Previous Article in Journal
Response-Surface-Based Optimization of Pyrolysis Parameters for Enhanced Fixed-Carbon Content and High Heating Value of Pili (Canarium ovatum Engl.) Nutshell-Derived Biochar
 
 
Font Type:
Arial Georgia Verdana
Font Size:
Aa Aa Aa
Line Spacing:
Column Width:
Background:
Article

Modeling of a Non-Wood Biomass Conversion Process in a Grate-Fired Boiler

Department of Thermal and Fluid Engineering, University of Twente, P.O. Box 217, 7500AE Enschede, The Netherlands
*
Author to whom correspondence should be addressed.
Biomass 2026, 6(2), 23; https://doi.org/10.3390/biomass6020023
Submission received: 4 January 2026 / Revised: 28 January 2026 / Accepted: 26 February 2026 / Published: 9 March 2026

Abstract

This paper builds a one-dimensional transient numerical model of mixed fuel of woody and non-woody biomass to simulate the multistage conversion process of biomass in a moving grate-fired bed, including drying, pyrolysis, gasification, and char combustion. Based on time and space discretization, the model comprehensively considers the conservation of mass, momentum, and energy. It also introduces reaction kinetics and freeboard radiation coupling effects to more accurately describe the bed temperature distribution and reaction process. The analysis focuses on the effects of different non-woody biomass mixing ratios and moisture content. This provides references for optimization of the design of future furnaces and operating parameters and mixed fuel composition. The simulation results show that, for pure woody biomass, the surface temperature reaches approximately 200 °C in the first zone, followed by char reactions with peak temperatures up to 592 °C. The whole conversion process takes about 62% of the grate length. Increasing the pepper mixing ratio leads to lower bed temperatures due to the higher moisture content. The maximum bed temperature in the first zone decreases from 592 °C for pure wood to 551 °C at 30 wt.% pepper, with delayed pyrolysis and a thinner char reaction zone. When the pepper mixing ratio is below 20 wt.%, the combustion process maintains a stable temperature gradient and a continuous reaction front, compared to the mixing ratio of 30% pepper case. This confirms the feasibility of non-woody biomass application to combustion technology. Although a higher pepper mixing ratio leads to a slight temperature decrease, the reaction remains stable along the grate, indicating reliable combustion performance.

1. Introduction

In recent years, due to the increase in energy demand, biomass energy has received much attention as a renewable energy source in combined heat and power (CHP) generation systems [1]. Unlike traditional coal-fired power plants, biomass combustion power plants use biomass as the raw material and convert energy through an efficient combustion process [2]. The technology provides a feasible solution for alleviating the energy crisis and addressing climate change. Compared with alternative biomass combustion technologies such as fluidized bed and pulverized fuel systems, grate-fired boilers are widely used in biomass power generation because of their strong fuel adaptability, large-scale operation and direct combustion of raw biomass [3]. These characteristics make grate-fired boilers particularly suitable for the combustion of mixed woody and non-woody biomass, which is commonly used in practical biomass power plants.
Although progress has been made in the study of woody biomass, its resources are limited and expensive. In contrast, non-woody biomass, such as crop residues and agricultural waste, is renewable, environmentally friendly, and helps to utilize waste resources by converting them into energy. However, large quantities of non-woody biomass are still not utilized for CHP generation due to agglomeration, blockage, fouling, and corrosion on the grate. The physical and chemical properties of non-woody biomass fuels vary greatly, which significantly impacts the combustion process in the furnace [4]. This leads to problems such as ash slagging, corrosion, and pollutant emissions [5]. Therefore, accurately predicting the thermochemical conversion process of non-woody biomass fuels in a grate system clarifies their combustion behavior, optimizes the combustion control strategy, and improves combustion efficiency while reducing costs and pollution emissions [6].
Biomass combustion has been widely studied [7,8,9,10,11,12]. However, modeling the complex thermochemical conversion process in grate furnaces still remains challenging, since these simulations depends on how effectively the mass and energy exchanges between the fuel bed and freeboard are captured [13].
Early models mainly used empirical formulas to describe biomass conversion processes. One notable example is the simplified pyrolysis model developed by Thunman et al. [7], which divides the fuel bed into several zones, each with a fixed temperature and conversion rate based on experimental observations. These zones correspond to key conversion stages, including drying, pyrolysis, and char combustion [9]. The model is based on mass and energy balance to calculate the gas components released from the fuel bed. However, the processes often overlap and reactions can occur simultaneously across multiple zones making the modeling process challenging. While this approach is computationally efficient, it lacks physical accuracy. Therefore, one-dimensional models were developed to simulate heat and mass transfer in the fuel bed [14,15], including application of a separate code to set the boundary conditions for the freeboard CFD analysis [16]. This code calculated the temperature, velocity, and gas concentration at the top of the bed. Subsequently, Yang et al. [17,18] developed a diffusion-based moving bed model for solid waste incinerators. This approach kept the model simple while maintaining physical accuracy. Furthermore, steady-state 2D and 3D simulations based on a two-fluid framework have been applied to an industrial-scale moving grate incinerator, see [19,20]. However, this approach required high computational costs. Finally, a one-dimensional transient solid fuel conversion model for grate combustion optimization was proposed showing promising results in the prediction of bed behavior under the influence of varying parameters [21].
Despite these advances, there are still significant limitations of the existing research and models to predict bed behavior under operation on various biomass feed blends. Existing one-dimensional models have primarily been validated for woody biomass, but the combustion dynamics of woody and non-woody mixed fuels, which are increasingly common in practical applications, have not been fully understood. Specifically, there is a lack of systematic research on how fuel mixture ratios affect temperature and moisture distribution, as well as gas composition within the fuel bed. This limits the model’s ability to predict actual mixed fuel conditions.
This study aims to systematically investigate the combustion characteristics of woody and non-woody biomass mixed fuels with different mixed ratios through a one-dimensional modeling approach. The results will support future boiler design while maintaining computational simplicity and practicality for engineering applications.

2. Materials and Methods

2.1. Specification of Biomass Boiler

The bed model is considered to be one-dimensional, and the simulations were performed using MATLAB (R2023a). The domain is divided into five different sections, corresponding to five hoppers supplying fresh air and flue gas recirculation. The biomass conversion process includes evaporation, devolatilization and char combustion, as presented in Figure 1. Typical parameters and operational conditions of biomass plants are given in Table 1. Under nominal operation, the boiler thermal input is assumed to be 17.4 MW and the residence time on the grate is approximately 75 min. The bed also receives via the hoppers the primary air and recirculated flue gas with distribution as presented in Table 2 and Table 3.
The investigated fuel is a mixture of woody biomass and pepper leftovers. Fuel properties are listed in Table 4. The distribution of pyrolysis products was estimated based on the energy and elemental balance method and modified empirical correlation formula, see Equations (1)–(3), where y i is the mass fraction of generated species i , M i is the molar mass of species i , X i is the elemental mass fraction of element i , δ i is the equivalent heating value of species i , related to a lower heating value (LHV) basis, κ is the equivalent heating value of volatile matter, related to an LHV basis, and Ω C O / C O 2 and Ω C H 4 / C O 2 are empirical ratios, followed the work of Thunman et al. [7]. To simplify the analysis, the generated gas species were adjusted, see also [8]; the light hydrocarbons (CiHj) were represented by CH4; and the lumped oxygenated hydrocarbons (CnHmOk) were characterized by C6H6, see Equations (1)–(3). The resulting gas mixture included CO, CO2, H2O, H2, CH4, and C6H6. The radiation temperature distribution from the freeboard region to the fuel bed was estimated through parallel performed CFD simulation, see Table 5. The distribution of the radiation temperature is as follows.
y H 2 O y H 2 y CO y CO 2 y CH 4 y C 6 H 6 = 0 0 1 / M C O 1 / M C O 2 1 / M C H 4 6 / M C 6 H 6 1 / M H 2 O 1 / M H 2 0 0 2 / M C H 4 3 / M C 6 H 6 0.5 / M H 2 O 0 0.5 / M C O 1 / M C O 2 0 0 δ H 2 O δ H 2 δ CO δ CO 2 δ CH 4 δ C 6 H 6 0 0 1 Ω C O / C O 2 0 0 0 0 0 Ω C H 4 / C O 2 1 0 1 × X C / M C X H 2 / M H 2 X O 2 / M O 2 κ 0 0
Ω C O / C O 2 = 1.94 · 10 6 T 1.87
Ω C H 4 / C O 2 = 1.305 · 10 11 T 3.39

