Kabut, J.; Gisterek-Grocholska, I. Temozolomide (TMZ) in the Treatment of Glioblastoma Multiforme—A Literature Review and Clinical Outcomes. Curr. Oncol. 2024, 31, 3994–4002. [Google Scholar] [CrossRef] [PubMed]
  2. Moody, C.L.; Wheelhouse, R.T. The Medicinal Chemistry of Imidazotetrazine Prodrugs. Pharmaceuticals 2014, 7, 797–838. [Google Scholar] [CrossRef] [PubMed]
  3. Cousin, D.; Hummersone, M.G.; Bradshaw, T.D.; Zhang, J.; Moody, C.J.; Foreiter, M.B.; Summers, H.S.; Lewis, W.; Wheelhouse, R.T.; Stevens, M.F.G. Synthesis and Growth-Inhibitory Activities of Imidazo[5,1-d]-1,2,3,5-Tetrazine-8-Carboxamides Related to the Anti-tumour Drug Temozolomide, with Appended Silicon, Benzyl and Heteromethyl Groups at the 3-Position. Med. Chem. Commun. 2018, 9, 545–553. [Google Scholar] [CrossRef] [PubMed]
  4. Szames, D.; Kelley, S.O. Mitochondria-Targeted Temozolomide Probe for Overcoming MGMT-Mediated Resistance in Glioblastoma. ChemBioChem 2025, 26, e202400935. [Google Scholar] [CrossRef] [PubMed]
  5. Lönnberg, H. Solid-Phase Synthesis of Oligonucleotide Conjugates Useful for Delivery and Targeting of Potential Nucleic Acid Therapeutics. Bioconjugate Chem. 2009, 20, 1066–1094. [Google Scholar] [CrossRef] [PubMed]
  6. Pozza, M.D.; Abdullrahman, A.; Cardin, C.J.; Gasser, G.; Hall, J.P. Three’s a Crowd—Stabilisation, Structure, and Applications of DNA Triplexes. Chem. Sci. 2022, 13, 10193–10215. [Google Scholar] [CrossRef] [PubMed]
  7. Yeoh, Y.Q.; Amin, A.; Cuic, B.; Tomas, D.; Turner, B.J.; Shabanpoor, F. Efficient systemic CNS delivery of a therapeutic antisense oligonucleotide with a blood-brain barrier-penetrating ApoE-derived peptide. Biomed. Pharmacother. 2024, 175, 116737. [Google Scholar] [CrossRef] [PubMed]
  8. Li, C.; Zhou, Z.; Ren, C.; Deng, Y.; Peng, F.; Wang, Q.; Zhang, H.; Jiang, Y. Triplex-Forming Oligonucleotides as an Anti-gene Technique for Cancer Therapy. Front. Pharmacol. 2022, 13, 1007723. [Google Scholar] [CrossRef] [PubMed]
  9. Brzezinska, J.; Trzciński, S.; Strzelec, J.; Chmielewski, M.K. From CPG to Hybrid Support: Review on the Approaches in Nucleic Acids Synthesis in Various Media. Bioorg. Chem. 2023, 140, 106806. [Google Scholar] [CrossRef] [PubMed]
  10. Virta, P.; Katajisto, J.; Niittymäki, T.; Lönnberg, H. Solid-Supported Synthesis of Oligomeric Bioconjugates. Tetrahedron 2003, 59, 5137–5174. [Google Scholar] [CrossRef]
  11. Ward, S.M.; Skinner, M.; Saha, B.; Emrick, T. Polymer−Temozolomide Conjugates as Therapeutics for Treating Glioblastoma. Mol. Pharm. 2018, 15, 5263–5276. [Google Scholar] [CrossRef] [PubMed]
  12. Yamamoto, K.; Fuchi, Y.; Ito, Y.; Hari, Y. Expansion of Phosphoramidite Chemistry in Solid-Phase Oligonucleotide Synthesis: Rapid 3′-Dephosphorylation and Strand Cleavage. J. Org. Chem. 2023, 88, 2726–2734. [Google Scholar] [CrossRef] [PubMed]
  13. Chillar, K.; Awasthy, R.; Tanasova, M.; Fang, S. Synthesis of Sensitive Oligodeoxynucleotides Containing Acylated Cytosine, Adenine, and Guanine Nucleobases. DNA 2025, 5, 25. [Google Scholar] [CrossRef]
  14. Lavergne, T.; Parey, N.; Vasseur, J.-J.; Debart, F. Efficient Release of Base-Sensitive Oligonucleotides from Solid Supports Using Fluoride Ions. Eur. J. Org. Chem. 2009, 2009, 2190–2194. [Google Scholar] [CrossRef]
  15. Ohkubo, A.; Noma, Y.; Aoki, K.; Tsunoda, H.; Seio, K.; Sekine, M. Introduction of 3′-Terminal Nucleosides Having a Silyl-Type Linker into Polymer Supports Without Base Protection. J. Org. Chem. 2009, 74, 2817–2823. [Google Scholar] [CrossRef] [PubMed]
