Next Article in Journal
De Novo Protein Design Enables Targeting of Intractable Oncogenic Protein–Protein Interfaces
Previous Article in Journal
A Single-Center Review of Infusion-Associated Reactions in Patients with CLN2 Disease Receiving Cerliponase Alfa
 
 
Font Type:
Arial Georgia Verdana
Font Size:
Aa Aa Aa
Line Spacing:
Column Width:
Background:
Article

Beetroot Extract Ameliorates DSS-Induced Colitis in Mice via Gut Microbiota Modulation

by
Adisti Dwijayanti
1,2,*,
Kusmardi Kusmardi
2,3,4,
Fadilah Fadilah
5,6,
Nur Azizah
7 and
Mohd Azrul Naim Mohamad
8
1
Department of Medical Pharmacy, Faculty of Medicine, Universitas Indonesia, Jakarta 10430, Indonesia
2
Drug Development Research Center, Indonesian Medical Education and Research Institute, Universitas Indonesia, Jakarta 10430, Indonesia
3
Department of Anatomic Pathology, Faculty of Medicine, Universitas Indonesia, Jakarta 10430, Indonesia
4
Human Cancer Research Cluster, Indonesian Medical Education and Research Institute, Universitas Indonesia, Jakarta 10430, Indonesia
5
Department of Medical Chemistry, Faculty of Medicine, Universitas Indonesia, Jakarta 10430, Indonesia
6
Bioinformatics Core Facilities, IMERI, Faculty of Medicine, Universitas Indonesia, Jakarta 10430, Indonesia
7
Doctoral Program in Biomedical Sciences, Faculty of Medicine, Universitas Indonesia, Jakarta 10430, Indonesia
8
Research Unit for Bioinformatics and Computational Biology (RUBIC), Kulliyyah of Science, International Islamic University Malaysia, Kuantan 25200, Malaysia
*
Author to whom correspondence should be addressed.
Biologics 2026, 6(1), 8; https://doi.org/10.3390/biologics6010008
Submission received: 19 November 2025 / Revised: 14 January 2026 / Accepted: 26 February 2026 / Published: 2 March 2026
(This article belongs to the Section Natural Products)

Abstract

Background: Dextran sodium sulfate (DSS)-induced colitis serves as a preclinical model for studying gut dysbiosis and inflammation relevant to inflammatory bowel disease (IBD) and its long-term complication of colorectal cancer (CRC). Beetroot (Beta vulgaris L.) extract, rich in betalains, polyphenols, and nitrates, exhibits antioxidant and anti-inflammatory properties. This study investigated beetroot extract’s effects on gut microbiota composition and predicted functional pathways in DSS-induced colitis. Methods: Male BALB/c mice were divided into four groups: control (water), DSS-only, beetroot 250 mg/kg + DSS, and beetroot 500 mg/kg + DSS. Beetroot extract was administered orally for 14 days prior to and during DSS exposure. Gut microbial profiles were analyzed using 16S rRNA sequencing, while microbial diversity, community structure, and predicted metabolic functions were evaluated using Shannon, Chao1, PCoA, PERMANOVA, and PICRUSt2 analyses. Results: DSS administration significantly reduced body weight, microbial diversity, and Bacteroidota abundance, while increasing Proteobacteria and Desulfobacterota—a classic colitis-associated dysbiosis signature. Beetroot supplementation restored body weight and microbial balance in a dose-dependent manner, with the 500 mg/kg group showing near-complete normalization of the microbiota. Functional predictions revealed the upregulation of short-chain fatty acid (SCFA) biosynthesis, glutathione metabolism, and amino acid pathways, and suppression of lipopolysaccharide biosynthesis. Identified phytochemicals, including betanin, ferulic acid, and rutin, were associated with antioxidant and prebiotic activities that support microbial restoration. Conclusions: Beetroot extract mitigates DSS-induced gut dysbiosis and inflammation by enhancing microbial diversity, restoring SCFA-associated taxa, and promoting anti-inflammatory and antioxidant pathways. These findings highlight beetroot as a promising natural dietary intervention for colitis and microbiome-associated intestinal disorders.

1. Introduction

Gut microbial dysbiosis and chronic intestinal inflammation interact to impair epithelial barrier function, collectively promoting colorectal carcinogenesis [1,2]. Repeated cycles of intestinal inflammation can select for and sustain pro-tumorigenic microbial communities, creating a permissive environment for colorectal carcinogenesis and supporting an inflammation–microbiota–carcinogenesis axis [2,3]. The gut microbiota plays a central role in this process, with dysbiosis characterized by expansion of pro-inflammatory pathobionts and depletion of SCFA-producing taxa which compromise epithelial barrier integrity [2,4].
The healthy gut microbiota is dominated by beneficial anaerobes from the phyla Firmicutes and Bacteroidota, including genera such as Ruminococcus, Lachnospiraceae members, Bacteroides, and Clostridium [5]. These bacteria produce short-chain fatty acids (SCFAs) such as acetate, propionate, and butyrate, which serve as key energy sources for colonocytes, strengthen epithelial barrier integrity, and exert anti-inflammatory and immunoregulatory effects via inhibition of histone deacetylases [6,7]. Gut dysbiosis is commonly characterized by loss of SCFA-producing taxa and is associated with mucosal inflammation and impaired epithelial homeostasis [5]. Diets rich in plant-derived bioactive compounds, including polyphenols and dietary fibers, modulate gut microbiota composition and microbial metabolism, enhance SCFA production, and attenuate intestinal inflammation [8]. Among functional foods, Beta vulgaris L. (beetroot) has attracted considerable attention due to its high content of bioactive phytochemicals, including betalains, polyphenols, flavonoids, and dietary nitrates, which collectively confer antioxidant, anti-inflammatory properties, and have been associated with potential anticancer effects [9,10].
Previous studies have shown that beetroot possesses antioxidant and anti-inflammatory properties, with antioxidant effects largely attributed to betalains and anti-inflammatory activity partly mediated through modulation of redox-sensitive signaling pathways such as nuclear factor kappa B (NF-κB) and nuclear factor erythroid 2-related factor 2 (Nrf2) [9,11]. Extending these observations, a two-week beetroot juice trial in healthy humans demonstrated transient modulation of gut microbiota, including increased abundance of Akkermansia muchiniphila and reduced Bacteroides fragilis, suggesting a short-term microbial response to beetroot-derived bioactive compounds [12]. In contrast, our DSS-induced colitis model demonstrates dose-dependent improvements in microbiota composition during active inflammation, allowing evaluation of beetroot-associated effects under controlled inflammatory conditions. These microbial and metabolic effects may contribute to the gastrointestinal benefits associated with beetroot consumption.
Despite these promising findings, the mechanisms by which beetroot bioactives restore gut microbial balance during inflammation remain poorly understood. Therefore, the present study investigates the dose-dependent effects of beetroot ethanol extract on gut microbiome composition and predicted metabolic functions in a dextran sodium sulfate (DSS)-induced colitis mouse model. The study employs 16S rRNA sequencing to characterize microbiota alterations and infer functional changes using Kyoto Encyclopedia of Genes and Genomes (KEGG)-based pathway prediction. Through this approach, we aim to elucidate the role of beetroot extract in restoring intestinal microbial homeostasis and mitigating inflammation-associated dysbiosis, providing insight into its potential as a dietary intervention for colitis and microbiome-associated intestinal disorders.

2. Materials and Methods

2.1. Beetroot Extract Preparation and Administration

Fresh red beetroot (Beta vulgaris L.) roots were purchased from a local market (Jakarta, Indonesia), authenticated by the Faculty of Pharmacy, Universitas Indonesia (voucher specimen No. UI-Farm-2022-001), washed thoroughly under running water, peeled, and chopped into 1 cm3 pieces. Extraction was performed using 70% ethanol (1:10 w/v ratio, 100 g fresh beetroot in 1 L solvent) at room temperature with continuous stirring (200 rpm) for 24 h. The mixture was filtered through Whatman No. 1 filter paper (Cytiva, Maidstone, UK), and the filtrate concentrated under reduced pressure using a rotary evaporator Rotavapor R-100 (Büchi Labortechnik AG, Flawil, Switzerland) at 40 °C and 100 mbar, to yield a viscous crude extract. The final extract was lyophilized using a Labconco FreeZone 4.5 L system (Labconco Corporation, Kansas City, MO, USA) at −50 °C and 0.1 mbar, to obtain dry powder, yielding 12.4% (w/w) from fresh weight. The extract was stored at 4 °C in amber glass vials protected from light until use. This hydro-ethanolic maceration approach is adapted from previously described Beta vulgaris extraction protocols using 70% ethanol in rodent studies [13].
Doses of 250 and 500 mg/kg body weight (BW) were selected based on previous in vivo studies demonstrating the anti-inflammatory and antioxidant activity of beetroot extract [13]. Doses (250, 500 mg/kg BW) were suspended in distilled water (10 mg/mL) and administered daily by oral gavage (1 mL/100 g BW) using 18G curved gavage needles (Instech Laboratories, Plymouth Meeting, PA, USA). Vehicle control groups received an equivalent water volume. A pre-treatment phase of 14 consecutive days was applied prior to colitis induction to assess the potential of the extract. This duration was determined based on approximately two epithelial cell turnover cycles of the mouse intestinal mucosa (3–5 days each) [14].

