Mathematical Modeling of a Continuous Multistage Ethanol Production Bioprocess on an Industrial Scale
Abstract
1. Introduction
2. Materials and Methods
2.1. Experimental Data
2.2. Analytical Methods
2.2.1. Determination of Cell Viability and Budding
2.2.2. Determination of Alcohol Content
2.2.3. Determination of Total Reducing Sugars (TRSs)
2.2.4. Estimation of Cell Concentration
2.3. Equations of Mass Balance
3. Results and Discussions
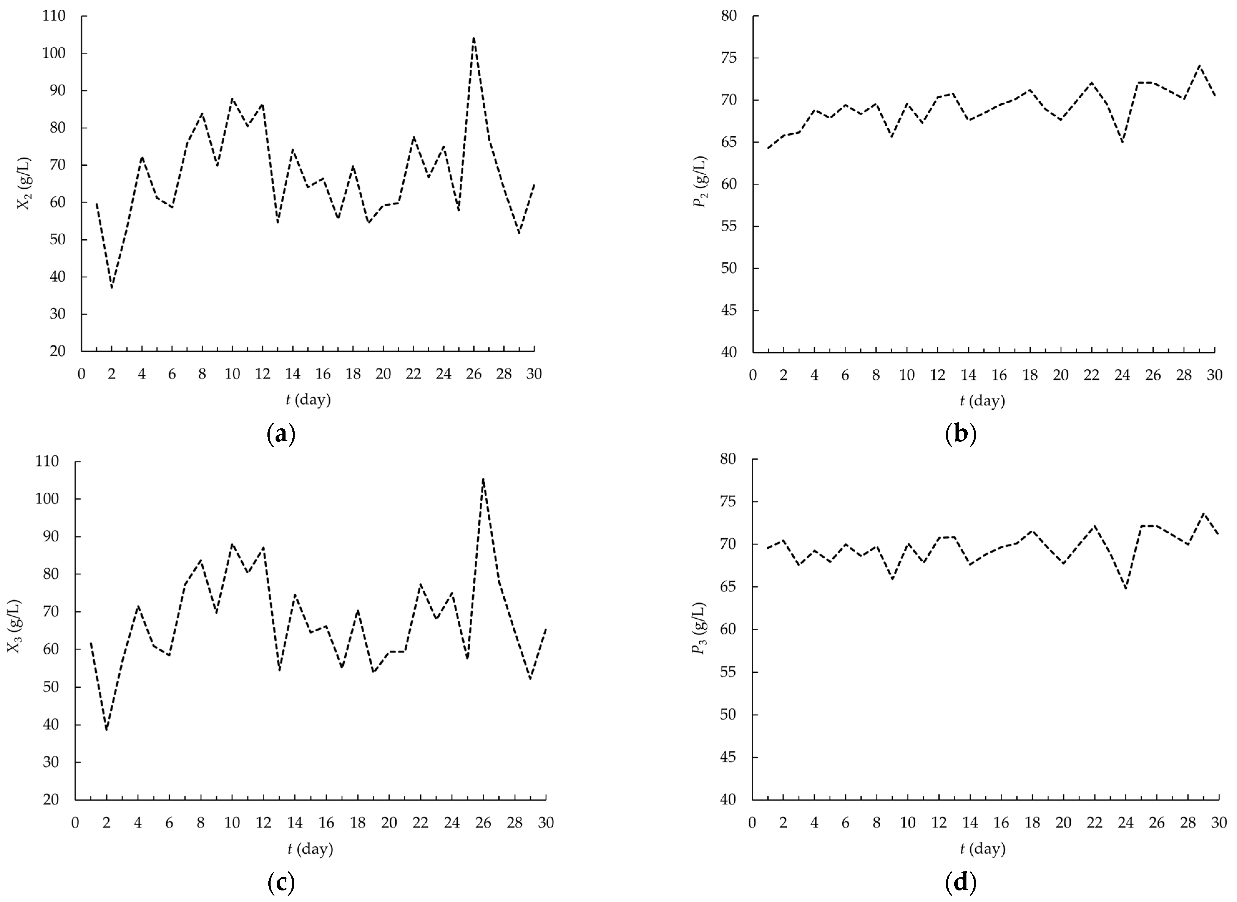
3.1. Experimental Data
3.1.1. Substrate Concentration in Feed
3.1.2. Product Concentration
3.1.3. Cell Viability and Budding
3.2. Model Development
3.3. Kinetic Parameter Estimation
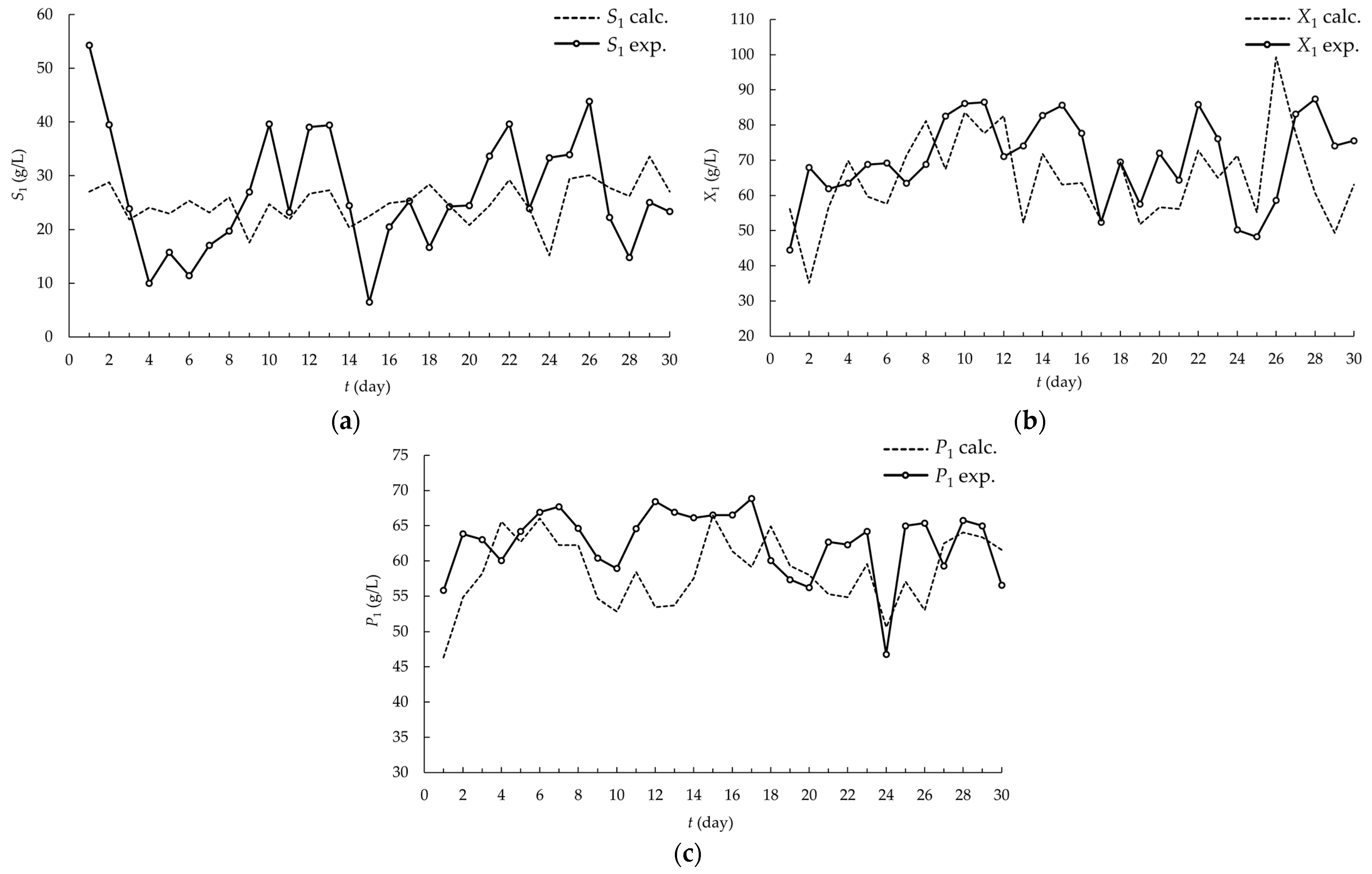
3.4. Model Verification and Validation
3.5. Model Limitations
4. Conclusions
Author Contributions
Funding
Data Availability Statement
Conflicts of Interest
References
- Zanin, G.M.; Santana, C.C.; Bon, E.P.S.; Giordano, R.C.L.; Moraes, F.F.; Andrietta, S.R.; Neto, C.C.C.; Macedo, I.C.; Filho, D.J.; Ramos, L.P.; et al. Brazilian bioethanol program. Appl. Biochem. Biotechnol. 2000, 84, 1147–1161. [Google Scholar] [CrossRef]
- Kanagasabai, M.; Elango, B.; Balakrishnan, P.; Jayabalan, J. Ethanol production from bioresources and its kinetic modeling: Optimization methods. In Ethanol and Glycerol Chemistry—Production, Modelling, Applications, and Technological Aspects, 1st ed.; Pandey, R., Pala-Rosas, I., Contreras, J.L., Salmones, J., Eds.; IntechOpen: London, UK, 2023. [Google Scholar]
- de Almeida Felipe, M.D.G. Raw material quality in the production of sugarcane ethanol. In Sugarcane Bioethanol—R&D for Productivity and Sustainability, 1st ed.; Cortez, L.A.B., Ed.; Editora Edgard Blücher: São Paulo, Brazil, 2014; pp. 553–560. [Google Scholar]
- Balakrishnan, D. Exploring the potential of sugarcane vinasse for biogas and biofertilizer Production: A catalyst for advancing the bioeconomy. Sustain. Energy Technol. Assess. 2024, 61, 103474. [Google Scholar] [CrossRef]
- Stremel, D.; Pulitano, V.; Oliveira, S. Mathematical modeling and dynamic simulation of a tower reactor for intensified ethanol fermentation with immobilized yeasts and simultaneous gas removal. Processes 2025, 13, 1122. [Google Scholar] [CrossRef]
- Scott, F.; Conejeros, R.; Aroca, G. Attainable region analysis for continuous production of second generation bioethanol. Biotechnol. Biofuels 2013, 6, 171. [Google Scholar] [CrossRef]
