Forecast of Omicron Wave Time Evolution
Abstract
:1. Introduction
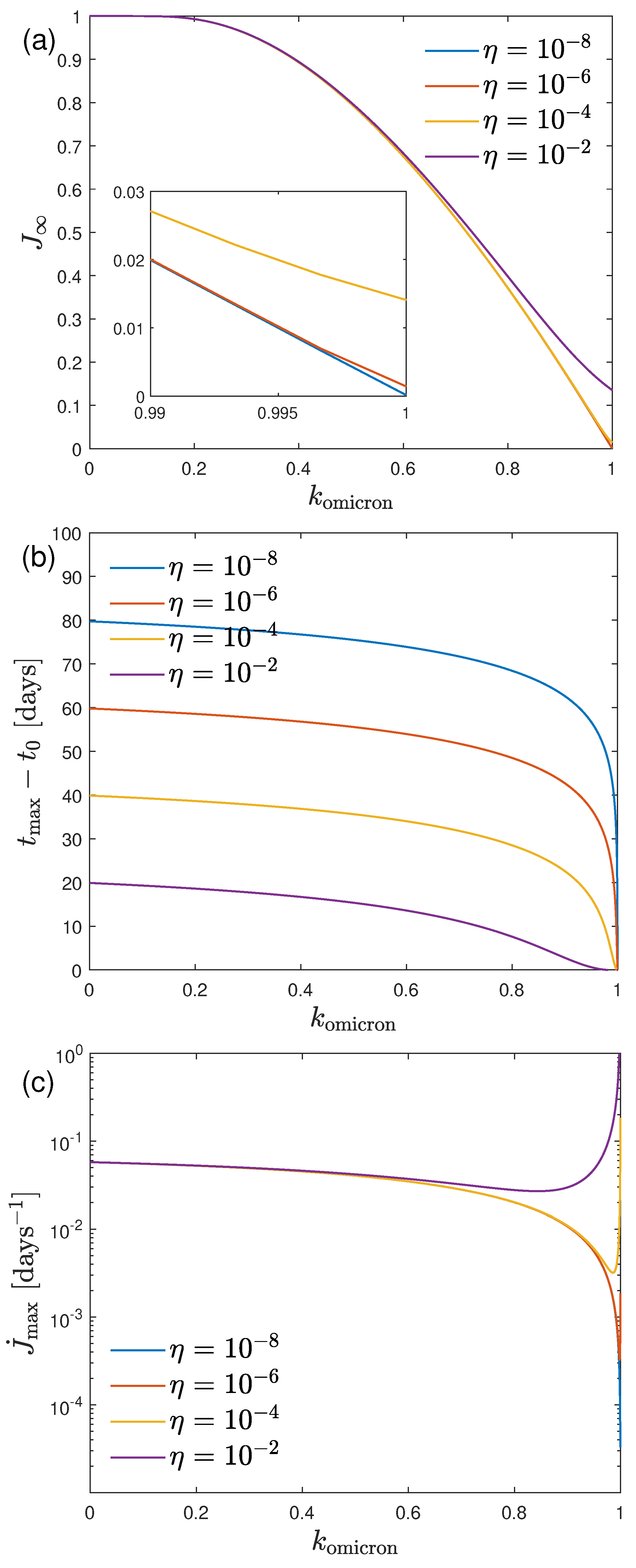
2. Results from the SIR-Model
2.1. Exact Results
2.2. Approximate Results
3. Consequences of Early 3-Day Doubling Time
4. Omicron Forecast in Individual Countries
- (1)
- the optimistic case with so that the increase in the ratio r is solely due to the increase in the stationary infection rateAs noted earlier the larger the value of the smaller the total cumulative number of infections and the maximum rate of new infections will be. This justifies the classification of this case as optimistic.
- (2)
- the pessimistic scenario with so that the increase in the ratio r is solely due to the decrease in the ratio kClearly, with these small values of the resulting total cumulative number of infections and the maximum rate of new infections will be highest, justifying the classification of this case as pessimistic. In four countries (ITA, FRA, RUS, USA) the resulting is negative which cannot be. In these cases we use and .