2.2. Study Design and Animal Model

This study was an experimental investigation using stored colon tissue samples from a previous in vivo study conducted on Mus musculus strain BALB/c mice. Five-week-old male BALB/c mice (20–25 g) were obtained from an accredited animal breeding facility and housed in groups of 3–5 per cage in polycarbonate cages with corncob bedding under controlled temperature (approximately 22–24 °C), 40–60% relative humidity, and a 12 h light/dark cycle, with free access to standard rodent chow and water. Potential confounders such as cage location were not specifically controlled. No exclusion criteria were predefined. All procedures complied with the institutional ethical guidelines for animal care and use and were approved by the Ethics Committee of the Faculty of Medicine, Universitas Indonesia (approval number 1234/UN2.F1/ETIK/PPM.00.02/2022).
Animals were randomly allocated into four experimental groups (n = 6 per group): water (control, no DSS, no beetroot), DSS (2% DSS only), BE250+DSS (beetroot extract 250 mg/kg BW plus DSS), and BE500+DSS (beetroot extract 500 mg/kg BW plus DSS). DSS-induced colitis is a widely accepted acute inflammation model that recapitulates IBD features including epithelial barrier disruption, immune cell infiltration, microbial dysbiosis, and weight loss [15,16]. Multiple DSS cycles mimic chronic-relapsing inflammation patterns observed in ulcerative colitis, accompanied by epithelial disruption and microbial alteration, making it suitable for evaluating dietary interventions targeting microbiota restoration [16,17]. Animals were monitored at least once daily for general health and, during DSS administration, for body weight, stool consistency, and rectal bleeding; humane endpoints included severe weight loss (>20%), persistent bleeding, or signs of severe distress. In addition to body weight, liver weight was recorded as a secondary indicator of systemic metabolic stress associated with DSS-induced inflammation, reflecting catabolic status and extra-intestinal involvement. However, standard colitis endpoints such as colon length and histological scoring were not available for this secondary microbiome analysis and are therefore not reported. In the BE500+DSS group and the control group, 1 animal each was euthanized according to humane endpoints during the second DSS cycle, resulting in final n = 5 for microbiota analysis. No protocol was prospectively registered.
In the original in vivo experiment, a composite Disease Activity Index (DAI) was calculated daily based on body weight loss, stool consistency, and the presence of rectal bleeding, and was used solely to determine humane endpoints and confirm the successful induction of colitis. However, raw DAI scores and other inflammatory biomarkers (such as cytokines or myeloperoxidase activity) were not systematically recorded in a form that allowed quantitative re-analysis. The present work therefore focuses on secondary analysis of stored samples for 16S rRNA-based microbiome profiling rather than on clinical disease activity outcomes.

2.3. Induction of Colitis

Colitis was induced by administering 2% dextran sodium sulfate (DSS) (molecular weight 36,000–50,000 Da; MP Biomedicals, Irvine, CA, USA) in the drinking water for seven consecutive days. The DSS cycle was repeated twice, separated by a seven-day recovery interval, while beetroot extract treatment continued throughout the induction and recovery phases. During DSS exposure, mice were monitored daily for body weight, stool consistency, and rectal bleeding to calculate the disease activity index (DAI). Animals showing severe clinical signs or weight loss above 20% of baseline were predefined for humane euthanasia. At the end of the experiment (14 days after the final DSS exposure), mice were euthanized by CO2 asphyxiation followed by cervical dislocation, and colon tissues were collected, rinsed with sterile phosphate-buffered saline (PBS) (Thermo Fisher Scientific, Waltham, MA, USA), and stored at −80 °C for microbiome analyses.

2.4. DNA Extraction and 16S rRNA Sequencing

The 16S rRNA gene survey was conducted in accordance with the MIxS/MIMARKS guidelines for marker gene sequencing studies, and the core technical parameters are summarized here. Colon content samples were collected at necropsy into sterile tubes, immediately snap-frozen in liquid nitrogen, and stored at −80 °C until DNA extraction. Sample metadata included mouse strain (BALB/c), sex (male), age at sacrifice (7–8 weeks), treatment group (water, DSS, BE250+DSS, BE500+DSS), and cage identifier.
Total DNA was extracted using the QIAamp DNA Stool Mini Kit (Qiagen, Hilden, Germany) according to the manufacturer’s protocol, including an initial mechanical disruption step and proteinase K digestion; extraction blanks were included in each batch to monitor potential contamination. DNA yield and purity were assessed by NanoDrop spectrophotometry (NanoDrop 2000, Thermo Fisher Scientific, Waltham, MA, USA). The V3–V4 hypervariable region of the bacterial 16S rRNA gene was amplified using the primers 341F (5′-CCTACGGGNGGCWGCAG-3′) and 806R (5′-GACTACHVGGGTATCTAATCC-3′), with overhang Illumina adapter sequences. The PCR reactions (25 µL) contained 1× high-fidelity buffer, 0.2 mM dNTPs, 0.2 µM of each primer, 1 U high-fidelity DNA polymerase, and 10–20 ng template DNA. Thermocycling was performed as follows: initial denaturation at 95 °C for 3 min; 25 cycles of 95 °C for 30 s, 55 °C for 30 s, 72 °C for 30 s; and final extension at 72 °C for 5 min. Amplicons were purified with AMPure XP beads (Beckman Coulter, Brea, CA, USA) and indexed using the Nextera XT Index Kit (Illumina, San Diego, CA, USA).
Equimolar pooled libraries were sequenced on an Illumina MiSeq platform (2 × 300 bp paired-end; Illumina, San Diego, CA, USA) using the MiSeq Reagent Kit v3 chemistry, including 10–20% PhiX spike-in as an internal control. A no-template PCR control and extraction blanks were carried out through amplification and sequencing. Bioinformatic processing was performed in (Quantitative Insights Into Microbial Ecology) QIIME2 (version 2023.7). Demultiplexed reads were quality-filtered and denoised with DADA2 (q2-dada2), with default chimera removal (consensus method). Across all 22 samples, a total of 9.26 million raw paired-end reads were generated (median 0.17 million reads per sample). The final feature table contained 2210 Amplicon sequence variants (ASVs) across all samples. Amplicon sequence variants (ASVs) were aligned with MAFFT (multiple alignment using fast Fourier transform) version 7.511 and used to construct a phylogenetic tree with FastTree. Taxonomic assignment was carried out using a Naïve Bayes classifier trained on the SILVA 138 reference database trimmed to the 341F/806R region. ASVs that could not be confidently assigned at a given rank were labeled as ‘unclassified’ at that rank but may still be classified at higher levels.
Alpha diversity indices (Shannon and Chao1) were calculated to evaluate microbial richness and diversity. Beta diversity was assessed using Bray–Curtis dissimilarity, followed by Principal Coordinate Analysis (PCoA) for visualization of inter-group clustering patterns. Differentially abundant taxa were explored using Analysis of Composition of Microbiomes (ANCOM) implemented in QIIME2; these results were used in an exploratory manner to support the relative abundance findings but are not presented as formal inferential results but were used only to guide the selection of genera for descriptive visualization. These results highlighted that bacterial genera significantly increased or decreased in response to beetroot supplementation compared with DSS-only mice.
Microbial functional potential was inferred from 16S rRNA ASVs using Phylogenetic Investigation of Communities by Reconstruction of Unobserved States 2 (PICRUSt2, v2.5.0) implemented in QIIME2. For each KEGG Level 2 pathway, predicted copy numbers were normalized across samples and then linearly rescaled to values between 0 and 1 to facilitate visual comparison between treatment groups. Copy number normalization and Nearest Sequenced Taxon Index (NSTI) values were calculated against the 2022.09 KEGG reference database. Differential pathway abundances were assessed using ALDEx2 (log-ratio effect size) in conjunction with ANCOM-II.

