Abstract
Isophorone is a technically important compound used as a high-boiling-point solvent for coatings, adhesives, etc., and it is used as a starting material for various valuable compounds, including isophorone diisocyanate, a precursor for polyurethanes. For over 80 years, isophorone has been synthesized via base-catalyzed self-condensation of acetone. This reaction has a complex reaction mechanism with numerous possible reaction steps including the formation of isophorone, triacetone dialcohol, and ketonic resins. This review provides an overview of the different production processes of isophorone in liquid- and vapor-phase and reviews the literature-reported selectivity toward isophorone achieved using different reaction parameters and catalysts.
1. Introduction
In celebration of the 60th anniversary of the isophorone (IP) production at the Hilbernia AG production site in Herne (Germany), which today belongs to the Evonik AG [1,2], this review provides a detailed overview of the current state of science of the product IP, its applications, its production methods, and reviews the catalytic research for its synthesis.
The technical importance of IP is justified by its use as a solvent and starting material for several chemical processes, and due to its possibility to be synthesized from acetone (Ace) [3,4,5,6]. Ace is the coproduct of the phenol production, the cumene process, with a global Ace production output of 7.8 Mio. tons in 2020 [7]. Although processes for the synthesis of IP from Ace were known before 1960, the major production of IP began in 1962 in West Germany [1,2,8]. Today, there are mainly two production methods for IP, a liquid- and a vapor-phase process. The estimated annual production volume exceeds 100,000 t/y [6] and the market is expected to further grow in the future [6,9,10].
2. Properties and Natural Occurrence
IP or α-isophorone, is an α,β-unsaturated carbonyl compound and a colorless-to-yellowish liquid [8,11,12,13,14] with a mint-like or camphor-like odor [13,14]. α-IP has two constitutional isomers (Table 1), β-isophorone and γ-isophorone [15]. Both are formed through the isomerization of α-IP [15,16,17]. Murphy et al. described that both the β- and γ-IP can be formed through the base-catalyzed isomerization of α-IP [15]. While the β-isomer is a common by-product of the isophorone synthesis [18], the γ-isomer is rarely reported in literature. This is supposedly due to the thermodynamical stability of the different isomers. Murphy et al. calculated that α-IP is the most stable and γ-IP the least stable of the three isomers [15]. Other options of the isomerization of α-IP are the acid-catalyzed isomerization to β-IP and the photocatalyzed isomerization to γ-IP [15,16,17].
Table 1.
Physical properties of isophorone isomers [12,17,19,20].
IP occurs naturally in a variety of different plants and animals [13,14,21]. Plants containing IP are, e.g., saffron crocus (Crocus sativus) [13,22,23], Mary’s grass (Hierochloe odorata) [13], cranberry (Vaccinium macrocarpon) [13,14,24], and papaya (Carica papaya) [13,14]. Isophorone is formed, for example, as a pheromone, by different types of beetles, including the male specimens of Homalinotus depressus [25] and female specimens of Ips typographus [26,27], or as part of the defensive secretion of a grasshopper species [27]. Other isophorone sources are fly coal ash [28], Burley tobacco [13], black tea, Parmesan cheese, roast beef [13,14], and honey [29,30].
3. Applications and Synthesis
IP is mainly used as a high-boiling-point (Table 1) solvent [2,8,12,13,14,18,19] and as a starting material for the synthesis of different bulk and fine chemicals [3,8]. As solvent, it is used for solving polymers, oils, coatings, lacquer thinners, lacquers, adhesives, printer inks, paints, pesticides, etc. [2,12,18,31,32]. The few compounds that cannot be dissolved by isophorone include polyamides, polyurethanes, polyethylene, and polypropylene [8].
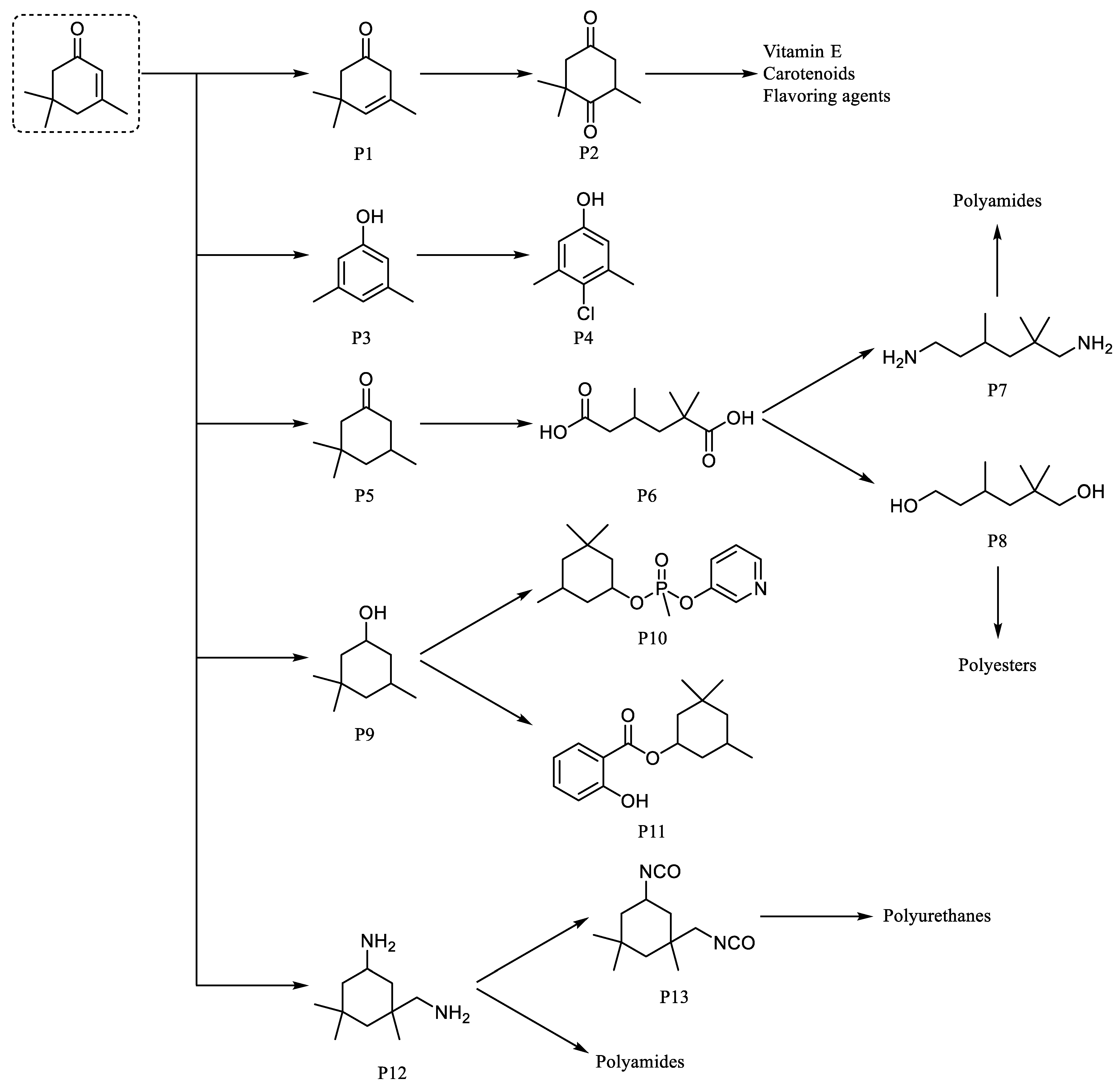
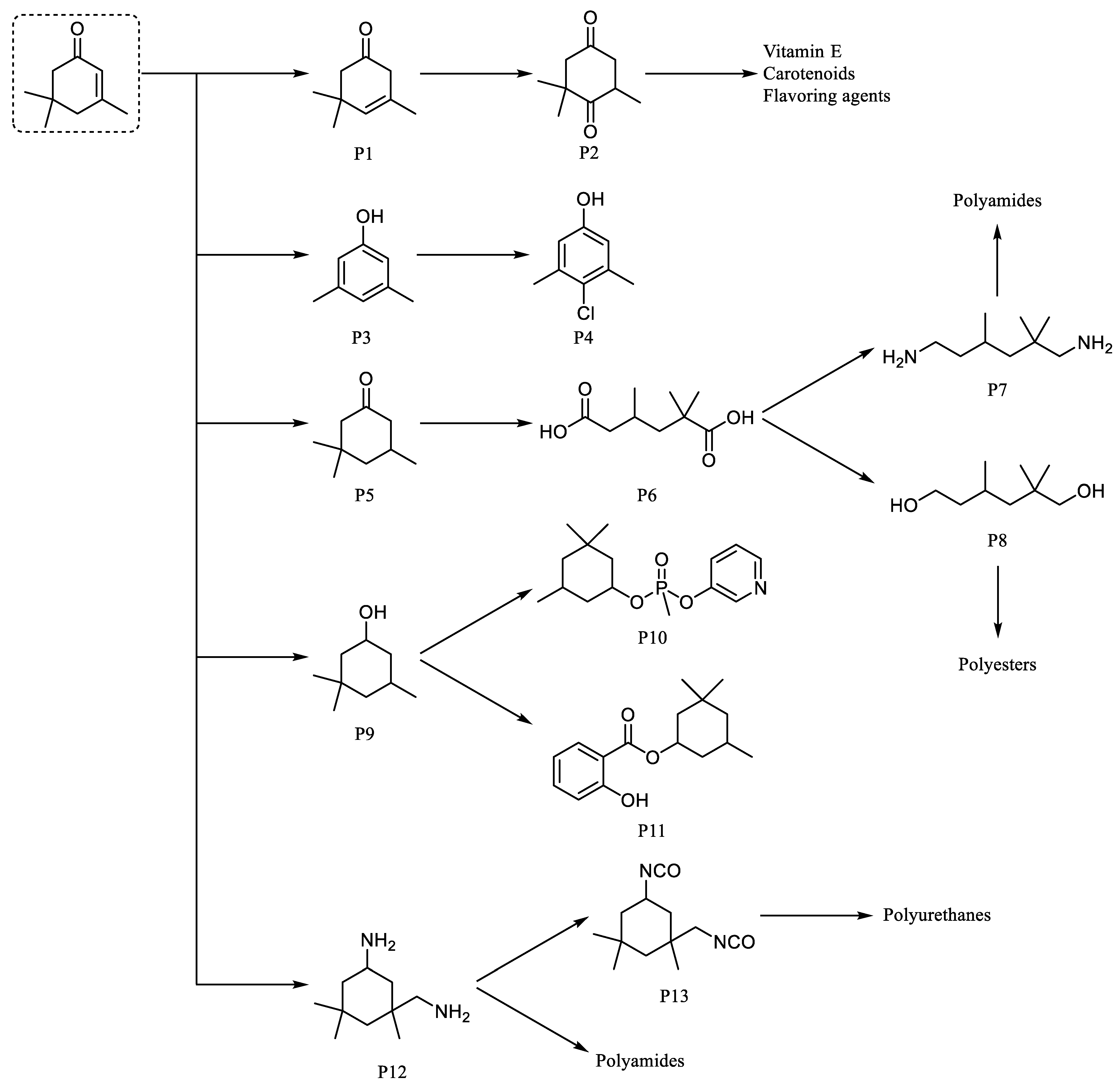
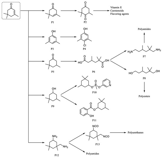
Additionally, IP is a starting material for the manufacturing of various important compounds, with examples shown in Figure 1 [3,8]. For example, ketoisophorone (P2) can be synthesized directly from IP but is often synthesized through the intermediate β-IP (P1) via oxidation [33,34,35,36,37,38,39,40,41]. Ketoisophorone (P2) is used to synthesize carotenoids [33,35], vitamin E [42,43], and flavoring agents [44,45,46] and is used as a fragrance additive [47]. Another product made from isophorone is 3,5-xylenol (P3), produced via catalytic isomerization [5,48,49,50,51,52,53,54]. 3,5-Xylenol is a starting material for various products, such as the disinfectants 4-chloroxylenol (P4) and 2,4-dichloroxylenol [8,50,54,55,56], resins [50], the insecticide Methiocarb [54], vitamin E [54], and dl-α-tocopherol acetate [8]. Through partial hydrogenation of isophorone, 3,3,5-trimethyl-1-cyclohexanon (P5) is produced [3,8,57,58,59,60,61], which can be used as a solvent [8] and for the synthesis of peroxide polymerization initiators [8,62]. 3,3,5-trimethyl-1-cyclohexanone (P5) can be oxidized by nitric acid to 2,4,4- and 2,2,4-trimethyladipic acid (P6), though the ratio depends heavily on the reaction conditions [63]. 2,2,4-Trimethyladipic acid (P6) is used to produce 2,2,4-trimethylhexane-1,6-diamine (P7) [3,64] and 2,2,4-trimethylhexane-1,6-diol (P8) [3]. 2,2,4-trimethylhexane-1,6-diamine (P7) can be used to synthesize polyamides [64] and 2,2,4-trimethylhexane-1,6-diol (P8) is used for polyester synthesis [3]. 3,3,5-Trimethyl-1-cyclohexanol (P9) is produced through the complete hydrogenation of isophorone [3,8]. 3,3,5-Trimethyl-1-cyclohexanol (P9) is used as a fragrance [8], as a fuel [65], and to produce vasodilator drugs [66,67,68], the combat agent EA 1511 (P10) [69,70] and the UV filter homosalate (P11) [71,72]. The most important products synthesized from isophorone are isophorone diamine (IPDA) (P12) and isophorone diisocyanate (IPDI) (P13) with a market value of over USD 600 million for IPDA in 2017 and a market value of over USD 700 million for IPDI in 2021 [8,73,74]. IP is thereby converted in a three-reaction process to IPDA [3,8,75,76,77,78,79,80]. IPDA (P12) can either be used as a monomer for the polyamide synthesis [81] or phosgenated to yield IPDI (P13) as the product [64,76,82]. IPDI is used for the production of light-stable polyurethanes [8,64].