- (3)
- the intermediate case withwhere half of the increase in the ratio r stems from the increase in the stationary infection rate. Then as a consequence
5. Medical Consequences for Germany
5.1. Tolerable Maximum 7-Day Incidence Value
5.2. Fatality Rates and Total Number of Fatalities
6. Summary and Conclusions
Author Contributions
Funding
Institutional Review Board Statement
Informed Consent Statement
Data Availability Statement
Conflicts of Interest
References
- Kupferschmidt, K.; Vogel, G. COVID-19 How bad is Omicron? Some clues are emerging. Science 2021, 374, 1304–1305. [Google Scholar] [CrossRef] [PubMed]
- Skipper, M. The global response to Omicron is making things worse. Nature 2021, 600, 190. [Google Scholar]
- Viana, R.; Moyo, S.; Amoako, D.G.; Tegally, H.; Scheepers, C.; Althaus, C.L.; Anyaneji, U.J.; Bester, P.A.; Boni, M.F.; Ch, M.; et al. Rapid epidemic expansion of the SARS-CoV-2 Omicron variant in southern Africa. Nature 2022, 13, 469. [Google Scholar] [CrossRef] [PubMed]
- Barnard, R.C.; Davies, N.G.; Pearson, C.A.B.; Jit, M.; Edmunds, W.J. Projected epidemiological consequences of the Omicron SARS-CoV-2 variant in England, December 2021 to April 2022. medRxiv 2021. [Google Scholar] [CrossRef]
- Torjesen, I. Covid restrictions tighten as omicron cases double every two to three days. BMJ-Br. Med. J. 2021, 375, n3051. [Google Scholar] [CrossRef]
- COVID; CDC; Response Team. SARS-CoV-2 B.1.1.529 (Omicron) Variant—United States, December 1–8, 2021. MMWR-Morb. Mortal. Wkly. Rep. 2021, 70, 1731–1734. [Google Scholar] [CrossRef]
- Karim, S.S.A.; Karim, Q.A. Omicron SARS-CoV-2 variant: A new chapter in the COVID-19 pandemic. Lancet 2021, 398, 2126. [Google Scholar] [CrossRef]
- Mahase, E. COVID-19: Do vaccines work against omicron-and other questions answered. BMJ-Br. Med. J. 2021, 375, n3062. [Google Scholar] [CrossRef]
- Kannan, S.R.; Spratt, A.N.; Sharma, K.; Chand, H.S.; Byrareddy, S.N.; Singh, K. Omicron SARS-CoV-2 variant: Unique features and their impact on pre-existing antibodies. J. Autoimmun. 2022, 126, 102779. [Google Scholar] [CrossRef]
- Kutscher, E. Preparing for Omicron as a covid veteran. BMJ-Br. Med. J. 2021, 375, n3021. [Google Scholar] [CrossRef]
- Fuss, F.K.; Weizman, Y.; Tan, A.M. COVID-19 Pandemic: How effective are preventive control measures and is a complete lockdown justified? A comparison of countries and states. Covid 2022, 2, 18–46. [Google Scholar] [CrossRef]
- Torjesen, I. COVID-19: Omicron may be more transmissible than other variants and partly resistant to existing vaccines, scientists fear. BMJ Brit. Med. J. 2021, 375, n2943. [Google Scholar] [CrossRef]
- Khataniar, A.; Pathak, U.; Rajkhowa, S.; Jha, A.N. A comprehensive review of drug repurposing strategies against known drug targets of COVID-19. Covid 2022, 2, 148–167. [Google Scholar] [CrossRef]
- Banerjee, I.; Robinson, J.; Banerjee, I.; Sathian, B. Omicron: The pandemic propagator and lockdown instigator—What can be learnt from South Africa and such discoveries in future. Nepal J. Epidemiol. 2021, 11, 1126–1129. [Google Scholar] [CrossRef] [PubMed]
- Kannan, S.; Ali, P.S.S.; Sheeza, A. Omicron (B.1.1.529)—Variant of concern—Molecular profile and epidemiology: A mini review. Eur. Rev. Med. Pharm. Sci. 2021, 25, 8019–8022. [Google Scholar]
- Fang, F.; Shi, P.Y. Omicron: A drug developer’s perspective comment. Emerg. Microbes Infect. 2022, 11, 208–211. [Google Scholar] [CrossRef]
- Wang, Y.; Zhang, L.; Li, Q.; Liang, Z.; Li, T.; Liu, S.; Cui, Q.; Nie, J.; Wu, Q.; Qu, X.; et al. The significant immune escape of pseudotyped SARS-CoV-2 variant Omicron. Emerg. Microbes Infect. 2022, 11, 1–5. [Google Scholar]
- Bonanni, P.; Cantón, R.; Gill, D.; Halfon, P.; Liebert, U.G.; Crespo, K.A.N.; Martín, J.J.P.; Trombetta, C.M. The role of serology testing to strengthen vaccination initiatives and policies for COVID-19 in Europe. Covid 2021, 1, 20–38. [Google Scholar] [CrossRef]
- Dhawan, M.; Priyanka, O.P.C. Omicron SARS-CoV-2 variant: Reasons of emergence and lessons learnt. Int. J. Surg. 2022, 97, 106198. [Google Scholar] [CrossRef]