2.5. Phytochemical Identification and Database Verification

The main bioactive constituents of Beta vulgaris (beetroot) ethanol extract were identified through literature mining and verified using the PubChem (https://pubchem.ncbi.nlm.nih.gov accessed on 25 February 2026) and ChemSpider (https://www.chemspider.com accessed on 25 February 2026) databases, as no direct analytical profiling was performed in this study. Beetroot ethanol extracts are consistently reported to contain betalains (betanin, isobetanin, betanidin), phenolic acids (ferulic acid, caffeic acid, vanillic acid), and flavonoids (rutin, catechin) as major bioactives with antioxidant, anti-inflammatory, and prebiotic properties. These compounds were selected for the integrative network analysis based on their documented roles in modulating gut microbiota and inflammation-relevant pathways.
For each compound, molecular descriptors such as PubChem CID, molecular weight, logP, and SMILES were retrieved to confirm identity and physicochemical properties. Reported biological activities, including antioxidant, anti-inflammatory, and prebiotic functions, were extracted from PubChem BioAssay and ChemSpider annotations. These phytochemicals were then correlated with microbial taxa and KEGG pathways identified in the 16S rRNA-based functional prediction (PICRUSt2) and differential abundance (ANCOM) analyses, supporting their potential roles in modulating gut microbiota composition and metabolism.

2.6. Network Construction and Visualization

An integrated compound–microbiota–function interaction network was constructed using Python (version 3.10; NetworkX, Matplotlib version 3.7.1) to visualize the relationships among beetroot phytochemicals, gut bacterial genera, and KEGG pathways. The network was organized in a three-layer circular layout, consisting of inner nodes (phytochemicals), middle nodes (microbial genera), and outer nodes (functional pathways). Edges represented literature-supported associations, showing both positive effects (enhancement of SCFA-producing bacteria and metabolic pathways) and negative interactions.

2.7. Statistical Analysis

Data were expressed as mean ± standard deviation (SD). For body weight and organ weight comparisons, both parametric one-way Analysis of Variance (ANOVA) followed by Tukey’s post hoc test and non-parametric Kruskal–Wallis followed by Dunn’s multiple comparisons test were performed. Microbial community analyses used Permutational Multivariate Analysis of Variance (PERMANOVA) (999 permutations). A p-value < 0.05 was considered statistically significant. Analyses were performed using GraphPad Prism (version 9.5, GraphPad Software, San Diego, CA, USA) and QIIME2 (version 2023.7) statistical plugins.

3. Results

3.1. Animal Model with Treatment

DSS administration was associated with significant body-weight loss (−1.57 ± 2.10 g vs. water +3.00 ± 1.41 g, p = 0.006) and reduced liver weight (Table 1), consistent with acute DSS-induced colitis and systemic metabolic stress described in previous models, although classical endpoints such as colon length and histological scoring were not available in this secondary analysis. Beetroot extract ameliorated these effects dose-dependently (BE500+DSS: +2.25 ± 1.26 g, p = 0.012 vs. DSS), alongside microbiota normalization (PERMANOVA p = 0.287 vs. water).
ANOVA and Kruskal–Wallis (KW) confirmed significant overall differences in body weight (F = 5.42, p = 0.008; H = 12.3, p = 0.006). Tukey’s/Dunn’s tests showed DSS significantly reduced body weight vs. water (p = 0.006), while beetroot restored weight dose-dependently (BE250 vs. DSS: p = 0.045; BE500 vs. DSS: p = 0.012). Table 1 presents the statistical analysis of body weight changes across experimental groups. DSS administration resulted in a significant reduction in body weight compared to the control group (p = 0.006), confirming colitis-associated metabolic impairment. Supplementation with beetroot extract significantly improved body weight recovery, with the 500 mg/kg group showing greater restoration than the 250 mg/kg group (p < 0.05). The absence of a significant difference between the beetroot-treated and control groups suggests near-complete physiological normalization. These findings indicate that beetroot extract exerts a protective effect consistent with microbiota modulation, supporting its potential role in maintaining gut health and systemic metabolic stability.
Although the DAI was monitored in the original study to guide humane endpoints, complete numerical records were not available for secondary analysis, and therefore DAI data are not presented here. Qualitatively, DSS administration induced typical signs of colitis (weight loss, loose stools, and occasional rectal bleeding), which were attenuated in beetroot-treated groups, consistent with the observed improvements in body weight and microbiota composition summarized in Table 1 and subsequent figures.

3.2. Alpha Diversity Analysis

Figure 1 shows the Shannon diversity index of gut microbiota across the four treatment groups. The Shannon index reflects both the richness and evenness of microbial communities within each sample.
The Shannon index confirmed that DSS significantly reduced microbial diversity, whereas beetroot extract supplementation restored gut microbiota in a dose-dependent manner. Beet500+DSS restored the Shannon index close to control, characterized by dominance of Firmicutes, Lachnospiraceae, and Ruminococcaceae, indicating reestablishment of a healthy microbial ecosystem (Table 2).
The boxplot Figure 2 illustrates differences in gut microbial richness among treatment groups. The DSS-induced colitis group showed the lowest Chao1 index, indicating a significant reduction in bacterial richness and diversity due to intestinal inflammation. In contrast, beetroot extract supplementation increased microbial richness in a dose-dependent manner. The 500 mg/kg beetroot group exhibited the highest recovery, approaching the richness level of the water control group, which maintained normal gut microbial equilibrium. These findings support the protective effects of beetroot extract that effectively restores and stabilizes gut microbial richness compromised by DSS-induced colitis.

3.3. Beta Diversity and Community Structure

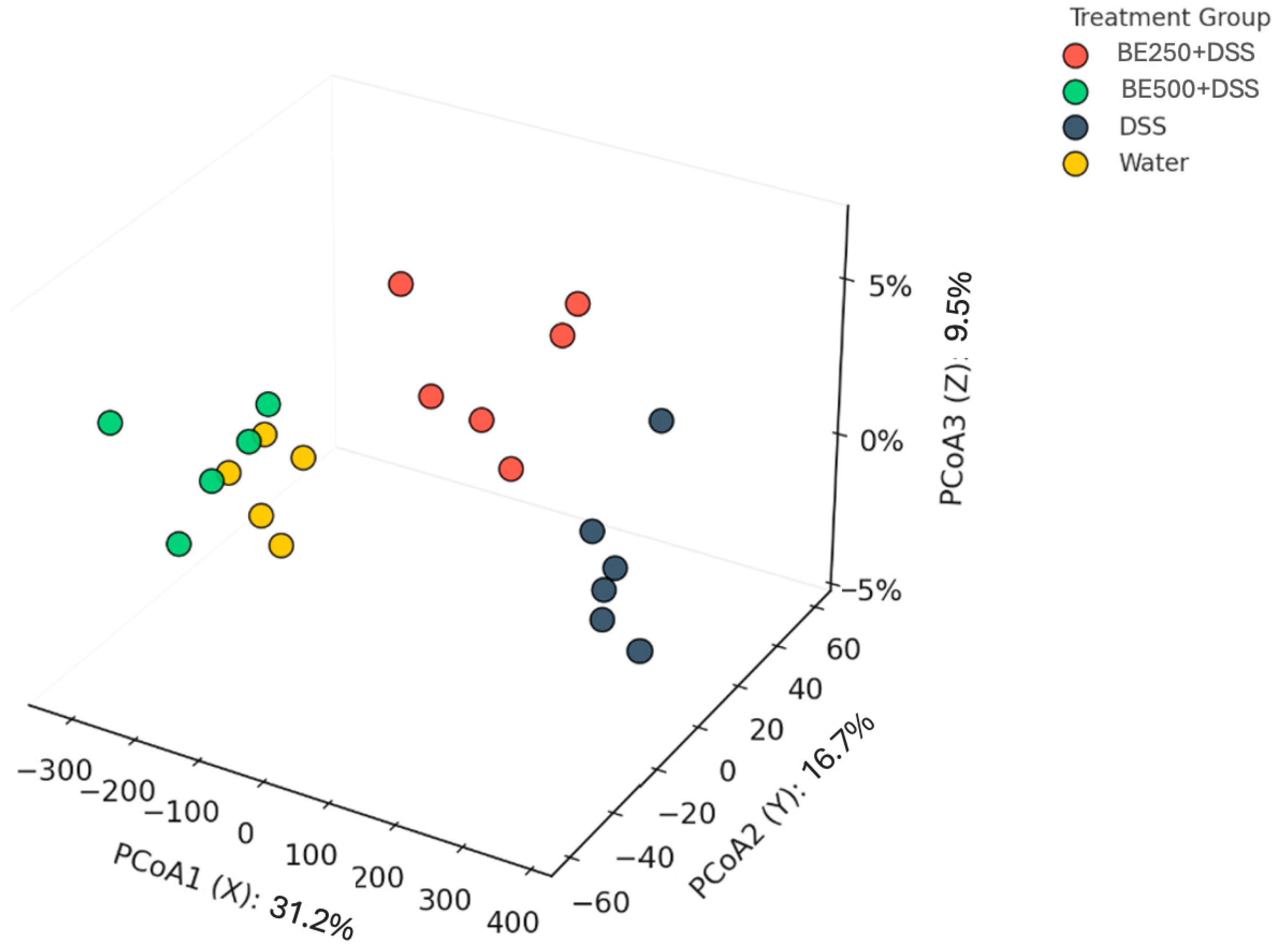
Principal Coordinate Analysis (PCoA) based on Bray–Curtis dissimilarity revealed distinct clustering patterns among treatment groups as shown in Figure 3. The DSS-induced colitis group formed a clearly separated cluster, indicating significant microbial dysbiosis. In contrast, beetroot extract supplementation induced a dose-dependent restoration of the gut microbial community structure. The BE250+DSS group showed partial recovery, while the BE500+DSS group clustered closely with the water control group, reflecting near-normal microbiota composition. PERMANOVA analysis supported these findings, demonstrating significant differences among groups (p < 0.01). Pairwise comparisons indicated that BE500+DSS was not significantly different from the water control, confirming that high-dose beetroot extract effectively restored microbial homeostasis disrupted by DSS treatment.
PERMANOVA confirmed significant differences in beta diversity among all treatment groups (pseudo-F = 5.64, p < 0.01). The BE500+DSS group clustered closely with the water control, showing no significant difference (p = 0.287), which indicates microbiota normalization and the recovery of gut community structure following high-dose beetroot extract supplementation as shown in Table 3.