Figure 1.
Products derived from IP [3,5,8,35,42,45,54,63,64,69,71,76].
Aside from these products, there are other possible applications of IP [3,32,64]: new studies, for example, report the possible use of IP as a platform chemical to produce renewable products [83], e.g., bio-based cycloalkanes as ingredients for sustainable jet fuels [84,85,86,87,88,89,90,91], often synthesized through the dimerization of IP [92].
IP is commercially obtained exclusively via self- condensation of acetone [8,64]. The starting material acetone is mainly produced via the cumene process, the world’s most used process to synthesize phenol and acetone [7,93,94,95,96]. To alternatively produce renewable products from isophorone, bio-based acetone is used for the manufacturing of isophorone [1]. The production of bio-based acetone is carried out through fermentation, e.g., the acetone-butanol-ethanol (ABE) fermentation [97,98,99,100].
While the self-condensation of acetone has been known for nearly 200 years and was first described in 1838 by Kane [101,102], the characterization of the emerging phorones, the non-cyclic trimers of acetone, and isophorone lasted until the end of the 19th century [102,103,104,105]. In 1872, for example, Kachler published the physical properties of phorones produced in different experiments [104]. The composition of the product mixture of acetone condensation depends primarily on the type of the catalyst used (basic or acidic) [5]. Kane used sulfuric acid (H2SO4) as an acidic catalyst to obtain a product mixture rich in mesityl oxide (MO) and mesitylene [101]. With the use of alkaline catalysts, such as potassium or sodium hydroxide, product mixtures of primarily diacetone alcohol, mesityl oxide, phorones, isophorone, and isoxylitols are formed [5,102,106,107,108].
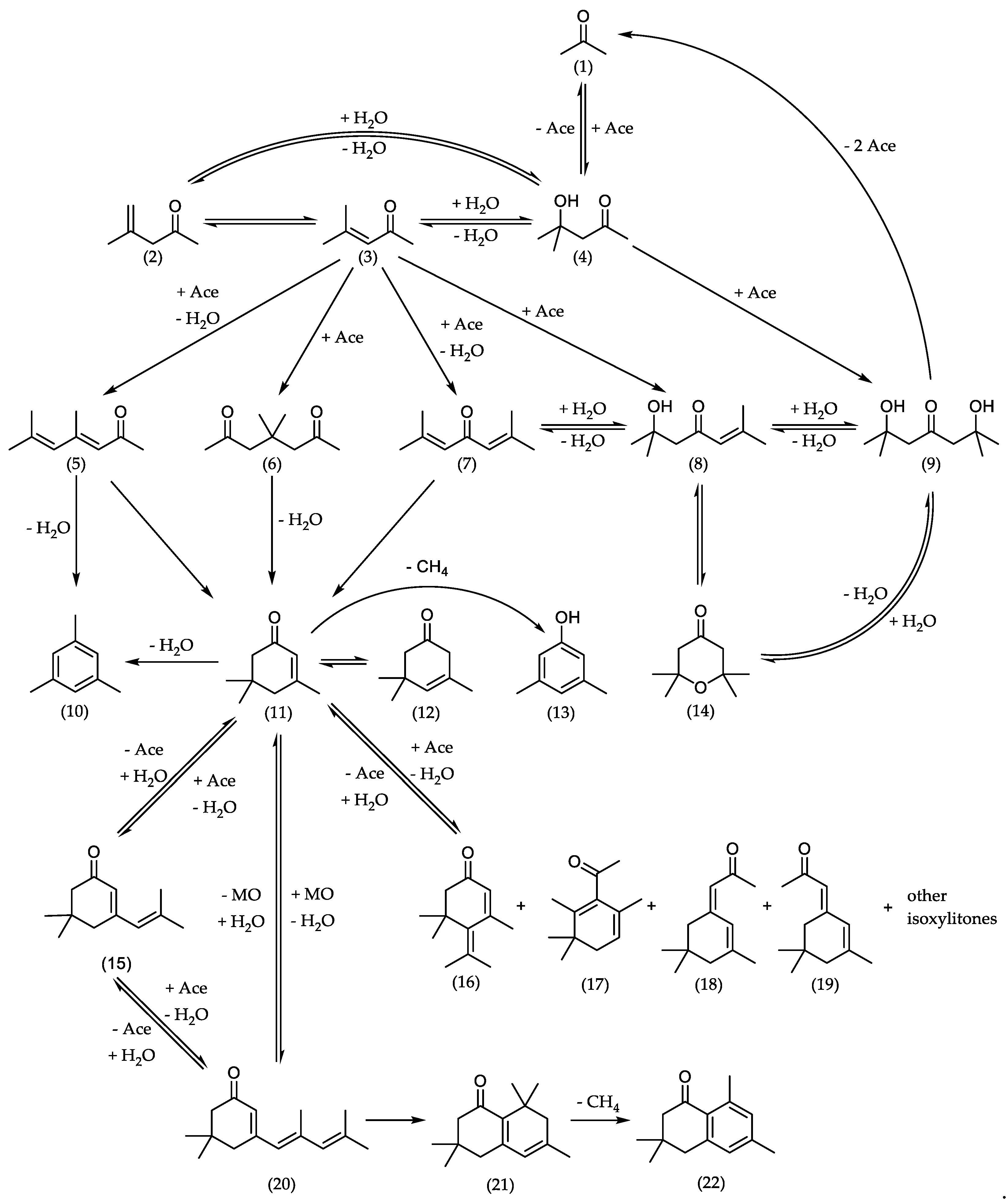
The acetone condensation has a complex reaction mechanism with multiple possible reaction products, including mesityl oxide, phorone, mesitylene, isoxylitones, and ketonic resins [5,99,109,110,111,112]. In 1989, Salvapati et al. described the three-step reaction mechanism of acetone to isophorone shown in Figure 2 as the most likely reaction mechanism for the formation of isophorone [5]. Canning et al. proposed the same reaction mechanism in 2005 based on the results of experiments with deuterated acetone [113]. In addition, kinetic studies of the reaction were performed by Mei et al. [109] and others [114,115,116,117,118,119,120,121,122]. Mei et al. identified the formation of mesityl oxide from acetone as the rate-determining step [109], Darda et al. established the formation of diacetone alcohol from acetone [118]. In addition, Mei et al. and others found that the selectivity toward isophorone is higher than the selectivity towards higher condensation products at high temperatures [109,123].
Figure 2.
Reaction scheme for the synthesis of isophorone from acetone [5,113].
The three reaction steps are: 1. Aldol condensation of two molecules of acetone to mesityl oxide [5,113]; 2. Michael addition of mesityl oxide and acetone to 4,4-dimethylheptane-2,6-dione [5,113]; and 3. Intramolecular aldol condensation of 4,4-dimethylheptane-2,6-dione to isophorone [5,113].
Reaction Mechanism
Based on the published literature, the reaction network shown in Figure 3 is proposed, excluding the formation of higher condensation products such as polymers [110,124,125] or oligomers of acetone and isophorone [4,111,126,127,128,129,130,131]. The reaction starts with acetone (1), which forms diacetone alcohol (4) through aldol reaction [5,99,132,133]. From diacetone alcohol (4), mesityl oxide (3) and iso-mesityl oxide (2) are formed via dehydration [5,99,134,135,136]. The aldol reaction of diacetone alcohol (4) and acetone yields triacetone dialcohol (9) [5,99,132,137]. Triacetone dialcohol (9) mostly reverts to acetone (1) but can also form semiphorone (8) or 2,2,6,6-tetramethylpyron-4-one (14) through dehydration [137,138,139]. Mesityl oxide (3) and iso-mesityl oxide (2), the unconjugated isomer of mesityl oxide, are in equilibrium, in favor of the thermodynamically more stable mesityl oxide (3) [8,99,140]. Further reactions from acetone and mesityl oxide (3) lead to four products: 4,6-dimethylheptane-3,5-diene-2-one (5) [5,134,135], 4,4-dimethylheptane-2,6-dione (6) [5,134,135], phorone (7) [5,134,135] and semiphorone (8) [99,141]. The first three products (5-7) are assumed to be able to react further to isophorone [5,135]; however, mainly 4,4-dimethylheptane-2,6-dione (6) is expected to be the intermediate to isophorone because it rapidly converts to isophorone (11) via 1,6-aldol condensation [5,113,142]. 4,6-Dimethylheptane-3,5-diene-2-one (5) forms isophorone (11) via an internal Michael reaction [5] and mesitylene (10) through 1,6-aldol condensation [5]. Phorone (7) reacts to isophorone (11) via 1,6 internal Michael cyclization [5] and semiphorone (8) through hydration [51,141]. Semiphorone (8) can cyclize to 2,2,6,6-tetramethylpyron-4-one (14) [5,51] and dehydrates to phorone (7) [51,99,139]. Isophorone (11) can rearrange to the constitutional isomer β-isophorone (12), and both are in equilibrium with about 97% α- (11) and 3% β-isophorone (12) [12,18,143]. α-Isophorone can react to mesitylene (10), and to 3,5-xylenol through the loss of methane [5,144]. The isoxylitones (e.g., 15–19) are obtained through the reaction of isophorone (11) with acetone [5,51,107,109]. The isoxylitone 5,5-dimethyl-3-(2-methylprop-1-en-1-yl)cyclohex-2-en-1-one (15), for example, can also be formed via the self-condensation of mesityl oxide (3) [107,145]. 5,5-Dimethyl-3-(2-methylprop-1-en-1-yl)cyclohex-2-en-1-one (15) can further react with acetone to (E)-3-(2,4-dimethylpenta-1,3-dien-1-yl)-5,5-dimethylcyclohex-2-en-1-one (20), which is also formed through the condensation of mesityl oxide (3) with isophorone (11) [109,143]. (E)-3-(2,4-dimethylpenta-1,3-dien-1-yl)-5,5-dimethylcyclohex-2-en-1-one cyclizes to 3,3,6,8,8-pentamethyl-3,4,7,8-tetrahydronaphthalen-1(2H)-one (21), which forms the insecticide 3,3,6,8-tetramethyl-3,4-dihydronaphthalen-1(2H)-one (22) through the loss of methane [109,128,146,147].
Figure 3.
Reaction network of the self-condensation of acetone [4,5,99,107,109,113,123,134,135,136,137,138,139,141,143,144].
4. Industrial Manufacturing of Isophorone
Today, isophorone is produced via liquid or vapor-phase base-catalyzed self-condensation of acetone [8,64,106,111,126,127,131,148,149]. The liquid-phase process has been known at least since 1941, with aqueous KOH or NaOH being used as catalysts [150]. However, the selectivity to isophorone is often less than 70% [8] because acetone and isophorone react to higher condensation products [5,8,107,110,124,128,151]. The vapor-phase condensation over heterogeneous solid base catalysts has been studied for over 80 years [152] and is considered to be the greener process [109], since the selectivity toward isophorone can be higher than the selectivity in the liquid-phase process and since no alkaline wastewater is produced [8,109], although the energy efficiency of the vapor phase process is lower [8]. To prevent the deactivation of the catalyst through coke formation, the acetone conversion is limited to a low level [109,153]. In the early years, calcium carbide (CaC2) was used as a catalyst, while mainly metal oxides are used today to catalyze the reaction [5,106,152].
Whereas the total production output of isophorone was 15,000 to 20,000 t/y in the mid-1960s, it had more than doubled in the year 2000 with approx. 50,000 t/y [64], and had doubled again to 100,000 t/y in 2005 [6]. In 2016, the production volume in the United States amounted to 23,000 t/y [149]. The current isophorone market value is estimated to be worth USD 1.25 billion in 2022 with a compound annual growth rate of about 5% [9,10]. Some of the leading producers of isophorone and isophorone-related products such as IPDA and IPDI are Arkema SA, BASF SE, Covestro AG, and Evonik Industries AG [6,9,10,154,155,156,157,158,159,160].
4.1. Liquid-Phase Process
The liquid-phase condensation, known as the Scholven process [128], is primarily catalyzed using homogenous alkaline catalysts, mainly aqueous sodium hydroxide or potassium hydroxide solutions [5,106]. For the liquid-phase condensation, the typical reaction temperature is between 205 and 250 °C [8,161] and the pressure is approx. 3.5 MPa [8]. A process scheme for the liquid-phase condensation of acetone to isophorone is depicted in Figure 4.
Figure 4.
Process scheme of the liquid-phase production of isophorone [3,4,8,162].
The pressure column (A) with head conditions of approx. 205 °C and approx. 3.5 MPa is fed with a mixture of acetone and an aqueous alkaline solution [8,106]. The condensation of acetone takes place in the upper trays of the column [8]. Unreacted acetone and water are distilled overhead as an azeotropic mixture, which is afterwards recycled to the column [8]. High-boiling-point compounds move down the column, where, in the lower part of the column, by-products are cleaved into isophorone and acetone via alkali-promoted hydrolysis [8]. The mixture leaving the column is separated (B) into an organic and an aqueous layer and the latter is recycled into the column [8]. The isophorone-rich organic phase is subsequently removed from impurities by means of distillation in two columns (C, D), leaving pure isophorone (approx. 99%) as the desired product [8]. The pre-column (C) operates at the same pressure as the reactor (A), while the main column (D) is operated at a reduced pressure [163].
To increase the isophorone yield, high-boiling side products (e.g., isoxylitones) can be hydrolyzed in a regeneration process to form acetone and isophorone [118,163,164,165,166,167,168,169]. Cook reported that by lowering the acetone feed rate, a higher yield can also be achieved [170].