  16. Walsh, A.J.; Clark, G.C.; Fraser, W. A Direct and Efficient Method for Derivatisation of Solid Supports for Oligonucleotide Synthesis. Tetrahedron Lett. 1997, 38, 1651–1654. [Google Scholar] [CrossRef]
  17. Crouch, R.D. Selective Deprotection of Silyl Ethers. Tetrahedron 2013, 69, 2383–2417. [Google Scholar] [CrossRef]
  18. Still, W.; Kahn, M.; Mitra, A. Rapid Chromatographic Technique for Preparative Separations with Moderate Resolution. J. Org. Chem. 1978, 43, 2923–2925. [Google Scholar] [CrossRef]
  19. Atkinson, T.; Smith, M. Solid Phase Synthesis of Oligodeoxyribonucleotides by the Phosphite-triester Method. In Oligonucleotide Synthesis—A Practical Approach; Gait, M.J., Ed.; IRL Press: Oxford, UK, 1984; pp. 35–81. [Google Scholar]
  20. Arrowsmith, J.; Jennings, S.A.; Clark, A.S.; Stevens, M.F.G. Antitumor Imidazotetrazines. 41.1 Conjugation of the Antitumor Agents Mitozolomide and Temozolomide to Peptides and Lexitropsins Bearing DNA Major and Minor Groove-Binding Structural Motifs. J. Med. Chem. 2002, 45, 5458–5470. [Google Scholar] [CrossRef] [PubMed]
  21. Stevens, M.F.G.; Wheelhouse, R.T. Antitumour Imidazotetrazines: Past, Present and Future? RSC Chem. Biol. 2023, 4, 736–741. [Google Scholar] [CrossRef] [PubMed]
Figure 1. The activation of temozolomide (1) via dacarabzine analogue (2) to carboxamide (3) and methyl diazonium ion (4).
Figure 1. The activation of temozolomide (1) via dacarabzine analogue (2) to carboxamide (3) and methyl diazonium ion (4).
Dna 05 00036 g001
Figure 2. Representative DNA triplex structures C+GC (left) and TAT (right).
Figure 2. Representative DNA triplex structures C+GC (left) and TAT (right).
Dna 05 00036 g002
Figure 3. Chemical structures of the linkers 1,3-dithian-2-yl-methoxycarbonyl (5), phenyl-di-iso-propylsilyl (6 and 7), and di-iso-propylsilylene (8).
Figure 3. Chemical structures of the linkers 1,3-dithian-2-yl-methoxycarbonyl (5), phenyl-di-iso-propylsilyl (6 and 7), and di-iso-propylsilylene (8).
Dna 05 00036 g003
Scheme 1. The preparation of the di-iso-propylsilylene linked CPG solid support (8) and triflate (14). Reagents and conditions; (i) 4,4′-dimethoxytrityl chloride, pyridine, r.t., overnight; (ii) DMAP, 2,6-lutidine, r.t., 21 h; (iii) DhbtOH, DCC, DMAP, LCAA-CPG, DMF, r.t., 0.5 h; (iv) 3% Cl2CHCO2H in CH2Cl2, r.t., 3 min; (v) bis-(trifluoromethanesulfonyl)diisopropylsilane, CH3CN, DMF, −40 °C, 10 min; (vi) imidazole, CH3CN, DMF, −40 °C, 10 min; (vii) 2,6-lutidine, DMAP, r.t., 19 h.
Scheme 1. The preparation of the di-iso-propylsilylene linked CPG solid support (8) and triflate (14). Reagents and conditions; (i) 4,4′-dimethoxytrityl chloride, pyridine, r.t., overnight; (ii) DMAP, 2,6-lutidine, r.t., 21 h; (iii) DhbtOH, DCC, DMAP, LCAA-CPG, DMF, r.t., 0.5 h; (iv) 3% Cl2CHCO2H in CH2Cl2, r.t., 3 min; (v) bis-(trifluoromethanesulfonyl)diisopropylsilane, CH3CN, DMF, −40 °C, 10 min; (vi) imidazole, CH3CN, DMF, −40 °C, 10 min; (vii) 2,6-lutidine, DMAP, r.t., 19 h.
Dna 05 00036 sch001
Scheme 2. The solid-supported synthesis, deprotection, conjugation, and cleavage of 5′-phenacetoylaminopentylphosphate-linked d[T8] DNA sequence (19). Reagents and conditions; (i) phosphoramidite (21) attached in the final SPS coupling cycle and concluded in “trityl off” mode; (ii) tert-butylamine, r.t., 15.5 h; (iii) phenylacetic acid, PyBOP, DIPEA, DMF, r.t., 2 h; (iv) 2% TFA in CH2Cl2, 1 h.