3.4. Relative Abundance of Bacterial Taxa

Taxonomic profiling at the phylum and genus levels revealed marked differences in microbial community composition among the treatment groups as shown in Figure 4. The DSS-induced colitis group exhibited a notable change in the Firmicutes/Bacteroidota ratio compared with the water control, whereas beetroot-treated groups showed partial restoration toward the control-like ratio. Conversely, beetroot extract-treated mice exhibited partial restoration of microbial balance, dominated by Firmicutes (families Lachnospiraceae and Ruminococcaceae) and Bacteroidota (Alloprevotella). The relative abundance of genus is shown in Figure 5. The 500 mg/kg group showed a stronger effect, with higher Firmicutes abundance and reduced Proteobacteria, demonstrating a dose-dependent modulatory impact of beetroot extract. Meanwhile, the water control group maintained a stable microbiota dominated by Firmicutes and Bacteroidota, consistent with healthy microbial homeostasis.

3.5. Microbial Community Composition at the Phylum Level

The relative abundance analysis revealed distinct differences in gut microbiota composition among the treatment groups following DSS induction and beetroot extract supplementation. The DSS-induced colitis group exhibited a notable increase in the Firmicutes/Bacteroidota ratio. In contrast, beetroot extract at 500 mg/kg partially restored this balance, suggesting a dose-dependent modulation of gut microbial composition at the phylum level. The water control group maintained a balanced microbiota dominated by Firmicutes and Bacteroidota. Overall, these data indicate that DSS and beetroot supplementation did not cause large-scale restructuring at the phylum level and that treatment-related effects are more appropriately assessed at lower taxonomic ranks, which are explored in the subsequent analyses.

3.6. PICRUSt2 Predicted Functions

Figure 6 shows predicted functional pathways among the groups. Beetroot extract supplementation was associated with predicted higher abundances of pathways related to gut health. In the DSS group, pathways linked to energy production, SCFA synthesis, and antioxidant defense showed the predicted lower abundances, while pro-inflammatory pathways (e.g., lipopolysaccharide biosynthesis, bacterial invasion of epithelial cells) showed the predicted higher abundances, consistent with dysbiosis. In contrast, the BE250+DSS and BE500+DSS groups exhibited the predicted enrichment of beneficial pathways, particularly butanoate metabolism, glutathione metabolism, arginine/proline metabolism, and vitamin B6 biosynthesis. The BE500+DSS group showed the strongest shift toward control-like predictions, suggesting beetroot promotes the predicted functional normalization of the gut microbiome through an enhanced metabolic and anti-inflammatory potential.

3.7. Phytochemical Identification and Database Verification of Beetroot Extract

The major bioactive compounds present in the Beta vulgaris (beetroot) ethanol extract were identified through systematic literature mining and verified using the chemical databases PubChem (https://pubchem.ncbi.nlm.nih.gov accessed on 25 February 2026) and ChemSpider (https://www.chemspider.com accessed on 25 February 2026). Literature searches focused on peer-reviewed studies reporting the phytochemical constituents of beetroot, and chemical verification was performed to confirm structural and physicochemical accuracy.
Literature and database summaries confirm that beetroot ethanol extracts comprised three major classes, Betalains (betanin, isobetanin, betanidin), Phenolic acids (ferulic acid, caffeic acid, vanillic acid), and Flavonoids (rutin, catechin), as shown in Table 4. For each compound, molecular descriptors were retrieved, including the PubChem CID, molecular formula, molecular weight (MW), partition coefficient (logP), and SMILES notation. These descriptors were used to validate compound identity and assess potential bioavailability and solubility. Biological activity annotations—such as antioxidant, anti-inflammatory, and prebiotic effects—were obtained from PubChem BioAssay and ChemSpider literature records.
Phytochemical verification using PubChem and ChemSpider confirmed the presence of multiple antioxidant and anti-inflammatory compounds in Beta vulgaris extract, including betanin (CID:162115), ferulic acid (CID:445858), and rutin (CID:5280805).
These compounds are reported to modulate oxidative stress and microbial metabolism, consistent with the observed enrichment of Blautia, Ruminococcus, and Lachnospiraceae NK4A136 group in the beetroot-treated groups. The integration of these phytochemical profiles with KEGG pathway predictions suggests that beetroot phytoconstituents promote short-chain fatty acid biosynthesis and vitamin metabolism, while attenuating LPS biosynthesis and bacterial chemotaxis pathways associated with inflammation.

3.8. Integration of Microbiota–Metabolite Interaction Network

To integrate the observed microbiota shifts with known properties of beetroot bioactives, a conceptual interaction model was constructed linking literature-reported beetroot compounds, bacterial genera altered in this study, and PICRUSt2-predicted KEGG pathways (Figure 7). In this hypothetical network, betalains and phenolic acids are connected to SCFA-associated genera (e.g., Blautia, Ruminococcus, Lachnospiraceae NK4A136 group, Bifidobacterium) and to pathways involved in butanoate, propanoate, amino acid, vitamin, and glutathione metabolisms, based on prior studies rather than direct correlations from the current dataset. Conversely, taxa such as Helicobacter, Clostridium sensu stricto 1 and Desulfovibrionaceae are linked to pro-inflammatory pathways (LPS biosynthesis, sulfur metabolism, flagellar assembly) according to the supporting literature.
Beneficial genera such as Blautia, Ruminococcus, Lachnospiraceae NK4A136 group, Lachnoclostridium, and Bifidobacterium were positively associated with SCFA production and antioxidant pathways, including butanoate, propanoate, amino acid, vitamin, and glutathione metabolisms. These effects are largely mediated by beetroot-derived betalains and phenolic acids, which enhance microbiota-driven anti-inflammatory activity. Conversely, genera such as Helicobacter, Clostridium sensu stricto 1, and Desulfovibrionaceae have been associated with pro-inflammatory functions—LPS biosynthesis, sulfur metabolism, and flagellar assembly—and the lower predicted abundances of these pathways after beetroot supplementation in our dataset are discussed as consistent with, but not definitive proof of, reduced microbial virulence and endotoxin potential.
Overall, the integrative microbiome analysis demonstrates that beetroot extract exerts a strong modulatory effect on the gut ecosystem in DSS-induced colitis. The suppression of pro-inflammatory taxa and pathways such as LPS biosynthesis and sulfur metabolism suggests that beetroot extract not only alleviates dysbiosis but also reduces microbial-driven inflammation as shown in Table 5.
Beetroot extract supplementation significantly ameliorated these pathological changes in a dose-dependent manner as shown in Table 5. The BE250+DSS group showed partial recovery, while the BE500+DSS group demonstrated the near-complete restoration of normal physiological and microbial profiles, comparable to the water control group. Consistent with microbial composition, both Shannon and Chao1 indices revealed a substantial loss of diversity and richness in DSS-treated mice, which was progressively restored with beetroot supplementation. The PCoA and PERMANOVA analyses confirmed clear clustering separation among groups, with BE500+DSS overlapping with control, reflecting effective microbiota normalization. Functional prediction (PICRUSt2) supported these findings, showing that beetroot extract predicted higher short-chain fatty acid (SCFA) synthesis, antioxidant metabolism, and amino acid biosynthesis pathways, while suppressing lipopolysaccharide biosynthesis and other pro-inflammatory bacterial functions.