The product quality of the isophorone can be increased by removing and purifying color-forming substances from the pressure reaction column (A) [8,163,168]. The discoloration is also carried out to increase the maximum storage time and can be achieved through various possible treatments [8] using phosphoric acid [171], an aromatic sulfonic acid such as p-toluenesulfonic acid [171,172], acid type fuller’s earth [173], diazines [174], diisopropylamine [175], mono- and polyhydroxybenzene derivatives [176], a strong caustic aqueous solution [177] or an acidic ion-exchange resin [178].
4.2. Vapor-Phase Process
For the vapor-phase condensation, heterogeneous catalysts such as mixed metal oxide catalysts are used [179,180,181,182,183,184,185], e.g., lanthanum aluminum magnesium oxide [186,187] or calcium aluminum magnesium oxide [185,187]. Typical reaction conditions are a temperature of 250–350 °C and atmospheric pressure [5,8]. To prevent catalyst deactivation through coke formation, the vapor-phase reaction is operated with a low conversion rate of acetone, usually between 10 and 35% [8,148]. A process scheme for the vapor-phase condensation of acetone to isophorone is depicted in Figure 5.
Figure 5.
Process scheme of the vapor-phase production of isophorone [188].
Acetone is gasified and fed into a fixed bed reactor (E), where condensation takes place [188]. The gaseous product mixture is afterward cooled and liquefied [188]. The product mixture is pumped into a column (F), where unreacted acetone is separated from the other components [188]. The unreacted acetone is mixed with the fresh acetone, gasified, and fed back into the reactor (E) [188]. The product mixture leaving the floor outlet of column (F) is fed into another column (G) [188].
The purpose of columns G and H is identical to the purpose of columns C and D of the liquid-phase process [8,188]. In addition, the light and heavy components can partially be used for isophorone production, as in the liquid-phase process [148].
5. Catalysts
For the self- condensation of acetone to isophorone, basic catalysts are primarily used [106,148]. The acid-catalyzed condensation, with sulfuric acid or acidic zeolites, yields mesitylene as the main product [189,190,191,192,193,194]. As basic catalysts, either homogeneous or heterogeneous ones can be used [5,106,195]. In liquid-phase condensation, primarily homogeneous catalysts, such as the aqueous NaOH and KOH solutions, catalyze the reaction [8,64,148]. In the vapor-phase reaction, solid heterogeneous catalysts are used [8,64,148,196]. The uncatalyzed synthesis of isophorone is possible through electrochemical conversion [197].
5.1. Catalysts for the Liquid-Phase Condensation
Many different catalysts such as sodium ethoxide and sodium amide were used as catalysts in the early days, though the alkali hydroxides NaOH and KOH have been the primarily used catalysts in industrial isophorone production since the 1940s [102,106,112,150,198]. In the early years, the concentrations of used alkali hydroxide solutions were relatively high, at 20 to 30 wt%, and the reaction temperature was relatively low compared to later data with 150–170 °C [5,106,150,198]. Ballard et al., for example, tested concentrations of 20 to 25 wt% of NaOH solution and about 30 wt% of KOH solution at 150 to 170°C, respectively [150,198]. They obtained a yield of up to 7% and a selectivity of up to 40% [150,198].
With higher alkali concentrations, the reaction is faster, but many by-products are formed, which is why the selectivity to isophorone is lower [5,106]. In more recent studies, therefore, the focus has been on lower alkali concentrations and higher reaction temperatures [114,161,199]. Walton and Yeomans reported a selectivity of 86% for a 0.75 wt% aqueous KOH solution at 205°C reaction temperature [199]. Mao et al. studied the impact of different KOH concentrations (0.3–1.0 wt%), temperatures (150–250 °C), and reaction times (1–8 h) on the acetone conversion and isophorone selectivity and achieved the best result with a KOH concentration of 0.7 wt%, a reaction time of 4 h, and a temperature of 250 °C [161]. The conversion of acetone was 68% and the selectivity towards isophorone was 93% [161]. Mao et al. also tested NaOH under the same conditions [161]. While the conversion of acetone was the same (68%), the selectivity was 84%, 9% lower than for KOH [161]. Li et al. studied the impact of changing reaction conditions (catalyst dosage, temperature and pressure) for a NaOH solution used as the catalyst [114]. The best result was achieved with a reaction time of 4 h, a temperature of 220 °C, and a NaOH concentration of approx. 4 wt% [114]. The selectivity for isophorone was 81% and the yield was 53% [114]. In a continuous process with a work-up of the by-products, Chen et al. achieved a selectivity and a yield of >90% with both KOH and NaOH solutions [200]. The reactions were carried out under supercritical conditions at 320 °C and 20 MPa with 10 wt% aqueous alkali solution as catalyst [200]. The highest reported selectivity is 93% for the NaOH catalyzed reaction and 92% for the reaction catalyzed using the KOH solution [200].
He et al. used microreactor technology to optimize the synthesis of isophorone [201]. They carried out an experiment with a KOH concentration of 1.8 wt% at a temperature of 280 °C and achieved an isophorone selectivity of approx. 90% [201]. A reaction time of a few minutes as described by Chen et al. requires harsh reaction conditions of 280–320 °C and 8–20 MPa [200]. Typical reaction conditions are milder using approx. 3.5 MPa and 250 °C or even lower pressure and reaction temperature, which causes a higher reaction time between 0.5 and 4 h [8,106].
As another class of homogeneous catalysts, organic quaternary ammonium hydroxides based on imidazole (a), pyridine (b), and methenamine (c) (Figure 6) are used [202,203,204]. Zhou et al. tested eight of these catalysts at a temperature ranging from 150 to 180 °C with a reaction time from 5 to 8 h [202,203,204]. The achieved selectivity for isophorone ranged from 63 to 71%, and the conversion from 55% to 68% [202,203,204]. The most efficient of the tested catalysts was 1,3-di-n-butylimidazole hydroxide [202,203,204] at a reaction temperature of 160°C and a reaction time of 7 h [202]. The reported selectivity was 71% and the conversion was 62% [202]. The advantage of these catalysts is a lower reaction temperature compared to NaOH or KOH; however, a reaction time of 5 h and more is significantly higher [202,203,204].
Figure 6.
Organic bases used as catalysts: (a) imidazole, (b) pyridine, and (c) methenamine derivates [202,203,204].
Although heterogeneous catalysts are primarily used for the vapor-phase reaction, some of these catalysts were also tested in the liquid-phase [205,206,207,208]. In the last ten years, there has been continued interest in the use of calcium carbide (CaC2) as the catalyst in the liquid-phase condensation because it is inexpensive and acetylene is formed as a co-product [144,205,209,210]. Calcium carbide is a Lewis base catalyst [205], which was used as a catalyst for the vapor-phase condensation in the 1930s [152]. Li et al. obtained an isophorone yield of 21% and a conversion of 81% at 150 °C with CaC2 [205].
Other heterogeneous catalysts used are metal oxides [206,207,208]. In the first step of a two-step process for the synthesis of isophorone, a basic anion exchange resin is used as the catalyst [206]. In the second step, a potassium hydroxide- and magnesium nitrate-doped aluminium oxide catalyst is used at 210 °C [206]. The reaction time is approx. 8 h, the achieved selectivity is up to 89%, and the reported yield is up to 71% [206]. Teissier and Kervennal used a magnesium–aluminium mixed metal oxide as the catalyst [208]. With a reaction time of 1 h and a temperature of 200 °C, they obtained a selectivity for isophorone of 51% and an acetone conversion of 31% [208]. Qiao et al. used a mixed metal oxide containing strontium, magnesium, aluminium, and praseodymium as the catalyst [207]. The continuous reactor was operated with a residence time of 1 min under supercritical conditions of 300 °C and 8 MPa [207]. Qiao et al. achieved a selectivity towards isophorone of 91% and a conversion of 41% [207].
The conversion, selectivity, and yield for the catalysts mentioned in Section 5.1 are summarized in Table 2.
Table 2.
Literature acetone conversions (X), selectivity for isophorone (S) and yield (Y) for different catalysts for the liquid-phase/supercritical condensation of acetone.
Although corrosion can be avoided using heterogeneous catalysts, isophorone continues to be industrially produced using aqueous alkali hydroxide solutions in the liquid-phase [106]. The main reason for this is that this process has been continuously optimized and is currently very efficient [11,148,163,164,165,166,167,171,199,200,201,211,212,213,214,215,216]. For the switch to the vapor-phase process to be profitable, it must be more efficient or less expensive than the liquid-phase process. In addition, the service life of the heterogeneous catalysts must be high. Over the years, however, various companies have also been established new patents on vapor-phase processes with improved processes [152,217,218,219,220,221,222,223,224,225,226,227].
5.2. Catalysts for the Vapor-Phase Condensation
While in the 1930s, calcium carbide, calcium oxide, and calcium hydroxide were used as catalysts for the vapor-phase condensation, mostly mixed/composite metal oxides, often containing aluminum and magnesium, are used as catalysts nowadays [5,106,152]. While pure magnesia can be used as a catalyst, the reported selectivity toward isophorone is 35 % and below [5,228]. A significant increase in selectivity is possible through the combination of magnesium with other metals, mostly aluminum [106].
Due to the high catalytic performance of magnesium–aluminum mixed oxide and its low cost, this is probably the most common catalyst for the vapor-phase reaction [106]. Magnesium–aluminum mixed oxide is often synthesized using the coprecipitation method via calcination of hydrotalcite [229,230,231,232]. The investigations with magnesium–aluminum mixed oxide focus on the temperature range from 250 to 300 °C, with a residence time of 30 to 60 min [184,186,229,230,231,232,233]. A selectivity range of approx. 20 to 95% is reported [184,186,229,230,231,232,233]. Ordóñez et al. tested a temperature range of 50 to 450 °C and achieved the best selectivity to isophorone of 23% at 250 °C [229]. Kelkar and Schutz reported their highest selectivity toward isophorone to be 75% at 250 °C, 25% acetone conversion, and a catalyst particle size of 0.315 mm [230]. They investigated the temperature range from approx. 250 to 315 °C and particle sizes from 0.315 to 6.35 mm [230]. Gao reached a selectivity of 65% at 250 °C with Mg–Al mixed oxide as the catalyst [231]. The regenerated catalyst compared to fresh catalyst showed a selectivity decrease of approx. 5% [231]. Other data for the Mg–Al mixed oxide as the catalyst was published by Ma et al., Li et al., and Liu et al. [184,232,233]. Ma et al. reported a selectivity of 86%, a yield of 73%, and a conversion of higher than 70% at 250 °C [232], Li et al. a selectivity of 95% and a conversion of 36% at 290 °C [184], and Liu et al. a conversion of 20% and a selectivity of 56% at 300 °C [233].
Other catalysts mentioned in the literature are mixed oxides of magnesium or magnesium and aluminum with other metals [181,185,186,187,227,234,235,236]. Zhang et al. prepared magnesium–aluminum–yttrium-layered double-oxides with different Y-doping [234]. With a doping quantity of 1% they achieved a selectivity of 59% and a yield of 22% at 300 °C [234]. Other metals that were used for mixed metal oxides are chromium, zirconium, lanthanum, calcium, barium, and cerium in different combinations [185,186,187,188,227,235]. The reaction temperature for the different experiments were usually between 250 and 450 °C [185,186,187,188,227,235]. The reported selectivity is about 60 to 80% [185,186,187,188,227,235]. An especially high selectivity was reported by Zhao et al. They prepared a Ca–Zr–Mg–Al mixed oxide catalyst, which achieved a selectivity of up to 97% at 300 °C and 1 MPa with an acetone conversion of 34% [227]. These results are part of a stability test to demonstrate the stability of the catalyst over 1000 h [227]. After the 1000 h, the selectivity was still over 90%. The highest selectivity of 97% was measured after about 600 h [227].
In addition, data on several other catalysts have also been published, including molecular sieves [237], cesium on carbon [238], CsOH/SiO2 [113], Na+/TiO2 [239], Na+-(VO)2P2O7 [240], NaOH [241], Ca(OH)2-CaO [242] and Ca(OH)2 [152]. Ma et al. used a modified X molecular sieve as a catalyst and achieved a selectivity of 52% [237]. Stevens et al. prepared cesium on nanoporous carbon as the catalyst [238]. The reported selectivity is 61% [238]. Canning et al. used cesium hydroxide on silica for their mechanistic study and achieved a selectivity of 19% [113]. Zamora et al. tested sodium–chloride-doped titania as the catalyst [239]. The selectivity was 4% [239]. Thomas et al. studied the aldol condensation of acetone with different alkali-modified vanadium phosphates as catalysts [240]. With the most efficient catalyst, a sodium-modified vanadium phosphate, they achieved a selectivity for isophorone of 95% [240]. Qian et al. used molted NaOH as the catalyst [241]. The published selectivity is 60% [241]. Wang et al. prepared a catalyst containing Ca(OH)2 and CaO through the calcination of Ca(OH)2 [242]. The catalyst, prepared with a calcination temperature of 550 °C, achieved a selectivity higher than 80% [242]. For pure Ca(OH)2 as the catalyst, Vaughn et al. reported as yield of 25% [152].
The conversion, selectivity, and yield for the catalysts mentioned in Section 5.2 are summarized in Table 3.
Table 3.
Literature acetone conversions (X), selectivity for isophorone (S) and yield (Y) for different catalysts for the vapor-phase condensation of acetone.
In addition to the 47 literature results presented in this review, many other studies have been conducted [243,244,245,246,247,248,249,250,251,252,253,254,255,256,257,258,259] and many other patents have been published [260,261,262,263,264,265,266,267,268,269].
