Abstract
The current research presents the synthesis, characterization, and application of a novel gas sensor based on polypyrrole/strontium titanate (PPy/STO) nanocomposites for the selective detection of CO2. Utilizing chemical oxidative polymerization, PPy and PPy/STO nanocomposites with varying STO (10–50) wt.% were synthesized and characterized. The structural and morphological analysis confirms the formation of spherical structure and well-dispersed PPy nanoparticles with increasing crystallinity and interaction of STO in PPy chain particle compactness as the STO content increases. The integration of perovskite STO within the conducting polymer matrix enhances the electronic structure, porosity, and surface area of the composite, promoting improved gas sensing performance. Electrical impedance spectroscopy reveals that the composites exhibit a frequency-dependent dielectric response and conduction attributed to charge carrier mobility and interfacial polarization effects. PPy/STO 20% exhibits highest conductivity and dielectric constants of 0.03604 Scm−1 and 1.074 × 104, respectively. Real-time CO2 sensing experiments conducted at 50 °C demonstrate good sensitivity, stability, and rapid response/recovery characteristics, particularly for the PPy/STO 10% and 40% composites. These findings highlight the potential of PPy/STO nanocomposites as flexible, lightweight, and efficient materials for portable CO2 gas sensors, addressing the growing needs for environmental and health monitoring.
1. Introduction
In modern society, monitoring greenhouse gases is vital due to their impact on health and the environment. Human and industrial activities drive the greenhouse effect, contributing to global warming by emitting these gases. Rising levels influence climate, marine life, and human health. Among the various greenhouse gases, carbon dioxide (CO2) is primarily produced from the burning of fossil fuels. Given the negative impacts of CO2, it is essential to monitor its levels, highlighting the need for CO2 sensors. Gas sensors are crucial tools for monitoring air quality and hold significant promise due to their exceptional structural stability. Additionally, they demonstrate good responsivity because nanoparticles are incorporated, which enhances the surface-to-volume ratio. The gas sensors mentioned are usually constructed from resistive-type materials, including metal oxides as fillers and a conducting polymer as a matrix. Research on advanced materials focuses on developing new and unique materials, guided by progress in techniques for characterizing morphology, thermal, optical, structural, and electrical properties. Recently, numerous initiatives have been implemented to develop composite and hybrid materials to enhance the properties of host materials [1,2,3,4].
Intrinsic conducting polymers possess a significant conjugated polymer chain structure and exhibit electrical reversibility, allowing them to have adjustable electrical characteristics. These properties enable conductive polymers to be utilized as conductors, semiconductors, and insulators, thereby meeting various conductivity performance requirements [5,6,7,8]. Researchers are mainly focused on polymers like polyaniline (PANI), polythiophene (PTh), and polypyrrole (PPy) because of their facile polymerization, excellent stability, and superior electrical, thermal, and chemical conductivity. As a result, these polymers are utilized in a variety of electronic devices, such as light-emitting diodes (LEDs), sensors, electrochromic displays (ECDs), and microelectronic devices, among others. Their advantages are ease of manufacturing, higher yields, and environmental friendliness. Additionally, properties like mechanical strength, electrical conductivity, thermal stability, and biocompatibility can be improved by preparing a polymer nanocomposite [9,10].
Conventional conducting polymers, including polyaniline (PANI), polypyrrole (PPy), poly (3,4-ethylenedioxythiophene) (PEDOT), and PEDOT: poly (4-styrene sulfonate) (PEDOT:PSS), are recognized for their facile synthesis, remarkable flexibility, and outstanding electrical conductivity, which can attain values up to 500 Scm−1 [11]. The molecular structure of PPy can be modified by incorporating STO into the PPy chain to adjust the conductivity and selectivity for a specific gas. The charge transport in PPy depends on the transport rate, recombination, tunnelling, and hopping [12,13]. Both chemical and electrochemical polymerisation can be used to create conducting polymers. To create conductive polymers through chemical polymerisation, oxidizing agents are used to oxidize monomers. There has been considerable interest in exploiting doped conducting polymers for sensing purposes [14,15,16] and energy storage devices [17]. In this pursuit, various nanocomposites have been developed in recent years through the synthesis of filler particles, including metal nanoparticles, metal oxides, and conducting polymers.
In polymer nanocomposites, the polymer functions as the matrix, while fillers modify the electrical conductivity of the nanocomposites. Incorporating nanostructured fillers, such as metal oxides (e.g., TiO2) and carbon-based materials (e.g., graphene oxide), into conducting polymers like PPy has broadened the scope for tailoring material properties at the nanoscale. In addition to augmenting the surface area and mechanical integrity of the host polymer, these nanofillers play a crucial role in regulating charge carrier mobility and overall electrical conductivity. In applications including supercapacitors, energy storage systems, flexible electronics, and biosensors, the interface between the polymer matrix and nanofiller often engenders synergistic effects that enhance electron transport pathways and improve dielectric properties. The capacity to alter interfacial interactions and the arrangement of fillers within the polymer matrix enables researchers to engineer nanocomposites with customized performance characteristics for advanced multifunctional materials [18,19] aimed at next-generation self-powered and high-sensitivity sensors.
Cobalt doped barium strontium titanate, (Ba0.75Sr0.25) (Ti0.95Co0.05)O3, a perovskite nanostructured material synthesized in a one-step process in hydrothermal conditions, has shown a high selectivity for CO2 [20]. It has been demonstrated that SrTiO3 is effective in creating capacitive-type gas sensors for monitoring CO2, based on modifications in permittivity [21]. A 10 wt.% CuO: 10 wt.% CdO-doped BaTiO3-based LPG sensor exhibits enhanced sensitivity and selectivity at an operating temperature of 250 °C. The addition of a 0.3 wt.% Pd-doped CuO:CdO:BaTiO3 component exhibits optimal sensitivity and significant cross-selectivity towards other gases, such as CO, H2, and H2S, at an operating temperature of 225 °C [22]. A high-energy ball milling technique was used to synthesize SrTiO3 nano-sized powders, annealed at 400 °C, and an oxygen sensor was prepared. The fabricated sensor exhibited much better sensing properties than the commercial SrTiO3 sensor. The optimal operating temperature was found to be about 40 °C, which is close to the human body temperature [23]. Chang et al. demonstrated that incorporating yttrium stabilized zirconia (YSZ) electrolyte and strontium titanate (as a sensing electrode) has repeatability, anti-interface capability, and long-term stability in demonstrating the composite as an SO2 sensor [24]. Szafranaik et al. [25] reported the impedance values for BaSrTiO3 under NO2 and air at temperatures ranging from 100 °C to 350 °C. The impedance results were analyzed with broadband models with single and parallel RC elements. These findings are further supported by studies exploring novel nanomaterials, smart sensor integration techniques, and multifunctional sensing platforms, which collectively pave the way for the deployment of intelligent, self-powered sensor systems across various harsh and dynamic environments [26,27].
This work examines the electrical properties of polymer nanocomposites using chemical oxidative polymerization, PPy, and PPy/STO nanocomposites with varying STO (10–50) wt.%. It introduces a novel, lightweight, portable CO2 gas sensor based on a PPy/STO nanocomposite, where STO nanoparticles serve as a high-surface-area filler. This synergistic system combines a conducting polymer with a perovskite oxide, offering sensitivity, selectivity, flexibility, and stability compared to traditional metal oxide sensors. FTIR reveals the bond types in PPy and PPy/STO. Capacitance decreases with frequency, and charge carrier mobility influences impedance peaks. Dielectric loss and constant show polarization and frequency dependence. AC conductivity results indicate that hopping conduction along the polymer chains is caused by the nanoparticles.
2. Materials and Methods
2.1. Materials
Polypyrrole is synthesized by taking ammonium persulphate [(NH4)2S2O8] as the oxidizing agent and conducting polymer pyrrole as the matrix material. The monomer pyrrole (C4H4NH, MW of 67.09 g/mol) and ammonium persulphate (MW of 228.18 g/mol) were purchased from Spectrochem Pvt. Ltd., (Mumbai, India), and Strontium titanate (SrTiO3, MW of 211.63 g/mol) as a nano-ceramic dopant was purchased from Sigma Aldrich (St. Louis, MO, USA).
2.2. Preparation Method
The in situ chemical oxidative polymerization process was utilized to synthesize PPy. A solution was prepared using a 0.3 M concentration of pyrrole, with 100 mL of distilled water. A 0.6 M ammonium persulfate solution was then introduced drop-wise to the pyrrole solution under continuous stirring using a magnetic stirrer. The process is carried out for 5 h at a constant temperature of less than 5 °C. The temperature is maintained at a steady level by filling the tray with ice pellets. A thick, black precipitate forms following synthesis and is then filtered with a vacuum pump. After filtration, the precipitate is placed in a hot air oven set to 100 °C for overnight drying. The sample is still found to contain traces of moisture; therefore, it is placed in a muffle furnace for further heating at 100 °C for 2 h to ensure complete drying. The dried powder is thoroughly crushed and ground, then stored for further study. This measured powder is considered to be 100 wt.% PPy.
