An Ecofriendly Approach to Obtain Biodegradable Hydrogels by Reactive Extrusion
Abstract
1. Introduction
2. Materials and Methods
2.1. Materials
2.2. Hydrogel Production Through Reactive Extrusion
2.3. Swelling Degree (SD) and Gel Fraction (GF)
2.4. Attenuated Total Reflectance Fourier Transform Infrared Spectroscopy (ATR-FTIR)
2.5. Scanning Electron Microscopy (SEM)
2.6. Microtomography and Porosity
2.7. Thermogravimetric Analysis (TGA)
2.8. Swelling Kinetics
2.9. Soil Water Holding Capacity (SWHC)
2.10. Seed Germination Rate
2.11. Statistical Analysis
3. Results and Discussion
3.1. Synthesis Mechanism
3.2. ATR-FTIR
3.3. Scanning Electron Microscopy (SEM)
3.4. Microtomography and Porosity
3.5. Thermogravimetric Analysis (TGA)
3.6. Swelling Degree (SD) and Gel Fraction (GF)
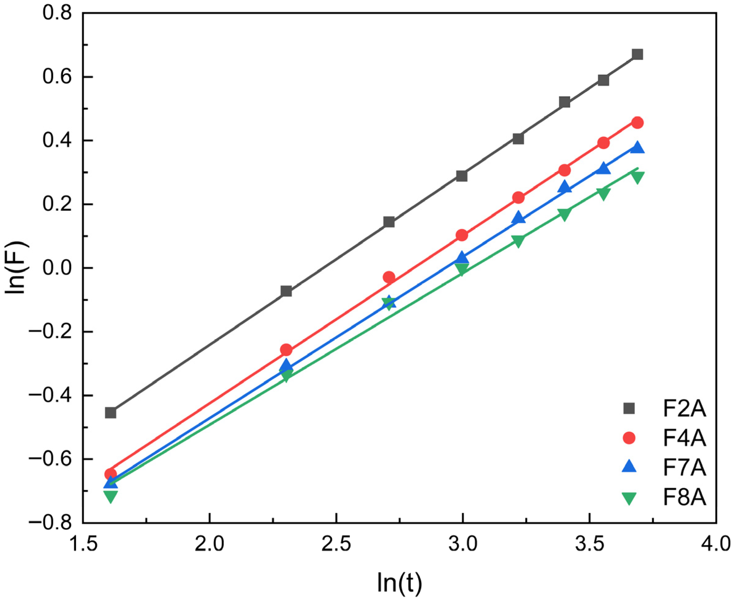
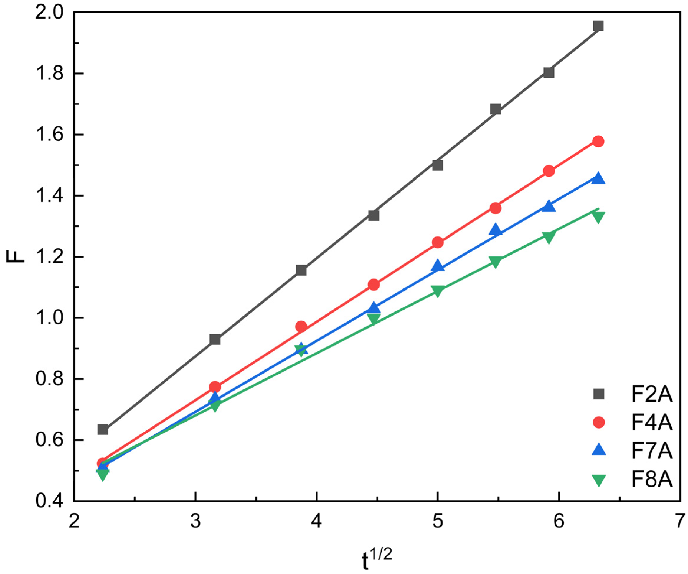
3.7. Swelling Kinetics
3.8. Soil Water Holding Capacity (SWHC) and Seed Germination Rate (SGR)
4. Conclusions
Author Contributions
Funding
Data Availability Statement
Acknowledgments
Conflicts of Interest
References
- European Environment Agency. Climate Change Is One of the Biggest Challenges of Our Times; European Environment Agency: Copenhagen, Denmark, 2023; Available online: https://www.eea.europa.eu/themes/climate/climate-change-is-one-of (accessed on 15 October 2024).