6. Conclusions
The self-condensation of acetone has been known for nearly 200 years and with a growing production volume of acetone, it represents a suitable way to upgrade acetone. Isophorone is one of the main products of this reaction and is already used industrially for various purposes. Due to the complex reaction mechanism, very different product mixtures with widely varying isophorone yields are formed under different reaction conditions and with different catalysts. Therefore, the key to optimize the isophorone selectivity of this process is the optimization of the reaction parameters.
Today, the liquid-phase process is the one most commonly operated on a production scale; however, the disadvantage of the liquid-phase process is corrosion, while the vapor-phase process has a higher energy demand. Switching from the liquid-phase to the vapor-phase process is therefore not yet profitable. However, a selectivity of more than 90% for isophorone was reported for both vapor-phase and supercritical condensation.
The trend over the last few years of improving the selectivity toward isophorone seems to develop toward short reaction times and high temperatures. This can also be observed for the heterogeneous catalyst Sr0.1Mg0.6Al0.15Pr0.05O, which showed a selectivity of 91.2% at 1 min reaction time under supercritical conditions.
In the vapor-phase, catalysts. e.g., Mg–Al mixed oxide and Ca–Zr–Mg–Al mixed oxide achieved a selectivity toward isophorone of more than 90%, too. Additionally, long-term tests over 1000h were carried out with these catalysts, which showed that there was no catalyst deactivation due to coking.
However, whether these vapor-phase processes will become more attractive in the future ultimately depends on whether these processes can be operated more cheaply and/or more easily than the established liquid-phase processes. Future developments will probably focus on further improving selectivity and on improving process efficiencies, e.g., by increasing the acetone conversion while maintaining a high selectivity.
Author Contributions
Conceptualization, T.R. and M.E.; methodology, T.R.; validation, M.-A.M., W.B. and M.E.; formal analysis, M.-A.M., W.B. and M.E.; investigation, T.R.; resources, M.-A.M. and W.B.; data curation, T.R.; writing—original draft preparation, T.R.; writing—review and editing, M.-A.M., W.B. and M.E.; visualization, T.R.; supervision, M.E.; project administration, M.-A.M., W.B. and M.E.; funding acquisition, M.E. All authors have read and agreed to the published version of the manuscript.
Funding
This research was funded by Koninklijke DSM N.V. The funding sponsors had no role in the design of the study, in the collection, analyses, or interpretation of data, in the writing of the manuscript, or in the decision to publish the results.
Data Availability Statement
Not applicable.
Conflicts of Interest
M.E. has received a research grant from DSM Nutritional Products. M.-A.M. and W.B. are employees of the company DSM Nutritional Products.
References
- Evonik-60 Years Isophorone Chemistry. Available online: https://crosslinkers.evonik.com/media/public/misc/zeitstrahl/index.html (accessed on 30 October 2022).
- Evonik Industries, A.G. Damit der Lack Nicht ab Ist: Isophoron. Available online: https://history.evonik.com/de/erfindungen/isophoron (accessed on 28 October 2022).
- Schmitt, K. Neuere Acetonchemie. Chem. Ind. 1966, 18, 204. [Google Scholar]
- Matyschok, H. Preparation, properties, and applications of isophorone. Wiad. Chem. 1973, 27, 311. [Google Scholar]
- Salvapati, G.S.; Ramanamurty, K.V.; Janardanarao, M. Selective catalytic self-condensation of acetone. J. Mol. Catal. 1989, 54, 9–30. [Google Scholar] [CrossRef]
- Guan, X.; Liu, X.; Li, G.; Dong, P.; Wang, Z.; Zhao, G. Production, Market and Application prospect of Isophorone. Chem. Technol. Mark. 2005, 5–8. [Google Scholar]
- Drönner, J.; Hausoul, P.; Palkovits, R.; Eisenacher, M. Solid Acid Catalysts for the Hock Cleavage of Hydroperoxides. Catalysts 2022, 12, 91. [Google Scholar] [CrossRef]
- Braithwaite, J.K. Imaging Technology to Lanthanides. In Kirk-Othmer Encyclopedia of Chemical Technology, 4th ed.; Wiley: New York, NY, USA, 1995; Volume 14, pp. 485–506. [Google Scholar]
- Isophorone Market by Applications (Paints and Coatings, Printing Inks, Adhesives, Artificial Leather, Agrochemical, Composite), and Region (North America, Europe, Asia Pacific, South America, Middle East & Africa): Global Forecast to 2030. Available online: https://www.marketsandmarkets.com/Market-Reports/isophorone-market-201664726.html (accessed on 19 December 2022).
- Isophorone Market: Isophorone Market Analysis By Product Type (Liquid Condensation & Solid Heterogeneous Catalytic Condensation) By End-Use and By Region–Global Market Insights 2022 to 2032. Analysis of Isophorone Market Covering 30 + Countries Including Analysis of US, Canada, UK, Germany, France, Nordics, GCC Countries, Japan, Korea and Many More. Available online: https://www.factmr.com/report/966/isophorone-market (accessed on 19 December 2022).
- Schmitt, K.; Disteldorf, J.; Baron, W. Verfahren zur Herstellung von Isophoron. German Patent. German Patent 1 095 818, 29 December 1960. [Google Scholar]
- Environmental Health Criteria 174: Isophorone. Available online: https://apps.who.int/iris/bitstream/handle/10665/36888/9241571748-eng.pdf?sequence=1&isAllowed=y (accessed on 30 October 2022).
- Burdock, G.A. Fenaroli’s Handbook of Flavor Ingredients, 6th ed.; CRC Press: Bosa Roca, FL, USA, 2009. [Google Scholar]
- Burdock, G.A. Encyclopedia of Food and Color Additives; CRC Press: Bosa Roca, FL, USA, 1997. [Google Scholar]
- Murphy, E.F.; Bürgi, T.; Baiker, A. Reactive Sites in Isophorone Isomers: H/D-Exchange Studies and Quantum-Chemical Calculations. Helv. Chim. Acta 2001, 84, 2884–2894. [Google Scholar] [CrossRef]
- Shiloff, J.D.; Hunter, N.R. Solvent effects on the photocycloaddition and photoenolisation reactions of isophorone. Can. J. Chem. 1979, 57, 3301–3303. [Google Scholar] [CrossRef]
- Rudolph, A.; Weedon, A.C. Acid catalysis of the photochemical deconjugation reaction of 3-alkyl-2-cyclohexenones. J. Am. Chem. Soc. 1989, 111, 8756–8757. [Google Scholar] [CrossRef]
- Stoye, D.S. Solvents. In Ullmann’s Encyclopedia of Industrial Chemistry; Wiley-VCH Verlag: Weinheim, Germany, 2000; pp. 619–688. [Google Scholar] [CrossRef]
- Isophoron. Available online: https://roempp.thieme.de/lexicon/RD-09-01678 (accessed on 1 November 2022).
- 3,5,5-Trimethyl-3-Cyclohexen-1-on. Available online: https://gestis.dguv.de/data?name=490204 (accessed on 30 October 2022).
- Panighel, A.; Maoz, I.; de Rosso, M.; de Marchi, F.; Dalla Vedova, A.; Gardiman, M.; Bavaresco, L.; Flamini, R. Identification of saffron aroma compound β-isophorone (3,5,5-trimethyl-3-cyclohexen-1-one) in some V. vinifera grape varieties. Food Chem. 2014, 145, 186–190. [Google Scholar] [CrossRef]
- Si, W.; Xiong, L.; Zhou, H.; Wu, H.; Liu, Z.; Liu, G.; Liu, Y.; Shen, A.; Liang, X. Comprehensive characterization of ingredients in Crocus sativus L. from different origins based on the combination of targeted and nontargeted strategies. Food Chem. 2022, 397, 133777. [Google Scholar] [CrossRef]
- Zarghami, N.S.; Heinz, D.E. Monoterpene aldehydes and isophorone-related compounds of saffron. Phytochemistry 1971, 10, 2755–2761. [Google Scholar] [CrossRef]
- Kiran, I.; Özşen, Ö.; Çelik, T.; İlhan, S.; Gürsu, B.Y.; Demirci, F. Microbial Transformations of Isophorone by Alternaria alternata and Neurospora crassa. Nat. Prod. Commun. 2013, 8, 59–61. [Google Scholar] [CrossRef]
- Vidal, D.M.; Moreira, M.A.B.; Coracini, M.D.A.; Zarbin, P.H.G. Isophorone derivatives as a new structural motif of aggregation pheromones in Curculionidae. Sci. Rep. 2019, 9, 776. [Google Scholar] [CrossRef] [PubMed]
- Francke, W.; Dettner, K. Chemical Signalling in Beetles. In The Chemistry of Pheromones and Other Semiochemicals II.; Topics in Current Chemistry; Schulz, S., Ed.; Springer: Berlin/Heidelberg, Germany, 2005; pp. 85–166. [Google Scholar] [CrossRef]
- Schulz, S.; Francke, W.; Edgar, J.; Schneider, D. Volatile compounds from androconial organs of danaine and ithomiine butterflies. Z. Für Nat. C 1988, 43, 99–104. [Google Scholar] [CrossRef]
- California Air Resources Board. Isophorone. Available online: https://ww2.arb.ca.gov/sites/default/files/classic//toxics/tac/tacil/isophoro.htm (accessed on 11 November 2022).
- Jerković, I.; Kuś, P.M. Terpenes in honey: Occurrence, origin and their role as chemical biomarkers. RSC Adv. 2014, 4, 31710–31728. [Google Scholar] [CrossRef]
- IK, K. A Targeted Metabolomic Procedure for the Identification of Isophorone Related Compounds in Honey. J. Plant Biochem. Physiol. 2018, 6, 1–6. [Google Scholar] [CrossRef]
- United States Environmental Protection Agency. Ambient Water Quality Criteria for Isophorone. Available online: https://www.epa.gov/sites/default/files/2019-03/documents/ambient-wqc-isophorone-1980.pdf (accessed on 15 April 2022).
- Discover the World of Isophorone Chemistry. Available online: https://crosslinkers.evonik.com/en/about/isophorone-chemistry (accessed on 30 October 2022).