The in situ chemical oxidation method is employed to prepare polymer nanocomposites with varying wt.%. In this study, STO nano powder is chosen as the filler and added in a particular wt.%, dispersed along with the pyrrole solution. A similar polymerization process is followed for the synthesis of others. The wt.% of STO is considered as 10%, 20%, 30%, 40%, and 50% of 100 wt.% of PPy. The solution obtained after the reaction is a thick black precipitate, which is filtered. The filtered powder is crushed and preserved, similar to that of PPy. The obtained samples were named as PPy/STO 10%, PPy/STO 20%, PPy/STO 30%, PPy/STO 40%, and PPy/STO 50%.
2.3. Characterizations
For phase purity, structural analysis, and crystallite sizes, XRD investigations were conducted using an XPERT-3 X-ray diffractometer with Cu Kα radiation (λ = 1.54060 Å). The 2θ range was set from 10° to 80°, with a step size of 0.02°. The TESCAN Vega 3 was used to examine the morphology and elemental analysis of PPy/STO nanocomposites in order to obtain scanning electron microscopy (SEM) micrographs and energy dispersive X-ray spectroscopy (EDX). ImageJ-1.54d was used to measure the dimensions of the clusters. The Fourier transform infrared (FTIR) analysis was conducted using an FTIR spectrometer (PerkinElmer) with KBr as the medium in the mid-IR region (4000–500 cm−1) at room temperature (RT) to identify the chemical groups present in the sample. Using JOEL/JEM 2100 at an accelerating voltage of 200 kV, transmission electron microscope (TEM) visuals were captured. Wayne Kerr 6500B precision impedance analyzer operating in the 102 Hz–1 MHz frequency range was used to conduct electrical measurements. ZsimpWin 3.21 software was utilized to investigate the conduction phenomena.
The sensing unit consists of a gas sensing chamber, a synthetic air cylinder, a gas cylinder, a Keithley 2450 Source Monitor unit (SMU), Alicat 500 sccm mass flow controllers (MFCs), an Eurotherm 2400 temperature controller, and the upper part of the gas sensing chamber consists of an exhaust for degassing for each cycle. The composites used for sensing employed silver electrodes, deposited as two circular dots each 2 mm in diameter on the sensing pellet. The sensing sample was placed on a graphite heater inside the gas chamber. The heater was warmed using a halogen bulb, and a temperature controller precisely controlled the temperature. A synthetic air mixture was first purged through the chamber until a stable baseline was obtained. Subsequently, the target gas (CO2) was introduced for a particular time interval, and the current signal response was recorded. This was followed by re-purging with synthetic air to observe recovery.
3. Results and Discussion
3.1. SEM Analysis
Figure 1 shows the images of SEM micrographs of pure PPy and PPy/STO composites. Figure 1a shows the SEM image of pure PPy, which shows that the particles of PPy are spherical, almost uniform in size, and agglomerated. It is evident from the histogram (Figure 2 that the synthesized particles are nm in size. When STO is introduced in PPy, it is observed from Figure 1b–f that more clusters of PPy are formed where STO nanoparticles reside. As a consequence, the length of the polymer chain in PPy/STO 20%, PPy/STO 40%, and PPy/STO 50% has slightly increased. Hence, the SEM images confirm the proper formation of STO polymer nanocomposites. The particle sizes of pure PPy, PPy/STO 10%, PPy/STO 20%, PPy/STO 30%, PPy/STO 40%, and PPy/STO 50% are found to be 580.741 nm, 306.864 nm, 432.624 nm, 430.252 nm, 373.974 nm, and 413.383 nm, respectively. The corresponding σsd values are 1.322 nm, 1.5121 nm, 1.196 nm, 1.366 nm, 1.419 nm, and 1.256 nm for PPy and PPy/STO 10%, 20%, 30%, 40%, and 50% composites, respectively. When compared to PPy, the particle size of PPy/STO composites decreases because the polymerization of pyrrole over STO nanoparticles forms a core structure, increasing the number of nucleation sites.
Figure 1.
SEM images of (a) pure PPy, (b) PPy/STO 10%, (c) PPy/STO 20%, (d) PPy/STO 30%, (e) PPy/STO 40%, and (f) PPy/STO 50% composites.
Figure 2.
Histogram of pure PPy and PPy/STO composites: 10%, 20%, 30%, 40%, 50%, respectively.
Alongside the fundamental morphological analysis, the SEM images presented in Figure 1 show a progressive change in surface texture and particle distribution as the STO content in the PPy matrix increases. Pure PPy (Figure 1a) displays smooth, spherical, and densely packed particles. As STO is integrated into PPy (Figure 1b–f), the microstructure develops an increasing degree of irregularity and porosity, accompanied by the emergence of larger agglomerates and intensified clustering, indicating an increased interaction between PPy chains and STO nanoparticles, which disrupts the uniformity of the polymer matrix. The particle size histograms further corroborate the morphological variation, showing an initial decrease in particle size as nucleation sites increase, followed by a gradual rise at higher STO concentrations, likely attributable to secondary agglomeration. These morphological changes significantly influence the surface area and porosity of the composites, which are critical parameters for effective gas-sensing performance.
3.2. TEM Analysis
Figure 3 shows TEM images and SAED patterns of pure PPy and 10%, 20%, 30%, 40%, and 50% PPy/STO composites. Figure 3a represents the TEM image of pure PPy, which confirms the spherical nature of the particles. The amorphous nature of PPy is confirmed by the Selected Area Electron Diffraction (SAED) pattern, which displays a continuous ring network. Figure 3b–f shows the images of PPy/STO composites. In lower weight percentages of PPy/STO composites, i.e., 10% and 20%, the STO nanoparticles are found in small percentages, and the SAED images suggest that they are semi-crystalline. STO nanoparticles are distributed in smaller aggregates in lower wt.% of STO composites and more in higher wt.%. A core shell is formed by the scattered STO implanted inside the PPy matrix. Additionally, it is observed that the compactness between the particles increases with the STO weight percentage. The SAED pattern confirms the presence of a crystalline form of STO nanoparticles in PPy. Hence, it can be concluded that as the wt.% increases, crystallinity also increases in PPy/STO at 30%, 40%, and 50%.
Figure 3.
TEM images of (a) pure PPy, (b) PPy/STO 10%, (c) PPy/STO 20%, (d) PPy/STO 30%, (e) PPy/STO 40%, and (f) PPy/STO 50% composites; insets show SAED patterns.
3.3. X-Ray Diffraction (XRD) Studies
Pure PPy exhibits a broadened peak at 26° (Figure 4), indicating its amorphous nature [28]. The XRD pattern of pure STO shows sharp diffraction peaks at 32.4°, 39.9°, 46.5°, 57.7°, 67.7°, and 77.3°, corresponding to (1 1 0), (1 1 1), (2 0 0), (2 1 1), (2 2 0), and (3 1 1) crystallographic (h k l) plane which matches with the JCPDS data 35-0734. The sharp peak confirms STO’s crystalline nature and indicates the absence of additional crystalline order [29]. As STO concentration increases, the broad PPy intensity peak decreases, and the intensity peaks of STO dominate. This pattern proves that STO nanoparticles are scattered along the PPy chain. In PPy/STO composites, the XRD pattern changes from a PPy amorphous nature to a crystalline nature due to the interaction and strain involved between the polymer chain and crystalline phase, due to the size variation in PPy and STO particles during the composite formation. The traces of the amorphous PPy XRD pattern are observed in the PPy/STO 10% sample. However, as the percentage of STO increases, they vanish, and the crystalline nature pattern dominates. The absence of any extra diffraction peaks confirms that no secondary or impurity phasesform during synthesis, and the perovskite framework of STO remains intact.
Figure 4.
XRD spectrum of pure PPy (inset) and PPy/STO samples.
The average crystalline size of the nanocrystalline samples is calculated using the Scherrer formula [30].
where β stands for full width at half maximum (FWHM), θ for angle of diffraction, D for average crystalline size, and k for shape factor, which depends on particle form (K = 0.94). The interplanar spacing can be determined using Bragg’s relation and is tabulated in Table 1. The formula relation, δ = 1/ is used to determine the dislocation density, or the length of dislocation lines/per unit volume, where δ is a measure of the number of crystal defects. The alterations in the polymer chain length due to the addition of STO in the polymer chain can be calculated using the average inter-chain separation formula [31] given by,
Table 1.
Structural parameters of PPy/STO composites from XRD study.
The average crystallite size of PPy/STO composites is shown in Table 1. In PPy/STO samples, there is no consistent increase in the crystallite size attributed to the random interaction between the two constituents. The increase in interplanar spacing may be due to the deformation-produced strain. It is reported that in nanocrystalline materials, the internal stress caused by excess volume at grain boundaries is proposed as the primary cause of lattice distortion [32].
The intensity of the wider peak of PPy diminishes in 10% and 20% of PPy/STO composites and vanishes in 30% and 40% of PPy/STO composites as the STO composition rises. The strength of the composition’s diffraction peaks becomes dominant as the amount of STO rises, indicating that STO nanoparticles interact with PPy crystallization. This trend indicates the successful embedding and uniform dispersion of STO nanoparticles along the PPy backbone, leading to a transition from an amorphous to a semi-crystalline structure. Therefore, it may be said that STO nanoparticles are distributed throughout PPy. The inter-chain distance (R) remains unchanged with STO wt.%. In self-assembled regioregular poly(3-hexylthiophene) (P3HT) molecules, the inter-chain distance is found to be ~3.8 Å [33]. The dislocation densities, δ, for all samples are of a similar order of magnitude, given that the relation used for their calculation is only an approximation. The structural evolution demonstrates that the inclusion of STO nanoparticles not only enhances the composite’s structural order but also potentially improves its charge transfer efficiency in PPy chain.