- Arora, N.K. Impact of climate change on agriculture production and its sustainable solutions. Environ. Sustain. 2019, 2, 95–96. [Google Scholar] [CrossRef]
- Bedair, H.; Alghariani, M.S.; Omar, E.; Anibaba, Q.A.; Remon, M.; Bornman, C.; Kiboi, S.K.; Rady, H.A.; Salifu, A.-M.A.; Ghosh, S.; et al. Global warming status in the African continent: Sources, challenges, policies, and future direction. Int. J. Environ. Res. 2023, 17, 45. [Google Scholar] [CrossRef]
- Skrzypczak, D.; Mikula, K.; Kossińska, N.; Widera, B.; Warchoł, J.; Moustakas, K.; Chojnacka, K.; Witek-Krowiak, A. Biodegradable hydrogel materials for water storage in agriculture—Review of recent research. Desalin. Water Treat. 2020, 194, 324–332. [Google Scholar] [CrossRef]
- De Wrachien, D.; Schultz, B.; Goli, M.B. Impacts of population growth and climate change on food production and irrigation and drainage needs: A worldwide view. Irrig. Drain. 2021, 70, 981–995. [Google Scholar] [CrossRef]
- Ahmad, Z.; Salman, S.; Khan, S.A.; Amin, A.; Rahman, Z.U.; Al-Ghamdi, Y.O.; Akhtar, K.; Bakhsh, E.M.; Khan, S.B. Versatility of hydrogels: From synthetic strategies, classification, and properties to biomedical applications. Gels 2022, 8, 167. [Google Scholar] [CrossRef]
- Batista, R.A.; Espitia, P.J.P.; Quintans, J.S.S.; Freitas, M.M.; Cerqueira, M.A.; Teixeira, J.A.; Cardoso, J.C. Hydrogel as an alternative structure for food packaging systems. Carbohydr. Polym. 2019, 205, 106–116. [Google Scholar] [CrossRef]
- Kabir, S.M.F.; Sikdar, P.P.; Haque, B.; Bhuiyan, M.A.R.; Ali, A.; Islam, M.N. Cellulose-based hydrogel materials: Chemistry, properties and their prospective applications. Prog. Biomater. 2018, 7, 153–174. [Google Scholar] [CrossRef] [PubMed]
- Parhi, R. Cross-linked hydrogel for pharmaceutical applications: A review. Adv. Pharm. Bull. 2017, 7, 515–530. [Google Scholar] [CrossRef] [PubMed]
- Wang, J.; Gao, S.; Tian, J.; Cui, F.; Shi, W. Recent developments and future challenges of hydrogels as draw solutes in forward osmosis process. Water 2020, 12, 692. [Google Scholar] [CrossRef]
- Grabowska-Polanowska, B.; Garbowski, T.; Bar-Michalczyk, D.; Kowalczyk, A. The benefits of synthetic or natural hydrogels application in agriculture: An overview article. J. Water Land Dev. 2021, 51, 208–224. [Google Scholar] [CrossRef]
- Kalhapure, A.; Kumar, R.; Singh, V.P.; Pandey, D.S. Hydrogels: A boon for increasing agricultural productivity in water-stressed environments. Curr. Sci. 2016, 111, 1773–1779. [Google Scholar] [CrossRef]
- Kaswala, A.; Dubey, P.K.; Neethu, T.M. Prospects and applications of hydrogel technology in agriculture. Int. J. Curr. Microbiol. Appl. Sci. 2018, 7, 3155–3162. [Google Scholar] [CrossRef]
- Abobatta, W. Impact of hydrogel polymer in agricultural sector. Adv. Agric. Environ. Sci. Open Access 2018, 1, 59–64. [Google Scholar] [CrossRef]