2.2. Modeling Approach

Although fuel bed conversion is inherently a three-dimensional transient process, in moving grate furnaces the transport of heat and mass is dominant in the direction perpendicular to the grate (vertical direction through the bed height). Due to the long fuel residence time and high Péclet numbers characteristic of these systems, horizontal heat conduction and diffusion can be neglected [21]. Consequently, fuel bed conversion can be accurately represented as a one-dimensional transient system along the bed height. For that, this work adopts a one-dimensional transient model based on the walking-column method, see [23,24,25,26]. The physical domain is represented by a vertical slice of the bed which moves along the grate at a known velocity v g r a t e , such that its position is described by:
x   =   v g r a t e t
As commonly observed in biomass grate furnaces, the fuel bed exhibits a counter-current configuration: ignition is initiated by radiative heating at the bed surface, while primary air flows upward through the bed from below the grate [27]. See Figure 2 for a schematic of the model. Primary air and flue gas recirculation enter the fuel column through the hoppers in the grate, radiation from the freeboard provides heat at the top of the fuel column, and gases release from the grate to the freeboard.
A macro-scale approach is employed to model the fuel bed as a continuous porous medium, see [6,9], The bed is composed of homogeneous distributed spherical, thermally thin particles and neglects intra-particle temperature and species gradients [9,21]. This assumption is valid for small particles or low internal resistance, as indicated by a Biot number much less than unity [6].
The local thermal equilibrium (LTE) is prescribed between the gas and solid phases, implying that the solid and gas phases within the porous fuel bed are at the same local temperature at any given point and time. This simplification is rational when heat exchange between phases occur rapidly compared to the characteristic timescales of the system. Consequently, a single energy equation can be solved for both phases. Furthermore, the model assumes a constant system pressure of 101.3 kPa, neglecting pressure drop and momentum losses across the bed, as commonly adopted in one-dimensional fixed- and moving-bed models [9,21]. The gas phase is treated as an ideal gas, with velocity obtained from the gas continuity equation [21,28]. Diffusion of gas species is neglected because convective transport dominates under the high Peclet numbers typical of grate furnaces [23]. Finally, the gas flow through the bed is assumed to follow plug flow [9,23].
Fuel-bed conversion consists of four sub-processes: drying, pyrolysis, char gasification, and char combustion [6,9]. In-bed oxidation of volatile gases released during pyrolysis is neglected, since the bed operates under fuel-rich conditions with primary air below the stoichiometric requirement. Consequently, most volatiles leave the bed unreacted and are oxidized in the freeboard by secondary air.
The composition of biomass is characterized through proximate analysis, which quantifies the proportions of moisture, volatile matter, char, and ash, see Table 4. The volatile matter is assumed to contain carbon, hydrogen, and oxygen and determines the pyrolysis gas composition. Char is modeled as pure carbon, while ash is considered to be an inert component [29]. The gas phase includes species from ambient and recirculated flue gas (N2, O2, CO2, and H2O) as well as fuel-derived species (CO, H2, CH4, and C6H6). Nitrogen is non-reactive; and the tar product of pyrolysis is approximated as benzene (C6H6).

2.3. Governing Equations

The solid phase is described by a set of continuity and species conservation equations that account for the temporal evolution of solid bulk density and its individual components. The general continuity equation is
1 ϵ b ρ s t =   r d r y +   r p y r , v m + r C , c o m b + r C , g a s
where ϵ b is the bed porosity, ρ s is the total solid density, and r d r y , r p y r , v m , r C , c o m b and r C , g a s are the reaction rates for drying, volatile matter release, char combustion, and char gasification, respectively.
Separate species equations are formulated for moisture, dry biomass, and char to resolve their individual transformations during the conversion process, given by
1 ϵ b ρ M t =   r d r y
1 ϵ b ρ B t =   r p y r
1 ϵ b ρ C t =   r p y r , c h a r   +   r C , c o m b +   r C , g a s
where ρ M , ρ B and ρ C are the densities of moisture, dry biomass and char, respectively; r p y r is the reaction rate of pyrolysis; and r p y r , c h a r is the formation rate of solid char during pyrolysis. Pyrolysis involves the simultaneous conversion of dry wood into gaseous and solid products. Accordingly, the total pyrolysis rate is expressed as:
r p y r =   r p y r , v m   +   r p y r , c h a r
The gas phase is governed by continuity and species conservation equations, analogous to those of the solid phase. Since diffusion is neglected, only advective transport due to the bulk gas flow contributes to mass transfer in the gas phase.
The gas-phase continuity equation is
ρ g ϵ b t + ρ g v g y = r d r y + r p y r , v m + r C , c o m b + r C , g a s
where ρ g is the gas density and v g is the superficial velocity.
The gas density is given by the ideal gas law:
ρ g =   P M g R T g
The gas species conservation equations are
ρ g ϵ b Y g , j t + ρ g v g Y g , j y = r j
j   O 2 ,   H 2 O ,   C O 2 ,   C O ,   H 2 ,   C H 4 ,   C 6 H 6
where Y g , j is the mass fraction of species j and r j denotes its net production or consumption from all relevant reactions, including contributions from the solid phase.
The thermal behavior of the bed is described by a single energy equation under the assumption of local thermal equilibrium between the gas and solid phases. Interphase temperature differences are therefore neglected. The effective volumetric heat capacity of the bed is defined as
ρ C e f f = ϵ b ρ g C g + 1 ϵ b ρ s C s
where C g and C s are the gas and solid specific heat capacities, respectively.
Heat transfer within the bed occurs through three main mechanism:
  • Conduction through the solids;
  • Convective heat transport by the bulk gas movement through the bed;
  • In-bed radiation, which is accounted for by including an effective radiation conductivity in the effective conduction term k e f f .
The energy conservation equation is then written as
T ρ C e f f   t + ( v g ρ g C g T ) y =   y k e f f   T y + i r i h i
where k e f f is the effective thermal conductivity of the bed, and the summation term i r i h i represents the heat sources and sinks associated with the individual reactions.
To close the energy and gas conservation equations, appropriate boundary conditions are applied at the top and bottom of the bed. At the top of the bed ( y = L ), radiative heat transfer from the freeboard is imposed as a boundary heat flux, representing radiative exchange between the bed surface and the freeboard region.
k e f f T y y = L = σ T r a d 4 T s 4
where T s is the bed surface temperature, T r a d is the radiation source temperature from the freeboard, and σ is the Stefan–Boltzmann constant.
Convective energy transport due to gas leaving the bed is inherently captured by the advective term in the energy conservation equation. For gas continuity and species transport, a zero-gradient condition is applied:
ρ g y y = L = 0 , Y g , i y y = L = 0
At the bottom of the bed ( y = 0 ), the inlet gas density, composition, and temperature are prescribed according to the distribution of primary air and recirculated flue gas.