3.4. FTIR Analysis
FTIR analysis confirmed the presence of intermolecular interactions and structural changes in the PPy chain caused by STO nanoparticles, as well as the identification of functional groups (Figure 5). The characteristic peaks for pure STO were observed at 437 cm−1, 568 cm−1, 1460 cm−1, 1625 cm−1, 2933 cm−1, and 3443 cm−1. The presence of the hydroxyl group is indicated by the peak at ~3461 cm−1, which is attributed to the O–H stretching absorption. The weak absorption band around 2933 cm−1 represents the stretching mode of the C–H bond. The absorption peak cited at 1625 cm−1 is due to the bending vibration of the H–O–H bond. The small absorption bands cited at 437 cm−1 and 568 cm−1 is due to Ti–O bending vibrations [34,35]. The characteristic peaks for pure PPy at 793 cm−1 and 920 cm−1 are due to C–H wagging. The absorption at approximately 620 cm−1 is due to the C–Br stretching mode, which is attributed to the use of potassium bromide (KBr) for sample preparation. The peaks observed at 920 cm−1 and 793 cm−1 are attributed to C–H plane deformation and C–H plane vibration, respectively. The =C–H in plane deformation vibration is responsible for the peak at 1066 cm−1. The peak at 1100 cm−1 indicates C–H in and out of plane deformation and the peaks at 1553 cm−1 correspond to C–C stretching vibrations in the pyrrole ring. The small peak situated at 1386 cm−1 is associated with the pyrrole ring’s vibration and the pyrrole ring’s stretching mode. The peak at 2926 cm−1 likely corresponds to the absorbance band of the CH2 group [36]. Additionally, the broadening of the peak around 3443 cm−1 could be related to stretching of N–H and C–H bonds. The corresponding characteristic peaks confirm the formation of PPy [37]. The appearance of the distinctive peaks of pure PPy and pure STO in PPy/STO composites confirms the presence of both STO and PPy. The decrease in the relative intensity of PPy characteristic peaks with increasing STO content further indicates successful formation of PPy/STO hybrid composites. A 510 cm−1 shift attributed to stretching vibration modes is observed in PPy/STO composites, which is compared with pure PPy. These two significant observations indicate that STO nanoparticles are bonded with PPy and interact strongly to form structural reorganization within the composite.
Figure 5.
FTIR spectrum of PPy, STO, and PPy/STO samples.
3.5. Conductivity Studies
Varying frequencies at RT were used to measure electrical conductivity. Using a hydraulic press, a pressure of 10–12 tons was applied to the synthesized powders to form pellets. The diameter of the pellets are 10 mm and the thickness of the pellets are 1.368 mm, 1.434 mm, 1.735 mm, 1.053 mm, 1.277 mm, and 1.255 mm for PPy, PPy/STO 10%, PPy/STO 20%, PPy/STO 30%, PPy/STO 40%, and PPy/STO 50%, respectively. The surfaces on both the top and bottom were coated with silver paste, which acts as electrodes. The pellet was placed under the impedance analyzer holder, and conductivity studies were performed at varying frequencies from 100 Hz to 1 MHz.
Impedance is a complex parameter that opposes the alternating current, having a real part (Z′) referred to as resistance and an imaginary part (Z″) referred to as reactance. An impedance quantity can be represented by Equation (3),
where j = .
Z = Z′ + j Z″
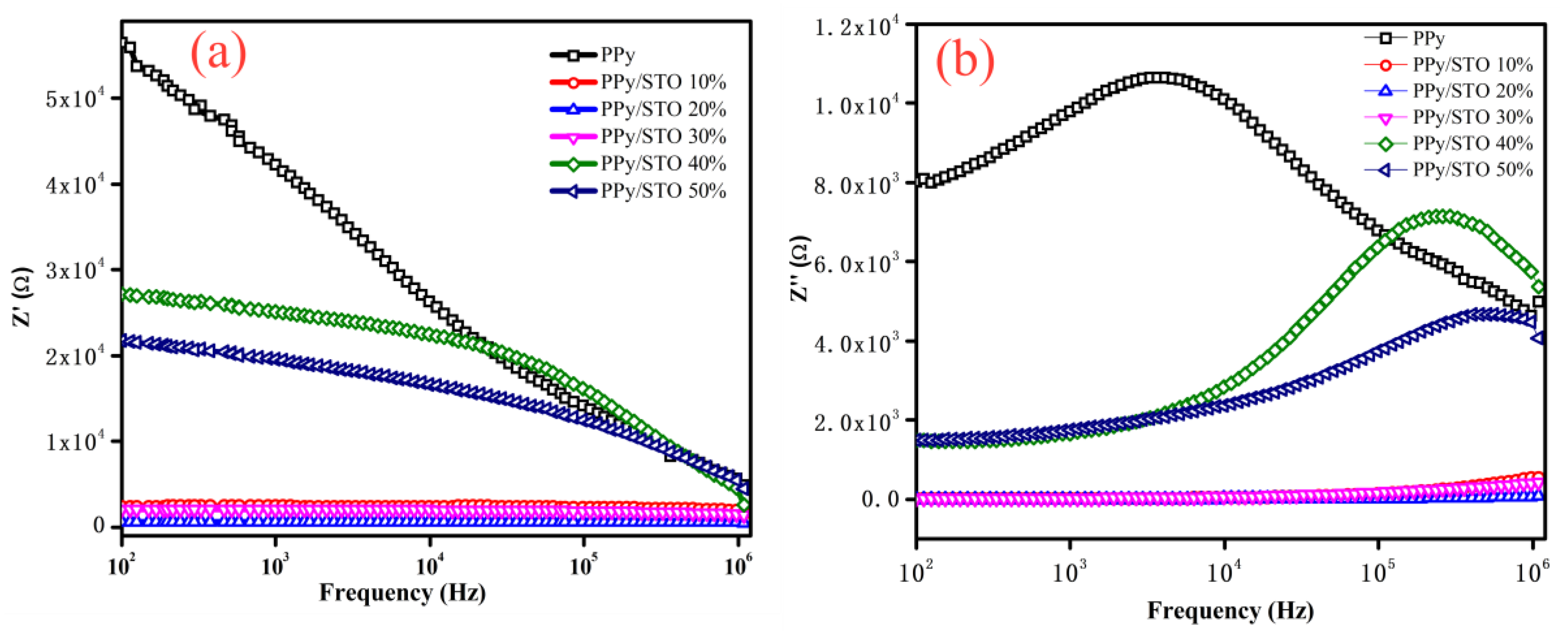
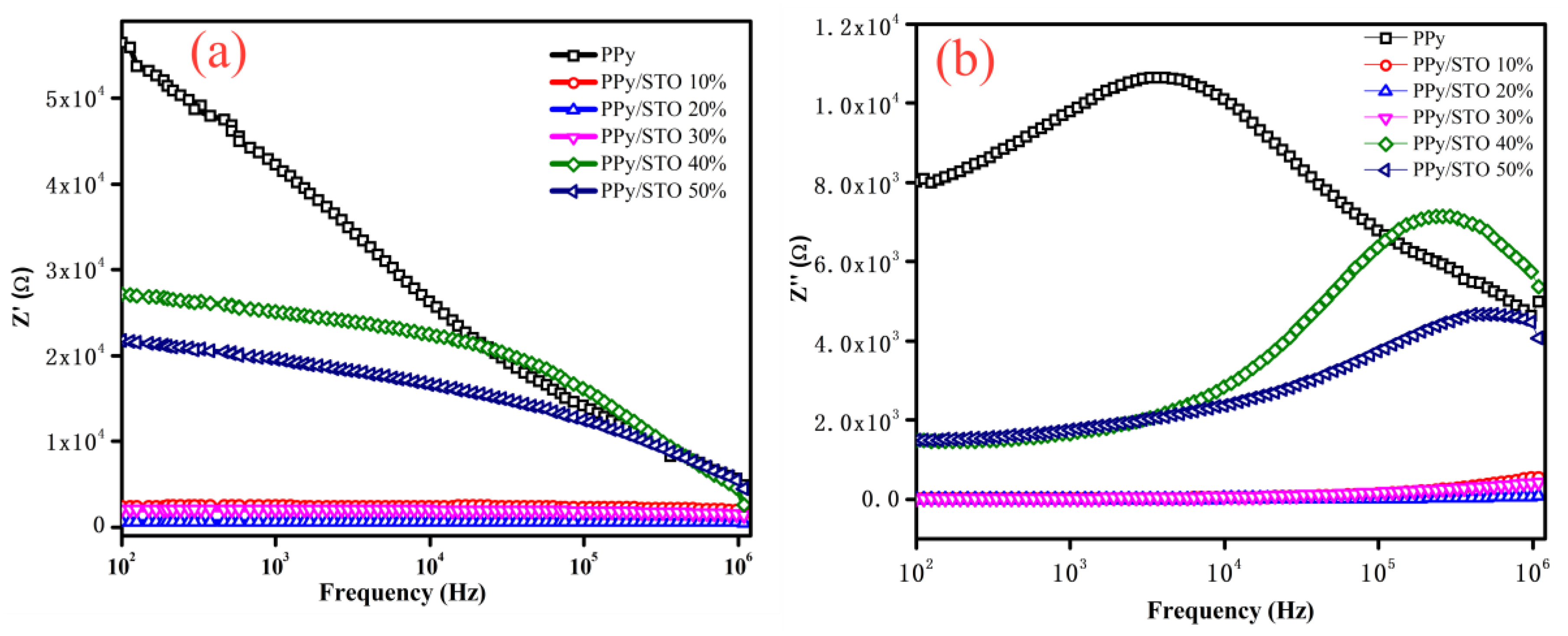
Figure 6a shows how Z′ varies with frequency for pure PPy and PPy/STO nanocomposites. The real part of impedance increases as frequency decreases and decreases as frequency increases, a trend seen in all composites. High impedance at low frequency is due to charge carriers being released, which reduces the barrier potential. PPy alone has higher impedance than the PPy/STO composites. Among the nanocomposites, PPy/STO 20% exhibits a lower impedance, while PPy/STO 40% has a higher one. Overall, the impedance decreases in the PPy/STO composites compared to pure PPy, thanks to the increased interconnected pathways created by STO nanoparticles, which improve coupling near the grain boundary.