- Madduma-Bandarage, U.S.K.; Madihally, S.V. Synthetic hydrogels: Synthesis, novel trends, and applications. J. Appl. Polym. Sci. 2021, 138, 50376. [Google Scholar] [CrossRef]
- Alavarse, A.C.; Frachini, E.C.G.; da Silva, R.L.C.G.; Lima, V.H.; Shavandi, A.; Petri, D.F.S. Crosslinkers for polysaccharides and proteins: Synthesis conditions, mechanisms, and crosslinking efficiency—A review. Int. J. Biol. Macromol. 2022, 202, 558–596. [Google Scholar] [CrossRef]
- Khushbu; Warkar, S.G.; Kumar, A. Synthesis and assessment of carboxymethyl tamarind kernel gum-based novel superabsorbent hydrogels for agricultural applications. Polymer 2019, 182, 121823. [Google Scholar] [CrossRef]
- Tanan, W.; Panichpakdee, J.; Suwanakood, P.; Saengsuwan, S. Biodegradable hydrogels of cassava starch-g-polyacrylic acid/natural rubber/polyvinyl alcohol as environmentally friendly and highly efficient coating material for slow-release urea fertilizers. J. Ind. Eng. Chem. 2021, 101, 237–252. [Google Scholar] [CrossRef]
- Malik, R.; Warkar, S.G.; Saxena, R. Carboxymethyl tamarind kernel gum-based bio-hydrogel for sustainable agronomy. Mater. Today Commun. 2023, 35, 105473. [Google Scholar] [CrossRef]
- Xiong, H.; Peng, H.; Ye, X.; Kong, Y.; Wang, N.; Yang, F.; Meni, B.-H.; Lei, Z. High salt tolerance hydrogel prepared from hydroxyethyl starch and its ability to increase soil water holding capacity and decrease water evaporation. Soil Tillage Res. 2022, 222, 105427. [Google Scholar] [CrossRef]
- Fekete, T.; Borsa, J.; Takács, E.; Wojnárovits, L. Synthesis of carboxymethylcellulose/starch superabsorbent hydrogels by gamma-irradiation. Chem. Cent. J. 2017, 11, 46. [Google Scholar] [CrossRef]
- Das, S.; Dalei, G. In situ forming dialdehyde xanthan gum–gelatin Schiff-base hydrogels as potent controlled-release fertilizers. Sci. Total Environ. 2023, 875, 162660. [Google Scholar] [CrossRef]
- Pita-López, M.L.; Fletes-Vargas, G.; Espinosa-Andrews, H.; Rodríguez-Rodríguez, R. Physically cross-linked chitosan-based hydrogels for tissue engineering applications: A state-of-the-art review. Eur. Polym. J. 2021, 145, 110176. [Google Scholar] [CrossRef]
- Wihodo, M.; Moraru, C.I. Physical and chemical methods used to enhance the structure and mechanical properties of protein films: A review. J. Food Eng. 2013, 114, 292–302. [Google Scholar] [CrossRef]
- Adjuik, T.A.; Nokes, S.E.; Montross, M.D. Biodegradability of bio-based and synthetic hydrogels as sustainable soil amendments: A review. J. Appl. Polym. Sci. 2023, 140, e53655. [Google Scholar] [CrossRef]
- Klein, M.; Poverenov, E. Natural biopolymer-based hydrogels for use in food and agriculture. J. Sci. Food Agric. 2020, 100, 2337–2347. [Google Scholar] [CrossRef]
- Nordin, N.A.; Rahman, N.A.; Talip, N.; Yacob, N. Citric acid cross-linking of carboxymethyl sago starch-based hydrogel for controlled release application. Macromol. Symp. 2018, 382, 1800086. [Google Scholar] [CrossRef]