Scheme 2. The solid-supported synthesis, deprotection, conjugation, and cleavage of 5′-phenacetoylaminopentylphosphate-linked d[T8] DNA sequence (19). Reagents and conditions; (i) phosphoramidite (21) attached in the final SPS coupling cycle and concluded in “trityl off” mode; (ii) tert-butylamine, r.t., 15.5 h; (iii) phenylacetic acid, PyBOP, DIPEA, DMF, r.t., 2 h; (iv) 2% TFA in CH2Cl2, 1 h.
Dna 05 00036 sch002
Scheme 3. Preparation of DMT-protected alcohol (20), aminopentyl phosphoramidite (21), and the carboxylic acid derivative (22) of temozolomide (1). Reagents and conditions; (i) trimethylsilyl chloride, pyridine, 0 °C to r.t., 1 h; (ii), DMT chloride, pyridine, r.t., 12 h; (iii) 2-cyanoethyl-N,N-diisopropyl chlorophosphoramidite, THF, DIPEA, r.t., 45 min; (iv) conc. H2SO4; NaNO2, H2O, <60 °C, 50 min; (v) r.t., 4 h.
Scheme 3. Preparation of DMT-protected alcohol (20), aminopentyl phosphoramidite (21), and the carboxylic acid derivative (22) of temozolomide (1). Reagents and conditions; (i) trimethylsilyl chloride, pyridine, 0 °C to r.t., 1 h; (ii), DMT chloride, pyridine, r.t., 12 h; (iii) 2-cyanoethyl-N,N-diisopropyl chlorophosphoramidite, THF, DIPEA, r.t., 45 min; (iv) conc. H2SO4; NaNO2, H2O, <60 °C, 50 min; (v) r.t., 4 h.
Dna 05 00036 sch003
Scheme 4. Solid-supported synthesis of the triplex-forming oligonucleotide conjugate of temozolomide (26). Reagents and conditions; (i) 2% TFA in CH2Cl2, 1 h; (ii) carboxylic acid (22), PyBOP, DIPEA, DMF, r.t., 2 h.
Scheme 4. Solid-supported synthesis of the triplex-forming oligonucleotide conjugate of temozolomide (26). Reagents and conditions; (i) 2% TFA in CH2Cl2, 1 h; (ii) carboxylic acid (22), PyBOP, DIPEA, DMF, r.t., 2 h.
Dna 05 00036 sch004
Table 1. Triplex stabilities of temozolomide conjugate (26) and unconjugated sequence (29).
Table 1. Triplex stabilities of temozolomide conjugate (26) and unconjugated sequence (29).
3′-dCCCCCTTTCTTTTCTCTCTT-5′ (27)
5′-dGGGGGAAAGAAAAGAGAGAA-3′ (28)
5′-dTTTCTTTTCTCTCTT-3′ (29)
5′-T-dTTTCTTTTCTCTCTT-3′ (26)
DNA Triplex 1Tm Triplex (°C)Tm Duplex (°C)
29.28.2746.5 ± 165.9 ± 0.5
26.28.2747.5 ± 165.7 ± 0.5
1 4.5 µM of total strands (1.5 µM each strand) in the presence of PIPES (100 mM) buffer (pH 6.4) in the presence of spermine (5 mmol), MgCl2 (100 mmol), and NaCl (500 mmol). T represents temozolomide.
Disclaimer/Publisher’s Note: The statements, opinions and data contained in all publications are solely those of the individual author(s) and contributor(s) and not of MDPI and/or the editor(s). MDPI and/or the editor(s) disclaim responsibility for any injury to people or property resulting from any ideas, methods, instructions or products referred to in the content.

Share and Cite

MDPI and ACS Style

Walsh, A.J.; Fraser, W. DNA Triplex-Formation by a Covalent Conjugate of the Anticancer Drug Temozolomide. DNA 2025, 5, 36. https://doi.org/10.3390/dna5030036

AMA Style

Walsh AJ, Fraser W. DNA Triplex-Formation by a Covalent Conjugate of the Anticancer Drug Temozolomide. DNA. 2025; 5(3):36. https://doi.org/10.3390/dna5030036

Chicago/Turabian Style

Walsh, Andrew J., and William Fraser. 2025. "DNA Triplex-Formation by a Covalent Conjugate of the Anticancer Drug Temozolomide" DNA 5, no. 3: 36. https://doi.org/10.3390/dna5030036

APA Style

Walsh, A. J., & Fraser, W. (2025). DNA Triplex-Formation by a Covalent Conjugate of the Anticancer Drug Temozolomide. DNA, 5(3), 36. https://doi.org/10.3390/dna5030036

Article Metrics

Back to TopTop