Figure 6.
(a) Z′ vs. frequency for pure PPy and PPy/STO composites, and (b) Z″ vs. frequency for pure PPy and PPy/STO composites.
SEM images confirm the micron size of PPy particles, which are arbitrarily oriented and less compact. The weak linkage between polymers may lead to higher impedance, which increases with increasing weight percentage. As the STO nanoparticle percentage increases, the linkage decreases due to STO and PPy aggregation, resulting in a higher impedance. The graph shows impedance spectrum merging at high frequencies, indicating nullified interfacial polarization. In composites like PPy/STO, dielectric properties are explained by Maxwell–Wagner–Sillars polarization [38,39]. Z″ variation concerning frequency is shown in Figure 6b. The imaginary part of the impedance is given by Z″ = 1/jωC, where C is the capacitance and ω is the angular frequency of the circuit. Peak broadening is observed, which is purely frequency-dependent and suggests the relaxation phenomenon in the system. The relaxation process explains the contributions of grain and grain boundary effects to the system. Relaxation peak is observed for PPy, PPy/STO 40%, and PPy/STO 50% composite. Due to the involvement of grains, the single broad peak observed indicates the existence of a single relaxation [40].
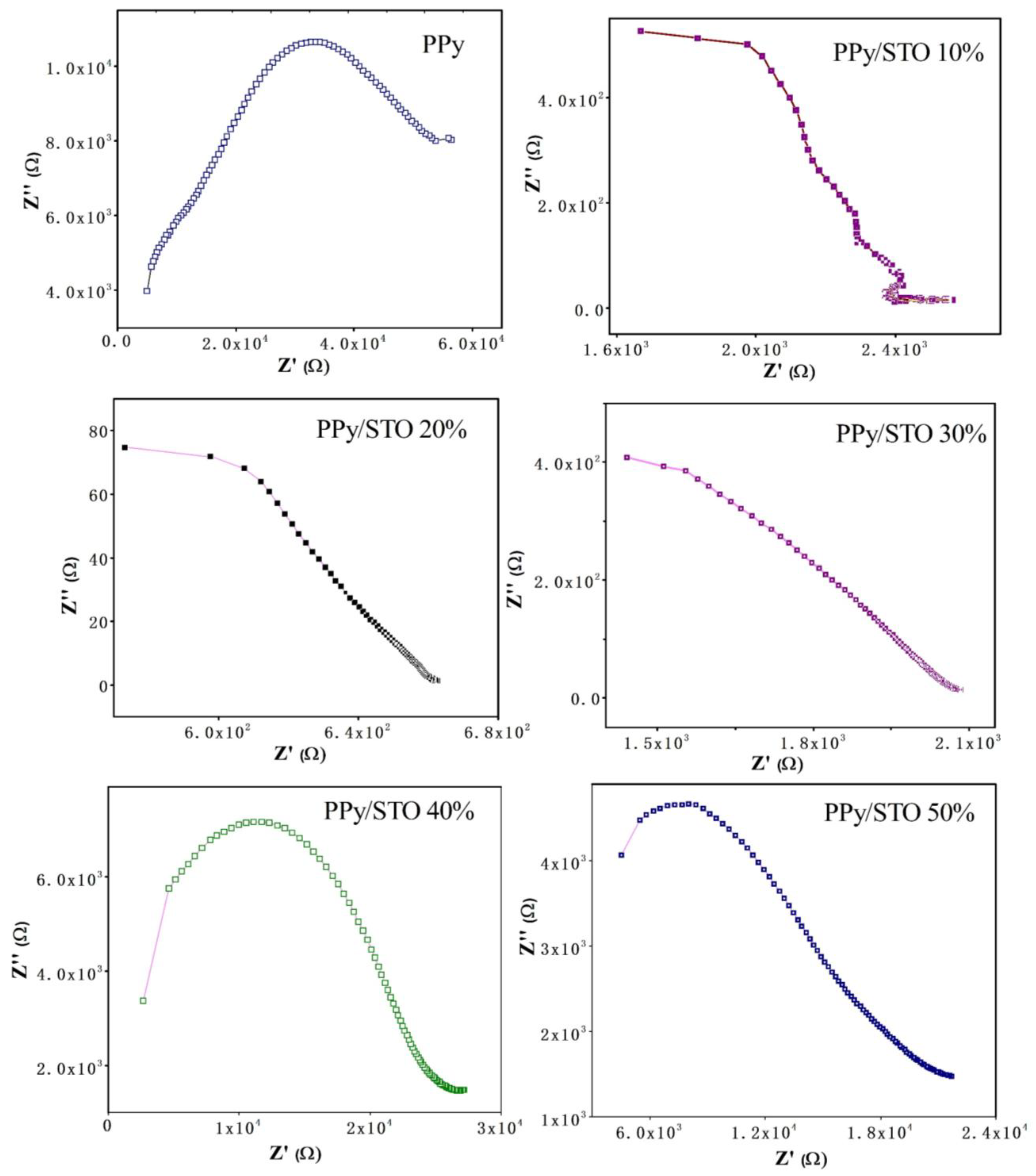
The relaxation frequency and relaxation time are determined from the maximum frequency (fmax). The broadened peak observed indicates a non-Debye relaxation type. The peak shifts towards higher frequencies for these composites due to the mobility of polarons. In other composites, peak broadening is not observed due to the high mobility of charge carriers, which results in a less pronounced relaxation process [41]. A plot of the real part (Z′) versus the imaginary part (Z″) of impedance is known as a Cole–Cole plot. The basic of such a plot explain the conduction process and the effects of the grain and grain boundaries in nanocomposites. Figure 7 represents the Cole–Cole plot of pure PPy and PPy/STO composites. As shown in Figure 7, a semicircular arc is formed for PPy, PPy/STO 40%, and PPy/STO 50%, which is attributed to ionic conductivity. The semicircular arc nature is ascribed to the non-Debye type of relaxation occurring in the system.
Figure 7.
Cole–Cole plot (Z′ vs. Z″) for pure PPy and PPy/STO composites.
This phenomenon is attributed to the single relaxation time that occurs due to polarization at the grain boundary interface [42,43,44]. The semicircular arc does not extend to the origin, indicating an increase in the number of ions between the filler and polymer at the interphase [45]. Since the conductivity of 10%, 20%, and 30% PPy/STO is more than PPy and PPy/STO 40% and 50%, the semicircular arc is not observed, which signifies their conducting nature. The mobility of 10%, 20%, and 30% PPy/STO is high and is not affected by grains and grain boundaries, which signifies that they exhibit a conductive nature [46].
Since the relaxation times for PPy and STO differ, dielectric polarization is visible when AC is applied to the composites. At the PPy/STO grain contact, the charges build up. The presence of carriers at the interface is due to Maxwell–Wagner polarization. It is observed from the graphs of PPy and PPy/STO 40% and 50%, that the semicircle is largely bent. This phenomenon is observed when the grain impedance exceeds the grain boundary [47].
The equivalent circuit was extracted from ZSimpWin software by fitting the curve as shown in Figure 8. An ideal equivalent circuit explains the electrical properties and relaxation processes. Generally, an electrical circuit consists of resistance and capacitance. However, as the Debye model suggests, the constant phase element (CPE) is used instead of C. The impedance is given by ZCPE = 1/[Q(jω)n] where Q is the CPE, ω is the angular frequency, and n is the arc depression factor, whose value varies from 0 to 1 [48].
Figure 8.
Equivalent circuit of PPy, PPy/STO composites.
The equivalent circuit consists of resistance and Q components in several combinations. This leads to different time constants, which can be correlated with the broadened curve, as shown in Figure 8.
The equivalent circuit consists of a parallel combination of resistors and Q components. Several combinations of resistors and CPE are observed, resulting in different relaxation times. The free movement of ionic particles in the PPy/STO system is obstructed because of the random dispersion of STO nanoparticles in the PPy matrix. Along with the resistor and CPE, the Warburg diffusion element (W) is also present. The presence of these elements is due to the random dispersion of STO in the PPy chain, which distorts the smooth movement of charge carriers [49]. The CPE effect is observed due to the formation of a double layer in the composite and Warburg components, as well as the oscillating field resulting from space charge accumulation at the boundaries [47,50]. The different resistances are attributed to grains of various materials, including PPy, STO, and the PPy/STO interface. The Q element is likely due to the formation of a double layer in the composite matrix, which occurs during synthesis [51].