2.4. Drying

Drying is the first stage of biomass conversion, during which moisture is removed from the fuel by heat-driven evaporation. Given that biomass can contain up to 90% moisture, a substantial fraction of the heat released during combustion is consumed to evaporate water, which strongly affects combustion stability, temperature distribution within the bed, and overall conversion efficiency. Several modeling approaches have been proposed to describe drying, including energy-balance formulations, reaction-based models, and diffusion-controlled models.
In this work, drying is modeled as a diffusion-limited process, where moisture evaporates from the fuel and diffuses into the surrounding gas. Classical diffusion-limited models typically account for particle surface area and mass transfer coefficients [26,28,30]; a simplified formulation is adopted in which the drying rate is proportional to the local vapor concentration difference over a time step. Local thermodynamic equilibrium is assumed at the liquid–gas interface within the pores, so that the vapor partial pressure at the fuel surface equals the saturation pressure corresponding to the local temperature [26]. Under these conditions, the driving force for drying is the difference between the saturation vapor density at the particle surface and the vapor density in the bulk gas. This formulation also accounts for low-temperature evaporation and possible recondensation within the pores.
Under this assumption, the drying rate per unit volume is approximated as
r d r y = ρ s a t ρ H 2 O , g Δ t
where ρ s a t is the saturation vapor density at the particle surface, ρ H 2 O , g is the local water vapor density in the surrounding gas phase, and Δ t is the time step size. The saturation vapor density is calculated from the saturation pressure P s a t using the ideal gas law:
ρ s a t = P s a t M H 2 O R T

2.5. Pyrolysis

Pyrolysis is the thermochemical decomposition of biomass in the absence or limited presence of oxygen or other oxidizing agents, typically occurring between 300 and 700 °C. During this process, complex hydrocarbons break down into simpler molecules, including gases, tar, and char. At higher temperatures, secondary reactions known as tar cracking further convert tar into non-condensable gases. The pyrolysis products are dependent on operational conditions. Low-temperature pyrolysis and slow heating rates favor char production, whereas rapid heating to moderate temperatures results in higher yields of condensable products.
Pyrolysis kinetics can be modeled using either a single-step global reaction or a parallel reaction scheme. The single-step model treats pyrolysis as a single rate-limiting step, where dry biomass converts simultaneously to gas, tar, and char with a fixed product distribution [6]. The reaction rate is typically expressed with an Arrhenius-type temperature dependence. This approach is simple to implement and widely used in earlier studies [28,31,32], but it cannot capture the individual formation rates of each product.
In contrast, a parallel reaction scheme models the formation of gases, tar, and char separately, using distinct rate expressions for each product [21,33]. This allows the model to account for the different temperature sensitivities and kinetics of the individual pyrolysis products, providing a more detailed and accurate representation of biomass decomposition under varying operational conditions [6].
In this work, pyrolysis is modeled as a single-step global decomposition reaction, in which dry biomass converts into char and gaseous products with predefined yield coefficients [32]. The reaction assumes lumped kinetics and neglects intermediate tar formation and secondary cracking reactions. The overall reaction scheme is:
B i o m a s s y C C + y C O C O + y C O 2 C O 2 + y H 2 O H 2 O + y H 2 H 2 + y C H 4 C H 4 + y C 6 H 6 C 6 H 6
The reaction rate follows a first-order Arrhenius expression with respect to the dry biomass density [32]
r p y r = A p 1 e x p E p 1 R T ρ B
where ρ B is the dry biomass density, A p 1 is the pre-exponential factor, and E p 1 is the activation energy; the kinetic parameters are provided in Table 6.
Product yield coefficients y i are determined using the model proposed by Thuman et al. [7], which incorporates an elemental balance of carbon (C), hydrogen (H), and oxygen (O), combined with an energy balance and two empirical correlations, see Equations (1)–(3). The predicted pyrolysis product distribution of woody biomass is as follows: y C = 15.00%, y H 2 O = 13.04%, y H 2 = 2.28%, y CO = 14.51%, y C O 2 = 31.44%, y C H 4 = 2.29% and y C 6 H 6 = 21.44%.

2.6. Char Gasification

Upon complete devolatilization of biomass, gasifying agents and oxygen diffuse toward the surface of the residual char particles, initiating heterogeneous combustion and gasification reactions. Biomass-derived char is highly porous and composed of approximately 95% C, 2% H, and 3% O [32]. Due to the minimal concentrations of H and O, char is often approximated as pure carbon in modeling studies [29]. The reactivity of char depends on the pyrolysis conditions: higher pyrolysis temperatures and longer residence times reduce reactivity by decreasing the number of reactive surface sites.
During gasification, char reacts with carbon dioxide (CO2) and water vapor (H2O) to produce volatile gases, which may undergo further oxidation. Reactions with CO2 and H2O are endothermic. Gasification with hydrogen (H2) is exothermic but is neglected here due to its limited availability and slow kinetics:
C + C O 2 2 C O
C + H 2 O C O + H 2
Char gasification occurs at the particle surface, with the reaction rate assumed first-order with respect to the partial pressure of the gasifying agent. The rate expression is [35]:
ρ i t = k i A p p i ,
i C O 2 , H 2 O
where ρ i is the gas-phase density of species i , A p is the specific surface area of the char, p i is the partial pressure of species i , and k i is the effective reaction rate coefficient which follows an Arrhenius-type expression, with the corresponding kinetic parameters provided in Table 6:
k i = A i E i R T

2.7. Char Combustion

Char combustion is the heterogeneous oxidation of solid carbon with oxygen, occurring after the release of volatiles during pyrolysis. In this process, carbon can undergo either complete oxidation to carbon dioxide (CO2) or partial oxidation to carbon monoxide (CO), with the latter releasing less heat. The dominant reaction pathway depends strongly on temperature: higher temperatures favor partial oxidation and increased CO formation, while lower temperatures promote complete oxidation to CO2. The overall reaction can be expressed as [21,23,30]:
C + 1 Φ O 2 2 1 1 Φ C O + 2 Φ 1 C O 2
Here, Φ is the stoichiometric ratio, defined as:
Φ = 1 + r c 0.5 + 1 / r c
The CO/CO2 formation ratio r c , depends on the char surface temperature and is given by [18,23]:
r c = 2500 e x p 6420 T
The char combustion rate is first-order with respect to both oxygen partial pressure p O 2 and char density ρ C [21,23,30]:
r C , c o m b = k 0 p O 2 ρ C
The overall reaction rate coefficient k 0 accounts for both chemical kinetics and mass transfer limitations and is expressed as [21,23]:
k 0 = 1 k c h + R T ρ C Φ M C A p k d 1
The intrinsic kinetic term k c h follows an Arrhenius-type:
k c h = A c e x p T a c T s
The external mass transfer coefficient k d is linked to the Sherwood number S h b by
S h b = k d d p D O 2 N 2
where d p is the fuel particle diameter and D O 2 N 2 is the diffusion coefficient of O2 in N2.
The Sherwood number is estimated using the correlation, which extends the classical Wakao–Funazkri relation with the porosity correction suggested by Schlünder and Tsotsas [21]:
S h b = 1 + 1.5 1 ϵ b 2 + 1.1 R e 0.6 S c 1 / 3
where R e is the Reynolds number and S c is the Schmidt number
R e = ρ g υ g d p v g , S c = υ g ρ g d p
where υ g is the dynamic viscosity. Empirical correlations for D O 2 N 2 and υ g are given as [21]:
υ g = 1.98 × 10 5 T 300 2 3 D O 2 N 2 = 2.593 × 10 6 T 0.5