- Cardona, C.A.; Sánchez, Ó.J. Fuel ethanol production: Process design trends and integration opportunities. Bioresour. Technol. 2007, 98, 2415–2457. [Google Scholar] [CrossRef] [PubMed]
- Joannis-Cassan, C.; Riess, J.; Jolibert, F.; Taillandier, P. Optimization of very high gravity fermentation process for ethanol production from industrial sugar beet syrup. Biomass Bioenergy 2014, 70, 165–173. [Google Scholar] [CrossRef]
- Oliveira, S.C.; Stremel, D.P.; Dechechi, E.C.; Pereira, F.M. Kinetic modeling of 1-G ethanol fermentations. In Fermentation Processes, 1st ed.; Jozala, A.F., Ed.; IntechOpen: London, UK, 2017. [Google Scholar]
- Ünsal, S.B.E.; Tufan, H.N.G.; Canatar, M.; Yatmaz, E.; Yavuz, I.; Germec, M.; Turhan, I. An evaluation of mathematical modeling of ethanol fermentation with immobilized Saccharomyces cerevisiae in the presence of different inhibitors. Processes 2025, 13, 656. [Google Scholar] [CrossRef]
- Abu Reesh, I.M. Optimum design of N continuous stirred-tank bioreactors in series for fermentation processes based on simultaneous substrate and product inhibition. Processes 2021, 9, 1419. [Google Scholar] [CrossRef]
- Atala, D.I.P.; Costa, A.C.; Maciel, R.; Maugeri, F. Kinetics of ethanol fermentation with high biomass concentration considering the effect of temperature. Appl. Biochem. Biotechnol. 2001, 91, 353–365. [Google Scholar] [CrossRef]
- Domingo-Félez, C.; Jankowska, K.; Skiadas, I.V.; Woodley, J.M.; Pinelo, M. Continuous ethanol production via ultrasound-enhanced yeast sedimentation. Food Bioprod. Process. 2023, 140, 181–188. [Google Scholar] [CrossRef]
- Qin, Y.; Zhai, C. Global stabilizing control of a continuous ethanol fermentation process starting from batch mode production. Processes 2024, 12, 819. [Google Scholar] [CrossRef]
- Rivera, E.C.; da Costa, A.C.; Lunelli, B.H.; Maciel, M.R.W.; Maciel, R. Kinetic modeling and parameter estimation in a tower bioreactor for bioethanol production. Appl. Biochem. Biotechnol. 2008, 148, 163–173. [Google Scholar] [CrossRef]
- Astudillo, I.C.P.; Alzate, C.A.C. Importance of stability study of continuous systems for ethanol production. J. Biotechnol. 2011, 151, 43–55. [Google Scholar] [CrossRef] [PubMed]
- Bailey, J.E.; Ollis, D.F. Biochemical Engineering Fundamentals, 2nd ed.; McGraw Hill: New York, NY, USA, 1986; p. 984. [Google Scholar]
- Sinclair, G.G.; Kristiansen, B. Fermentation Kinetics and Modeling; Taylor & Francis: New York, NY, USA, 1987; p. 113. [Google Scholar]