- Das, D.; Prakash, P.; Rout, P.K.; Bhaladhare, S. Synthesis and characterization of superabsorbent cellulose-based hydrogel for agriculture application. Starch–Stärke 2021, 73, 1900284. [Google Scholar] [CrossRef]
- Bueno, V.B.; Bentini, R.; Catalani, L.H.; Petri, D.F.S. Synthesis and swelling behavior of xanthan-based hydrogels. Carbohydr. Polym. 2013, 92, 1091–1099. [Google Scholar] [CrossRef]
- Simões, B.M.; Cagnin, C.; Yamashita, F.; Olivato, J.B.; Garcia, P.S.; Oliveira, S.M.; Grossmann, M.V. Citric acid as crosslinking agent in starch/xanthan gum hydrogels produced by extrusion and thermopressing. LWT 2020, 125, 108950. [Google Scholar] [CrossRef]
- Hasan, R.; Sumnu, G.; Sahin, S.; Oz, E.; Oz, F. The effects of citric acid crosslinking on fabrication and characterization of gelatin/curcumin-based electrospun antioxidant nanofibers. Antioxidants 2023, 12, 1387. [Google Scholar] [CrossRef] [PubMed]
- Liguori, A.; Uranga, J.; Panzavolta, S.; Guerrero, P.; de la Caba, K.; Focarete, M.L. Electrospinning of fish gelatin solution containing citric acid: An environmentally friendly approach to prepare crosslinked gelatin fibers. Materials 2019, 12, 1728. [Google Scholar] [CrossRef]
- Duquette, D.; Nzediegwu, C.; Portillo-Perez, G.; Dumont, M.-J.; Prasher, S. Eco-friendly synthesis of hydrogels from starch, citric acid, and itaconic acid: Swelling capacity and metal chelation properties. Starch–Stärke 2020, 72, 1900008. [Google Scholar] [CrossRef]
- Ye, J.; Luo, S.; Huang, A.; Chen, J.; Liu, C.; McClements, D.J. Synthesis and characterization of citric acid esterified rice starch by reactive extrusion: A new method of producing resistant starch. Food Hydrocoll. 2019, 92, 135–142. [Google Scholar] [CrossRef]
- Farhat, W.; Venditti, R.; Mignard, N.; Taha, M.; Becquart, F.; Ayoub, A. Polysaccharides and lignin-based hydrogels with potential pharmaceutical use as a drug delivery system produced by a reactive extrusion process. Int. J. Biol. Macromol. 2017, 104, 564–575. [Google Scholar] [CrossRef]
- Moad, G. Chemical modification of starch by reactive extrusion. Prog. Polym. Sci. 2011, 36, 218–237. [Google Scholar] [CrossRef]
- Cagnin, C.; Simões, B.M.; Yamashita, F.; Andrello, A.C. Hydrogels of starch/carboxymethyl cellulose crosslinked with sodium trimetaphosphate via reactive extrusion. J. Appl. Polym. Sci. 2021, 138, 50194. [Google Scholar] [CrossRef]
- Pereira, J.F.; Marim, B.M.; Mali, S. Chemical modification of cellulose using a green route by reactive extrusion with citric and succinic acids. Polysaccharides 2022, 3, 292–305. [Google Scholar] [CrossRef]
- Marim, B.M.; Mantovan, J.; Gil-Giraldo, G.A.; Pereira, J.P.; Simões, B.M.; Yamashita, F.; Mali, S. Reactive extrusion-assisted process to obtain starch hydrogels through reaction with organic acids. Polysaccharides 2022, 3, 792–803. [Google Scholar] [CrossRef]