2.8. Shrinkage Model

Thermal conversion of biomass leads to progressive mass loss and increased particle porosity. Volumetric shrinkage occurs during distinct conversion stages. Based on operational experience, shrinkage in this model is assumed to occur in two phases: 20% during pyrolysis and 80% during char conversion. Drying is modeled to affect only the internal porosity and does not contribute to volume change.
The model extends the approach of Martinez-Garcia et al. [21], who considered shrinkage only during char combustion, by dynamically adjusting the local cell volume according to the conversion progress. The cross-sectional area remains constant and shrinkage manifests as a reduction in bed height. The local volume ration V / V 0 is expressed as
V V 0 = 0.2 x v m + 0.8 x s c + x 0 a
where V is the instantaneous cell volume, V 0 is the initial volume, x v m is the remaining volatile matter fraction, x s c is the fraction of solid combustible matter and x 0 a is the ash volume fraction, defined as
x 0 a = V a 0.8 V 0
with V a representing the residual ash volume after complete burnout.
The evolution of the solid combustible fraction is governed by the total char consumption rate r C , t o t , see the formula below [21]:
x s c t = x s c r C , t o t ρ C , ρ C > 0

2.9. Physical Parameters

Accurate prediction of biomass conversion requires consistent definition of the main thermophysical properties influencing heat and mass transfer. The model considers the evolution of density, heat capacity, and effective thermal conductivity of the fuel bed.
The initial bulk density of the wet fuel is defined as a mass-weighted combination of the dry biomass and moisture densities
ρ s , 0 = 1 y H 2 O ρ s , d r y + y H 2 O ρ H 2 O
where y H 2 O is the initial moisture mass fraction.
Assuming spherical particles, the volumetric surface area determines the total reactive surface per unit bed volume:
A p   = 6 1 ϵ b d p
The gas-phase heat capacity is computed as a mass-fraction weighted sum over all species:
C g = j Y g , j C g , j
The solid-phase heat capacity is expressed as a weighted average between virgin fuel and char, depending on the conversion degree η .
C s = η C V F + 1 η C C
where C V F and C c represent the specific heat capacities of virgin fuel and char, respectively. The conversion degree is defined as the ratio of dry fuel mass m B relative to the initial mass m B , 0 :
η = m B m B , 0
The effective thermal conductivity of the bed accounts for solid conduction, radiation, and particle mixing:
k e f f = 1 ϵ b k s + k m i x + k r a d
The mixing term represents heat redistribution due to particle motion and vibrations. Following the diffusion-based approach [14], it is expressed as
k m i x = ρ s C s D s
where D s is an effective thermal diffusivity determined empirically to match experimental bed temperature gradients, similar to the approach used by Yao Bin Yang et al. [14].
Radiative heat transfer within the bed is represented by:
k r a d = 4 σ d p ϵ b 1 ϵ b T 3

