Moody Revisited: Least-Squares Solutions of the Union Jack Surface Plate Measurement Method
Abstract
1. Introduction
2. Measurement Configuration and Basic Evaluation
3. Measurement Evaluation
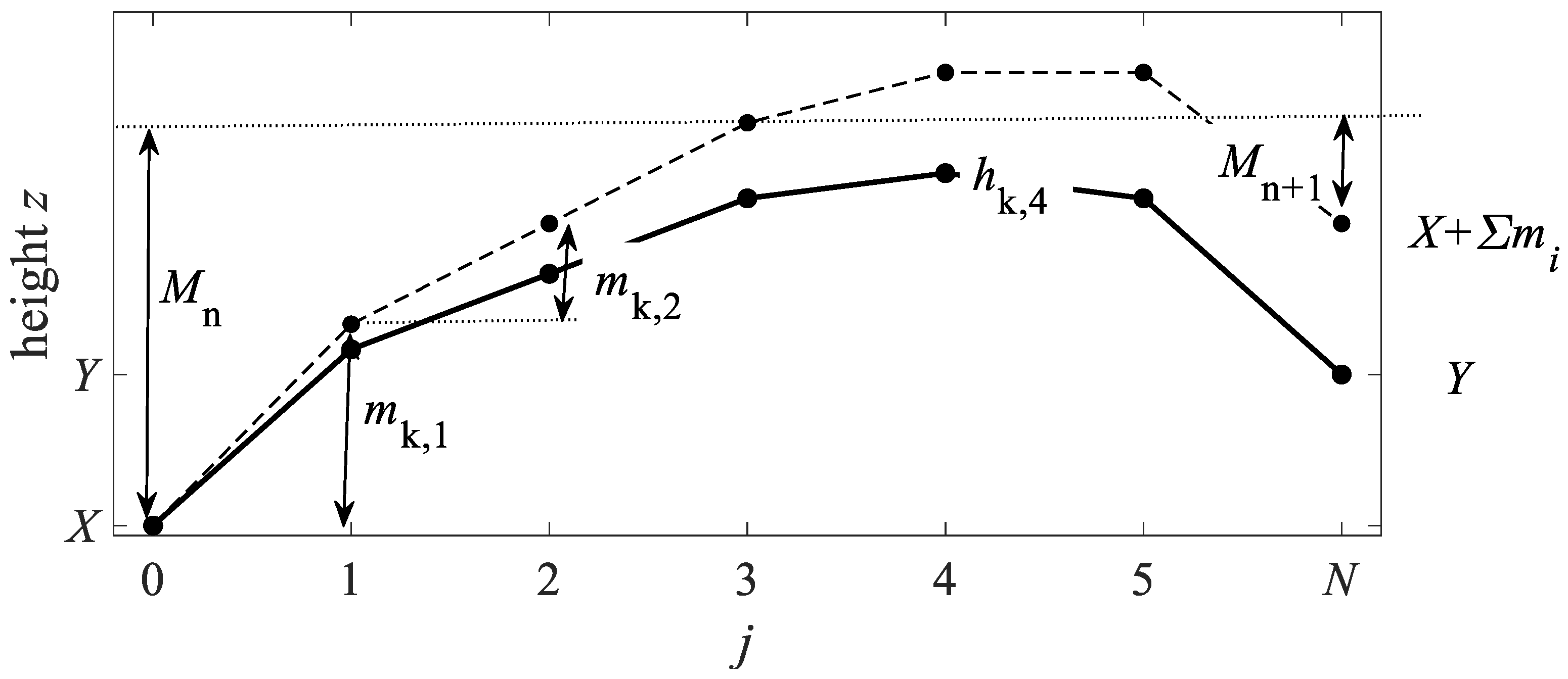
3.1. Evaluation According to Moody
- The diagonals A-H and G-C are evaluated using Equation (2), giving A, C, G and H and all other points on the lines.
- The perimeter lines A-C, C-H, A-G and G-H are evaluated using Equation (1), giving B, D, E and F and all other points on the line.