PPy/STO, 40% composite, exhibits the highest resistance, which may be attributed to defects in the composite that create blockages for charges at grain boundaries [52]. Dielectric studies were conducted to analyze the dielectric properties of the nanocomposite. The dielectric constant and loss were studied in the 100 Hz–1 MHz frequency range. The dielectric constant can be calculated using the measured capacitance values at various frequencies. The dielectric constant is obtained by the following Equation (4) [53].
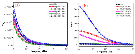
where C is the capacitance in Farad, d is the thickness of the pellet in cm, A is the area in cm2, and ε0 is the absolute permittivity of free space. Figure 9a shows the variation in the dielectric constant of PPy and PPy/STO composites versus frequency. It is observed that the dielectric constant decreases up to 10 kHz and then remains constant. The variation in dielectric constant with frequency can be explained by various types of polarization, including electronic, ionic, dipolar, and space charge polarization.
Figure 9.
(a) Dielectric constant vs. frequency for pure PPy and PPy/STO, and (b) tanδ vs. frequency for pure PPy and PPy/STO samples.
Electronic and ionic polarization occurs due to deformation, whereas orientation and interfacial polarization occur due to relaxation. Electronic polarization occurs because of valence electron displacement (up to frequencies 106 Hz). The positive and negative ion displacement causes dipolar and ionic polarization. The space charge polarization is due to the mobility of charge carriers. The dielectric constant is high at low frequencies, attributed to the presence of permanent dipoles [54]. These dipoles will orient themselves when an external field is applied, contributing to the total electric polarization [55]. At higher frequencies, the dipoles fail to reorient, and hence polarization decreases, which in turn decreases the dielectric constant and becomes constant. When the external field is applied at higher frequencies, a decrease in total polarization occurs, which reduces the permittivity of the material according to Maxwell–Wagner polarization. Hence, the dielectric constant decreases at higher frequencies [56].
The incorporation of STO in PPy plays a significant role in altering the dielectric constant value. It is evident from the graph that PPy/STO 20% has the highest dielectric constant at all frequencies when compared to other composites. The high dielectric constant at low frequencies is a characteristic response of dipoles that align in response to an external field. The decreasing value of the dielectric constant at high frequencies may also be attributed to the failure of dipole orientation in response to the external field, resulting in a decrease in the material’s permittivity. Figure 9b represents dielectric loss versus frequency for PPy and PPy/STO composites. The tangent loss (tan δ), also known as the dissipation factor, is a parameter of a dielectric material related to the inability of dipoles to reorient themselves in an alternating electric field. This phenomenon is dependent on temperature, size, and polarity. It is also dependent on the frequency of the alternating field [55]. As frequency increases, the dielectric loss decreases with a decrease in frequency for pure PPy and PPy/STO composites.
This phenomenon can be explained by the Maxwell–Wagner model, which considers a sample consisting of two layers: the grain and the grain boundary. The grains contribute to conduction, whereas grain boundaries conduct less [57]. The non-conducting behaviour is seen at low-frequency regions where the grain boundary part dominates. Due to the increase in frequency, the motion of electrons decreases because of the resistance offered by the grain boundary, resulting in a loss of energy. Therefore, in low-frequency regions, dielectric loss is high [58]. The dielectric loss gradually decreases, and the permittivity increases as the frequency increases, thereby increasing the number of mobile carriers. The movement of charges is attributed to the hopping mechanism across the grain boundary sites. The electrical conductivity can be calculated by measuring resistance values at varying frequencies at RT. The electrical conductivity values can be obtained from the Equation (5),
where σ is the electrical conductivity (Scm−1), d is the thickness of the pellet (cm), R is the sample resistance(Ω), and A is the sample area in cm2. The calculated conductivity (σ) of the nanocomposite can be expressed by Equation (6) [59].
where σdc and σac represent DC (frequency-independent) and AC (frequency-dependent) conductivities. A graph of AC conductivity with frequency is shown in Figure 10a. The graph represents two regions, which are (i) plateau region at lower frequencies representing the DC conductivity and (ii) an increasing curve at higher frequency region corresponding to AC conductivity by obeying Jonscher’s power law, which is expressed by [60],
where ω is the angular frequency of the applied electric field, A is the pre-exponential constant, which depends on temperature, and ‘s’ is the power law component having the value between 0 and 1 [61]. It is noted that the conductivity remains nearly constant in the lower frequency range, up to 10 kHz, which corresponds to DC conductivity [62]. The conduction mechanism changes from 10 kHz, i.e., the AC conductivity begins at a frequency that can be depicted as a hopping or critical frequency (ωH). The universal power law governs the total conductivity, which explains charge hopping at higher frequencies where the probability of charge carriers hopping from one site to another increases, thereby enhancing conductivity [63]. The increased conductivity at high frequencies is also a characteristic feature of disordered material [64]. The increase in conductivity can be attributed to the rise in polarons and bipolarons. The hopping mechanism takes place between these polarons and bipolarons over the barriers of the grain and the grain boundary [65].
σ = σdc + σac
σac = Aωs
Figure 10.
(a) AC conductivity vs. frequency for pure PPy and PPy/STO composites, and (b) wt.% of STO in PPy vs. σac.
The hopping mechanism is explained using the correlated barrier hopping (CBH) model. For composites having lower conductivity values, the movement of charges may be restricted by the grain and grain boundaries. The high conductivity value is due to the smooth movement of charges. Using the non-linear curve fitting method, the conductivity (σdc) and power law component (s) were calculated and noted in Table 2. It was noticed that the power component is <1 due to the hopping of mobile charge carriers over the barrier between the two sites. For PPy/STO 10%, the power law component is more than 1, which can be attributed to the mobility of charges from one site to another by quantum mechanical tunnelling between an asymmetric double-well potential [66].
Table 2.
Dielectric constant, DC conductivity and power law component values of PPy and PPy/STO nanocomposites.
The PPy/STO 20% composite exhibits the highest conductivity and also represents the percolation threshold [67,68]. At this concentration, STO is dispersed uniformly in PPy, which allows for more hopping. Figure 10b depicts that PPy/STO 20% has the highest conductivity of 0.035 Scm−1 among all the composites. At a further higher STO concentration, (σdc) starts to decrease. At elevated concentrations, the interactions may result in clustering or aggregation, rather than a defined network. The morphology and dimensions of the particles substantially affect the formation of a conducting network. Elongated particles, like fibres, can more readily establish networks than spherical particles at reduced concentrations. Defects in the material or at the particle interfaces can impede the establishment of a continuous network. Ionic transport studies in nano- and microcrystalline (1–x)Li2O:xB2O3 composites using conventional impedance spectroscopy reveal that in the nanocrystalline samples (20 nm), the ionic conductivity σdc increases with increasing B2O3 content x, reaching a maximum at x = 0.5. Above x = 0.92, the σdc disappears. In contrast, in microcrystalline samples (grain size approximately 10 μm), σdc drops monotonically with x and vanishes above x = 0.55. This result was described using a percolation model that predicts higher conductivity at the boundaries between insulating and conducting phases in both materials and explicitly accounts for grain size differences [69].
3.6. Gas Sensing Analysis
Gas sensors prepared from PPy-based composites exhibit sensitivity to CO2 gases. The selection of gas takes into account greenhouse gases, as they are harmful to the environment. The temperature in a few cities reaches nearly 50 °C; therefore, the analysis was performed at 50 °C. The sensitivity for a particular gas can be determined by calculating the sensor response. Sensor response is the ratio of change in resistance in the test gas to the value of resistance in air, and the percentage is calculated by [70,71,72].
where Rg and Ra are the resistances of the sensor in gas and air; the response was measured for PPy/STO 10% and PPy/STO 40%. The general understanding of the gas sensing mechanism of CO2 at 50 °C for the PPy–STO 40% nanocomposite is determined by investigating the structural and electronic interactions between PPy and STO, along with the effects of the ambient atmosphere. PPy, a polymer that intrinsically conducts electricity and exhibits p-type behaviour, is noted for its flexibility and decent electrical conductivity (220 S/cm). The electrical conductivity of the nanocomposites changes when they are exposed to gas molecules. According to percolation theory, the conduction of electrons does not occur uniformly; instead, it takes place through interconnected paths. When CO2 is purged, the gas interacts with the material, modifying the charges at the interface. Due to the adsorption of gas, the barrier potential increases, which disrupts the conducting path by breaking the conductive links. As a result, change in adsorption leads to change in the resistance [73].
Nitrogen atoms are included, which facilitate interactions with gas molecules via hydrogen bonding, dipole interactions, and protonation/deprotonation mechanisms [74]. On the other hand, STO is an n-type perovskite oxide semiconductor characterized by robust ionic–covalent bonding, a wide bandgap, and excellent chemical stability, rendering it appropriate for sensing applications [75]. When these two materials are combined, a p–n heterojunction forms at their interface due to the difference in their Fermi levels. In the n-type STO, electrons migrate toward the p-type PPy, while holes from PPy move into the STO. This movement creates a built-in electric field and a depletion region at the interface. This junction is crucial for determining the composite’s electrical response to external influences, such as exposure to gas molecules. In the absence of a target gas and under ambient or synthetic air conditions, environmental oxygen molecules adhere to the sensor’s surface [76].