- Gil-Giraldo, G.A.; Mantovan, J.; Marim, B.M.; Kishima, J.O.F.; Mali, S. Surface modification of cellulose from oat hull with citric acid using ultrasonication and reactive extrusion assisted processes. Polysaccharides 2021, 2, 218–233. [Google Scholar] [CrossRef]
- Marim, B.M.; Mantovan, J.; Giraldo, G.A.G.; Mali, S. Environmentally friendly process based on a combination of ultrasound and peracetic acid treatment to obtain cellulose from orange bagasse. J. Chem. Technol. Biotechnol. 2021, 96, 630–638. [Google Scholar] [CrossRef]
- Jastram, A.; Lindner, T.; Luebbert, C.; Sadowski, G.; Kragl, U. Swelling and Diffusion in Polymerized Ionic Liquids-Based Hydrogels. Polymers 2021, 13, 1834. [Google Scholar] [CrossRef]
- Sarmah, D.; Karak, N. Biodegradable superabsorbent hydrogel for water holding in soil and controlled-release fertilizer. J. Appl. Polym. Sci. 2020, 137, 48495. [Google Scholar] [CrossRef]
- de Lima, G.F.; de Souza, A.G.; Rosa, D.S. Nanocellulose as reinforcement in carboxymethylcellulose superabsorbent nanocomposite hydrogels. Macromol. Symp. 2020, 394, 2000126. [Google Scholar] [CrossRef]
- Uliniuc, A.; Hamaide, T.; Popa, M.; Băcăiță, S. Modified starch-based hydrogels cross-linked with citric acid and their use as drug delivery systems for levofloxacin. Soft Mater. 2013, 11, 483–493. [Google Scholar] [CrossRef]
- Uranga, J.; Nguyen, B.T.; Si, T.T.; Guerrero, P.; de la Gaba, K. The effect of cross-linking with citric acid on the properties of agar/fish gelatin films. Polymers 2020, 12, 291. [Google Scholar] [CrossRef] [PubMed]
- Prasad, C.; Park, S.Y.; Lee, J.S.; Park, J.J.; Jang, Y.; Lee, S.W.; Lee, B.-M.; Nam, Y.-R.; Rao, A.K.; Choi, H.Y. Modeling and investigation of swelling kinetics of sodium carboxymethyl cellulose/starch/citric acid superabsorbent polymer. Int. J. Biol. Macromol. 2023, 253, 127013. [Google Scholar] [CrossRef] [PubMed]
- Olivato, J.B.; Grossmann, M.V.E.; Yamashita, F.; Eiras, D.; Pessan, L.A. Citric acid and maleic anhydride as compatibilizers in starch/poly(butylene adipate-co-terephthalate) blends by one-step reactive extrusion. Carbohydr. Polym. 2012, 87, 2614–2618. [Google Scholar] [CrossRef]
- Nongnual, T.; Butprom, N.; Boonsang, S.; Kaewpirom, S. Citric acid crosslinked carboxymethyl cellulose edible films: A case study on preserving freshness in bananas. Int. J. Biol. Macromol. 2024, 267, 131135. [Google Scholar] [CrossRef]
- Smith, B.C. Infrared spectroscopy of polymers IX: Pendant ester polymers and polycarbonates. Spectroscopy 2022, 37, 16–19,31. [Google Scholar] [CrossRef]
- Monroy, Y.; Rivero, S.; García, M.A. Liquid and pressure-sensitive adhesives based on cassava starch and gelatin capsule residue: Green alternatives for the packaging industry. Foods 2023, 12, 3982. [Google Scholar] [CrossRef]
- Zheng, Y.; Liang, Y.; Zhang, D.; Sun, X.; Liang, L.; Li, J.; Liu, Y.-N. Gelatin-based hydrogels blended with gellan as an injectable wound dressing. ACS Omega 2018, 3, 4766–4775. [Google Scholar] [CrossRef]