- Aranda, C.; Municoy, M.; Guallar, V.; Kiebist, J.; Scheibner, K.; Ullrich, R.; Del Río, J.C.; Hofrichter, M.; Martínez, A.T.; Gutiérrez, A. Selective synthesis of 4-hydroxyisophorone and 4-ketoisophorone by fungal peroxygenases. Catal. Sci. Technol. 2019, 9, 1398–1405. [Google Scholar] [CrossRef]
- Murphy, E.F.; Mallat, T.; Baiker, A.; Schneider, M. Catalytic gas phase oxidation of isophorone to ketoisophorone. Appl. Catal. A Gen. 2000, 197, 295–301. [Google Scholar] [CrossRef]
- Tavanti, M.; Parmeggiani, F.; Castellanos, J.R.G.; Mattevi, A.; Turner, N.J. One-Pot Biocatalytic Double Oxidation of α-Isophorone for the Synthesis of Ketoisophorone. ChemCatChem 2017, 9, 3338–3348. [Google Scholar] [CrossRef]
- Krill, S.; Giray, G.; Hubner, F.; Hahn, R.; Huthmacher, K.; Tanner, H. Method of Producing β-Isophorone by the Isomerization of α-Isophorone. U.S. Patent 5,907,065, 25 May 1999. [Google Scholar]
- Becker, J.J.; Schulte-Elte, K.H.; Strickler, H.; Ohloff, G. 2,2,6-Trimethylcyclohex-5-ene-1,4-Dione. Swiss Patent 585 168, 28 February 1977. [Google Scholar]
- Becker, J.J.; Skorianetz, W.; Hochstrasser, U.P. 2,2,6-Trimethylcyclohex-5-ene-1,4-Dione. Swiss Patent 599 917, 15 June 1978. [Google Scholar]
- Bellut, H. Preparation of 2,6,6-Trimethylcyclohex-2-Ene-1,4-Dione by Oxidation of β-Isophorone. German Patent 38 42 547, 21 June 1990. [Google Scholar]
- Brenner, W. Ketoisophorone. Swiss Patent 605 535, 29 September 1978. [Google Scholar]
- Widmer, E.; Seuret, M. Ketoisophorone. Swiss Patent 611 590, 15 June 1979. [Google Scholar]
- Eggersdorfer, M.; Laudert, D.; Létinois, U.; McClymont, T.; Medlock, J.; Netscher, T.; Bonrath, W. One hundred years of vitamins-a success story of the natural sciences. Angew. Chem. 2012, 51, 12960–12990. [Google Scholar] [CrossRef]
- Müller, M.-A.; Schäfer, C.; Litta, G.; Klünter, A.-M.; Traber, M.G.; Wyss, A.; Ralla, T.; Eggersdorfer, M.; Bonrath, W. 100 Years of Vitamin E: From Discovery to Commercialization. Eur. J. Org. Chem. 2022, 2022, e202201190. [Google Scholar] [CrossRef]
- Demole, E.; Enggist, P. Novel Synthesis of 3,5,5-Trimethyl-4-(2-butenylidene)-cyclohex-2-en-1-one, a Major Constituent ofBurley Tobacco Flavour. Helv. Chim. Acta 1974, 57, 2087–2091. [Google Scholar] [CrossRef]
- Mayer, H.; Montavon, M.; Rüegg, R.; Isler, O. Synthesen in der Carotinoid-Reihe. 22. Mitteilung. Totalsynthese von Rhodoxanthin. Helv. Chim. Acta 1967, 50, 1606–1618. [Google Scholar] [CrossRef]
- Shibagaki, M.; Shibata, S.; Kaneko, H. Syntheses of 8,9-Dehydrotheaspirone and trans- and cis -8,9-Dehydro-4,5-dihydrotheaspirone. Agric. Biol. Chem. 1981, 45, 2911–2913. [Google Scholar] [CrossRef]
- Weyerstahl, P.; Meisel, T.; Mewes, K.; Negahdari, S. Struktur und Geruch, XIII. Synthese und olfaktorische Eigenschaften von Megastigmatrienon-Analoga. Eur. J. Org. Chem. 1991, 1991, 19–25. [Google Scholar] [CrossRef]
- David Raju, B.; Rama Rao, K.; Salvapathi, G.; Sai Prasad, P.; Kanta Rao, P. Aromatization of isophorone to 3,5-xylenol over Cr2O3/SiO2 catalysts. Appl. Catal. A Gen. 2000, 193, 123–128. [Google Scholar] [CrossRef]
- Kirichenko, G.N.; Glazunova, V.I.; Kirichenko, V.Y.; Dzhemilev, U.M. Promising process for synthesis of 3,5-xylenol from isophorone. Pet. Chem. 2006, 46, 434–438. [Google Scholar] [CrossRef]
- van Seters, A.J.C.; Wattimena, F. 3,5-Dimethylphenol. Canadian Patent 1,196,622, 12 November 1985. [Google Scholar]
- Zhang, X.; Wang, R.; Yang, X.; Yu, J. Central composite experimental design applied to the catalytic aromatization of isophorone to 3,5-xylenol. Chemom. Intell. Lab. Syst. 2007, 89, 45–50. [Google Scholar] [CrossRef]
- Wattimena, F. 3,5-Xylenol. U.S. Patent 4,086,282, 25 April 1978. [Google Scholar]
- Huizer, L.; van Namen, D.J.; Oranje, P.J.D. Purification of 3,5-Xylenol. UK Patent 1 560 241, 30 January 1980. [Google Scholar]
- Franck, H.-G.; Stadelhofer, J.W. Industrial Aromatic Chemistry: Raw Materials Processes Products; Springer: Berlin/Heidelberg, Germany, 1988. [Google Scholar] [CrossRef]
- McDonnell, G.E. Antisepsis, Disinfection, and Sterilization: Types, Action, and Resistance; ASM Press: Washington, DC, USA, 2007. [Google Scholar]
- Arivazhagan, M.; Gayathri, R. NBO, NMR, UV, FT-IR, FT-Raman spectra and molecular structure (monomeric and dimeric structures) investigation of 4-Chloro-3,5-Xylenol: A combined experimental and theoretical study. Spectrochim. Acta. Part A Mol. Biomol. Spectrosc. 2013, 116, 170–182. [Google Scholar] [CrossRef]
- Bonrath, W.; Medlock, J.; Müller, M.-A.; Schütz, J. Catalysis for Fine Chemicals; De Gruyter: Berlin, Germany; Boston, MA, USA, 2021. [Google Scholar] [CrossRef]
- Cotrupe, D.P.; Wellman, W.E.; Burton, P.E. Dihydroisophorone. U.S. Patent 3,446,850, 27 May 1969. [Google Scholar]
- Tungler, A.; Máthé, T.; Petró, J.; Tarnai, T. Enantioselective hydrogenation of isophorone. J. Mol. Catal. 1990, 61, 259–267. [Google Scholar] [CrossRef]
- Xu, L.; Sun, S.; Zhang, X.; Gao, H.; Wang, W. Study on the selective hydrogenation of isophorone. RSC Adv. 2021, 11, 4465–4471. [Google Scholar] [CrossRef]
- Rodríguez-García, L.; Hungerbühler, K.; Baiker, A.; Meemken, F. Enantioselection on Heterogeneous Noble Metal Catalyst: Proline-Induced Asymmetry in the Hydrogenation of Isophorone on Pd Catalyst. J. Am. Chem. Soc. 2015, 137, 12121–12130. [Google Scholar] [CrossRef] [PubMed]
- Ballova, G.D.; Egorova, E.I.; Romantsova, O.N.; Karmakova, V.G.; Prokhorova, L.V.; Zinchenko, V.A.; Emelin, Y.D.; Maladzyanova, L.F. High-Impact Weatherproof Graft Copolymers of Styrene. U.S.S.R. Patent 614118, 5 July 1978. [Google Scholar]
- Camani, A. Beitrag zur Kenntnis der Trimethyladipinsäure und Deren Derivate. PhD Thesis, ETH Zürich, Zürich, Switzerland, 1965. [Google Scholar]
- Siegel, H.; Eggersdorfer, M. Ketones. In Ullmann’s Encyclopedia of Industrial Chemistry; Wiley-VCH Verlag: Weinheim, Germany, 2000; pp. 187–205. [Google Scholar] [CrossRef]
- Kleiman, H.L.; Martinat, J.J. Fuel for Cooking, Heating, and Lighting. U.S. Patent 3,894,848, 15 July 1975. [Google Scholar]
- Flitter, D. Purification of Cyclandelate. U.S. Patent 3,663,597, 16 May 1972. [Google Scholar]
- Takahashi, H. 3,3,5-Trimethylcyclohexyl Mandelate. Japanese Patent 48-43115, 17 December 1973. [Google Scholar]
- Yamauchi, K.; Yasui, T.; Fujii, K. 3,3,5-Trimethylcyclohexyl Mandelate. Japanese Patent 54-81240, 28 June 1979. [Google Scholar]
- Kolter, T. EA 1511. Available online: https://roempp.thieme.de/lexicon/RD-05-03539 (accessed on 1 November 2022).
- Dawson, T.P.; Williamson, C.E. 3-Pyridyl Phosphonates. U.S. Patent 3,903,098, 02 September 1975. [Google Scholar]
- Chen, H.; Wang, J.; Ma, Z.; Zhao, J.; Feng, G. Method for Synthesizing Homosalate. Chinese Patent 105541634, 4 November 2014. [Google Scholar]
- Qifa, L.; Rong, W. Method for Preparing Homosalate. Chinese Patent 105085273, 15 March 2017. [Google Scholar]
- Global Isophorone Diamine (IPDA) Market Research Report 2018. Available online: https://www.marketresearch.com/QYResearch-Group-v3531/Global-Isophorone-Diamine-IPDA-Research-11788198/ (accessed on 1 January 2023).
- Global Isophorone Diisocyanate (IPDI) Market Size 2023–2028 Forecast Growth Research, Growth Factor, Key Players, the Impact of COVID-19. Available online: https://www.marketwatch.com/press-release/global-isophorone-diisocyanate-ipdi-market-size-2023-2028-forecast-growth-research-growth-factor-key-players-the-impact-of-covid-19-2022-12-14 (accessed on 1 January 2023).
- Takahoso, H.; Takahashi, N.; Midorikawa, K.; Sato, T. Method for production of 3-cyano-3,5,5-trimethylcyclohexanone. Japanese Patent 4-279559, 5 October 1992. [Google Scholar]
- Sonnenschein, M.F. Polyurethanes; Wiley: Hoboken, NJ, USA, 2021. [Google Scholar] [CrossRef]
- Huthmacher, K.; Schmitt, H. Process for the Preparation of 1,3,3-Trimethyl-5-oxo-Cyclohexanecarbonitrile. German Patent 39 42 371, 21 May 1992. [Google Scholar]
- Thunberg, J.C.; Begonis, W.B. Process for the Preparation of 3-cyano-3,5,5-Trimethylcyclohexanone by Addition of Hydrogen Cyanide to Isophorone. U.S. Patent 5,011,968, 30 April 1991. [Google Scholar]
- Pontoglio, E.; Parodi, S. Preparation of 3-Cyano-3,5,5′-Trimethyl-1-Cyclohexanone from Isophorone and an Alkaline Cyanide. European Patent 0 425 806, 8 May 1991. [Google Scholar]
- Merger, F.; Priester, C.U.; Witzel, T.; Koppenhoefer, G.; Harder, W. Process for Preparing 3-(Aminomethyl)-3,5,5-Trimethylcyclohexylamine. German Patent 40 10 227, 2 October 1991. [Google Scholar]
- Rautenberg, W.; Mosbach, N.; Erdmann, T. Polyamide Composition Which Is Dyed in Black and Production and Use Thereof. International Patent 2017/144276, 31 August 2017. [Google Scholar]
- Schmitt, K.; Gude, F.; Rindtorff, K., Jr.; Disteldorf, J. Preparation of 1-Isocyanato-3-(Isocyanatomethyl)-3,5,5-Trimethylcyclohexane. German Patent 1 202 785, 14 October 1965. [Google Scholar]
- Evonik Launches First Renewable Isophorone-Based Products. Available online: https://crosslinkers.evonik.com/en/-169696.html (accessed on 6 August 2022).
- Chen, F.; Li, N.; Wang, W.; Wang, A.; Cong, Y.; Wang, X.; Zhang, T. Catalytic conversion of isophorone to jet-fuel range aromatic hydrocarbons over a MoO(x)/SiO2 catalyst. Chem. Commun. 2015, 51, 11876–11879. [Google Scholar] [CrossRef] [PubMed]
- Muldoon, J.A.; Harvey, B.G. Bio-Based Cycloalkanes: The Missing Link to High-Performance Sustainable Jet Fuels. ChemSusChem 2020, 13, 5777–5807. [Google Scholar] [CrossRef] [PubMed]
- Ryan, C.F.; Moore, C.M.; Leal, J.H.; Semelsberger, T.A.; Banh, J.K.; Zhu, J.; McEnally, C.S.; Pfefferle, L.D.; Sutton, A.D. Synthesis of aviation fuel from bio-derived isophorone. Sustain. Energy Fuels 2020, 4, 1088–1092. [Google Scholar] [CrossRef]
- Xie, J.; Zhang, L.; Zhang, X.; Han, P.; Xie, J.; Pan, L.; Zou, D.-R.; Liu, S.-H.; Zou, J.-J. Synthesis of high-density and low-freezing-point jet fuel using lignocellulose-derived isophorone and furanic aldehydes. Sustain. Energy Fuels 2018, 2, 1863–1869. [Google Scholar] [CrossRef]
- Xie, J.; Zhang, X.; Shi, C.; Pan, L.; Hou, F.; Nie, G.; Xie, J.; Liu, Q.; Zou, J.-J. Self-photosensitized [2 + 2] cycloaddition for synthesis of high-energy-density fuels. Sustain. Energy Fuels 2020, 4, 911–920. [Google Scholar] [CrossRef]
- Tang, H.; Li, N.; Li, S.; Chen, F.; Li, G.; Wang, A.; Cong, Y.; Wang, X.; Zhang, T. Synthesis of jet fuel rang cycloalkane from isophorone with glycerol as a renewable hydrogen source. Catal. Today 2017, 298, 16–20. [Google Scholar] [CrossRef]
- Wang, W.; Liu, Y.; Li, N.; Li, G.; Wang, W.; Wang, A.; Wang, X.; Zhang, T. Synthesis of renewable high-density fuel with isophorone. Sci. Rep. 2017, 7, 6111. [Google Scholar] [CrossRef]
- Chen, F.; Li, N.; Li, S.; Li, G.; Wang, A.; Cong, Y.; Wang, X.; Zhang, T. Synthesis of jet fuel range cycloalkanes with diacetone alcohol from lignocellulose. Green Chem. 2016, 18, 5751–5755. [Google Scholar] [CrossRef]
- Gonçalves, H.; Robinet, G.; Barthelat, M.; Lattes, A. Supramolecularity and Photodimerization of Isophorone: FTIR and Molecular Mechanics Studies. J. Phys. Chem. A 1998, 102, 1279–1287. [Google Scholar] [CrossRef]
- Howard, W.L. Acetone. Kirk-Othmer Encyclopedia of Chemical Technology; John Wiley & Sons: Hoboken, NJ, USA, 2000; pp. 1–15. [Google Scholar] [CrossRef]
- Jahn, U. Phenol. Available online: https://roempp.thieme.de/lexicon/RD-16-01576 (accessed on 4 August 2022).