At varying temperatures, these forms of oxygen pull electrons from the conduction band of STO and turn into ion-absorbed species (like O−, O2−, or O2−). The extraction of electrons enhances the STO depletion layer, leading to an increase in the overall resistance of the composite and a buildup of holes in PPy. When exposed to CO2 at 50 °C, the sensing mechanism diverges from that of strongly oxidizing or reducing gases [77]. CO2 is considered a weak oxidizing gas with a relatively inert electronic structure, and it does not strongly react with pre-adsorbed oxygen species in the same way as gases like NO2 or NH3. However, under synthetic air conditions, particularly when the oxygen concentration is low or the environment is rich in nitrogen, the traditional oxygen-mediated sensing mechanism is reduced or nonexistent. In this case, the probability of CO2 molecules engaging directly with the nanocomposite material is greater than that of them interacting with oxygen species on its surface [78,79]. This direct interaction may include Lewis acid–base interactions between CO2 molecules and nitrogen atoms in the PPy backbone or surface defects on STO, as well as hydrogen bonding or coordination with oxygen-containing functional groups. CO2 may either physically adsorb on the surface or cause a slight swelling of the PPy matrix, resulting in changes to the mobility and density of charge carriers. The interfacial potential barrier at the p–n junction is disturbed by these interactions, which lowers the energy barrier for charge carriers and increases electrical conductivity [78].
In laboratory sensor systems with different atmospheric conditions and notably higher oxygen levels, a reverse behaviour is observed. Here, oxygen re-adsorption tends to dominate surface reactions, and interaction with CO2 can promote further electron extraction. This leads to an increase in resistance, consistent with traditional gas sensing responses [80]. By comparing these two experimental setups, the significant influence of environmental factors, particularly the availability of oxygen and the type of carrier gas on the sensing behaviour of nanocomposites, is highlighted. The unusual drop in resistance observed in nitrogen-rich environments bolsters the hypothesis that the response is a result of direct interaction between CO2 and the surface and the heterojunction, rather than being mediated by oxygen-based charge transfer [81,82].
At 50 °C, the gas sensing behaviour of the PPy/STO 40% and PPy/STO 10% nanocomposites toward CO2 entails a complex interaction of physical adsorption, interfacial charge modulation, and environmental influences. The primary transduction mechanism involves the heterojunction formed between n-type STO and p-type PPy, where gas exposure modifies the depletion layer, leading to detectable changes in resistance. In conditions lacking oxygen, the direct adsorption and electronic interaction of CO2 take precedence, causing a reduction in resistance. Conversely, in conditions with an abundance of oxygen, classical mechanisms such as oxygen ionosorption and electron extraction may dominate, increasing resistance. The findings highlight how crucial heterojunction engineering and environmental management are for creating and understanding gas sensor behaviour in nanocomposite systems [83,84]. A schematic illustration of p-n heterojunction of PPy and STO is shown in Figure 11. The sensing mechanism can be explained on the basis of changes in electronic band structure caused by adsorption of CO2 gas. In a p–n junction heterojunction, the exchange of charges from p-type to n-type and vice versa takes place until the Fermi levels align forming a depletion region by creating a potential barrier at the junction. Since CO2 is an oxidizing gas, the adsorbed molecules capture the electrons, which enhances the barrier potential and band bending resulting in resistance. [85,86].
Figure 11.
Schematic illustration of working of p–n heterojunction of PPy and STO.
Cross sensitivity studies for PPy/STO 10% and 40% were conducted for different gases. The histograms of different gases and percentage response are shown in Figure 12. O2 response is higher than CO2 at 10% composition. However, CO2 response is higher for 40% than O2. But, CO2 is chosen for the study with environmental perspective because it provides information about air quality and atmospheric health. Since CO2 is a greenhouse gas which is responsible for global warming leading to climate change, monitoring its concentration is required for pollution tracking, industrial emission, and ventilation efficiency in indoor and outdoor settings. CO2 ratio reflects all the living beings and the environment, making them important for environmental sustainability. In contrast, O2 sensors measure O2 concentration and do not indicate pollution or air quality since it is not a harmful gas. Therefore, CO2 is chosen for study. The response is measured by purging different gases for both the samples. The gases selected were based on environmental, industrial applications. The gases selected are O2, CO2, and NH3. The percentage response for these gases was calculated from Equation (8). The samples did not respond to NH3. Even though highest response for PPy/STO 10% for O2 is found to be greater than CO2, CO2 gas repeatability was performed since CO2 is a greenhouse gas and it has potential application in gas sensing. However, PPy/STO 40% has the highest conductivity, unlike PPy/STO 10%.