4. Discussion

DSS administration led to a reduction in body weight reflecting the disease activity and systemic inflammation stress typical of DSS-induced colitis [15,16]. Here, beetroot extract (250–500 mg/kg) attenuated DSS-induced weight loss in a dose-dependent manner (Table 1). This aligns with previous beetroot studies demonstrating that 5 mL/kg and 10 mL/kg beetroot juice alleviated DSS weight loss and inflammatory activity, potentially through nitrate-derived nitric oxide bioavailability and antioxidant pathways linked to betalain activity [9,18].
At the microbial level, DSS administration disturbed gut microbiota homeostasis, as shown by an altered community structure and reduced alpha diversity (Shannon and Chao1 indices). This disturbance was characterized by a higher Firmicutes/Bacteroidota ratio, together with a relative increase in Proteobacteria and Desulfobacterota, consistent with inflammation-associated dysbiosis. Firmicutes and Bacteroidota (formerly termed Bacteroidetes) are major phyla that contribute to intestinal homeostasis, and alterations in their relative proportions have been linked to inflammatory bowel disease [19]. In this DSS colitis model, beetroot treatment was associated with partial restoration of specific SCFA-producing genera within Firmicutes and Bacteroidota (for example, Lachnospiraceae and Ruminococcaceae members), rather than with a simple, uniform increase or decrease in the overall Firmicutes/Bacteroidota ratio, which is known to vary across conditions such as obesity and colitis. Proteobacteria and Desulfobacterota expansion represents pathobiont overgrowth typical of colitis, reflecting an inflammation-associated overgrowth of taxa that act as pathobionts under inflammatory conditions rather than obligate pathogens [20,21]. In contrast, beetroot extract supplementation partially reversed these DSS-induced changes in a dose-dependent manner. The 500 mg/kg beetroot group showed the greatest recovery, with a restoration of Firmicutes/Bacteroidota dominance and enrichment of short-chain fatty acid-associated genera, including members of Blautia, Ruminococcus and Bifidobacterium. This compositional shift is consistent with the reported prebiotic-like effects of dietary polyphenols, whereby compounds such as ferulic acid selectively enrich SCFA-producers while inhibiting LPS-producing bacteria or obesity-related genera [22,23].
Beta diversity analysis (PCoA and PERMANOVA) further confirmed these compositional recoveries. Distinct clustering of the DSS group indicated severe dysbiosis, while beetroot-treated groups gradually shifted toward the control cluster. The BE500+DSS group overlapped closely with the water control (p = 0.287), demonstrating microbiota normalization and community resilience. This structural restoration aligns with the functional improvements detected through PICRUSt2 analysis.
Functional pathway prediction revealed that DSS showed predicted lower abundances of SCFA biosynthesis, glutathione metabolism, and amino acid pathways, while showing the predicted higher abundance of LPS biosynthesis and bacterial invasion functions, consistent with a pro-inflammatory microbial profile. Predicted alterations in glutathione-related pathways may reflect changes in the intestinal redox environment. Betanin, a major betalain in beetroot, has been shown to activate Nrf2-dependent antioxidant responses and glutathione-associated pathways in host cells, suggesting a role in enhancing host antioxidant defense under inflammatory conditions [24]. Conversely, the predicted suppression of LPS biosynthesis paralleled the contraction of Proteobacteria, a pattern consistent with the reduced activation of LPS–TLR4-associated inflammatory signaling [25]. Beetroot supplementation reversed this pattern, particularly in the 500 mg/kg group, which showed the predicted enrichment of butanoate and glutathione metabolism while suppressing LPS and sulfur metabolism pathways. These shifts are biologically consistent with the known anti-inflammatory roles of butyrate and immunomodulatory roles of gut microbiota-derived metabolites [26,27]
Previous phytochemical analyses have shown that beetroot extract contains betalains (betanin, isobetanin, betanidin), phenolic acids (rutin, epicatechin), and flavonoids, bioactives known for antioxidant and anti-inflammatory actions [9,28]. Certain beetroot-derived polyphenols, particularly ferulic acid, have been shown to modulate gut microbial composition and enhance short-chain fatty acid (SCFA)-related functions, thereby improving intestinal barrier integrity [23]. These findings support the hypothesis that compounds from beetroot may exert prebiotic-like effects, enhancing the growth of beneficial bacteria such as Bifidobacterium and other SCFA-producing taxa.
The integrative microbiota–metabolite network (Table 5) demonstrated that beneficial taxa were strongly associated with SCFA and antioxidant pathways, whereas pathogenic bacteria correlated with LPS and sulfur metabolism. Thus, beetroot supplementation not only reshaped microbial composition but also reprogrammed microbial metabolic functions toward an anti-inflammatory state.
A key limitation of the present work is that, as a secondary analysis of stored colon samples from a previous in vivo experiment, essential phenotypic readouts of DSS-induced colitis—such as standardized DAI trajectories, colon length, histological scoring, and inflammatory cytokines—were not systematically archived in a form that allowed re-evaluation.
This work has several important limitations that should be considered when interpreting the findings. First, as a secondary analysis of stored colon samples, key colitis endpoints from the original in vivo experiment—such as standardized disease activity index trajectories, cytokine profiles, myeloperoxidase or calprotectin levels, colon length, and histological scoring—were not systematically archived and therefore could not be re-evaluated in parallel with microbiota changes. Consequently, our confirmation of successful model induction relies on established DSS protocols together with supportive systemic indicators (body and liver weight) and the characteristic microbiota dysbiosis profile rather than on direct histological or biochemical endpoints. Future prospective studies will need to integrate full histological and endoscopic assessment to comprehensively validate disease induction and treatment efficacy. Second, the administered beetroot extract was not chemically profiled by HPLC or LC-MS, so the microbiota–metabolite network (Figure 7) is based on literature-reported beetroot constituents rather than batch-specific compositional verification. Third, microbial functional profiles were inferred from 16S rRNA sequencing data using PICRUSt2, which is typical for this approach but underscores the need for shotgun metagenomics or targeted metabolomics to confirm the predicted pathways. Finally, Figure 7 should be viewed as a literature-derived, hypothesis-generating schematic rather than a data-driven network, because edges represent relationships reported in previous studies rather than statistically tested correlations between taxa, metabolites, and pathways in the present dataset. Collectively, these constraints position the study as exploratory microbiome profiling that generates testable hypotheses rather than providing comprehensive mechanistic validation.
Moreover, the results are consistent with the multifaceted bioactivity of beetroot: its constituents have documented antioxidant and anti-inflammatory properties that can attenuate oxidative stress and colonic damage in experimental colitis models [29]. In parallel, several beetroot-derived phytochemicals have been suggested to exert prebiotic-like effects by interacting with gut microbiota, although these mechanisms still require targeted validation in animal and human studies [22]. Beetroot is widely consumed as a functional food with a well-documented safety profile, and the demonstrated human bioavailability of betanin in the low micromolar range supports its feasibility for dietary intervention trials [30,31]. Moreover, the predicted enrichment of SCFA-related pathways aligns with the reported benefits of butyrate supplementation in inflammatory bowel disease [26]. At the same time, species-level and ecological differences between murine and human microbiomes underscore the need for carefully designed clinical studies before translation, particularly in populations with differing Bacteroides- versus Prevotella-dominated enterotypes. Taken together, these findings position beetroot extract as a promising, hypothesis-generating nutritional strategy for adjunctive management of colitis and broader gut-health efforts that warrant future mechanistic and clinical evaluation, including studies in dedicated colorectal carcinogenesis models.

5. Conclusions

This study demonstrates that beetroot (Beta vulgaris L.) extract exerts protective and restorative effects against DSS-induced colitis in mice through both physiological and microbiome-mediated mechanisms. Beetroot supplementation mitigated DSS-induced weight loss, restored microbial diversity, and normalized gut community structure in a dose-dependent manner, with the 500 mg/kg treatment showing near-complete recovery comparable to healthy controls. Functional prediction revealed the upregulation of beneficial pathways, including SCFA, glutathione, and amino acid metabolism, and the suppression of LPS biosynthesis. These effects are attributed to beetroot’s betalains, phenolic acids, and flavonoids, which modulate oxidative and microbial balance. Overall, beetroot extract represents a promising natural dietary intervention for restoring gut health and reducing inflammation in colitis and related intestinal disorders.

Author Contributions

Conceptualization, A.D. and F.F.; methodology, F.F. and K.K.; software, F.F.; validation, K.K. and M.A.N.M.; formal analysis, N.A.; data curation, A.D.; writing—original draft preparation, A.D. and N.A.; writing—review and editing, F.F. and A.D.; visualization, A.D.; supervision, K.K. and M.A.N.M.; project administration, A.D.; funding acquisition, A.D. All authors have read and agreed to the published version of the manuscript.

Funding

This research was funded by the Publikasi Terindeks Internasional (PUTI) Grant, Universitas Indonesia (Grant No. NKB-1102/UN2.RST/HKP.05.00/2022).