- Zakoshansky, V. Phenol process celebrates its 60th anniversary: The role of chemical principles in technological breakthroughs. Russ J. Gen. Chem. 2009, 79, 2244–2266. [Google Scholar] [CrossRef]
- Zakoshansky, V.M. The cumene process for phenol-acetone production. Pet. Chem. 2007, 47, 273–284. [Google Scholar] [CrossRef]
- Dürre, P.; Bahl, H.; Gottschalk, G. Die Aceton-Butanol-Gärung: Grundlage für einen modernen biotechnologischen Prozeß? Chem. Ing. Tech. 1992, 64, 491–498. [Google Scholar] [CrossRef]
- Ni, Y.; Sun, Z. Recent progress on industrial fermentative production of acetone–butanol–ethanol by Clostridium acetobutylicum in China. Appl. Microbiol. Biotechnol. 2009, 83, 415–423. [Google Scholar] [CrossRef] [PubMed]
- Eisenacher, M.; Venschott, M.; Dylong, D.; Hoelderich, W.F.; Schütz, J.; Bonrath, W. Upgrading bio-based acetone to diacetone alcohol by aldol reaction using Amberlyst A26-OH as catalyst. React. Kinet. Catal. Lett. 2022, 135, 971–986. [Google Scholar] [CrossRef]
- Verseck, S.; Schaffer, S.; Freitag, W.; Schmidt, F.G.; Orschel, M.; Grund, G.; Schmidt, W.; Bahl, H.J.; Fischer, R.-J.; May, A.; et al. Fermentative Gewinnung von Aceton aus erneuerbaren Rohstoffen mittels neuen Stoffwechselweges. German Patent 10 2007 052 463, 7 May 2009. [Google Scholar]
- Kane, R. Ueber den Essiggeist und einige davon abgeleitete Verbindungen. J. Prakt. Chem. 1838, 15, 129–155. [Google Scholar] [CrossRef]
- Wagner, I.A. The Condensation Products of Acetone. PhD Thesis, Catholic University of America, Washington, DC, USA, 1913. [Google Scholar]
- Kerp, W. Zur Kenntniss des Kampherphorons, des Isophorons und des Mesityloxyds: [Erste Abhandlung.]. Eur. J. Org. Chem. 1896, 290, 123–152. [Google Scholar] [CrossRef]
- Kachler, J. Studien über die Verbindungen aus der Camphergruppe. Justus Liebigs Ann. Chem. 1872, 164, 75–92. [Google Scholar] [CrossRef]
- Knoevenagel, E.; Fischer, C. Synthese und Constitution des Isophorons. Eur. J. Org. Chem. 1897, 297, 185–203. [Google Scholar] [CrossRef]
- Li, Y.; Lü, J.; Jin, Z. Research progress in the synthesis of isophorone by acetone self-condensation. Chem. Ind. Eng. Prog. 2016, 35, 1190–1196. [Google Scholar] [CrossRef]
- Ueda, H.; Takeo, K.; Tsai, P.-L.; Tatsumi, C. Syntheses of Terpenes by the Condensation of Aliphatic Compounds: Part II. Self-Condensation of Mesityloxide and Structures of Isomeric Isoxylitones. Agric. Biol. Chem. 1966, 30, 1004–1014. [Google Scholar] [CrossRef]
- Bianchetti, G.; Pocar, D.; Stradi, R.; Dalla Croce, P.; Vigevani, A. Enamines. XXVI. Autocondensation products of acetone morpholinoenamine. 2-(2-Methyl-1-propenyl)-6,8,8-trimethylbicyclo[4.2.0]oct-2-en-4-one and 3,5,5,7-tetramethylcycloocta-2,7-dien-1-one. Gazz. Chim. Ital. 1967, 97, 872–884. [Google Scholar]
- Mei, J.; Chen, Z.; Yuan, S.; Mao, J.; Li, H.; Yin, H. Kinetics of Isophorone Synthesis via Self-Condensation of Supercritical Acetone. Chem. Eng. Technol. 2016, 39, 1867–1874. [Google Scholar] [CrossRef]
- Cataldo, F. Synthesis of ketonic resins from self-polymerization of acetone, 2. Action of bases on acetone and the synthesis of halogenated and diels-alder adducts. Angew. Makromol. Chem. 1996, 236, 21–33. [Google Scholar] [CrossRef]
- Sokoli, H.U.; Simonsen, M.E.; Nielsen, R.P.; Arturi, K.R.; Søgaard, E.G. Conversion of the matrix in glass fiber reinforced composites into a high heating value oil and other valuable feedstocks. Fuel Process. Technol. 2016, 149, 29–39. [Google Scholar] [CrossRef]
- Synthesis of Isophorone. Available online: https://www.chemicalbook.com/NewsInfo_3703.htm (accessed on 24 August 2022).
- Canning, A.S.; Jackson, S.D.; McLeod, E.; Vass, E.M. Aldol condensation of acetone over CsOH/SiO2: A mechanistic insight using isotopic labelling. Appl. Catal. A Gen. 2005, 289, 59–65. [Google Scholar] [CrossRef]
- Li, G.; Dong, Y.; Fan, Z.; Ma, J.; Yang, L.; Zhang, X.; Teng, Z. Kinetics model of synthesis of isophorone. Lanzhou Ligong Daxue Xuebao 2009, 35, 61–63. [Google Scholar]
- Podrebarac, G.G.; Ng, F.; Rempel, G.L. A kinetic study of the aldol condensation of acetone using an anion exchange resin catalyst. Chem. Eng. Sci. 1997, 52, 2991–3002. [Google Scholar] [CrossRef]
- Kuśtrowski, P.; Sułkowska, D.; Chmielarz, L.; Rafalska-Łasocha, A.; Dudek, B.; Dziembaj, R. Influence of thermal treatment conditions on the activity of hydrotalcite-derived Mg–Al oxides in the aldol condensation of acetone. Microporous Mesoporous Mater. 2005, 78, 11–22. [Google Scholar] [CrossRef]
- Thotla, S.; Agarwal, V.; Mahajani, S.M. Simultaneous production of diacetone alcohol and mesityl oxide from acetone using reactive distillation. Chem. Eng. Sci. 2007, 62, 5567–5574. [Google Scholar] [CrossRef]
- Darda, P.J.; Ranade, V.V. Isophorone reactor: Modelling and performance enhancement. Chem. Eng. J. 2012, 207–208, 349–367. [Google Scholar] [CrossRef]
- Huang, C.; Yang, L.; Ng, F.; Rempel, G.L. Application of catalytic distillation for the aldol condensation of acetone. Chem. Eng. Sci. 1998, 53, 3489–3499. [Google Scholar] [CrossRef]
- Bakker, R.; Hangx, G.; Kwant, G.; Maessen, H.; Markusse, P. Reaction and Catalyst Deactivation Kinetics of the Aldol Condensation of Acetone. Available online: https://www.yumpu.com/en/document/read/13734276/reaction-and-catalyst-deactivation-kinetics-of-the-cpi-research- (accessed on 1 February 2023).
- Lemcoff, N.O.; Cunningham, R.E. Kinetics of diacetone alcohol conversion to mesityl oxide catalyzed by ion exchange resin. J. Catal. 1971, 23, 81–92. [Google Scholar] [CrossRef]
- Kim, Y.K.; Hatfield, J.D. Kinetics and equilibrium data of the dehydration-hydration reaction between diacetone alcohol and mesityl oxide in phosphoric acid. J. Chem. Eng. Data 1985, 30, 149–153. [Google Scholar] [CrossRef]
- Sliepcevich, A.; Moscatelli, D.; Gelosa, S. Kinetic Study of the Polycondensation of Acetone to Produce Isophorone Adopting Alumina and Magnesia as Catalyst. Chem. Eng. Trans. 2007, 11, 605–610. [Google Scholar]
- Bertrand, J.A.; Cheung, D.; Hammerich, A.D.; House, H.O.; Reichle, W.T.; Vanderveer, D.; Zaiko, E.J. Structure of the substance C27H38O formed by the base-catalyzed self-condensation of isophorone. J. Org. Chem. 1977, 42, 1600–1607. [Google Scholar] [CrossRef]
- Mucha, S.G.; Firlej, L.; Bantignies, J.-L.; Żak, A.; Samoć, M.; Matczyszyn, K. Acetone-derived luminescent polymer dots: A facile and low-cost synthesis leads to remarkable photophysical properties. RSC Adv. 2020, 10, 38437–38445. [Google Scholar] [CrossRef]
- Kurzer, F.; Hawkes, J.E.; Cobb, J. Bicyclo[2.2.2]octane-2-spirocyclohexanes, Part 1. Production and Structure of Spirodiisophora-3′,6-dione. Z. Für Nat. B 1991, 46, 1549–1556. [Google Scholar] [CrossRef]
- Kabas, G.; Rutz, H.C. The alkali-catalysed self-condensation of isophorone. Tetrahedron 1966, 22, 1219–1226. [Google Scholar] [CrossRef]
- Franck, H.G.; Turowski, J.; Eurnlu, K.; Storch, G.; Zander, M.; Lemke, R. 3.3.6.8-Tetramethyl-tetralon-(1), ein Kondensationsprodukt des Acetons. Justus Liebigs Ann. Chem. 1969, 724, 94–101. [Google Scholar] [CrossRef]
- Knoevenagel, E.; Beer, H. Ueber die höhermolekularen Condensationsproducte des Acetons. (Saure Condensation des Acetons.). Ber. Dtsch. Chem. Ges. 1906, 39, 3457–3466. [Google Scholar] [CrossRef]
- Knoevenagel, E.; Blach, L. Ueber die höhermolekularen Condensationsproducte des Acetons (alkalische Condensation des Acetons). Ber. Dtsch. Chem. Ges. 1906, 39, 3451–3457. [Google Scholar] [CrossRef]
- Rissafi, B.; El Louzi, A.; Loupy, A.; Petit, A.; Soufiaoui, M.; Fkih Tétouani, S. Solvent-Free Synthesis of Diaryl α-Tetralones via Michael Addition under Microwave Irradiation. Eur. J. Org. Chem. 2002, 2002, 2518. [Google Scholar] [CrossRef]
- Craven, E.C.; Ward, W.R. Phorone and isomeric forms. J. Appl. Chem. 1960, 10, 18–23. [Google Scholar] [CrossRef]
- Clayden, J.; Greeves, N.; Warren, S.G. Organische Chemie, 2nd ed.; Oxford University Press: Oxford, UK, 2013. [Google Scholar]
- Faba, L.; Díaz, E.; Ordóñez, S. Base-Catalyzed Reactions in Biomass Conversion: Reaction Mechanisms and Catalyst Deactivation. In Reaction Pathways and Mechanisms in Thermocatalytic Biomass Conversion I; Green Chemistry and Sustainable Technology; Schlaf, M., Zhang, Z.C., Eds.; Springer: Singapore, 2016; pp. 87–122. [Google Scholar] [CrossRef]
- Faba, L.; Criado, Y.A.; Gallegos-Suárez, E.; Pérez-Cadenas, M.; Díaz, E.; Rodríguez-Ramos, I.; Guerrero-Ruiz, A.; Ordóñez, S. Preparation of nitrogen-containing carbon nanotubes and study of their performance as basic catalysts. Appl. Catal. A Gen. 2013, 458, 155–161. [Google Scholar] [CrossRef]
- Wu, L.; Moteki, T.; Gokhale, A.A.; Flaherty, D.W.; Toste, F.D. Production of Fuels and Chemicals from Biomass: Condensation Reactions and Beyond. Chem 2016, 1, 32–58. [Google Scholar] [CrossRef]
- Seebald, H.J.; Schunack, W. Reaktionen an Aluminiumoxiden. 1. Umsetzungen von Aceton an Alumininumoxiden. Arch. Der Pharm. 1972, 305, 406–417. [Google Scholar] [CrossRef]
- Connolly, E.E. 93. Triacetone dialcohol and its dehydration products. J. Chem. Soc. 1944, 338–339. [Google Scholar] [CrossRef]
- Leopold, R.; Schacke, B. Verfahren zur Herstellung von Phoron und Halbphoron (2 • 6-Dimethylhepten 2-ol 6-on 4). German Patent 483 823, 23 October 1929. [Google Scholar]
- Gillard, R.D.; Heaton, B.T.; Pilbrow, M.P. 4-METHYLPENT-4-EN-2-ONE (iso-MESITYL OXIDE). Org. Prep. Proced. Int. 1974, 6, 131–134. [Google Scholar] [CrossRef]
- Cabani, S.; Ceccanti, N. Equilibria and kinetics of the hydration and cyclisation of semiphorone in acidic media. J. Chem. Soc. B 1966, 77–86. [Google Scholar] [CrossRef]
- Fleischhauer, E.H. Heterogen katalysierte Aldolkondensationen für die Synthese von Duft- und Aromastoffen. PhD Thesis, RWTH Aachen, Aachen, Germany, 2011. [Google Scholar]
- Ivakhnov, A.D.; Skrebets, T.E.; Bogdanov, M.V. Dehydrocondensation of Acetone under Supercritical Conditions. Russ. J. Phys. Chem. B 2019, 13, 1125–1127. [Google Scholar] [CrossRef]
- Wang, D.; Liu, Z.; Liu, Q. One-Pot Synthesis of Methyl-Substituted Benzenes and Methyl-Substituted Naphthalenes from Acetone and Calcium Carbide. Ind. Eng. Chem. Res. 2019, 58, 6226–6234. [Google Scholar] [CrossRef]
- Roger, A.; Godfroid, J.J.; Wiemann, J. Self-condensation of mesityl oxide on magnesia under different pressures. I. Identification of the reaction products. Bull. Soc. Chim. Fr. 1967, 3030. [Google Scholar]
- Franck, H.-G.; Erünlü, R.K.; Lemke, R.; Storch, G.; Turowski, J.; Zander, M. Process for the Production of 3,3,6,8-Tetramethyl-tetralone- (1) from Isophorone Residues. German Patent 1 768 212, 16 December 1971. [Google Scholar]
- Cyrot, E. Mixed condensations of a-ethylenic aldehydes and ketones by vapor-phase heterogeneous catalysis. Synthesis of a-tetralones. Ann. Chim. (Paris) 1971, 6, 413. [Google Scholar]
- Orschel, M.; Jansen, R.; Maier, M.; Grund, G.; Schwarz, M.; Nitz, J.-J.; Hengstermann, A. Verfahren zur Herstellung von Isophoron. German Patent 10 2010 062 587, 14 June 2012. [Google Scholar]
- IARC Working Group on the Identification of Carcinogenic Hazards to Humans. In 1,1,1-Trichloroethane and Four Other Industrial Chemicals; International Agency for Research on Cancer: Lyon, France, 2022; Volume 130.
- Ballard, S.A.; Haury, V.E. Production of Isophorone. U.S. Patent 2,344,226, 14 March 1944. [Google Scholar]
- Cataldo, F. Synthesis of ketonic resins from self-polymerization of acetone, 1. Action of protic and lewis acids on acetone. Angew. Makromol. Chem. 1996, 236, 1–19. [Google Scholar] [CrossRef]
- Vaughn, T.H.; Jackson, D.R. Process for Preparing Isophorone. U.S. Patent 2,183,127, 12 December 1939. [Google Scholar]
- Di Cosimo, J.I.; Apesteguía, C.R. Study of the catalyst deactivation in the base-catalyzed oligomerization of acetone. J. Mol. Catal. A Chem. 1998, 130, 177–185. [Google Scholar] [CrossRef]
- The Global Isophorone Market is Expected to Grow by $ 2.18 bn during 2022-2026 Progressing at a CAGR of 6.05% during the Forecast Period. Available online: https://finance.yahoo.com/news/global-isophorone-market-expected-grow-122700709.html?guccounter=1&guce_referrer=aHR0cHM6Ly93d3cuZ29vZ2xlLmNvbS8&guce_referrer_sig=AQAAAFyIrTSyINEWi2V2i1BZEhPGkATucQAQ-JXnEUN3v261y-PtsVauoCON58rrt02LA20PZ0I_z4VGIQT0kec41cRl_MyG-ex5sIuD8ItfqX2Pp-SmnN8y9XNtiPiXCCebKY0xwaEpYcRZs6J12XhgkMknv-mLG6Sddjk2sLREW9yp (accessed on 26 October 2022).