- Doran, P.M.; Morrissey, K.; Carlson, R.P. Bioprocess Engineering Principles; Academic Press: New York, NY, USA, 2025; p. 746. [Google Scholar]
- Konopacka, A.; Konopacki, M.; Kordas, M.; Rakoczy, R. Mathematical modeling of ethanol production by Saccharomyces cerevisiae in batch culture with non-structured model. Chem. Eng. Process. 2019, 40, 281–291. [Google Scholar] [CrossRef]
- Salakkam, A.; Phukoetphim, N.; Laopaiboon, P.; Laopaiboon, L. Mathematical modeling of bioethanol production from sweet sorghum juice under high gravity fermentation: Applicability of Monod-based, logistic, modified Gompertz and Weibull models. Electron. J. Biotechnol. 2023, 64, 18–26. [Google Scholar] [CrossRef]
- Oliveira, S.C.; Oliveira, R.C.; Tacin, M.V.; Gattás, E.A.L. Kinetic modeling and optimization of a batch ethanol fermentation process. J. Bioprocess Biotech. 2016, 6, 266. [Google Scholar]
- Comberbach, D.M.; Ghommidh, C.; Bu’Lock, J.D. Steady-state stability and dynamic behavior of continuous ethanol fermentation at high cell densities. Enzym. Microb. Technol. 1987, 9, 676–684. [Google Scholar] [CrossRef]
- Olaoye, O.S.; Kolawole, O.S. Modeling of the kinetics of ethanol formation from glucose biomass in batch culture with a non structured model. Int. J. Eng. Res. Appl. 2013, 3, 562–565. [Google Scholar]
- Gonçalves, R.H. Modelagem Matemática de um Processo Contínuo de Fermentação Alcoólica Multiestágio em Escala Industrial. Master’s Thesis, Universidade Estadual Paulista, Araraquara, Brazil, 2024. [Google Scholar]
- Bhowmik, S.K.; Alqahtani, R.T. Mathematical analysis of bioethanol production through continuous reactor with a settling unit. Comput. Chem. Eng. 2018, 111, 241–251. [Google Scholar] [CrossRef]
- Canseco Grellet, M.A.; Castagnaro, A.; Dantur, K.I.; De Boeck, G.; Ahmed, P.M.; Cárdenas, G.J.; Welin, B.; Ruiz, R.M. A modified indirect mathematical model for evaluation of ethanol production efficiency in industrial-scale continuous fermentation processes. J. Appl. Microbiol. 2016, 121, 1026–1037. [Google Scholar] [CrossRef] [PubMed]
- Haddad, S.A.; Lindegren, C.C. A method for determining the weight of an individual yeast cell. Biol. Res. Lab. 1953, 1, 153–156. [Google Scholar] [CrossRef]
- Schmidell, W.; Zanfonato, K. Microrganismos e meios de cultura para utilização industrial. In Biotecnologia Industrial: Engenharia Bioquímica, 2nd ed.; Alterthum, F., Schmidell, W., Lima, U.A., Moraes, I.O., Eds.; Blucher: São Paulo, Brazil, 2021; Volume 2, pp. 21–35. [Google Scholar]