Institutional Review Board Statement

The animal study protocol was approved by the Ethics Committee of the Faculty of Medicine, Universitas Indonesia (approval number 1234/UN2.F1/ETIK/PPM.00.02/2022; approval date: 9 November 2022).

Informed Consent Statement

Not applicable.

Data Availability Statement

The datasets generated and analyzed during the current study are available from the corresponding author upon reasonable request. Phytochemical compound data were verified using the publicly available databases PubChem (https://pubchem.ncbi.nlm.nih.gov accessed on 25 February 2026) and ChemSpider (https://www.chemspider.com accessed on 25 February 2026).

Acknowledgments

The authors thank the Faculty of Medicine, Universitas Indonesia and IMERI FMUI for technical and research support.

Conflicts of Interest

The authors declare no conflicts of interest.

Abbreviations

The following abbreviations are used in this manuscript:
ANCOMAnalysis of Composition of Microbiomes
ASVAmplicon Sequence Variant
BWBody Weight
CRCColorectal Cancer
DAIDisease Activity Index
DSSDextran Sodium Sulfate
GRASGenerally Recognized As Safe
KEGGKyoto Encyclopedia of Genes and Genomes
LPSLipopolysaccharide
MWMolecular Weight
PBSPhosphate-Buffered Saline
PCoAPrincipal Coordinate Analysis
PICRUSt2Phylogenetic Investigation of Communities by Reconstruction of Unobserved States 2
ROSReactive Oxygen Species
SCFAShort-Chain Fatty Acid
SDStandard Deviation