- Choudhary, O.P.; Dhawan, M.; Priyanka. Omicron variant (B.1.1.529) of SARS-CoV-2: Threat assessment and plan of action. Int. J. Surg. 2022, 97, 106187. [Google Scholar] [CrossRef]
- Oshinubi, K.; Amakor, A.; Peter, O.J.; Rachdi, M.; Demongeot, J. Approach to COVID-19 time series data using deep learning and spectral analysis methods. AIMS Bioeng. 2022, 9, 1–21. [Google Scholar] [CrossRef]
- Duradoni, M.; Fiorenza, M.; Guazzini, A. When Italians follow the rules against COVID infection: A psychological profile for compliance. Covid 2021, 1, 246–262. [Google Scholar] [CrossRef]
- Bettuzzi, S.; Gabba, L.; Cataldo, S. Efficacy of a polyphenolic, standardized green tea extract for the treatment of COVID-19 syndrome: A proof-of-principle study. Covid 2021, 1, 2–12. [Google Scholar] [CrossRef]
- Ganasegeran, K.; Ch’ng, A.S.H.; Looi, I. What is the estimated COVID-19 reproduction number and the proportion of the population that needs to be immunized to achieve herd immunity in Malaysia? A mathematical epidemiology synthesis. Covid 2021, 1, 13–19. [Google Scholar] [CrossRef]
- Mahase, E. COVID-19: Omicron and the need for boosters. BMJ-Br. Med. J. 2021, 375, n3079. [Google Scholar] [CrossRef] [PubMed]
- Kou, G.; Xiao, H.; Cao, M.; Lee, L.H. Optimal computing budget allocation for the vector evaluated genetic algorithm in multi-objective stochastic optimization. Automatica 2021, 129, 109599. [Google Scholar] [CrossRef]
- Xiao, H.; Xiong, X.; Chen, W. Introduction to the special issue on Impact of COVID-19 and cryptocurrencies on the global financial market. Financ. Innov. 2021, 7, 27. [Google Scholar] [CrossRef]
- Neslihanoglu, S. Linearity extensions of the market model: A case of the top 10 cryptocurrency prices during the pre-COVID-19 and COVID-19 periods. Financ. Innov. 2021, 7, 38. [Google Scholar] [CrossRef]
- Zhang, F.; Narayan, P.K.; Devpura, N. Has COVID-19 changed the stock return-oil price predictability pattern? Financ. Innov. 2021, 7, 61. [Google Scholar] [CrossRef]
- Christie, B. COVID-19: Early studies give hope omicron is milder than other variants. BMJ-Br. Med. J. 2021, 375, n3144. [Google Scholar] [CrossRef]
- Dyer, O. COVID-19: Omicron is causing more infections but fewer hospital admissions than delta, South African data show. BMJ-Br. Med. J. 2021, 375, n3104. [Google Scholar] [CrossRef] [PubMed]
- Estrada, E. COVID-19 and SARS-CoV-2. Modeling the present, looking at the future. Phys. Rep. 2020, 869, 1–51. [Google Scholar] [CrossRef] [PubMed]
- Kröger, M.; Schlickeiser, R. Verification of the accuracy of the SIR model in forecasting based on the improved SIR model with a constant ratio of recovery to infection rate by comparing with monitored second wave data. R. Soc. Open Sci. 2021, 8, 211379. [Google Scholar] [CrossRef] [PubMed]
- Schlickeiser, R.; Kröger, M. Analytical solution of the SIR-model for the temporal evolution of epidemics: Part B. Semi-time case. J. Phys. A 2021, 54, 175601. [Google Scholar] [CrossRef]
- Kröger, M.; Schlickeiser, R. Analytical solution of the SIR-model for the temporal evolution of epidemics. Part A: Time-independent reproduction factor. J. Phys. A 2020, 53, 505601. [Google Scholar] [CrossRef]
- Schlickeiser, R.; Kröger, M. Reasonable limiting of 7-day incidence per hundred thousand and herd immunization in Germany and other countries. Covid 2021, 1, 130–136. [Google Scholar] [CrossRef]
- Wolter, N.; Jassat, W.; Walaza, S. Early assessment of the clinical severity of the SARS-CoV-2 Omicron variant in South Africa: A data linkage study. Lancet 2022, 399, 437. [Google Scholar] [CrossRef]
- Sheikh, A.; Kerr, S.; Woolhouse, M.; McMenamin, J.; Robertson, C. Severity of Omicron Variant of Concern and Vaccine Effectiveness against Symptomatic Disease: National Cohort with Nested Test Negative Design Study in Scotland; The University of Edinburgh Preprint Server: Edinburgh, Scotland, 2021; Available online: https://www.research.ed.ac.uk/en/publications (accessed on 22 December 2021).