- Kollerup, F.; Daugulis, A.J. A mathematical model for ethanol production by extractive fermentation in a continuous stirred tank fermentor. Biotechnol. Bioeng. 1985, 27, 1335–1346. [Google Scholar] [CrossRef]
- Lee, J.M. Computer simulation in ethanol fermentation. In Biotechnology Applications and Research, 1st ed.; Cheremisinoff, P.N., Ouellette, R.P., Eds.; Technomic Publishing Company Inc.: Lancaster, PA, USA, 1985; pp. 78–87. [Google Scholar]
- Lafforgue-Delorme, C.; Delorme, P.; Goma, G. Continuous alcoholic fermentation with Saccharomyces cerevisiae recycle by tangential filtration: Key points for process modelling. Biotechnol. Lett. 1994, 16, 741–746. [Google Scholar] [CrossRef]
- Facciotti, M.C.R.; Schmidell, W. The new concept of minimum cell viability and its consequences on bioprocess design and operation. Braz. J. Chem. Eng. 1995, 12, 22–31. [Google Scholar]
- Hojo, O.; Hokka, C.O.; Maior, A.M.S. Ethanol production by a flocculant yeast strain in a CSTR type fermentor with cell recycling. Appl. Biochem. Biotechnol. 1999, 78, 535–545. [Google Scholar] [CrossRef]
- Eliodório, K.P. Experimental Study and Mathematical Modelling of Ethanol Fermentation Considering Thermal Effects. Ph.D. Thesis, Universidade de São Paulo, São Paulo, Brazil, 2024. [Google Scholar]
- Morais, E.R.; Bonomi, A. Modelagem matemática e simulação de bioprocessos. In Biotecnologia Industrial: Engenharia Bioquímica, 2nd ed.; Alterthum, F., Schmidell, W., Lima, U.A., Moraes, I.O., Eds.; Blucher: São Paulo, Brazil, 2021; Volume 2, pp. 171–240. [Google Scholar]
- Liu, D.; Xu, L.; Xiong, W.; Zhang, H.T.; Lin, C.C.; Jiang, L.; Xu, B. Fermentation process modeling with Levenberg-Marquardt algorithm and Runge-Kutta method on ethanol production by Saccharomyces cerevisiae. Math. Probl. Eng. 2014, 2014, 289492. [Google Scholar] [CrossRef]
- Seidel, A. Calculating chemical reaction equilibrium for a homogeneous phase from the material balance of a batch reactor. Chem. Eng. Sci. 1990, 45, 2970–2973. [Google Scholar] [CrossRef]
- von Sperling, M.; Verbyla, M.E.; Oliveira, S.M.A.C. Model application, calibration, and verification. In Assessment of Treatment Plant Performance and Water Quality Data: A guide for Students, Researchers and Practitioners; IWA Publishing: London, UK, 2020; pp. 595–631. [Google Scholar]
- Oliveira, S.C.; de Castro, H.F.; Visconti, A.E.S.; Giudici, R. Mathematical modeling of a continuous alcoholic fermentation process in a two-stage tower reactor cascade with flocculating yeast recycle. Bioprocess Biosyst. Eng. 2015, 38, 469–479. [Google Scholar] [CrossRef] [PubMed]