3. Results and Discussion

A comparative analysis is conducted for four conditions: pure wood biomass (woody) and blends with 10 wt.%, 20 wt.%, and 30 wt.% pepper residue. The analysis includes temperature and moisture distribution, char formation, gas composition changes, and reaction rate along the grate.
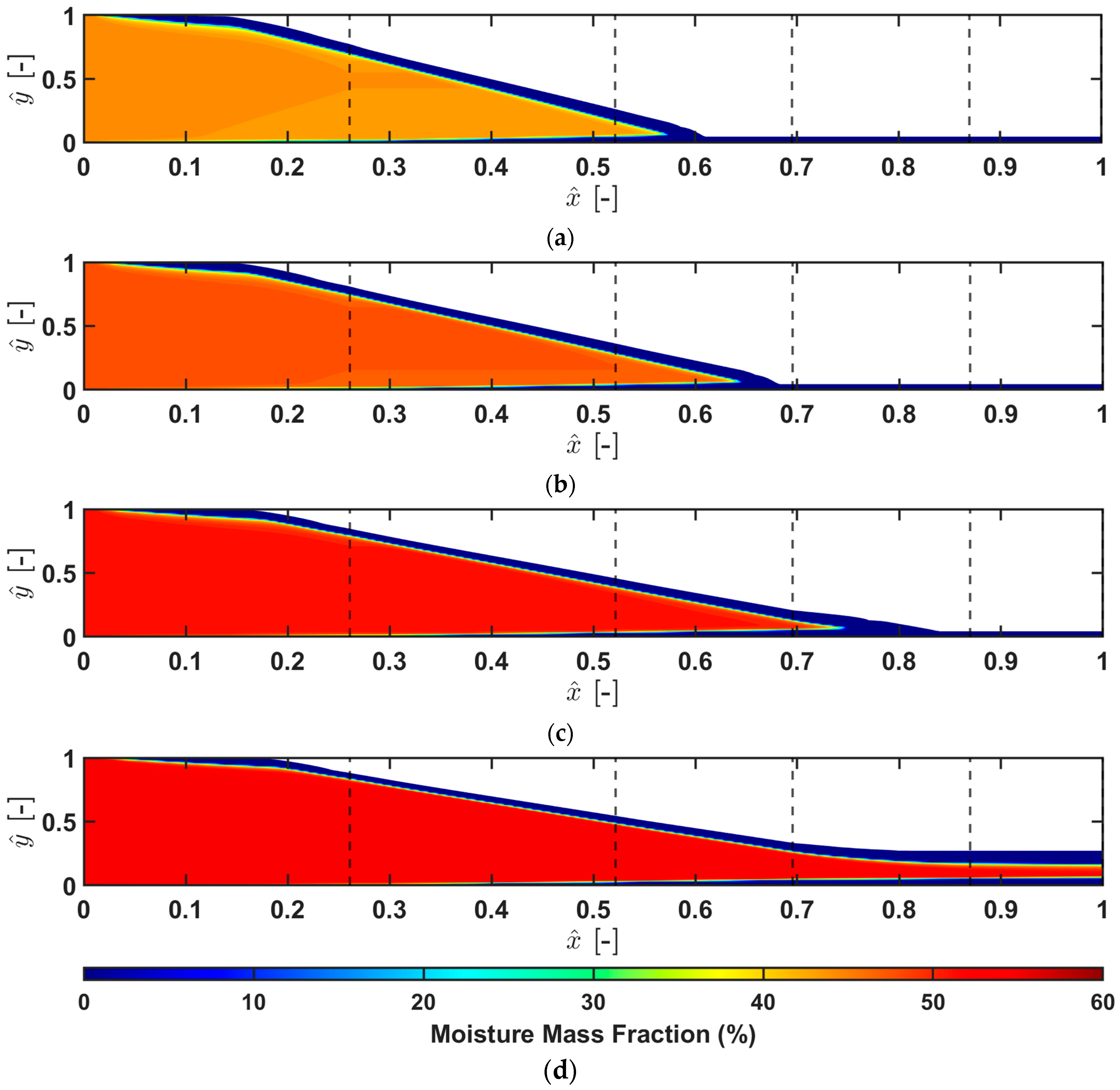
To ensure a consistent thermal load across all cases, the fuel feeding rate was adjusted accordingly for each blending ratio. Figure 3 shows the temperature distribution and the conversion process of the investigated feeds. The vertical lines in the figure indicate the boundaries of each reaction zone, i.e., the location of the hoppers. Figure 4 and Figure 5 present the moisture and char mass fraction distribution, respectively, within the fuel bed. Figure 6 gives the variation in gas component concentration at the top of the bed, whereas Figure 7 illustrates the processes of drying, pyrolysis, and char reactions along the grate.
In the initial stage of fuel conversion, the overall trend of each operating condition is similar. The top layer of the grate is first heated by radiation from the freeboard, which initiates the drying process of the fuel. In this stage, the input heat is mainly used for the evaporation, which limits the surface temperature of the bed layer, as shown in Figure 3. The penetration depth of the high-temperature zone gradually decreases along the grate, indicating that heat transfer mainly occurs near the surface during the early drying stage. For pure wood simulation, see Figure 3a, an increase in surface temperature to approximately 200 °C in the first zone is observed, when x ^ = 0.14, y ^ =0.97. Once the surface is dry, the bed temperature rises, initiating pyrolysis, producing char and gaseous products. In this process, char is formed as a pyrolysis product and releases CO2, CO, tar (C6H6), and small amounts of H2 and CH4. Since the temperature rises further and the top layer of the fuel dries, the pyrolysis reaction rate increases, which increases the bed shrinkage more and more. As the fuel moves downstream, the char reaction begins when the fuel is fully pyrolyzed. Oxygen and the gasifier diffuse to the char surface, initiating the heterogeneous oxidation and gasification reactions. It is an exothermic reaction, and the particle temperature increases significantly, reaching 592 °C in the first zone, as shown in Figure 3a. The whole conversion process takes about 62% of the grate length for pure woody biomass, and it is extended proportionally to the cases containing non-woody biomass.
The addition of pepper changes the heat and mass transfer characteristics, as shown in Figure 3b–d. The higher the mass fraction of pepper leftovers, the lower the maximum temperature at the top of the bed. This effect is mainly caused by the high moisture content of pepper. As the pepper mixing ratio increases, the maximum temperature at the top of the bed in the first zone decreases from 592 °C for pure wood to 551 °C for 30 wt.% pepper. This decrease indicates that high-moisture fuels require more energy for evaporation, delaying the initiation of pyrolysis and char reactions and potentially reducing combustion intensity. Furthermore, the penetration depth of the high-temperature zone decreases with increasing pepper content; as the moisture content is higher, more heat is needed for evaporation, indicating lower heat transfer and slower progression of the reaction front within the bed. Also, the thickness of the char reaction zone becomes narrower when the pepper ratio increases, see Figure 5. For the 30 wt.% pepper blend, the high moisture content leads to an overall bed temperature that is too low, causing the feed to remain not fully converted, with wet fuel still present in the last zone of the grate. In addition, the high-moisture mixing reduces the thickness of the char reaction zone, as observed from the narrower high-temperature region in Figure 3. This implies lower char reactivity and slower oxygen diffusion.
After the fuel enters the second zone, the introduction of additional primary air and flue gas recirculation changes the combustion characteristics. Unlike the first zone, where low gas velocity enhanced heat penetration, the increased airflow in the second zone intensifies convective cooling, limiting heat transfer to the deeper layer. The heat penetration depth in the first zone is larger than in the second zone. As a result, char formation is limited and the char reaction front remains thin and localized. Due to the sufficient oxygen supply, the char layer is thinner (Figure 5), and the oxygen concentration at the top of the bed is stable at approximately 4% at x ^ = 0.32 (Figure 6a). The higher oxygen concentration enhances char combustion and increases the bed temperature to 776 °C, see Figure 3a. The ignition and reaction front continue to advance downward, despite the slightly lower air supply in the third zone, causing a slight decrease in temperature to 690 °C. The high oxygen concentration in the second zone compensated for the temperature drop in the first zone, maintaining complete conversion.
In the lower part of the bed, high-temperature primary air and flue gas recirculation (approximately 150 °C) from the second zone continuously heat the fuel, gradually raising the temperature and causing a secondary drying front to form at the bottom, see Figure 3 and Figure 4. However, due to the lower temperature in this region, the drying rate is much slower than that at the surface drying front.
The distribution of moisture in the wood indicates that in a pure wood condition, Figure 4a, the drying process primarily occurs in the first zone ( x ^ = 0.1). In this area, the surface layer of the wood significantly decreases its moisture content. A distinct drying zone is clearly visible in the bottom part of the bed, starting from location x ^ = 0.1, where the fuel moisture content is significantly reduced. This is due to the primary air and high-temperature flue gas recirculation, which further dries the fuel. However, when 30% pepper is added, the moisture content of the fuel increases significantly, and the drying process is delayed, which affects the subsequent pyrolysis process.
As the temperature rises further and the upstream fuel dries, the pyrolysis reaction rate increases, reaching the first peak of 6.5 kg/m3·s at position x ^ = 0.23 (Figure 7a). As the pepper ratio increases, the pyrolysis temperature decreases and the pyrolysis peak rate shifts downstream. The pyrolysis peak rate decreases from 6.5 kg/m3·s at x ^ = 0.23 in the pure wood to 4.5 kg/m3·s at x ^ = 0.28 in the 30% pepper condition, indicating that the addition of pepper inhibits heat transfer and volatile matter release.
After completing the fuel pyrolysis process, the char reaction begins, as shown in Figure 7. This process is accompanied by a significant increase in CO2 and CO concentrations (see Figure 6). Once all char is consumed, only ash remains, and the bed height decreases significantly. At this point, unreacted fuel is exposed to external radiant heat, which is more easily conducted downwards. Simultaneously, the heat generated by char oxidation also conducts downwards resulting in a significant temperature gradient on the bed surface. Furthermore, when the char reaction begins, the drying rate rises to 6.5 kg/m3·s at x ^ = 0.23, indicating that the heat released from char combustion promotes the drying of upstream fuel.
From Figure 5, it can be seen that the char layer thickness in the first zone is larger than in other zones. This is because the air supplement in the first zone is less than in the second zone, resulting in a lower gas velocity and reduced convective heat transfer; thereby reducing heat loss and enhancing heat penetration. This allows for more complete pyrolysis upstream of the char reaction front, resulting in a larger char layer. The thick char layer nearly depletes the oxygen content, resulting in its concentration of nearly zero at grate location x ^ = 0.2 (see Figure 6a). When the char and pyrolysis reaction front approach the end of the grate ( x ^ = 0.6), the fuel is completely dry, and the heat can be conducted to the grate surface, thus forming a thicker char layer at the grate, as shown in Figure 5a. A relatively thick char layer forms in the first zone for all operating conditions, but its thickness gradually decreases with increasing pepper ratio. A dense char layer forms at x ^ = 0.57–0.60 for pure wood fuel, while char formation occurs later and is more dispersed at x ^ = 0.75–0.82 for the 20% pepper mixed fuel, resulting in a lower maximum bed temperature and a slower char oxidation rate. For 30% pepper, there is no dense char layer formed.
The changes in gas composition further confirmed the above differences. In the pure wood combustion condition, due to the intense oxidation of char, the oxygen concentration decreased rapidly, while the CO2 and CO concentrations increased significantly, as presented in Figure 6a. In contrast, in the 30 wt.% pepper combustion condition, the oxygen concentration remained at a higher level, while the CO2 and CO concentrations were lower, indicating incomplete combustion and a reduced reaction intensity, see Figure 6d.
The reaction rate comparison results presented in Figure 7 show that as the pepper ratio increases, the peak values of all major reactions (drying, pyrolysis, and char conversion) are reduced and shifted downstream. The peak char conversion rate decreased from 3.2 kg/m3·s ( x ^ = 0.56) in the pure wood condition to approximately 2.9 kg/m3·s ( x ^ = 0.63) in the 10 wt.% pepper condition and to lower values for the remaining blends. The results indicate delayed fuel combustion.
Overall, pepper mixed fuel reduces bed temperature, delays the reaction front, and weakens heat penetration and reaction rates. This is mainly attributed to the high moisture content of pepper, which slows down the overall heat transfer and conversion process of fuel on the grate.
The results showed that for a stable operation of the biomass plant, blends of woody and non-woody biomass (here pepper leftovers) can be used. However, the latter should not exceed 20 wt.% to maintain a stable combustion process, temperature gradient and reaction front advancement. It is recommended that the pepper mixing ratio be controlled below 20% in practical applications, which can achieve agricultural waste treatment while ensuring high combustion temperature and energy conversion efficiency.