- The inner lines L7 (between B and E) and L8 (between D and F) are evaluated using Equation (1) giving all points on the line including additional values for I that are called the closure errors.
- The height of the lowest point is subtracted from all measured points, and the surface is plotted using these values. The height of the highest point is the flatness deviation FLTt(EDPL).
3.2. Least-Squares Evaluation Based on Straightness Measurements
3.3. Least-Squares Evaluation Based on Lines Having a Common Reference
4. Reference Plane Definition
5. Monte Carlo Simulations
- The measurements are evaluated according to one of the methods given in Section 3.1, Section 3.2 and Section 3.3, giving the heights hi,j that are used as a reference in the simulations.
- The flatness deviation FLTt is evaluated for both the diagonal endpoints reference, giving FLTt(EDPL), and the minimum zone plane, giving FLTt(MZPL). These values are taken as a reference in the simulations.
- The measurement uncertainty u(m) is estimated from the measurements using the appropriate method given in Section 3.1, Section 3.2 and Section 3.3. It may be adjusted for unrealistic values or for research purposes.
- A set of simulated measurements mij is generated using the calculated values of hij and u(m) as following:
- 5.
- The simulated measurements are evaluated and the flatness deviations FLTt(EDPL) and FLTt(MZPL) are noted.
- 6.
- Steps 4 and 5 are repeated some thousand times where the deviation of the mean simulated flatness deviation from the reference is noted as the bias and the standard deviation in the flatness value of the simulated measurements is noted as the standard deviation. This bias is noted as it is recognized that non-repeatable measurements tend to give higher rather than lower form deviation values [14].
6. Measurement Example
7. Traceability and Uncertainty Considerations
8. Conclusions
Funding
Data Availability Statement
Conflicts of Interest
References
- Haitjema, H.; Leach, R. Dimensional Metrology, 1st ed.; CRC Press: Boca Raton, FL, USA, 2025; pp. 191–195. [Google Scholar]
- Meijer, J. Accuracy of Surface Plate Measurements—General Purpose Software for Flatness Measurement. Ann. CIRP 1990, 39, 545–548. [Google Scholar] [CrossRef]
- Moody, J.C. How to calibrate surface plates in the plant. Tool Eng. 1955, 1955, 15–21. [Google Scholar]
- Hume, K.J. Engineering Metrology, 1st ed.; McDonald: London, UK, 1955. [Google Scholar]
- American Society of Mechanical Engineers. Document ASME B89.3.7-2013. In Granite Surface Plates; American Society of Mechanical Engineers: New York, NY, USA, 2013. [Google Scholar]
- Birch, K.G.; Cox, M.G. Calculation of the Flatness of Surfaces: A Least-Squares Approach; MOM report 5; NPL: Teddington, UK, 1973. [Google Scholar]
- Haitjema, H.; Meijer, J. Evaluation of surface plate flatness measurements. Eur. J. Mech. Eng. 1993, 38, 165–172. [Google Scholar]
- Gusel, A.; Ačko, B.; Mudronja, V. Measurement Uncertainty in Calibration of Measurement Surface Plate Flatness. Stroj. Vestn. J. Mech. Eng. 2009, 55, 286–292. [Google Scholar]
- Drescher, J. Analytical estimation of measurement uncertainty in surface plate calibration by the Moody method using differential levels. Prec. Eng. 2003, 27, 323–332. [Google Scholar] [CrossRef]
- Zahwi, S.Z.; Amer, M.A.; Abdou, M.A.; Elmelegy, A.M. On the calibration of surface plates. Measurement 2013, 46, 1019–1028. [Google Scholar] [CrossRef]