- Wisotzki, E.I.; Hennes, M.; Schuldt, C.; Engert, F.; Knolle, W.; Decker, U.; Kas, J.A.; Zink, M.; Mayr, S.G. Tailoring the material properties of gelatin hydrogels by high-energy electron irradiation. J. Mater. Chem. B 2014, 2, 4297–4309. [Google Scholar] [CrossRef]
- Pinthong, T.; Yooyod, M.; Daengmankhong, J.; Tuancharoensri, N.; Mahasaranon, S.; Viyoch, J.; Jongjitwimol, J.; Ross, S.; Ross, G.M. Development of natural active agent-containing porous hydrogel sheets with high water content for wound dressings. Gels 2023, 9, 459. [Google Scholar] [CrossRef] [PubMed]
- Xu, E.; Campanella, O.H.; Ye, X.; Jin, X.; Liu, D.; BeMiller, J.M. Advances in conversion of natural biopolymers: A reactive extrusion (REX)–enzyme combined strategy for starch/protein-based food processing. Trends Food Sci. Technol. 2020, 99, 167–180. [Google Scholar] [CrossRef]
- Tisserat, B.; O’Kuru, R.H.; Hwang, H.; Mohamed, A.A.; Holser, R. Glycerol citrate polyesters produced through heating without catalysis. J. Appl. Polym. Sci. 2012, 125, 3429–3437. [Google Scholar] [CrossRef]
- Garcia, P.S.; Grossmann, M.V.E.; Yamashita, F.; Mali, S.; Dall’Antonia, L.H.; Barreto, W.J. Citric acid as multifunctional agent in blowing films of starch/PBAT. Quím. Nova 2011, 34, 1507–1510. [Google Scholar] [CrossRef]
- Ganji, F.; Vasheghani-Farahani, S.; Vasheghani-Farahani, E. Theoretical description of hydrogel swelling: A review. Iran. Polym. J. 2010, 19, 375–398. [Google Scholar]
- Kim, S.; Iyer, G.; Nadarajah, A.; Frantz, J.M.; Spongberg, A.L. Polyacrylamide hydrogel properties for horticultural applications. Int. J. Polym. Anal. Charact. 2010, 15, 307–318. [Google Scholar] [CrossRef]
- Zambrano, Y.; Contardo, I.; Moreno, M.C.; Bouchon, P. Effect of extrusion temperature and feed moisture content on the microstructural properties of rice-flour pellets and their impact on the expanded product. Foods 2022, 11, 198. [Google Scholar] [CrossRef]
- Zhang, A.; Han, Y.; Zhou, Z. Characterization of citric acid crosslinked chitosan/gelatin composite film with enterocin CHQS and red cabbage pigment. Food Hydrocoll. 2023, 135, 108144. [Google Scholar] [CrossRef]
- Wang, K.; Wang, W.; Ye, R.; Xiao, J.; Liu, Y.; Ding, J.; Zhang, S. Mechanical and barrier properties of maize starch–gelatin composite films: Effects of amylose content. J. Sci. Food Agric. 2017, 97, 3613–3622. [Google Scholar] [CrossRef] [PubMed]
- Chuaynukul, K.; Nagarajan, M.; Prodpran, T.; Benjakul, S.; Songtipya, P.; Songtipya, L. Comparative characterization of bovine and fish gelatin films fabricated by compression molding and solution casting methods. J. Polym. Environ. 2018, 26, 1239–1252. [Google Scholar] [CrossRef]