Figure 12.
Histogram of response with various gases for PPy/STO 10% and PPy/STO 40%.
3.7. Response Time and Recovery Time of PPy/STO 10%, PPy/STO 40% Nanocomposite
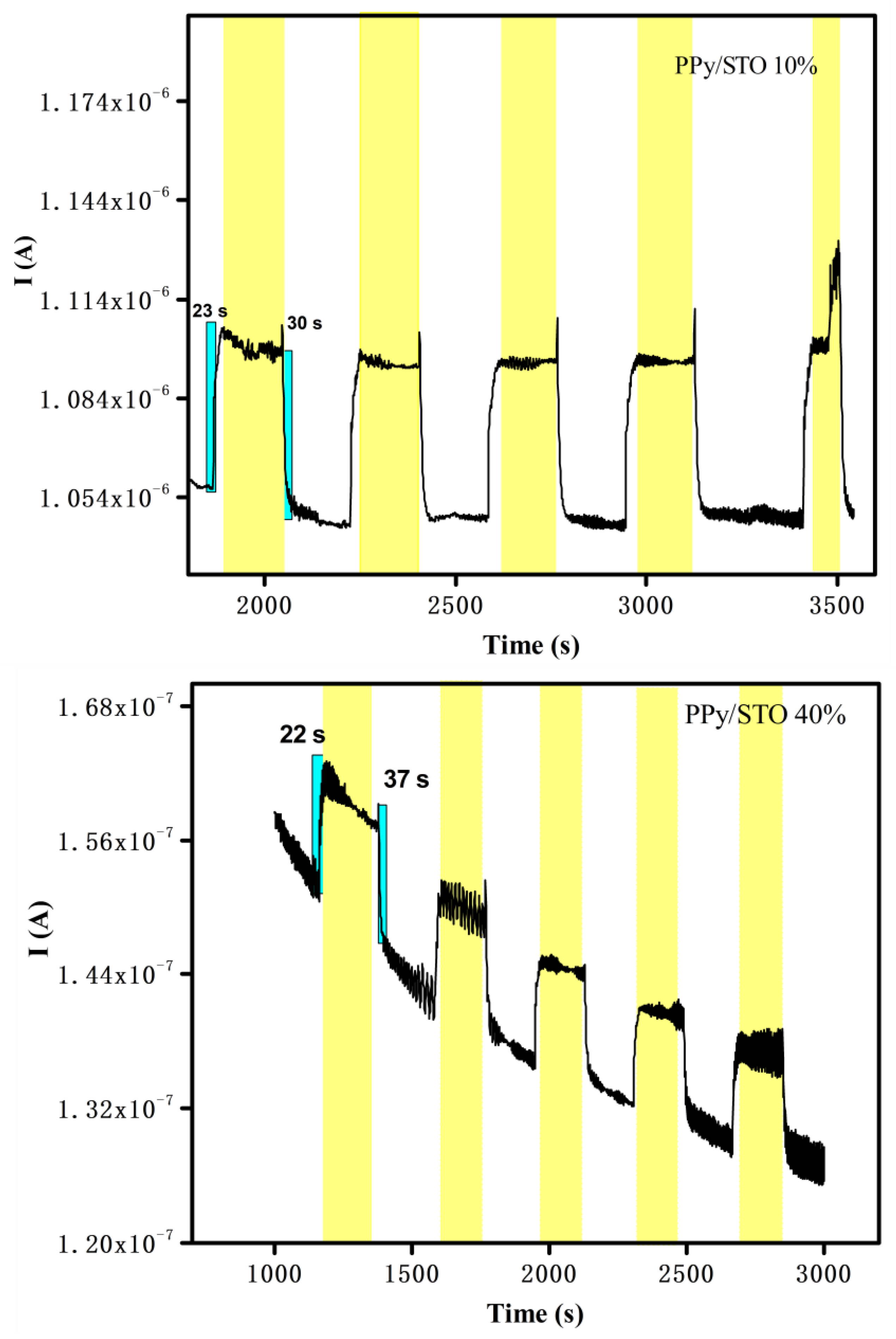
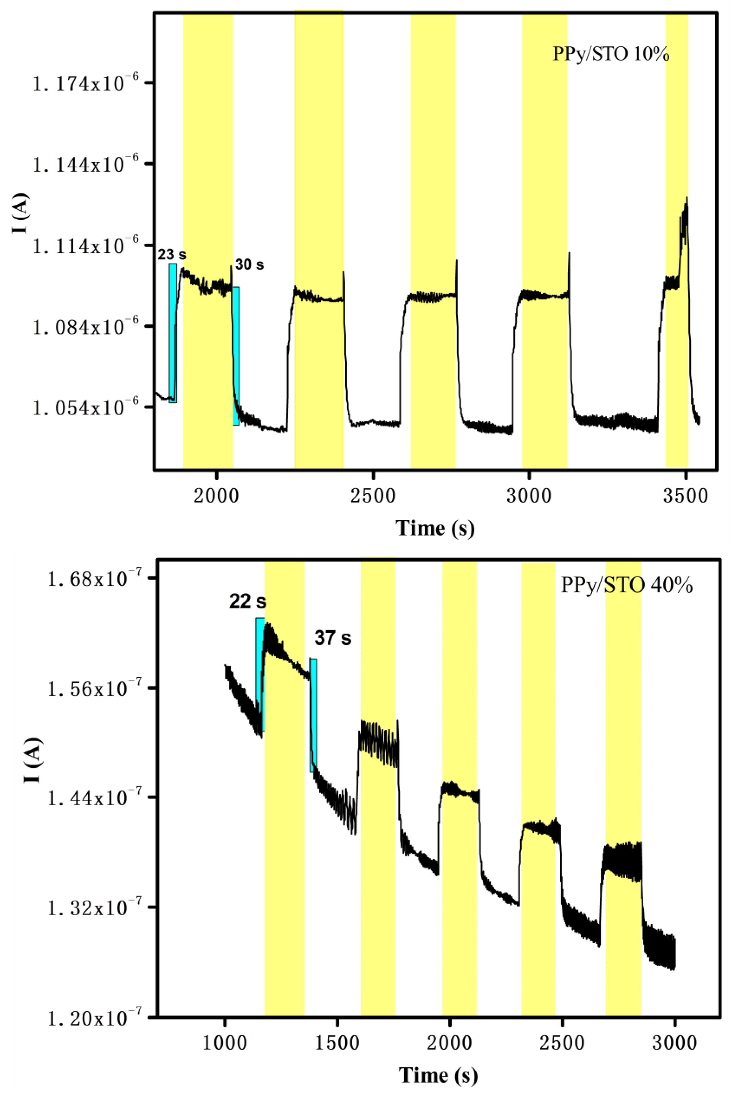
The sensing composites utilize a silver electrode consisting of two silver dots approximately 2 mm in diameter, with a sample pellet of 10 mm diameter. The sample is placed on a graphite heater inside a gas chamber. The heater is heated by a halogen bulb to the desired temperature, which is regulated using a temperature controller. A synthetic gas mixture of 79% N2 and 21% O2 is flowed through the chamber until the signal stabilizes. Then, the target gas is introduced for 3 to 4 min, and the response signal is recorded until the synthetic air is reintroduced. This cycle is repeated multiple times.
The sensing response towards CO2 purged at 1000 ppm is shown in Figure 13. The current is measured in terms of CO2, and synthetic air is purged, indicating a reaction to the CO2 gas. When the sample is exposed to CO2, the current reaches a maximum value and becomes constant, assuming saturation of the reaction region, and does not cause current variation. The percentage of response calculated for PPy/STO 10% and PPy/STO 40% is 4.784% and 7.278%, respectively. The performance for PPy/STO 40% exhibits a baseline drift and also shows a high response. The decrease in baseline is when CO2 is purged on the gas; interaction between the synthetic air and CO2 gas starts at the adsorption sites of the sample, which is exposed to CO2, which alters the surface charges. The charge carriers on the surface cause changes in conductivity. Since the sample is not exposed to a change in humidity, the effect of water molecules on the adsorption site is nil. In addition, PPy/STO 10% also indicates a good response without any baseline drift. The fundamental parameters of a gas sensor in real-time gas monitoring are response and recovery time, i.e., the time it takes for the sensor to respond when the target gas is exposed and how quickly it recovers when the gas is removed. The response time is 23 s and recovery time is 30 s for PPy/STO 10%, and response time is 22 s and recovery time is 37 s for PPy/STO 40%, as shown in Figure 13. Table 3 shows the analysis parameters of PPy/STO gas sensing.
Figure 13.
Sensing response towards CO2 gas of PPy/STO 10%, PPy/STO 40% nanocomposites.
Table 3.
Parameters of PPy/STO gas sensing.
4. Conclusions
A novel CO2 gas sensor was successfully developed using polypyrrole/strontium titanate (PPy/STO) nanocomposites synthesised via in situ chemical oxidative polymerisation. The structural and morphological analyses confirmed the formation of uniform, spherical particles with improved crystallinity and interfacial interactions as the STO content increased. The addition of STO into the PPy matrix significantly enhanced the sensor’s electrical and dielectric properties, due to improved charge carrier mobility and active surface area. Impedance and conductivity analyses revealed frequency-dependent behaviour consistent with the hopping conduction mechanism and the presence of grain and grain boundary effects. PPy/STO 20% exhibits highest conductivity and dielectric constants of 0.03604 Scm−1 and 1.074 × 104 respectively. Among the various compositions studied, the PPy/STO 10% and 40% composites exhibited optimal gas sensing performance at 50 °C, demonstrating high sensitivity, good selectivity, and fast response and recovery times to CO2. The results confirm that combining a conducting polymer with a perovskite oxide produces lightweight, stable, and efficient gas sensors, promising for real-time CO2 monitoring in environmental and industrial uses.
Author Contributions
Conceptualization, S.M. and M.V.M.; methodology, S.M., M.V.M. and S.C.; software, S.M., S.C. and S.R.A.; validation, S.C., N.N. and M.V.M.; formal analysis, S.C., S.R.A., M.V.M. and N.N.; investigation, S.M., S.C. and M.V.M.; resources, S.C. and M.V.M.; data curation, S.M., S.C., M.V.M. and S.R.A.; writing—original draft preparation, S.M. and S.C.; writing—review and editing, S.M., S.C., S.R.A. and M.V.M.; visualization, S.C., N.N. and M.V.M.; supervision, M.V.M. and S.C.; project administration, M.V.M.; funding acquisition, S.C. and N.N. All authors have read and agreed to the published version of the manuscript.
Funding
This research received no external funding.
Data Availability Statement
The original contributions presented in the study are included in the article, further inquiries can be directed to the corresponding author.
Acknowledgments
The authors, M.V.M. and S. Mytreyi, sincerely thank TEQIP-II and the Centre of Excellence in Advanced Materials Research, TEQIP 1.2.1, at B.M.S. College of Engineering, Bengaluru, CeNSE, Indian Institute of Science, Bengaluru, for gas sensing facilities, and gratefully acknowledge the Sophisticated Test and Instrumentation Centre (STIC), Cochin University of Science and Technology, Cochin, Kerala.
Conflicts of Interest
The authors declared no potential conflicts of interest with respect to the research, authorship, and/or publication of this article.