- Câmara, M.M.; Soares, R.M.; Feital, T.; Naomi, P.; Oki, S.; Thevelein, J.M.; Amaral, M.; Pinto, J.C. On-line identification of fermentation processes for ethanol production. Bioprocess Biosyst. Eng. 2017, 40, 989–1006. [Google Scholar] [CrossRef] [PubMed]











| t (day) | F0 (m3/h) | Fm (m3/h) | S0 (g/L) | Sm (g/L) | S1 (g/L) | S2 (g/L) | S3(g/L) | S4 (g/L) |
|---|---|---|---|---|---|---|---|---|
| 1 | 126 | 189 | 219.33 | 109.66 | 54.27 | 16.28 | 5.36 | 4.77 |
| 2 | 105 | 158 | 223.57 | 111.78 | 39.53 | 14.94 | 5.32 | 3.69 |
| 3 | 99 | 149 | 213.14 | 106.57 | 23.84 | 7.13 | 3.46 | 3.05 |
| 4 | 126 | 189 | 215.15 | 107.58 | 9.98 | 4.24 | 3.21 | 3.38 |
| 5 | 105 | 158 | 216.84 | 108.42 | 15.74 | 4.02 | 3.64 | 3.21 |
| 6 | 107 | 161 | 217.80 | 108.90 | 11.39 | 4.48 | 3.22 | 3.35 |
| 7 | 111 | 167 | 222.10 | 111.05 | 17.02 | 3.71 | 3.15 | 2.95 |
| 8 | 108 | 162 | 222.15 | 111.08 | 19.68 | 4.18 | 4.05 | 3.41 |
| 9 | 127 | 191 | 219.67 | 109.83 | 26.96 | 3.41 | 3.31 | 3.03 |
| 10 | 113 | 170 | 227.60 | 113.80 | 39.63 | 3.54 | 2.79 | 3.76 |
| 11 | 116 | 174 | 221.93 | 110.96 | 23.23 | 4.24 | 3.27 | 3.03 |
| 12 | 124 | 186 | 221.33 | 110.66 | 39.07 | 3.33 | 2.54 | 3.34 |
| 13 | 113 | 170 | 228.85 | 114.43 | 39.43 | 3.36 | 3.25 | 3.55 |
| 14 | 112 | 168 | 223.71 | 111.85 | 24.44 | 2.60 | 2.41 | 3.01 |
| 15 | 121 | 182 | 228.38 | 114.19 | 6.46 | 3.06 | 2.64 | 3.22 |
| 16 | 116 | 174 | 229.64 | 114.82 | 20.48 | 3.43 | 2.61 | 2.74 |
| 17 | 109 | 164 | 227.31 | 113.65 | 25.29 | 2.12 | 1.95 | 2.05 |
| 18 | 109 | 164 | 232.75 | 116.38 | 16.68 | 3.40 | 2.76 | 2.67 |
| 19 | 113 | 170 | 232.15 | 116.08 | 24.27 | 3.35 | 3.15 | 2.76 |
| 20 | 112 | 168 | 227.73 | 113.86 | 24.47 | 2.51 | 2.34 | 2.78 |
| 21 | 115 | 173 | 231.88 | 115.94 | 33.64 | 2.50 | 2.17 | 2.63 |
| 22 | 104 | 156 | 237.00 | 118.50 | 39.65 | 3.09 | 2.60 | 2.81 |
| 23 | 108 | 162 | 230.97 | 115.48 | 23.88 | 3.19 | 3.04 | 3.20 |
| 24 | 119 | 179 | 211.10 | 105.55 | 33.34 | 2.40 | 2.04 | 2.15 |
| 25 | 103 | 155 | 232.98 | 116.49 | 33.95 | 2.71 | 2.54 | 2.51 |
| 26 | 111 | 167 | 226.03 | 113.02 | 43.87 | 3.23 | 2.74 | 2.69 |
| 27 | 97 | 146 | 222.80 | 111.40 | 22.26 | 3.27 | 3.12 | 2.88 |
| 28 | 93 | 140 | 232.65 | 116.33 | 14.77 | 3.19 | 3.09 | 3.02 |
| 29 | 108 | 162 | 237.80 | 118.90 | 25.05 | 3.02 | 2.74 | 2.76 |
| 30 | 105 | 158 | 230.62 | 115.31 | 23.32 | 3.01 | 3.15 | 2.70 |