4. Conclusions

This paper developed a one-dimensional transient numerical bed prediction model to simulate and predict the biomass combustion process in a moving grate furnace. The main focus is the effect of adding non-woody biomass feed on combustion characteristics. A macro-scale porous medium approach was adopted, treating the bed as a continuous medium with thermally thin particles, eliminating the need to model intra-particle temperature gradients. The walking-column method was implemented, where a stationary vertical slice represents the moving fuel bed, reducing computational complexity.
The governing equations were solved using the finite volume method (FVM) to discretize and solve mass, energy, and species conservation equations for both the solid and gas phases. The model assumes local thermal equilibrium (LTE) between the gas and solid phases, coupling the energy equations and simplifying heat transfer calculations. Radiative heat transfer to the bed is applied as a boundary condition and bed shrinkage is modeled, incorporating a 20% volumetric decrease during pyrolysis and 80% during char reactions to account for structural changes in the bed.
Overall, the one-dimensional transient model effectively predicts thermal and chemical conversion processes in the fuel bed. The model shows that moisture content has a significant impact on conversion kinetics. With the addition of 30 wt.% pepper which represents the highest moisture content of the feed (56% a.r.), the biomass cannot be fully converted at the grate. However, for feeds containing lower moisture content the conversion was completed (e.g., for wood within 62% of the grate length). Furthermore, the increased moisture content caused the combustion process to move further along the grate, increasing the risk of incomplete oxidation but due to lower overall temperature, the ash melting, slagging and scaling issues were reduced.
The simulation results show that when the pepper mixing ratio is below 20 wt.%, the combustion process maintains a stable temperature gradient and a continuous reaction front, confirming the feasibility of co-combustion technology. Although higher pepper content leads to lower bed temperatures, the reaction remains steady along the grate, indicating reliable combustion behavior. For practical applications, a mixing ratio below 20 wt.% is recommended to achieve effective agricultural waste utilization while maintaining efficient energy conversion.

Author Contributions

Conceptualization, J.F., A.M. and A.P.; Methodology, J.F. and P.K.; Software, J.F. and P.K.; Investigation, J.F. and P.K.; Writing—Original Draft, J.F. and P.K.; Writing—Review and Editing, J.F., A.M. and A.P.; Supervision, A.M. and A.P.; Project Administration, A.P. All authors have read and agreed to the published version of the manuscript.

Funding

This research was funded by HER+21-02946970 as a part of the BALANS project.

Institutional Review Board Statement

Not applicable.

Data Availability Statement

The data presented in this study are available from the corresponding author upon reasonable request.

Acknowledgments

The authors would like to thank Huub Ratering for valuable discussions and technical support related to biomass combustion systems.

Conflicts of Interest

The authors declare no conflicts of interest.

Nomenclature

A p Volumetric surface area [m2/m3]
A i Pre-exponential factor
c p Specific heat capacity at constant pressure [J·kg−1·K−1]
C Specific heat capacity [J·kg−1·K−1]
D Diffusion coefficient [m2/s]
d p Particle diameter [m]
E i Activation energy [J·mol−1]
H Bed height [m]
h Specific enthalpy [J·kg−1]
k Thermal conductivity [W·m−1·K−1]
k d Mass transfer coefficient [m·s−1]
k i Reaction rate constant [s−1]
L Grate length [m]
L H V Lower heating value [J·kg−1]
M i Molar mass [kg·mol−1]
m Mass [kg]
m ˙ Mass flow rate [kg·s−1]
P Pressure [Pa]
r Volumetric reaction rate [kg·m−3·s−1]
R e Reynolds number [-]
R Universal gas constant [J·mol−1·K−1]
S c Schmidt number [-]
S h Sherwood number [-]
T Temperature [K]
V Volume [m3]
v g Superficial velocity [m·s−1]
v grate Grate velocity [m·s−1]
x Grate position [m]
x v m Remaining volatile matter fraction
x s c Fraction of solid combustible matte
x 0 a Ash volume fraction
y i Mass fraction of species i [-]
YMass fraction [-]
t Time [s]
X i Elemental mass fraction of element i [-]
δ i equivalent heating value of species i [J·kg−1]
ϵ b Bed porosity [-]
η Conversion degree [-]
κ Equivalent heating value of volatile matter [J·kg−1]
ρ Density [kg·m−3]
σ Stefan–Boltzmann constant [W·m−2·K−4]
υ Dynamic viscosity [Pa·s]
Φ Stoichiometric ratio [-]
Ω Empirical ratio [-]
Δ t Time step [s]
Δ y Cell height [m]
Subscripts
c Char
dryDrying process
e f f Effective
g Gas phase
r a d Radiative
s Solid phase
satSaturation condition
v o l Volatile