- Espinoza, O.C.; Diaz, P.J.; Baca, M.C.; Allison, B.B.; Shilling, M. Comparison of Calibration Methods for a Surface Plate. In 2008 NCSL International Workshop and Symposium; SAND2008-2571C; NCSL International: Boulder, CO, USA, 2008. [Google Scholar]
- Garzon, D.; Galvis, J.; Plazas, D.; Gil, V.H.; Almanza, O. Development and Validation of an Affordable Calibration Method for Surface Plates. Inginiera Investig. 2024, 44, 106659. [Google Scholar] [CrossRef]
- Muralikrishnan, B.; Raja, J. Computational Surface and Roundness Metrology, 1st ed.; Springer: London, UK, 2009; pp. 157–159. [Google Scholar]
- Haitjema, H. Uncertainty propagation in surface plate measurements. In Proceedings of the 4th International Symposium on Dimensional Metrology in Production and Quality control (ISMQC), Tampere, Finland, 22–25 June 1992. [Google Scholar]
- Geckeler, R.D.; Křen, P.; Just, A.; Schumann, M.; Krause, M.; Lacey, I.; Yashchuk, V.V. Environmental influences on autocollimator-based angle and form metrology. Rev. Sci. Instrum. 2019, 90, 021705. [Google Scholar] [CrossRef]




| Bias and Standard Deviation in µm u(m) = 1 µm | Classical Moody Evaluation (Section 3.1) | Least Squares Moody Evaluation (Section 3.2) | Least Squares Level Evaluation (Section 3.3) |
|---|---|---|---|
| 2 × 2, FLTt(EDPL) | 1.99 ± 0.59 | 1.59 ± 0.54 | 1.37 ± 0.46 |
| 2 × 2, FLTt(MZPL) | 1.77 ± 0.56 | 1.34 ± 0.47 | 1.11 ± 0.36 |
| 8 × 6, FLTt(EDPL) | 5.59 ± 1.08 | 5.08 ± 1.00 | 4.77 ± 0.87 |
| 8 × 6, FLTt(MZPL) | 4.89 ± 0.97 | 4.43 ± 0.87 | 4.15 ± 0.70 |
| Results in µm | Classical Moody Evaluation (Section 3.1) | Least Squares Moody Evaluation (Section 3.2) | Least Squares Level Evaluation (Section 3.3) |
|---|---|---|---|
| FLTt(EDPL) | 3.50 | 3.46 | 3.26 |
| FLTt(MZPL) | 3.20 | 3.18 | 2.98 |
| u(m) | 0.15 | 0.15 | 0.21 |
| Monte Carlo results; bias and standard deviation for u(m) = 0.21 µm | |||
| FLTt(EDPL) | 0.23 ± 0.36 | 0.08 ± 0.34 | 0.08 ± 0.30 |
| FLTt(MZPL) | 0.24 ± 0.31 | 0.08 ± 0.26 | 0.09 ± 0.24 |
Disclaimer/Publisher’s Note: The statements, opinions and data contained in all publications are solely those of the individual author(s) and contributor(s) and not of MDPI and/or the editor(s). MDPI and/or the editor(s) disclaim responsibility for any injury to people or property resulting from any ideas, methods, instructions or products referred to in the content. |
© 2026 by the author. Licensee MDPI, Basel, Switzerland. This article is an open access article distributed under the terms and conditions of the Creative Commons Attribution (CC BY) license.
Share and Cite
Haitjema, H. Moody Revisited: Least-Squares Solutions of the Union Jack Surface Plate Measurement Method. Metrology 2026, 6, 27. https://doi.org/10.3390/metrology6020027
Haitjema H. Moody Revisited: Least-Squares Solutions of the Union Jack Surface Plate Measurement Method. Metrology. 2026; 6(2):27. https://doi.org/10.3390/metrology6020027
Chicago/Turabian StyleHaitjema, Han. 2026. "Moody Revisited: Least-Squares Solutions of the Union Jack Surface Plate Measurement Method" Metrology 6, no. 2: 27. https://doi.org/10.3390/metrology6020027
APA StyleHaitjema, H. (2026). Moody Revisited: Least-Squares Solutions of the Union Jack Surface Plate Measurement Method. Metrology, 6(2), 27. https://doi.org/10.3390/metrology6020027