| t (day) | Sm (g/L) | S4 (g/L) | Pm (g/L) | P4 (g/L) | Xm (g/L) | X4 (g/L) | YP/S (g/g) | YP/X (g/g) |
|---|---|---|---|---|---|---|---|---|
| 1 | 109.66 | 4.77 | 20.59 | 70.01 | 48.40 | 49.34 | 0.47 | 52.77 |
| 2 | 111.78 | 3.69 | 20.22 | 75.81 | 27.45 | 30.93 | 0.51 | 15.97 |
| 3 | 106.57 | 3.05 | 19.48 | 76.98 | 47.68 | 56.61 | 0.56 | 6.44 |
| 4 | 107.58 | 3.38 | 20.13 | 73.87 | 63.55 | 70.22 | 0.52 | 8.05 |
| 5 | 108.42 | 3.21 | 19.12 | 68.84 | 52.25 | 56.65 | 0.47 | 11.31 |
| 6 | 108.90 | 3.35 | 20.13 | 73.84 | 49.95 | 55.11 | 0.51 | 10.41 |
| 7 | 111.05 | 2.95 | 18.08 | 69.61 | 65.81 | 76.13 | 0.48 | 5.00 |
| 8 | 111.08 | 3.41 | 19.38 | 74.24 | 74.41 | 85.45 | 0.51 | 4.97 |
| 9 | 109.83 | 3.03 | 15.88 | 73.10 | 58.75 | 80.97 | 0.54 | 2.57 |
| 10 | 113.80 | 3.76 | 17.73 | 71.16 | 75.95 | 91.38 | 0.49 | 3.46 |
| 11 | 110.96 | 3.03 | 17.54 | 73.07 | 70.14 | 87.81 | 0.51 | 3.14 |
| 12 | 110.66 | 3.34 | 19.76 | 75.01 | 75.05 | 85.77 | 0.51 | 5.15 |
| 13 | 114.43 | 3.55 | 18.46 | 74.61 | 43.36 | 52.63 | 0.51 | 6.06 |
| 14 | 111.85 | 3.01 | 16.44 | 72.67 | 64.16 | 84.92 | 0.52 | 2.71 |
| 15 | 114.19 | 3.22 | 16.17 | 71.55 | 55.23 | 73.53 | 0.50 | 3.03 |
| 16 | 114.82 | 2.74 | 17.00 | 73.10 | 56.31 | 72.38 | 0.50 | 3.49 |
| 17 | 113.65 | 2.05 | 17.54 | 71.18 | 44.85 | 54.38 | 0.48 | 5.63 |
| 18 | 116.38 | 2.67 | 17.99 | 69.59 | 60.66 | 70.14 | 0.45 | 5.44 |
| 19 | 116.08 | 2.76 | 16.25 | 69.98 | 43.61 | 56.47 | 0.47 | 4.18 |
| 20 | 113.86 | 2.78 | 15.61 | 67.30 | 48.37 | 62.73 | 0.47 | 3.60 |
| 21 | 115.94 | 2.63 | 16.35 | 70.78 | 48.06 | 62.27 | 0.48 | 3.83 |
| 22 | 118.50 | 2.81 | 17.63 | 71.16 | 65.53 | 79.25 | 0.46 | 3.90 |
| 23 | 115.48 | 3.20 | 16.53 | 71.55 | 56.65 | 73.84 | 0.49 | 3.20 |
| 24 | 105.55 | 2.15 | 16.63 | 63.07 | 63.38 | 72.25 | 0.45 | 5.24 |
| 25 | 116.49 | 2.51 | 18.55 | 71.16 | 46.95 | 53.90 | 0.46 | 7.57 |
| 26 | 113.02 | 2.69 | 20.31 | 71.93 | 92.70 | 98.13 | 0.47 | 9.50 |
| 27 | 111.40 | 2.88 | 20.32 | 69.21 | 70.99 | 72.25 | 0.45 | 38.92 |
| 28 | 116.33 | 3.02 | 16.99 | 71.53 | 56.57 | 71.33 | 0.48 | 3.70 |
| 29 | 118.90 | 2.76 | 19.29 | 73.44 | 42.35 | 48.30 | 0.47 | 9.10 |
| 30 | 115.31 | 2.70 | 17.92 | 65.76 | 55.11 | 60.81 | 0.42 | 8.39 |
| t (day) | Fm (m3/h) | Sm (g/L) | Xm (g/L) | Pm (g/L) | S1 (g/L) | X1 (g/L) | P1 (g/L) | S2 (g/L) | S3 (g/L) | S4 (g/L) | X4 (g/L) | P4 (g/L) |
|---|---|---|---|---|---|---|---|---|---|---|---|---|
| 1 | 189 | 109.66 | 48.40 | 20.59 | 54.27 | 44.49 | 55.83 | 16.28 | 5.36 | 4.77 | 49.34 | 70.01 |