References

  1. Klason, T. Modelling of Biomass Combustion in Furnaces. Ph.D. Thesis, Lund University, Lund, Sweden, 2006. [Google Scholar]
  2. McKendry, P. Energy Production from Biomass (Part 2): Conversion Technologies. Bioresour. Technol. 2002, 83, 47–54. [Google Scholar] [CrossRef]
  3. Yin, C.; Rosendahl, L.A.; Kær, S.K. Grate-Firing of Biomass for Heat and Power Production. Prog. Energy Combust. Sci. 2008, 34, 725–754. [Google Scholar] [CrossRef]
  4. Striūgas, N.; Vorotinskienė, L.; Paulauskas, R.; Navakas, R.; Džiugys, A.; Narbutas, L. Estimating the Fuel Moisture Content to Control the Reciprocating Grate Furnace Firing Wet Woody Biomass. Energy Convers. Manag. 2017, 149, 937–949. [Google Scholar] [CrossRef]
  5. Obernberger, I.; Thek, G. Physical Characterisation and Chemical Composition of Densified Biomass Fuels with Regard to Their Combustion Behaviour. Biomass Bioenergy 2004, 27, 653–669. [Google Scholar] [CrossRef]
  6. Hosseini Rahdar, M.; Nasiri, F.; Lee, B. A Review of Numerical Modeling and Experimental Analysis of Combustion in Moving Grate Biomass Combustors. Energy Fuels 2019, 33, 9367–9402. [Google Scholar] [CrossRef]
  7. Thunman, H.; Niklasson, F.; Johnsson, F.; Leckner, B. Composition of Volatile Gases and Thermochemical Properties of Wood for Modeling of Fixed or Fluidized Beds. Energy Fuels 2001, 15, 1488–1497. [Google Scholar] [CrossRef]
  8. Collazo, J.; Porteiro, J.; Patiño, D.; Granada, E. Numerical Modeling of the Combustion of Densified Wood under Fixed-Bed Conditions. Fuel 2012, 93, 149–159. [Google Scholar] [CrossRef]
  9. Khodaei, H.; Al-Abdeli, Y.M.; Guzzomi, F.; Yeoh, G.H. An Overview of Processes and Considerations in the Modelling of Fixed-Bed Biomass Combustion. Energy 2015, 88, 946–972. [Google Scholar] [CrossRef]
  10. Rajh, B.; Yin, C.; Samec, N.; Hriberšek, M.; Zadravec, M. Advanced Modelling and Testing of a 13 MW Th Waste Wood-Fired Grate Boiler with Recycled Flue Gas. Energy Convers. Manag. 2016, 125, 230–241. [Google Scholar] [CrossRef]
  11. Crujeira, A.T.; Trancoso, M.A.; Eusébio, A.; Oliveira, A.C.; Passarinho, P.C.; Abreu, M.; Marques, I.P.; Marques, P.A.S.S.; Marques, S.; Albergaria, H.; et al. Admissibility Grid to Support the Decision for the Preferential Routing of Portuguese Endogenous Waste Biomass for the Production of Biogas, Advanced Biofuels, Electricity and Heat. Biomass 2023, 3, 336–366. [Google Scholar] [CrossRef]
  12. Ihsan, S.; Prabowo; Widodo, W.A.; Saputra, I.N.A.A.; Hariana. Utilization of Palm Frond Waste as Fuel for Co-Firing Coal and Biomass in a Tangentially Pulverized Coal Boiler Using Computational Fluid Dynamic Analysis. Biomass 2024, 4, 1142–1163. [Google Scholar] [CrossRef]
  13. Zadravec, T.; Rajh, B.; Kokalj, F.; Samec, N. CFD Modelling of Air Staged Combustion in a Wood Pellet Boiler Using the Coupled Modelling Approach. Therm. Sci. Eng. Prog. 2020, 20, 100715. [Google Scholar] [CrossRef]
  14. Yang, Y.B.; Phan, A.N.; Ryu, C.; Sharifi, V.; Swithenbank, J. Mathematical Modelling of Slow Pyrolysis of Segregated Solid Wastes in a Packed-Bed Pyrolyser. Fuel 2007, 86, 169–180. [Google Scholar] [CrossRef]
  15. Gu, T.; Yin, C.; Ma, W.; Chen, G. Municipal Solid Waste Incineration in a Packed Bed: A Comprehensive Modeling Study with Experimental Validation. Appl. Energy 2019, 247, 127–139. [Google Scholar] [CrossRef]
  16. Kær, S.K. Numerical Modelling of a Straw-Fired Grate Boiler. Fuel 2004, 83, 1183–1190. [Google Scholar] [CrossRef]
  17. Yang, Y.B.; Goh, Y.R.; Zakaria, R.; Nasserzadeh, V.; Swithenbank, J. Mathematical Modelling of MSW Incineration on a Travelling Bed. Waste Manag. 2002, 22, 369–380. [Google Scholar] [CrossRef] [PubMed]
  18. Yang, Y.B.; Lim, C.N.; Goodfellow, J.; Sharifi, V.N.; Swithenbank, J. A Diffusion Model for Particle Mixing in a Packed Bed of Burning Solids. Fuel 2005, 84, 213–225. [Google Scholar] [CrossRef]
  19. Xia, Z.; Shan, P.; Chen, C.; Du, H.; Huang, J.; Bai, L. A Two-Fluid Model Simulation of an Industrial Moving Grate Waste Incinerator. Waste Manag. 2020, 104, 183–191. [Google Scholar] [CrossRef]
  20. Xia, Z.; Long, J.; Yan, S.; Bai, L.; Du, H.; Chen, C. Two-Fluid Simulation of Moving Grate Waste Incinerator: Comparison of 2D and 3D Bed Models. Energy 2021, 216, 119257. [Google Scholar] [CrossRef]
  21. Martinez-Garcia, J.; Nussbaumer, T. A One-Dimensional Transient Solid Fuel Conversion Model for Grate Combustion Optimization. Combust. Sci. Technol. 2015, 187, 1208–1228. [Google Scholar] [CrossRef]
  22. Phyllis2—Database for the Physico-Chemical Composition of (Treated) Lignocellulosic Biomass, Micro- and Macroalgae, Various Feedstocks for Biogas Production and Biochar. Available online: https://phyllis.nl/ (accessed on 22 December 2025).
  23. Van Der Lans, R.P.; Pedersen, L.T.; Jensen, A.; Glarborg, P.; Dam-Johansen, K. Modelling and Experiments of Straw Combustion in a Grate Furnace. Biomass Bioenergy 2000, 19, 199–208. [Google Scholar] [CrossRef]
  24. Boriouchkine, A.; Sharifi, V.; Swithenbank, J.; Jämsä-Jounela, S.-L. A Study on the Dynamic Combustion Behavior of a Biomass Fuel Bed. Fuel 2014, 135, 468–481. [Google Scholar] [CrossRef]
  25. Kar, S. Straw Combustion on Slow-Moving Grates?A Comparison of Model Predictions with Experimental Data. Biomass Bioenergy 2005, 28, 307–320. [Google Scholar] [CrossRef]
  26. Wurzenberger, J.C.; Wallner, S.; Raupenstrauch, H.; Khinast, J.G. Thermal Conversion of Biomass: Comprehensive Reactor and Particle Modeling. AIChE J. 2002, 48, 2398–2411. [Google Scholar] [CrossRef]
  27. Ranzi, E.; Pierucci, S.; Aliprandi, P.C.; Stringa, S. Comprehensive and Detailed Kinetic Model of a Travelling Grate. Energy Fuels 2011, 25, 4195–4205. [Google Scholar] [CrossRef]
  28. Di Blasi, C.; Branca, C. Modeling a Stratified Downdraft Wood Gasifier with Primary and Secondary Air Entry. Fuel 2013, 104, 847–860. [Google Scholar] [CrossRef]
  29. Hosseini Rahdar, M.; Nasiri, F.; Lee, B. Effect of Fuel Composition Uncertainty on Grate Firing Biomass Combustor Performance: A Bayesian Model Averaging Approach. Biomass Convers. Biorefinery 2022, 12, 2781–2797. [Google Scholar] [CrossRef]
  30. Shin, D.; Choi, S. The Combustion of Simulated Waste Particles in a Fixed Bed. Combust. Flame 2000, 121, 167–180. [Google Scholar] [CrossRef]
  31. Zhou, H.; Jensen, A.D.; Glarborg, P.; Jensen, P.A.; Kavaliauskas, A. Numerical Modeling of Straw Combustion in a Fixed Bed. Fuel 2005, 84, 389–403. [Google Scholar] [CrossRef]