- Siekmann, M. Corona-in-Zahlen; Fuchsstr. 1, 50823 Cologne, Germany. 2022. Available online: https://www.corona-in-zahlen.de/weltweit/ (accessed on 22 February 2022).



| Country | ||||||
|---|---|---|---|---|---|---|
| ITA | 0.13 | 0.823 | 30.1 | 3.0 | 10.03 | |
| AUT | 0.43 | 0.898 | 15.8 | 3.0 | 5.27 | |
| DNK | 2.48 | 0.972 | 10.0 | 3.0 | 3.33 | |
| DEU | 0.45 | 0.907 | 16.6 | 3.0 | 5.53 | |
| CHE | 0.44 | 0.892 | 14.6 | 3.0 | 4.87 | |
| GBR | 0.44 | 0.874 | 12.5 | 3.0 | 4.17 | |
| FRA | 0.17 | 0.868 | 30.9 | 3.0 | 10.30 | |
| BEL | 0.53 | 0.893 | 12.2 | 3.0 | 4.07 | |
| NLD | 0.37 | 0.926 | 25.3 | 3.0 | 8.43 | |
| RUS | 0.03 | 0.801 | 116.1 | 3.0 | 38.70 | |
| SWE | 0.58 | 0.919 | 14.8 | 3.0 | 4.93 | |
| USA | 0.22 | 0.868 | 23.9 | 3.0 | 7.97 |
| Optimistic Scenario | |||||||||
|---|---|---|---|---|---|---|---|---|---|
| SDI | |||||||||
| ITA | 1.304 | 0.823 | 0.33 | 0.0139 | 0.018 | 0.160 | 35.6 | 27days | 12,725 |
| AUT | 2.265 | 0.898 | 0.20 | 0.0049 | 0.011 | 0.097 | 68.9 | 30days | 7716 |
| DNK | 8.267 | 0.972 | 0.06 | 0.0004 | 0.004 | 0.028 | 130.1 | 16days | 2424 |
| DEU | 2.490 | 0.907 | 0.18 | 0.0041 | 0.010 | 0.089 | 79.0 | 32days | 7090 |
| CHE | 2.141 | 0.892 | 0.21 | 0.0054 | 0.012 | 0.102 | 64.0 | 30days | 8148 |
| GBR | 1.833 | 0.874 | 0.24 | 0.0073 | 0.013 | 0.118 | 51.3 | 28days | 9392 |
| FRA | 1.751 | 0.868 | 0.25 | 0.0080 | 0.014 | 0.123 | 43.5 | 25days | 9853 |
| BEL | 2.155 | 0.893 | 0.21 | 0.0055 | 0.012 | 0.101 | 44.3 | 21days | 8250 |
| NLD | 3.120 | 0.926 | 0.14 | 0.0026 | 0.008 | 0.071 | 77.4 | 25days | 5751 |
| RUS | 1.161 | 0.801 | 0.39 | 0.0219 | 0.025 | 0.173 | 10.7 | 9days | 17,773 |
| SWE | 2.861 | 0.919 | 0.16 | 0.0031 | 0.009 | 0.078 | 175.6 | 61days | 6216 |
| USA | 1.753 | 0.868 | 0.26 | 0.0087 | 0.015 | 0.122 | 26.0 | 15days | 10,650 |
| Pessimistic Scenario | |||||||||
|---|---|---|---|---|---|---|---|---|---|
| SDI | |||||||||
| ITA | 0.231 | 0.000 | 1.000 | 0.2500 | 0.058 | 0.500 | 9.2 | 40days | 40,414 |
| AUT | 0.430 | 0.463 | 0.836 | 0.0984 | 0.042 | 0.379 | 18.8 | 44days | 29,621 |
| DNK | 2.480 | 0.907 | 0.181 | 0.0041 | 0.010 | 0.089 | 65.6 | 27days | 7148 |
| DEU | 0.450 | 0.485 | 0.812 | 0.0918 | 0.041 | 0.369 | 20.4 | 45days | 28,911 |
| CHE | 0.440 | 0.474 | 0.824 | 0.0950 | 0.042 | 0.374 | 18.7 | 42days | 29,259 |
| GBR | 0.440 | 0.475 | 0.823 | 0.0949 | 0.042 | 0.374 | 17.3 | 39days | 29,208 |
| FRA | 0.231 | 0.000 | 1.000 | 0.2500 | 0.058 | 0.500 | 9.2 | 40days | 40,414 |