| 2 | 158 | 111.78 | 27.45 | 20.22 | 39.53 | 67.94 | 63.84 | 14.94 | 5.32 | 3.69 | 30.93 | 75.81 |
| 3 | 149 | 106.57 | 47.68 | 19.48 | 23.84 | 61.89 | 63.04 | 7.13 | 3.46 | 3.05 | 56.61 | 76.98 |
| 4 | 189 | 107.58 | 63.55 | 20.13 | 9.98 | 63.44 | 60.04 | 4.24 | 3.21 | 3.38 | 70.22 | 73.87 |
| 5 | 158 | 108.42 | 52.25 | 19.12 | 15.74 | 68.81 | 64.19 | 4.02 | 3.64 | 3.21 | 56.65 | 68.84 |
| 6 | 161 | 108.90 | 49.95 | 20.13 | 11.39 | 69.17 | 66.93 | 4.48 | 3.22 | 3.35 | 55.11 | 73.84 |
| 7 | 167 | 111.05 | 65.81 | 18.08 | 17.02 | 63.44 | 67.70 | 3.71 | 3.15 | 2.95 | 76.13 | 69.61 |
| 8 | 162 | 111.08 | 74.41 | 19.38 | 19.68 | 68.81 | 64.61 | 4.18 | 4.05 | 3.41 | 85.45 | 74.24 |
| 9 | 191 | 109.83 | 58.75 | 15.88 | 26.96 | 82.57 | 60.41 | 3.41 | 3.31 | 3.03 | 80.97 | 73.10 |
| 10 | 170 | 113.80 | 75.95 | 17.73 | 39.63 | 86.09 | 58.92 | 3.54 | 2.79 | 3.76 | 91.38 | 71.16 |
| 11 | 174 | 110.96 | 70.14 | 17.54 | 23.23 | 86.51 | 64.58 | 4.24 | 3.27 | 3.03 | 87.81 | 73.07 |
| 12 | 186 | 110.66 | 75.05 | 19.76 | 39.07 | 71.05 | 68.44 | 3.33 | 2.54 | 3.34 | 85.77 | 75.01 |
| 13 | 170 | 114.43 | 43.36 | 18.46 | 39.43 | 74.11 | 66.90 | 3.36 | 3.25 | 3.55 | 52.63 | 74.61 |
| 14 | 168 | 111.85 | 64.16 | 16.44 | 24.44 | 82.76 | 66.13 | 2.60 | 2.41 | 3.01 | 84.92 | 72.67 |
| 15 | 182 | 114.19 | 55.23 | 16.17 | 6.46 | 85.64 | 66.50 | 3.06 | 2.64 | 3.22 | 73.53 | 71.55 |
| 16 | 174 | 114.82 | 56.31 | 17.00 | 20.48 | 77.69 | 66.50 | 3.43 | 2.61 | 2.74 | 72.38 | 73.10 |
| 17 | 164 | 113.65 | 44.85 | 17.54 | 25.29 | 52.35 | 68.84 | 2.12 | 1.95 | 2.05 | 54.38 | 71.18 |
| 18 | 164 | 116.38 | 60.66 | 17.99 | 16.68 | 69.49 | 60.04 | 3.40 | 2.76 | 2.67 | 70.14 | 69.59 |
| 19 | 170 | 116.08 | 43.61 | 16.25 | 24.27 | 57.50 | 57.35 | 3.35 | 3.15 | 2.76 | 56.47 | 69.98 |
| 20 | 168 | 113.86 | 48.37 | 15.61 | 24.47 | 72.01 | 56.21 | 2.51 | 2.34 | 2.78 | 62.73 | 67.30 |
| 21 | 173 | 115.94 | 48.06 | 16.35 | 33.64 | 64.31 | 62.70 | 2.50 | 2.17 | 2.63 | 62.27 | 70.78 |
| 22 | 156 | 118.50 | 65.53 | 17.63 | 39.65 | 85.82 | 62.30 | 3.09 | 2.60 | 2.81 | 79.25 | 71.16 |
| 23 | 162 | 115.48 | 56.65 | 16.53 | 23.88 | 76.16 | 64.21 | 3.19 | 3.04 | 3.20 | 73.84 | 71.55 |
| 24 | 179 | 105.55 | 63.38 | 16.63 | 33.34 | 50.19 | 46.79 | 2.40 | 2.04 | 2.15 | 72.25 | 63.07 |
| 25 | 155 | 116.49 | 46.95 | 18.55 | 33.95 | 48.26 | 64.98 | 2.71 | 2.54 | 2.51 | 53.90 | 71.16 |
| 26 | 167 | 113.02 | 92.70 | 20.31 | 43.87 | 58.56 | 65.36 | 3.23 | 2.74 | 2.69 | 98.13 | 71.93 |