- Wan Ishak, W.H.; Rosli, N.A.; Ahmad, I.; Ramli, S.; Amin, M.G.I.W. Drug delivery and in vitro biocompatibility studies of gelatin–nanocellulose smart hydrogels cross-linked with gamma radiation. J. Mater. Res. Technol. 2021, 15, 7145–7157. [Google Scholar] [CrossRef]
- Zhuang, C.; Shi, C.; Tao, F.; Cui, Y. Honeycomb structural composite polymer network of gelatin and functional cellulose ester for controlled release of omeprazole. Int. J. Biol. Macromol. 2017, 105, 1644–1653. [Google Scholar] [CrossRef]
- Bulbul, V.J.; Bhushette, P.R.; Zambare, R.S.; Deshmukh, R.R.; Annapure, U.R. Effect of cold plasma treatment on xanthan gum properties. Polym. Test. 2019, 79, 106056. [Google Scholar] [CrossRef]
- Ojogbo, E.; Blanchard, R.; Mekonnen, T. Hydrophobic and melt-processable starch–laurate esters: Synthesis, structure–property correlations. J. Polym. Sci. A Polym. Chem. 2018, 56, 2611–2622. [Google Scholar] [CrossRef]
- Menzel, C.; Olsson, E.; Plivelic, T.S.; Andersson, R.; Johansson, C.; Kuktaite, R.; Järnström, L.; Koch, K. Molecular structure of citric acid cross-linked starch films. Carbohydr. Polym. 2013, 96, 270–276. [Google Scholar] [CrossRef]
- Dai, H.; Ou, S.; Huang, Y.; Liu, Z.; Huang, H. Enhanced swelling and multiple-responsive properties of gelatin/sodium alginate hydrogels by the addition of carboxymethyl cellulose isolated from pineapple peel. Cellulose 2018, 25, 593–606. [Google Scholar] [CrossRef]
- Coutinho, D.F.; Sant, S.V.; Shin, H.; Oliveira, J.T.; Gomes, M.E.; Neves, N.M.; Khademhosseini, A.; Reis, R.L. Modified gellan gum hydrogels with tunable physical and mechanical properties. Biomaterials 2010, 31, 7494–7502. [Google Scholar] [CrossRef] [PubMed]
- Aouada, F.A.; Muniz, E.C.; Vaz, C.M.P.; Mattoso, L.H.C. Correlação entre parâmetros da cinética de intumescimento com características estruturais e hidrofílicas de hidrogéis de poliacrilamida e metilcelulose. Quím. Nova 2009, 32, 1482–1490. [Google Scholar] [CrossRef]
- Rathna, G.V.N.; Mohan Rao, D.V.; Chatterji, P.R. Hydrogels of gelatin–sodium carboxymethyl cellulose: Synthesis and swelling kinetics. J. Macromol. Sci. Pure Appl. Chem. 1996, 33, 1199–1207. [Google Scholar] [CrossRef]
- Aydınoğlu, D. Investigation of pH-dependent swelling behavior and kinetic parameters of novel poly(acrylamide-co-acrylic acid) hydrogels with spirulina. e-Polymers 2015, 15, 81–93. [Google Scholar] [CrossRef]
- Jayaramudu, T.; Ko, H.-U.; Kim, H.C.; Kim, J.W.; Kim, J. Swelling behavior of polyacrylamide–cellulose nanocrystal hydrogels: Swelling kinetics, temperature, and pH effects. Materials 2019, 12, 2080. [Google Scholar] [CrossRef] [PubMed]
- Fowler, H.J.; Lenderink, G.; Prein, A.F.; Westra, S.; Allan, R.P.; Ban, N.; Barbero, R.; Berg, P.; Blenkinsop, S.; Do, H.X.; et al. Anthropogenic intensification of short-duration rainfall extremes. Nat. Rev. Earth Environ. 2021, 2, 107–122. [Google Scholar] [CrossRef]









| Sample (%) | F2A | F4A | F7A | F8A |
|---|---|---|---|---|
| Starch | 14 | 14 | 14 | 14 |
| Cellulose | 5 | 5 | 5 | 5 |