| BEL | 0.530 | 0.565 | 0.721 | 0.0696 | 0.037 | 0.331 | 17.0 | 32days | 25,819 |
| NLD | 0.370 | 0.376 | 0.911 | 0.1249 | 0.046 | 0.412 | 15.5 | 42days | 32,336 |
| RUS | 0.231 | 0.000 | 1.000 | 0.2500 | 0.058 | 0.500 | 5.0 | 22days | 40,422 |
| SWE | 0.580 | 0.600 | 0.675 | 0.0602 | 0.035 | 0.312 | 43.1 | 74days | 24,408 |
| USA | 0.231 | 0.000 | 1.000 | 0.2500 | 0.058 | 0.500 | 7.0 | 30days | 40,419 |
| Intermediate Scenario | |||||||||
|---|---|---|---|---|---|---|---|---|---|
| SDI | |||||||||
| ITA | 0.652 | 0.646 | 0.613 | 0.0489 | 0.032 | 0.286 | 21.4 | 33days | 22,307 |
| AUT | 1.132 | 0.796 | 0.378 | 0.0181 | 0.021 | 0.182 | 41.0 | 36days | 14,328 |
| DNK | 4.133 | 0.944 | 0.110 | 0.0015 | 0.006 | 0.054 | 90.9 | 22days | 4462 |
| DEU | 1.245 | 0.814 | 0.347 | 0.0152 | 0.019 | 0.168 | 46.7 | 38days | 13,263 |
| CHE | 1.071 | 0.784 | 0.398 | 0.0201 | 0.022 | 0.191 | 38.2 | 36days | 15,060 |
| GBR | 0.917 | 0.748 | 0.458 | 0.0267 | 0.024 | 0.218 | 31.0 | 34days | 17,109 |
| FRA | 0.876 | 0.736 | 0.477 | 0.0290 | 0.025 | 0.226 | 26.8 | 31days | 17,797 |
| BEL | 1.078 | 0.786 | 0.396 | 0.0199 | 0.021 | 0.189 | 28.6 | 27days | 14,979 |
| NLD | 1.560 | 0.852 | 0.281 | 0.0099 | 0.016 | 0.137 | 48.0 | 31days | 10,832 |
| RUS | 0.580 | 0.602 | 0.678 | 0.0627 | 0.036 | 0.307 | 8.8 | 15days | 25,466 |
| SWE | 1.431 | 0.838 | 0.305 | 0.0117 | 0.017 | 0.148 | 96.2 | 67days | 11,748 |
| USA | 0.876 | 0.736 | 0.479 | 0.0295 | 0.026 | 0.226 | 18.3 | 21days | 18,110 |
Publisher’s Note: MDPI stays neutral with regard to jurisdictional claims in published maps and institutional affiliations. |
© 2022 by the authors. Licensee MDPI, Basel, Switzerland. This article is an open access article distributed under the terms and conditions of the Creative Commons Attribution (CC BY) license (https://creativecommons.org/licenses/by/4.0/).
Share and Cite
Schlickeiser, R.; Kröger, M. Forecast of Omicron Wave Time Evolution. COVID 2022, 2, 216-229. https://doi.org/10.3390/covid2030017
Schlickeiser R, Kröger M. Forecast of Omicron Wave Time Evolution. COVID. 2022; 2(3):216-229. https://doi.org/10.3390/covid2030017
Chicago/Turabian StyleSchlickeiser, Reinhard, and Martin Kröger. 2022. "Forecast of Omicron Wave Time Evolution" COVID 2, no. 3: 216-229. https://doi.org/10.3390/covid2030017
APA StyleSchlickeiser, R., & Kröger, M. (2022). Forecast of Omicron Wave Time Evolution. COVID, 2(3), 216-229. https://doi.org/10.3390/covid2030017