- Isophorone. Available online: https://www.arkema.com/global/en/products/product-finder/product/thiochemicals/solvents/isophorone/ (accessed on 28 October 2022).
- Solvents and Intermediates Based on Isophorone. Available online: https://crosslinkers.evonik.com/en/products/vestasol (accessed on 28 October 2022).
- Baxxodur® EC 201. Available online: https://products.basf.com/global/en/ci/baxxodur-ec-201.html (accessed on 28 October 2022).
- Desmodur® I. Available online: https://solutions.covestro.com/de/products/desmodur/desmodur-i_00480770-12978368?SelectedCountry=US (accessed on 28 October 2022).
- Evonik Celebrates 50 Years of Producing Isophorone Chemicals for Paint and Coatings Market. Available online: https://www.coatingsworld.com/issues/2013-01/view_suppliers-news/evonik-celebrates-50-years-of-producing-isophorone/ (accessed on 28 September 2022).
- Isophorone Market: Isophorone Market: Global Industry Analysis, Size, Share, Growth, Trends, and Forecast, 2020–2030. Available online: https://www.transparencymarketresearch.com/isophorone-market.html (accessed on 19 December 2022).
- Mao, L.; Li, Q.; Yin, D. The Liquid Phase Condensation of Acetone to Isophorone by One Step. Acta Sci. Nat. Univ. Norm. Hunanensis 2000, 23, 67–71. [Google Scholar]
- Hwang, Y.-L.; Bedard, T.C. Ketones. In Kirk-Othmer Encyclopedia of Chemical Technology; John Wiley & Sons: Hoboken, NJ, USA, 2000. [Google Scholar] [CrossRef]
- Nitz, J.-J.; Kohlstruk, S.; Jansen, R.; Orschel, M.; Merkel, A.; Demming, M.; Mendorf, M.; Doering, J.; Hengstermann, A.; Hoff, A.; et al. Hydrolyse der bei der Produktion von Isophoron anfallenden Rückstände zur Rückgewinnung von Isophoron und Acetonproduction. German Patent 10 2013 215 874, 12 February 2015. [Google Scholar]
- Schmitt, K.; Disteldorf, J.; Baron, W. Verfahren zur Aufarbeitung von Nebenprodukten der Isophoronherstellung. German Patent 1 205 525, 21 November 1965. [Google Scholar]
- Ballard, S.A.; Haury, V.E. Hydrolysis of Acetone Autocondensation Products. U.S. Patent 2,419,051, 15 April 1947. [Google Scholar]
- Winkler, D.L.E.; Raab, W.J.; Ballard, S.A. Hydrolysis of Acetone Condensation Products. U.S. Patent 2,434,631, 13 January 1948. [Google Scholar]
- Societe Industrielle des Derives de L’acetylenene. Isophorone and Its Homologues. UK Patent 733,650, 13 July 1955.
- Cane, C.; Yeomans, B. Verfahren zur Herstellung von Isophoron. German Patent 26 45 281, 21 April 1977. [Google Scholar]
- Chen, Z.; Li, H.; Mao, J.; Yin, H.; Hu, B. Method of Hydrolysis of Acetone Polymer in Supercritical Water Medium. Chinese Patent 103145541, 4 February 2015. [Google Scholar]
- Cook, J.B. Industrial application of reduce-reuse-recycle strategies in the production of isophorone. Master’s Thesis, University of South Alabama, Mobile, AL, USA, 2007. [Google Scholar]
- Cane, C.; Yeomans, B. Process for the Production of Isophorone. U.S. Patent 4,059,632, 22 November 1977. [Google Scholar]
- Fewlass, M.W. Purification of Isophorone. UK Patent 833,099, 21 April 1960. [Google Scholar]
- Craven, E.C.; Fewlass, M.W. Purification of Isophorone. UK Patent 832,124, 6 April 1960. [Google Scholar]
- Dannenberg, H. Stabilization of Unsaturated Ketones. U.S. Patent 2,566,792, 4 September 1951. [Google Scholar]
- Dannenberg, H. Stabilization of Unsaturated Ketones. U.S. Patent 2,444,006, 22 June 1948. [Google Scholar]
- Bailey, H.C.; Bartlett, J.S. Isophorone Compositions with Long Storage Life. UK Patent 2 029 415, 19 March 1980. [Google Scholar]
- Papa, A.J. Low Color Refined Isophorone. U.S. Patent 4,434,301, 28 February 1984. [Google Scholar]
- Cheminal, B.; Kiener, P. Colorless and Stable Isophorone. U.S. Patent 4,248,673, 3 February 1981. [Google Scholar]
- Jia, T.; Zhang, J.; Liu, Z. Preparation and property of Y-Mg-Al-layered double oxides. Adv. Mater. Res. 2012, 396-398, 764–767. [Google Scholar] [CrossRef]
- Li, Y.; Jin, Z.; Lv, J. Isophorone Catalyst. Chinese Patent 106423125, 20 November 2018. [Google Scholar]
- Liu, Y.; Sun, K.; Ma, H.; Xu, X.; Wang, X. Cr, Zr-incorporated hydrotalcites and their application in the synthesis of isophorone. Catal. Commun. 2010, 11, 880–883. [Google Scholar] [CrossRef]
- Faba, L.; Díaz, E.; Ordóñez, S. Gas phase acetone self-condensation over unsupported and supported Mg–Zr mixed-oxides catalysts. Appl. Catal. B Environ. 2013, 142–143, 387–395. [Google Scholar] [CrossRef]
- Bagabas, A.A.; Mokhtar, M.; Akhmedov, V.M.; Narasimharao, K.; Basahel, S.N.; Al-Rabiah, A. Ru–C–ZnO Composite Catalysts for the Synthesis of Methyl Isobutyl Ketone via Single Step Gas Phase Acetone Self-Condensation. Catal. Lett. 2014, 144, 1278–1288. [Google Scholar] [CrossRef]
- Li, K.; Chen, X.; Zhou, W.; Ma, Z.; Li, Z.; Zhao, Y.; Hou, L.; Wang, H.; Jiang, H. Heterogeneous Catalytic Method for Synthesis of Isophorone from Acetone. Chinese Patent 101875602, 24 April 2013. [Google Scholar]
- Wu, Y.; Tan, J.; Liang, D.; Liu, J. Isophorone prepared with acetone by catalysis of composite oxide solid alkali. Petrochem. Technol. 2012, 19, 7–11. [Google Scholar]
- Zhang, X.L. Research on Solid-base Catalysts for Synthesis Isophorone. Master’s Thesis, China University of Petroleum, Beijing, China, 2009. [Google Scholar]
- Chen, F. Preparation of Isophorone by Condensation of Acetone Catalyzed by Magnesium-Aluminum Composite Oxide. Ph.D. Thesis, Dalian University of Technology, Dalian, China, 2014. [Google Scholar]
- Liu, Z.; Li, H. Catalyst for Preparing Isophorone by Acetone Condensation Method. Chinese Patent 101698147, 25 January 2012. [Google Scholar]
- Kane, S.M.; Timonen, R.S.; Leu, M.-T. Heterogeneous Chemistry of Acetone in Sulfuric Acid Solutions: Implications for the Upper Troposphere. J. Phys. Chem. A 1999, 103, 9259–9265. [Google Scholar] [CrossRef]
- Taco-Vasquez, S. Transformation of Acetone and Isopropanol to Hydrocarbons using HZSM-5 Catalyst. Master’s Thesis, Texas A&M University, College Station, TX, USA, 2009. [Google Scholar]
- Faba, L.; Gancedo, J.; Quesada, J.; Diaz, E.; Ordóñez, S. One-Pot Conversion of Acetone into Mesitylene over Combinations of Acid and Basic Catalysts. ACS Catal. 2021, 11, 11650–11662. [Google Scholar] [CrossRef]
- Jahn, U. Mesitylen. Available online: https://roempp.thieme.de/lexicon/RD-13-01361 (accessed on 1 November 2022).
- Quesada, J.; Faba, L.; Díaz, E.; Ordóñez, S. Effect of catalyst morphology and hydrogen co-feeding on the acid-catalysed transformation of acetone into mesitylene. Catal. Sci. Technol. 2020, 10, 1356–1367. [Google Scholar] [CrossRef]
- Reif, P.; Rosenthal, H.; Rose, M. Biomass-Derived Aromatics by Solid Acid-Catalyzed Aldol Condensation of Alkyl Methyl Ketones. Adv. Sustain. Syst. 2020, 4, 1900150. [Google Scholar] [CrossRef]
- Kawai, W. Polymerization of Acetone. BCSJ 1962, 35, 516. [Google Scholar] [CrossRef]
- Ramanamurty, K.V.; Salvapati, G.S. Catalytic Cyclocondensation of acetone to isophorone. Indian J. Chem. Sect. B Org. Med. Chem. 1999, 38, 24–28. [Google Scholar]
- Orschel, M.; Grund, G.; Schneider, R. Verfahren zur Elektrochemischen Herstellung von Isophoron. German Patent 10 2010 029 272, 1 December 2011. [Google Scholar]
- Ballard, S.A.; Haury, V.E. Production of Isophorone and Related Products. U.S. Patent 2,399,976, 7 May 1946. [Google Scholar]
- Walton, J.R.; Yeomans, B. Isophorone Production Using a Potassium Hydroxide Catalyst. U.S. Patent 3,981,918, 21 September 1976. [Google Scholar]
- Chen, Z.; Li, H.; Lin, H.; Xu, Y.; Wang, C. Method for Preparing Alpha-Isophorone. Chinese Patent 101633610, 17 October 2012. [Google Scholar]
- He, Y.; Yuan, M.; Li, H.; Ding, J.; Li, Y.; Du, Y.; Luo, W.; Zhao, W.; Zhang, Z.; Yu, X. Method for Preparing Isophorone by Acetone Liquid Condensation with Alkali Catalyst. Chinese Patent 102516051, 1 January 2014. [Google Scholar]
- Zhou, Z.; Xu, J.; Fei, A.; Tan, C.; Huang, Z.; Xiao, S.; Yan, Y.N. A Kind of Preparation Method of the Isophorone Using Organic imidazoles System Quaternary Ammonium Strong Base Catalyst. Chinese Patent 106892807, 3 May 2019. [Google Scholar]
- Zhou, Z.; Xu, J.; Fei, A.; Tan, C.; Huang, Z.; Xiao, S.; Yan, Y.N. A Kind of Preparation Method of the Isophorone Using Organic Methenamine System Quaternary Ammonium Strong Base Catalyst. Chinese Patent 106831377, 3 May 2019. [Google Scholar]
- Zhou, Z.; Xu, J.; Fei, A.; Tan, C.; Huang, Z.; Xiao, S.; Yan, Y.N. A Kind of Preparation Method of the Isophorone Using Organic Pyridine System Quaternary Ammonium Strong Base Catalyst. Chinese Patent 106905128, 3 May 2019. [Google Scholar]
- Li, Y.; Meng, H.; Lu, Y.; Li, C. Efficient Catalysis of Calcium Carbide for the Synthesis of Isophorone from Acetone. Ind. Eng. Chem. Res. 2016, 55, 5257–5262. [Google Scholar] [CrossRef]
- Nanjing Kaixuan Chemical Technology Co., Ltd., China. Preparation Method of Isophorone. Chinese Patent 112239400, 19 January 2021. [Google Scholar]
- Qiao, S.; Zhang, Y.; Mao, J.; Yan, H.; Pan, H. Preparation Method of Alpha-Isophorone. Chinese Patent 110885286, 20 May 2022. [Google Scholar]
- Teissier, R.; Kervennal, J. Process for Obtaining Isophorone. U.S. Patent 5,849,957, 15 December 1998. [Google Scholar]
- Xu, X.; Meng, H.; Lu, Y.; Li, C. Aldol condensation of refluxing acetone on CaC2 achieves efficient coproduction of diacetone alcohol, mesityl oxide and isophorone. RSC Adv. 2018, 8, 30610–30615. [Google Scholar] [CrossRef]
- Rodygin, K.S.; Vikenteva, Y.A.; Ananikov, V.P. Calcium-Based Sustainable Chemical Technologies for Total Carbon Recycling. ChemSusChem 2019, 12, 1483–1516. [Google Scholar] [CrossRef] [PubMed]
- McAllister, S.H.; Bailey, W.A. Separation of by-Products from Isophorone. U.S. Patent 2,351,352, 13 June 1944. [Google Scholar]
- Schmitt, K.; Disteldorf, J.; Baron, W. Verfahren zur Gewinnung von Reinisophoron. German Patent 1 144 269, 28 February 1963. [Google Scholar]
- Schmitt, K.; Disteldorf, J.; Baron, W. Verfahren und Vorrichtung zur Herstellung von Reinem Isophoron. German Patent 1 165 018, 12 March 1964. [Google Scholar]
- Yoshida, Y. Production of Isophorone. Japanese Patent 8-245486, 24 September 1996. [Google Scholar]
- Yoshida, Y. Production of Isophorone. Japanese Patent 8-245485, 24 September 1996. [Google Scholar]
- Orschel, M.; Jansen, R.; Maier, M.; Nitz, J.-J. Verfahren zur Herstellung von Isophoron in Gegenwart Mindestens Eines Entschäumers in der Abwasserkolonne im Aufarbeitungsteil. German Patent 10 2011 075 777, 15 November 2012. [Google Scholar]