| 27 | 146 | 111.40 | 70.99 | 20.32 | 22.26 | 83.09 | 59.26 | 3.27 | 3.12 | 2.88 | 72.25 | 69.21 |
| 28 | 140 | 116.33 | 56.57 | 16.99 | 14.77 | 87.37 | 65.76 | 3.19 | 3.09 | 3.02 | 71.33 | 71.53 |
| 29 | 162 | 118.90 | 42.35 | 19.29 | 25.05 | 74.11 | 64.98 | 3.02 | 2.74 | 2.76 | 48.30 | 73.44 |
| 30 | 158 | 115.31 | 55.11 | 17.92 | 23.32 | 75.53 | 56.55 | 3.01 | 3.15 | 2.70 | 60.81 | 65.76 |
| Kinetic Parameter | Value ± Standard Deviation |
|---|---|
| μmax (h−1) | 0.48 ± 0.02 |
| KS (g/L) | 0.83 ± 0.48 |
| Pmax (g/L) | 59.52 ± 0.90 |
| λ (−) | 0.39 ± 0.22 |
| Xmax (g/L) | 104.82 ± 7.33 |
| δ (−) | 0.30 ± 0.01 |
| Variable/Vat | a ± Standard Deviation | R2 |
|---|---|---|
| Substrate Concentration/Vat 1 | 0.82 ± 0.06 | 0.86 |
| Cell Concentration/Vat 1 | 0.91 ± 0.04 | 0.95 |
| Ethanol Concentration/Vat 1 | 0.93 ± 0.02 | 0.99 |
| Cell Concentration/Vat 4 | 0.99 ± 0.02 | 0.99 |
| Ethanol Concentration/Vat 4 | 0.97 ± 0.01 | 1.00 |
Disclaimer/Publisher’s Note: The statements, opinions and data contained in all publications are solely those of the individual author(s) and contributor(s) and not of MDPI and/or the editor(s). MDPI and/or the editor(s) disclaim responsibility for any injury to people or property resulting from any ideas, methods, instructions or products referred to in the content. |
© 2025 by the authors. Licensee MDPI, Basel, Switzerland. This article is an open access article distributed under the terms and conditions of the Creative Commons Attribution (CC BY) license (https://creativecommons.org/licenses/by/4.0/).
Share and Cite
Oliveira, S.C.; Gonçalves, R.H.; Veloso, I.I.K. Mathematical Modeling of a Continuous Multistage Ethanol Production Bioprocess on an Industrial Scale. Biomass 2025, 5, 65. https://doi.org/10.3390/biomass5040065
Oliveira SC, Gonçalves RH, Veloso IIK. Mathematical Modeling of a Continuous Multistage Ethanol Production Bioprocess on an Industrial Scale. Biomass. 2025; 5(4):65. https://doi.org/10.3390/biomass5040065
Chicago/Turabian StyleOliveira, Samuel C., Rafael H. Gonçalves, and Ivan Ilich Kerbauy Veloso. 2025. "Mathematical Modeling of a Continuous Multistage Ethanol Production Bioprocess on an Industrial Scale" Biomass 5, no. 4: 65. https://doi.org/10.3390/biomass5040065
APA StyleOliveira, S. C., Gonçalves, R. H., & Veloso, I. I. K. (2025). Mathematical Modeling of a Continuous Multistage Ethanol Production Bioprocess on an Industrial Scale. Biomass, 5(4), 65. https://doi.org/10.3390/biomass5040065