  32. Di Blasi, C. Modeling Wood Gasification in a Countercurrent Fixed-Bed Reactor. AIChE J. 2004, 50, 2306–2319. [Google Scholar] [CrossRef]
  33. Bryden, K.M.; Ragland, K.W.; Rutland, C.J. Modeling Thermally Thick Pyrolysis of Wood. Biomass Bioenergy 2002, 22, 41–53. [Google Scholar] [CrossRef]
  34. Mahmoudi, A.H.; Besseron, X.; Hoffmann, F.; Markovic, M.; Peters, B. Modeling of the Biomass Combustion on a Forward Acting Grate Using XDEM. Chem. Eng. Sci. 2016, 142, 32–41. [Google Scholar] [CrossRef]
  35. Evans, D.D.; Emmons, H.W. Combustion of Wood Charcoal. Fire Saf. J. 1977, 1, 57–66. [Google Scholar] [CrossRef]
Figure 1. Combustion detail in furnace.
Figure 1. Combustion detail in furnace.
Biomass 06 00023 g001
Figure 2. Schematic of the model. Primary air and flue gas recirculation enter the fuel column through the hoppers in the grate. Radiation from the freeboard provides heat at the top of the fuel column.
Figure 2. Schematic of the model. Primary air and flue gas recirculation enter the fuel column through the hoppers in the grate. Radiation from the freeboard provides heat at the top of the fuel column.
Biomass 06 00023 g002
Figure 3. Temperature contour of (a) woody biomass, (b) 10 wt.% pepper, (c) 20 wt.% pepper, and (d) 30 wt.% pepper. Axes are normalized by bed height ( y ^ = y/H0) and grate length ( x ^ = x/L).
Figure 3. Temperature contour of (a) woody biomass, (b) 10 wt.% pepper, (c) 20 wt.% pepper, and (d) 30 wt.% pepper. Axes are normalized by bed height ( y ^ = y/H0) and grate length ( x ^ = x/L).
Biomass 06 00023 g003
Figure 4. Moisture mass fraction of (a) woody biomass, (b) 10 wt.% pepper, (c) 20 wt.% pepper, and (d) 30 wt.% pepper. Axes are normalized by bed height ( y ^ = y/H0) and grate length ( x ^ = x/L).
Figure 4. Moisture mass fraction of (a) woody biomass, (b) 10 wt.% pepper, (c) 20 wt.% pepper, and (d) 30 wt.% pepper. Axes are normalized by bed height ( y ^ = y/H0) and grate length ( x ^ = x/L).
Biomass 06 00023 g004
Figure 5. Char mass fraction of (a) woody biomass, (b) 10 wt.% pepper, (c) 20 wt.% pepper, and (d) 30 wt.% pepper. Axes are normalized by bed height ( y ^ = y/H0) and grate length ( x ^ = x/L).
Figure 5. Char mass fraction of (a) woody biomass, (b) 10 wt.% pepper, (c) 20 wt.% pepper, and (d) 30 wt.% pepper. Axes are normalized by bed height ( y ^ = y/H0) and grate length ( x ^ = x/L).
Biomass 06 00023 g005
Figure 6. Gas components of (a) woody biomass, (b) 10 wt.% pepper, (c) 20 wt.% pepper, and (d) 30 wt.% pepper. Axes are normalized by grate length ( x ^ = x/L).
Figure 6. Gas components of (a) woody biomass, (b) 10 wt.% pepper, (c) 20 wt.% pepper, and (d) 30 wt.% pepper. Axes are normalized by grate length ( x ^ = x/L).
Biomass 06 00023 g006
Figure 7. Drying and reaction rate along the grate of (a) woody biomass, (b) 10 wt.% pepper, (c) 20 wt.% pepper, and (d) 30 wt.% pepper. Axes are normalized by grate length ( x ^ = x/L).
Figure 7. Drying and reaction rate along the grate of (a) woody biomass, (b) 10 wt.% pepper, (c) 20 wt.% pepper, and (d) 30 wt.% pepper. Axes are normalized by grate length ( x ^ = x/L).
Biomass 06 00023 g007aBiomass 06 00023 g007b
Table 1. Assumed operating conditions of the biomass plant based on [21].
Table 1. Assumed operating conditions of the biomass plant based on [21].
Parameter Symbol Value
Primary Air TemperatureTPA313 K
Recirculated Flue Gas TemperatureTFG423 K
Bed Porosityϵb47%
Particle Diameterdp10 mm
Dry Biomass Densityρs,dry700 kg/m3
Biomass Thermal Conductivityks5 W/mK
Table 2. Assumed distribution of primary air and flue gas recirculation.
Table 2. Assumed distribution of primary air and flue gas recirculation.
Zone 1Zone 2Zone 3Zone 4Zone 5
Primary air25%35%25%10%5%
Recirculated flue gas0%50%35%15%0%
Table 3. Composition of flue gas recirculation.
Table 3. Composition of flue gas recirculation.
ParameterSymbolComposition
CO2 Mass Fraction y C O 2 11.9%
H2O Mass Fraction y H 2 O 22.6%
O2 Mass Fraction y O 2 4.0%
N2 Mass Fraction y N 2 61.5%
Table 4. Fuel properties from Phyllis database [22].
Table 4. Fuel properties from Phyllis database [22].
Fuel Properties Pepper Woody Biomass
Ultimate analysis (daf, %)
C47.8150.98
H5.085.91
O42.6242.48
N3.99-
Proximate Analysis (%)
Moisture content (ar)80.9145.00
Ash content (ar)3.416.00
Volatile matter (ar)13.2741.65
Fixed carbon (ar)2.417.35
Fixed carbon (daf)15.3915.00
Volatile matter (daf)84.6185.00
LHV daf (J/kg) 1.75 × 10 7 1.9 × 10 7
Table 5. Distribution of the radiation temperature.
Table 5. Distribution of the radiation temperature.
Zone Zone 1Zone 2Zone 3Zone 4Zone 5
Temperature (K)112314281378695672
Table 6. Kinetic parameters.
Table 6. Kinetic parameters.
ParameterValueReference
Pyrolysis Reaction Rates
Ap1 [1/s]1.56 × 1010Zhou et al. [30]
Ep1 [J/mol]138×103Zhou et al. [30]
Char Gasification Reaction Rates
A C O 2 [1/(Pa·m2·s)]1.81 × 10−2Mahmoudi et al. [34]
E C O 2 [J/mol]130 × 103Mahmoudi et al. [34]
A H 2 O [1/(Pa·m2·s)]1.81 × 10−2Mahmoudi et al. [34]
E H 2 O [J/mol]130 × 103Mahmoudi et al. [34]
Char Combustion Reaction Rates
A c [1/(Pa·s)]8620Zhou et al. [30]
T a c [K]15,900Zhou et al. [30]
Disclaimer/Publisher’s Note: The statements, opinions and data contained in all publications are solely those of the individual author(s) and contributor(s) and not of MDPI and/or the editor(s). MDPI and/or the editor(s) disclaim responsibility for any injury to people or property resulting from any ideas, methods, instructions or products referred to in the content.

Share and Cite

MDPI and ACS Style

Fu, J.; Koster, P.; Mahmoudi, A.; Pozarlik, A. Modeling of a Non-Wood Biomass Conversion Process in a Grate-Fired Boiler. Biomass 2026, 6, 23. https://doi.org/10.3390/biomass6020023

AMA Style

Fu J, Koster P, Mahmoudi A, Pozarlik A. Modeling of a Non-Wood Biomass Conversion Process in a Grate-Fired Boiler. Biomass. 2026; 6(2):23. https://doi.org/10.3390/biomass6020023

Chicago/Turabian Style

Fu, Jing, Pieter Koster, Amirhoushang Mahmoudi, and Artur Pozarlik. 2026. "Modeling of a Non-Wood Biomass Conversion Process in a Grate-Fired Boiler" Biomass 6, no. 2: 23. https://doi.org/10.3390/biomass6020023

APA Style

Fu, J., Koster, P., Mahmoudi, A., & Pozarlik, A. (2026). Modeling of a Non-Wood Biomass Conversion Process in a Grate-Fired Boiler. Biomass, 6(2), 23. https://doi.org/10.3390/biomass6020023

Article Metrics

Back to TopTop