| Gelatin | 45 | 45 | 46 | 47 |
| Xanthan gum | 7 | 7 | 7 | 7 |
| Glycerol | 29 | 26 | 26 | 26 |
| Citric acid | - | 3 | 2 | 1 |
| Sample | Porosity (%) | Open Pores (%) | Closed Pores (%) |
|---|---|---|---|
| F2A | 2.022 ± 0.216 c | 0.266 ± 0.142 b | 1.761 ± 0.333 b |
| F4A | 8.886 ± 1.043 a | 0.957 ± 0.310 a | 7.975 ± 1.117 a |
| F7A | 6.601 ± 0.106 ab | 0.691 ± 0.133 ab | 5.951 ± 0.082 a |
| F8A | 5.345 ± 2.137 b | 0.618 ± 0.133 ab | 5.154 ± 2.444 ab |
| Sample | SD 24 h (g/g) | GF 24 h (g/g) |
|---|---|---|
| F2A | 3.266 ± 0.028 c | 0.667 ± 0.004 a |
| F4A | 3.628 ± 0.014 a | 0.693 ± 0.026 a |
| F7A | 3.341 ± 0.004 b | 0.680 ± 0.024 a |
| F8A | 2.896 ± 0.088 d | 0.670 ± 0.008 a |
| Sample | R2 | Diffusional Exponent (n) | Swelling Rate Constant (K) s−1 |
|---|---|---|---|
| F2A | 0.999 | 0.538 | 0.268 |
| F4A | 0.999 | 0.527 | 0.229 |
| F7A | 0.999 | 0.507 | 0.227 |
| F8A | 0.997 | 0.476 | 0.236 |
| Sample | R2 | Diffusion Coefficient (D × 106) cm2 s−1 |
|---|---|---|
| F2A | 0.999 | 3.37 |
| F4A | 0.999 | 2.15 |
| F7A | 0.999 | 1.76 |
| F8A | 0.993 | 1.36 |
| Sample | SWHC (g) |
|---|---|
| Ct | 131.9 ± 3.4 c |
| H1 | 143.1 ± 4.5 b |
| H5 | 157.3 ± 3.5 a |
| H10 | 146.24 ± 4.3 b |
| Sample | SGR (%) |
|---|---|
| Ct | 76.67 |
| H1 | 66.67 |
| H5 | 93.33 |
| H10 | 86.67 |
Disclaimer/Publisher’s Note: The statements, opinions and data contained in all publications are solely those of the individual author(s) and contributor(s) and not of MDPI and/or the editor(s). MDPI and/or the editor(s) disclaim responsibility for any injury to people or property resulting from any ideas, methods, instructions or products referred to in the content. |
© 2025 by the authors. Licensee MDPI, Basel, Switzerland. This article is an open access article distributed under the terms and conditions of the Creative Commons Attribution (CC BY) license (https://creativecommons.org/licenses/by/4.0/).
Share and Cite
Kishima, J.O.F.; Paiva, M.T.P.; Cassiano, M.E.M.; Andrello, A.C.; Mali, S. An Ecofriendly Approach to Obtain Biodegradable Hydrogels by Reactive Extrusion. Biomass 2025, 5, 81. https://doi.org/10.3390/biomass5040081
Kishima JOF, Paiva MTP, Cassiano MEM, Andrello AC, Mali S. An Ecofriendly Approach to Obtain Biodegradable Hydrogels by Reactive Extrusion. Biomass. 2025; 5(4):81. https://doi.org/10.3390/biomass5040081
Chicago/Turabian StyleKishima, João Otávio Ferraro, Mayara Thamela Pessoa Paiva, Maria Eduarda Matos Cassiano, Avacir Casanova Andrello, and Suzana Mali. 2025. "An Ecofriendly Approach to Obtain Biodegradable Hydrogels by Reactive Extrusion" Biomass 5, no. 4: 81. https://doi.org/10.3390/biomass5040081
APA StyleKishima, J. O. F., Paiva, M. T. P., Cassiano, M. E. M., Andrello, A. C., & Mali, S. (2025). An Ecofriendly Approach to Obtain Biodegradable Hydrogels by Reactive Extrusion. Biomass, 5(4), 81. https://doi.org/10.3390/biomass5040081