References

  1. Song, M.; Chan, A.T.; Sun, J. Influence of The Gut Microbiome, Diet, and Environment on Risk of Colorectal Cancer. Gastroenterology 2020, 158, 322–340. [Google Scholar] [CrossRef] [PubMed]
  2. Garrett, W.S. The Gut Microbiota and Colon Cancer. Science 2019, 364, 1133–1135. [Google Scholar] [CrossRef] [PubMed]
  3. Arthur, J.C.; Perez-Chanona, E.; Mühlbauer, M.; Tomkovich, S.; Uronis, J.M.; Fan, T.J.; Campbell, B.J.; Abujamel, T.; Dogan, B.; Rogers, A.B.; et al. Intestinal inflammation targets cancer-inducing activity of the microbiota. Science 2012, 338, 120–123. [Google Scholar] [CrossRef] [PubMed]
  4. Genua, F.; Raghunathan, V.; Jenab, M.; Gallagher, W.M.; Hughes, D.J. The Role of Gut Barrier Dysfunction and Microbiome Dysbiosis in Colorectal Cancer Development. Front. Oncol. 2021, 11, 626349. [Google Scholar] [CrossRef]
  5. Rinninella, E.; Raoul, P.; Cintoni, M.; Franceschi, F.; Miggiano, G.A.D.; Gasbarrini, A.; Mele, M.C. What is the Healthy Gut Microbiota Composition? A Changing Ecosystem across Age, Environment, Diet, and Diseases. Microorganisms 2019, 7, 14. [Google Scholar] [CrossRef]
  6. Hou, K.; Wu, Z.X.; Chen, X.Y.; Wang, J.Q.; Zhang, D.; Xiao, C.; Zhu, D.; Koya, J.B.; Wei, L.; Li, J.; et al. Microbiota in Health and Diseases. Signal Transduct. Target. Ther. 2022, 7, 135. [Google Scholar] [CrossRef]
  7. Wang, G.; Yu, Y.; Wang, Y.Z.; Wang, J.J.; Guan, R.; Sun, Y.; Shi, F.; Gao, J.; Fu, X.L. Role of SCFAs in Gut Microbiome and Glycolysis for Colorectal Cancer Therapy. J. Cell Physiol. 2019, 234, 17023–17049. [Google Scholar] [CrossRef]
  8. Chen, X.; Pan, S.; Li, F.; Xu, X.; Xing, H. Plant-Derived Bioactive Compounds and Potential Health Benefits: Involvement of the Gut Microbiota and Its Metabolic Activity. Biomolecules 2022, 12, 1871. [Google Scholar] [CrossRef]
  9. Clifford, T.; Howatson, G.; West, D.J.; Stevenson, E.J. The Potential Benefits of Red Beetroot Supplementation in Health and Disease. Nutrients 2015, 7, 2801–2822. [Google Scholar] [CrossRef]
  10. Wootton-Beard, P.C.; Ryan, L. A Beetroot Juice Shot is a Significant and Convenient Source of Bioaccessible Antioxidants. J. Funct. Foods 2011, 3, 329–334. [Google Scholar] [CrossRef]
  11. Kanner, J.; Harel, S.; Granit, R. Betalains—A New Class of Dietary Cationized Antioxidants. J. Agric. Food Chem. 2001, 49, 5178–5185. [Google Scholar] [CrossRef] [PubMed]
  12. Wang, Y.; Do, T.; Marshall, L.J.; Boesch, C. Effect of Two-Week Red Beetroot Juice Consumption on Modulation of Gut Microbiota in Healthy Human Volunteers—A Pilot Study. Food Chem. 2023, 406, 134989. [Google Scholar] [CrossRef] [PubMed]
  13. El Gamal, A.A.; AlSaid, M.S.; Raish, M.; al-Sohaibani, M.; al-Massarani, S.M.; Ahmad, A.; Hefnawy, M.; al-Yahya, M.; Basoudan, O.A.; Rafatullah, S. Beetroot (Beta vulgaris L.) Extract Ameliorates Gentamicin-Induced Nephrotoxicity Associated Oxidative Stress, Inflammation, and Apoptosis in Rodent Model. Mediat. Inflamm. 2014, 2014, 983952. [Google Scholar] [CrossRef] [PubMed]
  14. Barker, N.; van Es, J.H.; Kuipers, J.; Kujala, P.; van den Born, M.; Cozijnsen, M.; Haegebarth, A.; Korving, J.; Begthel, H.; Peters, P.J.; et al. Identification of stem cells in small intestine and colon by marker gene Lgr5. Nature 2007, 449, 1003–1007. [Google Scholar] [CrossRef]
  15. Chassaing, B.; Aitken, J.D.; Malleshappa, M.; Vijay-Kumar, M. Dextran Sulfate Sodium (DSS)-Induced Colitis in Mice. Curr. Protoc. Immunol. 2015, 104, 15.25.1–15.25.14. [Google Scholar]
  16. Eichele, D.D.; Kharbanda, K.K. Dextran Sodium Sulfate Colitis Murine Model: An Indispensable Tool For Advancing Our Understanding of Inflammatory Bowel Diseases Pathogenesis. World J. Gastroenterol. 2017, 23, 6016–6029. [Google Scholar] [CrossRef]
  17. Perše, M.; Cerar, A. Dextran Sodium Sulphate Colitis Mouse Model: Traps and Tricks. J. Biomed. Biotechnol. 2012, 2012, 718617. [Google Scholar] [CrossRef]
  18. Ayari, A.; Jedidi, S.; Arrari, F.; Dakhli, N.; Sebai, H. Counteracted Severity Action of Beta Vulgaris Juice on Dextran Sulfate Sodium-Induced Ulcerative Colitis in Rats Through Inflammatory and Oxidative Stress Indicator Depletion. J. Med. Food 2025, 28, 1009–1024. [Google Scholar] [CrossRef]
  19. Stojanov, S.; Berlec, A.; Štrukelj, B. The Influence of Probiotics on the Firmicutes/Bacteroidetes Ratio in the Treatment of Obesity and Inflammatory Bowel disease. Microorganisms 2020, 8, 1715. [Google Scholar] [CrossRef]
  20. Li, H.; Han, L.; Zong, Y.; Feng, R.; Chen, W.; Geng, J.; Li, J.; Zhao, Y.; Wang, Y.; He, Z.; et al. Deer Oil Improves Ulcerative Colitis Induced by DSS in Mice by Regulating The Intestinal Microbiota and SCFAs Metabolism and Modulating NF-κB and Nrf2 Signaling Pathways. J. Sci. Food Agric. 2025, 15, 382–393. [Google Scholar] [CrossRef]
  21. Shin, N.R.; Whon, T.W.; Bae, J.W. Proteobacteria: Microbial Signature of Dysbiosis in Gut Microbiota. Trends Biotechnol. 2015, 33, 496–503. [Google Scholar] [CrossRef]
  22. Del Rio, D.; Rodriguez-Mateos, A.; Spencer, J.P.; Tognolini, M.; Borges, G.; Crozier, A. Dietary (Poly)Phenolics in Human Health: Structures, Bioavailability, and Evidence of Protective Effects Against Chronic Diseases. Antioxid. Redox Signal. 2013, 18, 1818–1892. [Google Scholar] [CrossRef] [PubMed]
  23. Tian, B.; Geng, Y.; Wang, P.; Cai, M.; Neng, J.; Hu, J.; Xia, D.; Cao, W.; Yang, K.; Sun, P. Ferulic Acid Improves Intestinal Barrier Function Through Altering Gut Microbiota Composition in High-Fat Diet-Induced Mice. Eur. J. Nutr. 2022, 61, 3767–3783. [Google Scholar] [CrossRef] [PubMed]
  24. Esatbeyoglu, T.; Wagner, A.E.; Motafakkerazad, R.; Nakajima, Y.; Matsugo, S.; Rimbach, G. Free Radical Scavenging and Antioxidant Activity of Betanin: Electron Spin Resonance Spectroscopy Studies and Studies in Cultured Cells. Food Chem. Toxicol. 2014, 73, 119–126. [Google Scholar] [CrossRef] [PubMed]
  25. Zhang, C.; Teng, X.; Cao, Q.; Deng, Y.; Yang, M.; Wang, L.; Rui, D.; Ling, X.; Wei, C.; Chen, Y.; et al. Gut Microbiota Dysbiosis Exacerbates Heart Failure by the LPS-TLR4/NF-κB Signalling Axis: Mechanistic Insights and Therapeutic Potential of TLR4 Inhibition. J. Transl. Med. 2025, 23, 762. [Google Scholar] [CrossRef]
  26. Hamer, H.M.; Jonkers, D.; Venema, K.; Vanhoutvin, S.; Troost, F.J.; Brummer, R.J. Review Article: The Role of Butyrate on Colonic Function. Aliment. Pharmacol. Ther. 2008, 27, 104–119. [Google Scholar] [CrossRef]
  27. Agus, A.; Clément, K.; Sokol, H. Gut Microbiota-Derived Metabolites as Central Regulators in Metabolic Disorders. Gut 2021, 70, 1174–1182. [Google Scholar] [CrossRef]
  28. Ceclu, L.; Nistor, O.V. Red Beetroot: Composition and Health Effects—A Review. J. Nutr. Med. Diet. Care 2020, 6, 043. [Google Scholar]
  29. Jeon, Y.A.; Natraj, P.; Lee, Y.J. Fermented Beet Juice Reinforces Tight Junctions and Alleviates Colitis Via Multi-Pathway Regulation. Fitoterapia 2025, 187, 106944. [Google Scholar] [CrossRef]
  30. Chen, L.; Zhu, Y.; Hu, Z.; Wu, S.; Jin, C. Beetroot as a Functional Food With Huge Health Benefits: Antioxidant, Antitumor, Physical Function, and Chronic Metabolomics Activity. Food Sci. Nutr. 2021, 9, 6406–6420. [Google Scholar] [CrossRef]
  31. Vieira Teixeira da Silva, D.; Dos Santos Baião, D.; de Oliveira Silva, F.; Alves, G.; Perrone, D.; Mere Del Aguila, E.; Paschoalin, V.M.F. Betanin, a Natural Food Additive: Stability, Bioavailability, Antioxidant and Preservative Ability Assessments. Molecules 2019, 24, 458. [Google Scholar] [CrossRef]
Figure 1. Shannon diversity index of gut microbiota. * p < 0.05 by one-way ANOVA with Tukey’s post hoc test (or Kruskal–Wallis with Dunn’s test for non-parametric data). Boxes indicate the interquartile range (IQR), the center line represents the median, whiskers extend to 1.5 × IQR, and dots represent outliers. Group abbreviations: Water = control group without DSS or beetroot; DSS = DSS-induced colitis without beetroot; BE250+DSS = beetroot extract 250 mg/kg plus DSS; BE500+DSS = beetroot extract 500 mg/kg plus DSS.
Figure 1. Shannon diversity index of gut microbiota. * p < 0.05 by one-way ANOVA with Tukey’s post hoc test (or Kruskal–Wallis with Dunn’s test for non-parametric data). Boxes indicate the interquartile range (IQR), the center line represents the median, whiskers extend to 1.5 × IQR, and dots represent outliers. Group abbreviations: Water = control group without DSS or beetroot; DSS = DSS-induced colitis without beetroot; BE250+DSS = beetroot extract 250 mg/kg plus DSS; BE500+DSS = beetroot extract 500 mg/kg plus DSS.
Biologics 06 00008 g001
Figure 2. Represents the Chao1 richness index of gut microbiota across the experimental groups. * p < 0.05, by one-way ANOVA with Tukey’s post hoc test (or Kruskal–Wallis with Dunn’s test for non-parametric data). Boxes indicate the interquartile range (IQR), the center line represents the median, whiskers extend to 1.5 × IQR. Group abbreviations: Water = control group without DSS or beetroot; DSS = DSS-induced colitis without beetroot; BE250+DSS = beetroot extract 250 mg/kg plus DSS; BE500+DSS = beetroot extract 500 mg/kg plus DSS.
Figure 2. Represents the Chao1 richness index of gut microbiota across the experimental groups. * p < 0.05, by one-way ANOVA with Tukey’s post hoc test (or Kruskal–Wallis with Dunn’s test for non-parametric data). Boxes indicate the interquartile range (IQR), the center line represents the median, whiskers extend to 1.5 × IQR. Group abbreviations: Water = control group without DSS or beetroot; DSS = DSS-induced colitis without beetroot; BE250+DSS = beetroot extract 250 mg/kg plus DSS; BE500+DSS = beetroot extract 500 mg/kg plus DSS.
Biologics 06 00008 g002
Figure 3. Principal Coordinate Analysis (PCoA) based on Bray–Curtis dissimilarity showing distinct microbial clustering among treatment groups. Group abbreviations: Water = control group without DSS or beetroot; DSS = DSS-induced colitis without beetroot; BE250+DSS = beetroot extract 250 mg/kg plus DSS; BE500+DSS = beetroot extract 500 mg/kg plus DSS.
Figure 3. Principal Coordinate Analysis (PCoA) based on Bray–Curtis dissimilarity showing distinct microbial clustering among treatment groups. Group abbreviations: Water = control group without DSS or beetroot; DSS = DSS-induced colitis without beetroot; BE250+DSS = beetroot extract 250 mg/kg plus DSS; BE500+DSS = beetroot extract 500 mg/kg plus DSS.
Biologics 06 00008 g003
Figure 4. Relative abundance gut microbiota composition revealed distinct differences among treatment groups following DSS induction and beetroot. Group abbreviations: Water = control group without DSS or beetroot; DSS = DSS-induced colitis without beetroot; BE250+DSS = beetroot extract 250 mg/kg plus DSS; BE500+DSS = beetroot extract 500 mg/kg plus DSS.
Figure 4. Relative abundance gut microbiota composition revealed distinct differences among treatment groups following DSS induction and beetroot. Group abbreviations: Water = control group without DSS or beetroot; DSS = DSS-induced colitis without beetroot; BE250+DSS = beetroot extract 250 mg/kg plus DSS; BE500+DSS = beetroot extract 500 mg/kg plus DSS.
Biologics 06 00008 g004
Figure 5. Descriptive barplots of relative abundance for selected genera highlighted by exploratory ANCOM analyses; no additional formal statistical tests are presented at the genus level, and patterns should be interpreted as exploratory. Group abbreviations: Water = control group without DSS or beetroot; DSS = DSS-induced colitis without beetroot; BE250+DSS = beetroot extract 250 mg/kg plus DSS; BE500+DSS = beetroot extract 500 mg/kg plus DSS.
Figure 5. Descriptive barplots of relative abundance for selected genera highlighted by exploratory ANCOM analyses; no additional formal statistical tests are presented at the genus level, and patterns should be interpreted as exploratory. Group abbreviations: Water = control group without DSS or beetroot; DSS = DSS-induced colitis without beetroot; BE250+DSS = beetroot extract 250 mg/kg plus DSS; BE500+DSS = beetroot extract 500 mg/kg plus DSS.
Biologics 06 00008 g005
Figure 6. Predicted functional pathways with PICRUSt2. Group abbreviations: Water = control group without DSS or beetroot; DSS = DSS-induced colitis without beetroot; BE250+DSS = beetroot extract 250 mg/kg plus DSS; BE500+DSS = beetroot extract 500 mg/kg plus DSS.
Figure 6. Predicted functional pathways with PICRUSt2. Group abbreviations: Water = control group without DSS or beetroot; DSS = DSS-induced colitis without beetroot; BE250+DSS = beetroot extract 250 mg/kg plus DSS; BE500+DSS = beetroot extract 500 mg/kg plus DSS.
Biologics 06 00008 g006
Figure 7. Hypothetical model linking beetroot phytochemicals, gut microbiota, and predicted KEGG pathways. The network summarizes literature-derived relationships between major beetroot bioactive compounds (inner turquoise nodes), gut bacterial genera altered in this study (yellow nodes), and PICRUSt2-predicted functional pathways (purple nodes). Edges represent hypothesized interactions based on published evidence rather than direct correlation analysis in the present dataset.
Figure 7. Hypothetical model linking beetroot phytochemicals, gut microbiota, and predicted KEGG pathways. The network summarizes literature-derived relationships between major beetroot bioactive compounds (inner turquoise nodes), gut bacterial genera altered in this study (yellow nodes), and PICRUSt2-predicted functional pathways (purple nodes). Edges represent hypothesized interactions based on published evidence rather than direct correlation analysis in the present dataset.
Biologics 06 00008 g007
Table 1. (A) Animal model observations of mice exposed to DSS and beetroot. (B) Complete statistical results.
Table 1. (A) Animal model observations of mice exposed to DSS and beetroot. (B) Complete statistical results.
A
GroupNumber of Animals (n)Mean Body Weight Change (g)—Mean ± SDLiver (g)—Mean ± SD
Control (Water)5+3.00 ± 1.412.42 ± 0.14
DSS-only6−1.57 ± 2.102.24 ± 0.45
BE250 + DSS6+1.86 ± 1.852.24 ± 0.47
BE500 + DSS5+2.25 ± 1.262.14 ± 0.42
B
ComparisonBody Weight ANOVA/TukeyBody Weight KW/DunnLiver Weight ANOVA/TukeyLiver Weight KW/Dunn
OverallF = 5.42, p = 0.008H = 12.3, p = 0.006F = 3.21, p = 0.034H = 8.9, p = 0.031
DSS vs. Water0.0060.0060.4120.389
BE250 vs. DSS0.0450.0480.9980.987
BE500 vs. DSS0.0120.0090.0230.021
BE500 vs. Water0.2870.3120.0470.039
A: Group abbreviations: Water = control group without DSS or beetroot; DSS = DSS-induced colitis without beetroot; BE250+DSS = beetroot extract 250 mg/kg plus DSS; BE500+DSS = beetroot extract 500 mg/kg plus DSS. Note: BE500+DSS and control n = 5 due to humane euthanasia of 2 animals meeting predefined endpoint criteria (>20% weight loss, persistent bleeding). Positive values indicate body weight gain during the experimental period, whereas negative values indicate body weight loss. B: Group abbreviations: Water = control group without DSS or beetroot; DSS = DSS-induced colitis without beetroot; BE250+DSS = beetroot extract 250 mg/kg plus DSS; BE500+DSS = beetroot extract 500 mg/kg plus DSS.
Table 2. Shannon diversity of microbial diversity between groups.
Table 2. Shannon diversity of microbial diversity between groups.
Treatment GroupShannon Index (Mean ± SD)Microbial Diversity PatternDominant/SCFA-Associated Genera
Beetroot 250 mg/kg + DSS0.31 ± 0.03Moderate restoration↑ Firmicutes (Blautia, Ruminococcus)↑ Bacteroidota (Alloprevotella)
Beetroot 500 mg/kg + DSS0.43 ± 0.05High restoration↑↑ Firmicutes (Lachnospiraceae, Ruminococcaceae, Anaerotruncus)↓ Proteobacteria
DSS0.28 ± 0.04Lowest diversity↑ Proteobacteria (Escherichia–Shigella, Desulfovibrio)↓ Firmicutes, Bacteroidota
Water (Control)0.51 ± 0.06Highest diversityBalanced Firmicutes and Bacteroidota (Lachnospiraceae, Prevotellaceae)
Arrows indicate direction of relative abundance changes compared with the DSS group (↑ increase; ↑↑ marked increase; ↓ decrease). Group abbreviations: Water = control group without DSS or beetroot; DSS = DSS-induced colitis without beetroot; BE250+DSS = beetroot extract 250 mg/kg plus DSS; BE500+DSS = beetroot extract 500 mg/kg plus DSS.
Table 3. Pairwise PERMANOVA comparisons of composition with Bray–Curtis index.
Table 3. Pairwise PERMANOVA comparisons of composition with Bray–Curtis index.
ComparisonF-ValueR2p-Value
DSS vs. Water6.870.4120.001 **
DSS vs. BE250+DSS4.530.2860.004 **
DSS vs. BE500+DSS5.120.3510.002 **
BE250+DSS vs. BE500+DSS2.110.1580.041 *
BE500+DSS vs. Water0.940.0720.287
BE250+DSS vs. Water2.960.2140.019 *
* p < 0.05, ** p < 0.001. Group abbreviations: Water = control group without DSS or beetroot; DSS = DSS-induced colitis without beetroot; BE250+DSS = beetroot extract 250 mg/kg plus DSS; BE500+DSS = beetroot extract 500 mg/kg plus DSS.
Table 4. Literature-reported major bioactive compounds in beetroot ethanol extracts.
Table 4. Literature-reported major bioactive compounds in beetroot ethanol extracts.
CompoundPubChem CIDMW (g/mol)logPReported FunctionRelated Microbial Pathway
Betanin162115550.5−3.1Antioxidant, anti-inflammatorySCFA production, oxidative stress reduction
Isobetanin162110550.5−3.0ROS scavengingEnergy metabolism restoration
Ferulic acid445858194.181.3Anti-inflammatory, antimicrobialAmino acid and vitamin metabolism
Caffeic acid689043180.161.2Anti-inflammatoryPropanoate metabolism enhancement
Rutin5280805610.5−1.6Antioxidant, barrier protectionButanoate metabolism activation
Catechin73160290.271.8Antioxidant, prebiotic modulatorFirmicutes enrichment
Betanidin162107C18H18N2O8390.35−2.7Anti-inflammatory
Table 5. Relationships between treatments, microbiota diversity, and functional pathways.
Table 5. Relationships between treatments, microbiota diversity, and functional pathways.
ParameterDSSBE250+DSSBE500+DSSControl (Water)Key Interpretation
Body Weight↓ Significant loss↑ Partial recovery↑↑ Near-normalNormalBeetroot reduces DSS-induced weight loss dose-dependently (Table 1).
Microbial Composition↑ Proteobacteria FirmicutesPartial restorationStrong Firmicutes & SCFA-producersBalancedBeetroot restores microbiota balance (Figure 1 and Figure 2).
Shannon Index0.280.310.430.51Diversity restored with increasing beetroot dose (Figure 3).
Chao1 IndexLowestModerateHighNormalBeetroot increases microbial richness (Figure 4).
Beta Diversity (PCoA)Distinct clusterIntermediateNear controlStablePERMANOVA p < 0.01; BE500 ≈ Control (p = 0.287) (Figure 5).
Functional Pathways (PICRUSt2)↓ SCFA, antioxidants ↑ LPS↑ SCFA & redox↑↑ SCFA, glutathione, vitaminsNormalBeetroot enhances anti-inflammatory and metabolic pathways (Figure 6).
Arrows indicate direction of change relative to the control group (↑ increase; ↑↑ marked increase; ↓ decrease). Group abbreviations: Water = control group without DSS or beetroot; DSS = DSS-induced colitis without beetroot; BE250+DSS = beetroot extract 250 mg/kg plus DSS; BE500+DSS = beetroot extract 500 mg/kg plus DSS.
Disclaimer/Publisher’s Note: The statements, opinions and data contained in all publications are solely those of the individual author(s) and contributor(s) and not of MDPI and/or the editor(s). MDPI and/or the editor(s) disclaim responsibility for any injury to people or property resulting from any ideas, methods, instructions or products referred to in the content.