- Fukada, I.; Matsuba, K. Production of Acetone Dehydrocondensate. Japanese Patent 9-59204, 4 March 1997. [Google Scholar]
- Fukada, I.; Matsuba, K. Production of Acetone Dehydrative Condensation Product. Japanese Patent 9-151153, 10 June 1997. [Google Scholar]
- Fukada, I.; Matsuba, K. Production of Isophorone. Japanese Patent 9-157208, 17 June 1997. [Google Scholar]
- Fukada, I.; Matsuba, K. Production of Isophorone. Japanese Patent 9-157207, 17 June 1997. [Google Scholar]
- Fukada, I.; Matsuba, K. Production of Acetone Dehydrative Condensation Product. Japanese Patent 9-151152, 10 June 1997. [Google Scholar]
- Fukada, I.; Matsuba, K. Production of Isophorone. Japanese Patent 9-169687, 30 June 1997. [Google Scholar]
- Fukada, I.; Matsuba, K. Production of Isophorone. Japanese Patent 9-169688, 30 June 1997. [Google Scholar]
- Song, C.; Tain, B.; Tang, G.; Xiang, L. Composite oxide and preparation method and application thereof. Chinese Patent 114425318, 3 May 2022. [Google Scholar]
- Schutz, A.A.; Cullo, L.A. Method of Making Isophorne. U.S. Patent 5,202,496, 13 April 1993. [Google Scholar]
- Sun, L.; Hou, Y.; Chai, Y.; Wang, F.; Liu, C. Equipment and Method for Preparing Isophorone by Acetone Gas Phase Condensation. Chinese Patent 107573227, 17 October 2017. [Google Scholar]
- Zhao, J.; Zhang, Y.; Li, C. Method for Preparing Catalyst Used in Synthesizing Isophorone through Acetone Multiphase Method. Chinese Patent 102258994, 20 June 2012. [Google Scholar]
- León, M.; Faba, L.; Díaz, E.; Bennici, S.; Vega, A.; Ordóñez, S.; Auroux, A. Consequences of MgO activation procedures on its catalytic performance for acetone self-condensation. Appl. Catal. B Environ. 2014, 147, 796–804. [Google Scholar] [CrossRef]
- Ordóñez, S.; Díaz, E.; León, M.; Faba, L. Hydrotalcite-derived mixed oxides as catalysts for different C–C bond formation reactions from bioorganic materials. Catal. Today 2011, 167, 71–76. [Google Scholar] [CrossRef]
- Kelkar, C.; Schutz, A. Efficient hydrotalcite-based catalyst for acetone condensation to α-isophorone—Scale up aspects and process development. Appl. Clay Sci. 1998, 13, 417–432. [Google Scholar] [CrossRef]
- Gao, P. Study on Catalyst and Technology for Synthesis of Isophorone from Acetone in Gas-Solid Multiphase Process. Master’s Thesis, China University of Petroleum, Beijing, China, 2008. [Google Scholar]
- Ma, C.-X.; Liu, G.; Zhu, W.-C.; Wang, L.-X.; Li, Y.-F.; Zhang, W.-X.; Jia, M.-J. Gas-phase Aldol Condensation of Acetone over Mg-Al Oxides Prepared by Co-precipitation Methods. Chem. J. Chin. Univ. 2009, 30, 2429–2433. [Google Scholar]
- Liu, Z.; Liu, Y.; Lu, B. Hydrotalcite synthesis and the effect on acetone catalytic condensation to isophorone. J. Guangzhou Univ. Nat. Sci. Ed. 2011, 4, 14–19. [Google Scholar] [CrossRef]
- Zhang, J.J.; Liu, Z.L.; Qin, Z.Z.; Liu, Y.; Wang, Q.Y.; Zou, H.B.; Chen, S.Z.; Liang, H. Preparation of MgAlY-LDO Solid Base Catalysts and their Catalytic Performance on the Synthesis of Isophorone via Acetone Condensation. AMR 2012, 550–553, 424–428. [Google Scholar] [CrossRef]
- Krivtsov, I.; Faba, L.; Díaz, E.; Ordóñez, S.; Avdin, V.; Khainakov, S.; Garcia, J.R. A new peroxo-route for the synthesis of Mg–Zr mixed oxides catalysts: Application in the gas phase acetone self-condensation. Appl. Catal. A Gen. 2014, 477, 26–33. [Google Scholar] [CrossRef]
- Manríquez, M.E.; Hernández-Cortez, J.G.; Wang, J.A.; Chen, L.F.; Zuñiga-Moreno, A.; Gómez, R. Synthesis of transition metal doped lamellar double hydroxides as base catalysts for acetone aldol condensation. Appl. Clay Sci. 2015, 118, 188–194. [Google Scholar] [CrossRef]
- Ma, L.; Jiang, B.; Ren, H. Synthesis of Isophorone from Acetone over CsX Molecular Sieves. Chem. Ind. Eng. 2018, 35, 12–18. [Google Scholar]
- Stevens, M.G.; Chen, D.; Foley, H.C. Oxidized caesium/nanoporous carbon materials: Solid-base catalysts with highly-dispersed active sites. Chem. Commun. 1999, 275–276. [Google Scholar] [CrossRef]
- Zamora, M.; López, T.; Gómez, R.; Asomoza, M.; Melendrez, R. Oligomerization of acetone over titania-doped catalysts (Li, Na, K and Cs): Effect of the alkaline metal in activity and selectivity. Catal. Today 2005, 107–108, 289–293. [Google Scholar] [CrossRef]
- Thomas, L.; Tanner, R.; Gill, P.; Wells, R.; Bailie, J.E.; Kelly, G.; Jackson, S.D.; Hutchings, G. Aldol condensation reactions of acetone over alkali-modified vanadium phosphate catalysts. Phys. Chem. Chem. Phys. 2002, 4, 4555–4560. [Google Scholar] [CrossRef]
- Qian, X.; Qian, J.; Cui, Y.; Chen, J. Method for Preparing Isophorone at Normal Pressure. Chinese Patent 102633612, 25 June 2014. [Google Scholar]
- Wang, Y.-H.; Wang, G.-J.; Xiao, J.-H.; Ma, J. The Condensation of Acetone over Solid Base Catalyst. Chem. J. Chin. Univ. 1993, 14, 1448. [Google Scholar]
- Al-Ghamdi, K. An investigation of Heterogeneous Base Catalysed Acetone Conversion. Ph.D. Thesis, University of Glasgow, Glasgow, UK, 2011. [Google Scholar]
- Crossley, A.W.; Gilling, C. Preparation of Trimethylcyclohexenone (Isophorone) from Ethyl Malonate and Chlorodimethylcyclohexenone. Proc. Chem. Soc. London 1910, 25, 96. [Google Scholar]
- Crossley, A.W.; Gilling, C. IV.—Hydroaromatic ketones. Part I. Synthesis of trimethylcyclohexenone (isophorone) and some homologues. J. Chem. Soc. Trans. 1909, 95, 19–29. [Google Scholar] [CrossRef]
- Flego, C.; Perego, C. Acetone condensation as a model reaction for the catalytic behavior of acidic molecular sieves: A UV–Vis study. Appl. Catal. A Gen. 2000, 192, 317–329. [Google Scholar] [CrossRef]
- Kozlowski, J.T. Carbon-Carbon Bond Forming Reactions over Metal Oxide Catalysts. PhD Thesis, University of Virginia, Charlottesville, VA, USA, 2013. [Google Scholar]
- Kuśtrowski, P.; Sułkowska, D.; Pytlowany, R.; Dziembaj, R. Kinetics of self-condensation of acetone over heterogeneous Ba(OH)2 and Sr(OH)2 catalysts. React. Kinet. Catal. Lett. 2004, 81, 3–11. [Google Scholar] [CrossRef]
- Liu, R. Study of Acetone Condensation to Isophorone over Solid Catalyst. Master’s Thesis, Hebei University of Technology, Shijiazhuang, China, 2008. [Google Scholar]
- Lu, J. Condensation process and kinetic characteristics of acetone in magnesia-alumina catalyst. Shihua Jishu Yu Yingyong 2002, 20, 15–18. [Google Scholar]
- Orel, V.B.; Vitkovskaya, N.M.; Bobkov, A.S.; Semenova, N.V.; Schmidt, E.Y.; Trofimov, B.A. Aldol Condensation Versus Superbase-Catalyzed Addition of Ketones to Acetylenes: A Quantum-Chemical and Experimental Study. J. Org. Chem. 2021, 86, 7439–7449. [Google Scholar] [CrossRef]
- Peng, W.; Li, J.; Chen, B.; Wang, N.; Luo, G.; Wei, F. Mesoporous MgO synthesized by a homogeneous-hydrothermal method and its catalytic performance on gas-phase acetone condensation at low temperatures. Catal. Commun. 2016, 74, 39–42. [Google Scholar] [CrossRef]
- Shylesh, S.; Kim, D.; Gokhale, A.A.; Canlas, C.G.; Struppe, J.O.; Ho, C.R.; Jadhav, D.; Yeh, A.; Bell, A.T. Effects of Composition and Structure of Mg/Al Oxides on Their Activity and Selectivity for the Condensation of Methyl Ketones. Ind. Eng. Chem. Res. 2016, 55, 10635–10644. [Google Scholar] [CrossRef]
- Veshchitsky, G.A.; Smirnov, A.V.; Mashchenko, N.V.; Koklin, A.E.; Bogdan, V.I. Self-Condensation of Acetone of Strontium Stannate under Supercritical Conditions. Russ. J. Phys. Chem. B 2021, 15, 1299–1302. [Google Scholar] [CrossRef]
- Diez, V.; Apesteguia, C.; Di Cosimo, J. Effect of the acid-base properties of Mg-Al mixed oxides on the catalyst deactivation during aldol condensation reactions. Lat. Am. Appl. Res. 2003, 33, 79–86. [Google Scholar]
- Kuśtrowski, P.; Sułkowska, D.; Chmielarz, L.; Cap, S. Production of isophorone by the vapour-phase self-condensation of acetone over the hydrotalcite-derived catalysts. Pol. J. Chem. Technol. 2004, 6, 41–46. [Google Scholar]
- Liang, D. Study on Solid Bases: Synthesis and Their Catalytic Performance to Isoporone. Master’s Thesis, Dalian University of Technology, Dalian, China, 2011. [Google Scholar]
- Yuan, L. Synthesis of isophoroneon acid-base bifunctional catalysts by machine mixing method. Chem. Ind. Eng. Prog. 2015, 34, 3060–3064. [Google Scholar]
- Zamora, M.; López, T.; Gómez, R.; Asomoza, M.; Meléndrez, R. Acetone gas phase condensation on alkaline metals doped TiO2 sol–gel catalysts. Appl. Surf. Sci. 2005, 252, 828–832. [Google Scholar] [CrossRef]
- Bruson, H.A. Preparation of Isophorones. U.S. Patent 2,148,103, 21 February 1939. [Google Scholar]
- Grebinoski, M.C.; Glassman, D.; Elias, C.L.; Schutz, A.A. Isophorone process. U.S. Patent 5,352, 839, 4 October 1994. [Google Scholar]
- He, Y.; Tian, B.; Yun, M.; Bian, L.; Dong, L.; Zhou, R.; Sun, Q.; Shi, D.; Liu, Z. Method and Chemical Apparatus for Preparing Isophorone from Acetone. Chinese Patent 112441896, 5 March 2021. [Google Scholar]
- He, Y.; Li, Y.; Tian, B.; Bian, L.L.; Zhou, R.; Guan, M.; Li, J.; Sun, Y. Method for Preparing Isophorone by Using Plug Flow Rectification Column Plate and Acetone Liquid Phase Condensation. Chinese Patent 110038317, 10 April 2020. [Google Scholar]
- Jianming, C.; Cui, Y.; Yao, Z.; Zhu, H.; Yan, Y.; Jianjun, Z. Preparation Method of Isophorone. Chinese Patent 103467263, 17 June 2015. [Google Scholar]
- Papa, A.J.; Kaiser, S.W. Preparation of Isophorone and Mesityl Oxide from Acetone. U.S. Patent 4,535,187, 13 August 1985. [Google Scholar]
- Park, J.W.; Row, K.; Park, J.W. Molded Catalyst from Catalyst Power and Binder for Producing Cyclic Ketone. Korean Patent 10-2022-055782, 4 May 2022. [Google Scholar]
- Xue, Y.; Qiao, X.; Post, M.; Jia, Z.; Li, J.; Sun, Y.; Jia, H. Preparation Method and Device of Isophorone. Chinese Patent 110903180, 8 November 2022. [Google Scholar]
- Yoshihiko, H.; Katsuhiko, H. Production of Dimer and/or Trimer OF Acetone. Japanese Patent 1-175952, 12 July 1989. [Google Scholar]
- Zhang, J. Catalyst for Synthesizing Isophorone. Chinese Patent 103691416, 2 April 2014. [Google Scholar]
Disclaimer/Publisher’s Note: The statements, opinions and data contained in all publications are solely those of the individual author(s) and contributor(s) and not of MDPI and/or the editor(s). MDPI and/or the editor(s) disclaim responsibility for any injury to people or property resulting from any ideas, methods, instructions or products referred to in the content. |
© 2023 by the authors. Licensee MDPI, Basel, Switzerland. This article is an open access article distributed under the terms and conditions of the Creative Commons Attribution (CC BY) license (https://creativecommons.org/licenses/by/4.0/).