Share and Cite

MDPI and ACS Style

Dwijayanti, A.; Kusmardi, K.; Fadilah, F.; Azizah, N.; Mohamad, M.A.N. Beetroot Extract Ameliorates DSS-Induced Colitis in Mice via Gut Microbiota Modulation. Biologics 2026, 6, 8. https://doi.org/10.3390/biologics6010008

AMA Style

Dwijayanti A, Kusmardi K, Fadilah F, Azizah N, Mohamad MAN. Beetroot Extract Ameliorates DSS-Induced Colitis in Mice via Gut Microbiota Modulation. Biologics. 2026; 6(1):8. https://doi.org/10.3390/biologics6010008

Chicago/Turabian Style

Dwijayanti, Adisti, Kusmardi Kusmardi, Fadilah Fadilah, Nur Azizah, and Mohd Azrul Naim Mohamad. 2026. "Beetroot Extract Ameliorates DSS-Induced Colitis in Mice via Gut Microbiota Modulation" Biologics 6, no. 1: 8. https://doi.org/10.3390/biologics6010008

APA Style

Dwijayanti, A., Kusmardi, K., Fadilah, F., Azizah, N., & Mohamad, M. A. N. (2026). Beetroot Extract Ameliorates DSS-Induced Colitis in Mice via Gut Microbiota Modulation. Biologics, 6(1), 8. https://doi.org/10.3390/biologics6010008

Article Metrics

Back to TopTop