References
- Ren, Z.; Yang, J.; Qi, D.; Sonar, P.; Liu, L.; Lou, Z.; Shen, G.; Wei, Z. Flexible sensors based on organic–inorganic hybrid materials. Adv. Mater. Technol. 2021, 6, 2000889. [Google Scholar] [CrossRef]
- Wu, F.; Xie, A.; Jiang, L.; Mukherjee, S.; Gao, H.; Shi, J.; Wu, J.; Shang, H.; Sheng, Z.; Guo, R. Inorganic–organic hybrid dielectrics for energy conversion: Mechanism, strategy, and applications. Adv. Funct. Mater. 2023, 33, 2212861. [Google Scholar] [CrossRef]
- Zhou, B.; Yan, D. Glassy inorganic-organic hybrid materials for photonic applications. Matter 2024, 7, 1950–1976. [Google Scholar] [CrossRef]
- Nandihalli, N. Microwave-driven synthesis and modification of nanocarbons and hybrids in liquid and solid phases. J. Energy Storage 2025, 111, 115315. [Google Scholar] [CrossRef]
- Le, C.V.; Yoon, H. Advances in the use of conducting polymers for healthcare monitoring. Int. J. Mol. Sci. 2024, 25, 1564. [Google Scholar] [CrossRef] [PubMed]
- Peng, S.; Yu, Y.; Wu, S.; Wang, C.-H. Conductive polymer nanocomposites for stretchable electronics: Material selection, design, and applications. ACS Appl. Mater. Interfaces 2021, 13, 43831–43854. [Google Scholar] [CrossRef] [PubMed]
- Pavel, I.-A.; Lakard, S.; Lakard, B. Flexible sensors based on conductive polymers. Chemosensors 2022, 10, 97. [Google Scholar] [CrossRef]
- Sardana, S.; Gupta, A.; Singh, K.; Maan, A.; Ohlan, A. Conducting polymer hydrogel based electrode materials for supercapacitor applications. J. Energy Storage 2022, 45, 103510. [Google Scholar] [CrossRef]
- Goudar, J.A.; Thrinethra, S.N.; Chapi, S.; Murugendrappa, M.V. Recent progress in Ni-PPy based supercapacitor energy storage: A comprehensive review on structural insights, fabrication, and electrochemical mechanism. Crit. Rev. Solid State Mater. Sci. 2025, 50, 634–683. [Google Scholar] [CrossRef]
- Yu, Y.-J.; Jung, Y.-C.; Kim, Y.-K.; Choi, J.-Y. A highly conductive polymer composite with enhanced stretchability and long-term stability for wearable electronic applications. Polymer 2023, 282, 126191. [Google Scholar] [CrossRef]
- Shi, Y.; Peng, L.; Ding, Y.; Zhao, Y.; Yu, G. Nanostructured conductive polymers for advanced energy storage. Chem. Soc. Rev. 2015, 44, 6684–6696. [Google Scholar] [CrossRef]
- Keene, S.T.; Michaels, W.; Melianas, A.; Quill, T.J.; Fuller, E.J.; Giovannitti, A.; McCulloch, I.; Talin, A.A.; Tassone, C.J.; Qin, J. Efficient electronic tunneling governs transport in conducting polymer-insulator blends. J. Am. Chem. Soc. 2022, 144, 10368–10376. [Google Scholar] [CrossRef] [PubMed]
- Liu, K.; Réhault, J.; Liang, B.; Hambsch, M.; Zhang, Y.; Seçkin, S.; Zhou, Y.; Shivhare, R.; Zhang, P.; Polozij, M. A Quasi—2D Polypyrrole Film with Band-Like Transport Behavior and High Charge-Carrier Mobility. Adv. Mater. 2023, 35, 2303288. [Google Scholar] [CrossRef]
- Verma, A.; Gupta, R.; Verma, A.S.; Kumar, T. A review of composite conducting polymer-based sensors for detection of industrial waste gases. Sens. Actuators Rep. 2023, 5, 100143. [Google Scholar] [CrossRef]
- Zegebreal, L.T.; Tegegne, N.A.; Hone, F.G. Recent progress in hybrid conducting polymers and metal oxide nanocomposite for room-temperature gas sensor applications: A review. Sens. Actuators A Phys. 2023, 359, 114472. [Google Scholar] [CrossRef]
- Kushwaha, C.S.; Singh, P.; Shukla, S.K.; Chehimi, M.M. Advances in conducting polymer nanocomposite based chemical sensors: An overview. Mater. Sci. Eng. B 2022, 284, 115856. [Google Scholar] [CrossRef]
- Hong, X.; Liu, Y.; Li, Y.; Wang, X.; Fu, J.; Wang, X. Application progress of polyaniline, polypyrrole and polythiophene in lithium-sulfur batteries. Polymers 2020, 12, 331. [Google Scholar] [CrossRef]
- Zhu, F.; She, X.; Zhang, Z.; Yu, X.; Ji, J.; Li, L.; Li, S. Flexible reduced graphene oxide/polypyrrole films for supercapacitors. Diam. Relat. Mater. 2024, 141, 110581. [Google Scholar] [CrossRef]
- Mostafa, S.; Alireza, S. An electronic nose based on carbon nanotube -titanium dioxide hybrid nanostructures for detection and discrimination of volatile organic compounds. Sens. Actuators B Chem. 2022, 357, 131418. [Google Scholar]
- Ciobota, C.F.; Piticescu, R.M.; Neagoe, C.; Tudor, I.A.; Matei, A.; Dragut, D.V.; Sobetkii, A.; Anghel, E.M.; Stanoiu, A.; Simion, C.E. Nanostructured cobalt doped barium strontium Titanate thin films with potential in CO2 detection. Materials 2020, 13, 4797. [Google Scholar] [CrossRef]
- Zaza, F.; Orio, G.; Serra, E.; Caprioli, F.; Pasquali, M. Low-temperature capacitive sensor based on perovskite oxides. AIP Conf. Proc. 2015, 1667, 020004. [Google Scholar] [CrossRef]
- Li, L.; Li, J.; Xi, W.; Shu, J. Preparation of SrTiO3/PPy Composites and Photocatalytic Degradation of RhB. Catal. Lett. 2025, 155, 291. [Google Scholar] [CrossRef]
- Xiaowei, L.; Mengnan, R.; Bo, L.; Weixue, C.; Yuxin, S.; Ke, R.; Zhifeng, L. Enhanced Electromechanical Properties of Nitrile Rubber Dielectric Elastomer Composites by SrTiO3-PPy-PCPA Multilayer Core-Shell Hybrids Construction. Chem. Sel. 2024, 9, e202402217. [Google Scholar]
- Chang, Y.; Liu, Y.; Liu, H.; Li, Y.; Wang, L.; He, Z.; Meng, W.; Dai, L. High-sensitivity SO2 gas sensor based on YSZ electrolyte and SrTiO3 sensing electrode. Ceram. Int. 2024, 50, 37990–37998. [Google Scholar] [CrossRef]
- Szafraniak, B.; Fuśnik, Ł.; Xu, J.; Gao, F.; Brudnik, A.; Drewniak, S.; Maciak, E.; Błajszczak, Ł.; Rydosz, A. Analyzing BaSrTiO3 gas sensor properties under NO2 exposure: The impact of impedance spectroscopy. Metrol. Meas. Syst. 2025, 32, 1–19. [Google Scholar] [CrossRef]
- Zhang, R.; Wang, B.; Wang, X.; Zeng, K.; Guo, C. A fast response NH3 gas sensor based on phthalocyanine-optimized non-covalent hybrid of polypyrrole. Colloids Surf. A Physicochem. Eng. Asp. 2024, 702, 135037. [Google Scholar] [CrossRef]
- Song, J.H.; Min, S.H.; Kim, S.G.; Cho, Y.; Ahn, S.H. Multi-functionalization strategies using nanomaterials: A review and case study in sensing applications. Int. J. Precis. Eng. Manuf.-Green Technol. 2022, 9, 323–347. [Google Scholar] [CrossRef]
- Chougule, M.A.; G, S.; Pawar; Mulik, R.N.; Godse, P.R.; Shashwati, S.; Patil, V.B. Synthesis and characterization of polypyrrole (PPy) thin films. Soft Nanosci. Lett. 2011, 1, 6–10. [Google Scholar] [CrossRef]
- Da Silva, L.F.; Maia, L.; Bernardi, M.I.B.; Andrés, J.; Mastelaro, V.R. An improved method for preparation of SrTiO3 nanoparticles. Mater. Chem. Phys. 2011, 125, 168–173. [Google Scholar] [CrossRef]
- Pattadakal, S.; Ghatti, V.; Chapi, S.; Kumarswamy, Y.K.; Raghu, M.; Nandihalli, N.; Kasai, D.R. Poly (vinyl alcohol) Nanocomposites Reinforced with CuO Nanoparticles Extracted by Ocimum sanctum: Evaluation of Wound-Healing Applications. Polymers 2025, 17, 400. [Google Scholar] [CrossRef] [PubMed]
- Chapi, S. Influence of Co2+ on the structure, conductivity, and electrochemical stability of poly (ethylene oxide)-based solid polymer electrolytes: Energy storage devices. J. Electron. Mater. 2021, 50, 1558–1571. [Google Scholar] [CrossRef]
- Qin, W.; Nagase, T.; Umakoshi, Y.; Szpunar, J. Relationship between microstrain and lattice parameter change in nanocrystalline materials. Philos. Mag. Lett. 2008, 88, 169–179. [Google Scholar] [CrossRef]
- Lan, Y.K.; Yang, C.H.; Yang, H.C. Theoretical investigations of electronic structure and charge transport properties in polythiophene-based organic field-effect transistors. Polym. Int. 2010, 59, 16–21. [Google Scholar] [CrossRef]
- Xian, T.; Yang, H.; Di, L.; Ma, J.; Zhang, H.; Dai, J. Photocatalytic reduction synthesis of SrTiO3-graphene nanocomposites and their enhanced photocatalytic activity. Nanoscale Res. Lett. 2014, 9, 327. [Google Scholar] [CrossRef]
- Saravanan, G.; Ramachandran, K.; Gajendiran, J.; Padmini, E. Effect of ceria concentration of Strontium titanate on the structural, optical, dielectric and electrical properties. Chem. Phys. Lett. 2020, 746, 137314. [Google Scholar] [CrossRef]
- Navale, S.; Khuspe, G.; Chougule, M.; Patil, V. Polypyrrole, α-Fe2O3 and their hybrid nanocomposite sensor: An impedance spectroscopy study. Org. Electron. 2014, 15, 2159–2167. [Google Scholar]
- Navale, S.; Mane, A.; Chougule, M.; Sakhare, R.; Nalage, S.; Patil, V. Highly selective and sensitive room temperature NO2 gas sensor based on polypyrrole thin films. Synth. Met. 2014, 189, 94–99. [Google Scholar] [CrossRef]
- Goudar, J.A.; Thrinethra, S.N.; Chapi, S.; Nandihalli, N.; Murugendrappa, M.V. Temperature-dependent electrical conductivity and dielectric response of Co-doped MnFe2O4 spinel ferrite. Ionics 2025, 31, 12413–12439. [Google Scholar] [CrossRef]
- Samet, M.; Kallel, A.; Serghei, A. Polymer bilayers with enhanced dielectric permittivity and low dielectric losses by Maxwell–Wagner–Sillars interfacial polarization: Characteristic frequencies and scaling laws. J. Appl. Polym. Sci. 2019, 136, 47551. [Google Scholar]
- Pattanayak, R.; Panigrahi, S.; Dash, T.; Muduli, R.; Behera, D. Electric transport properties study of bulk BaFe12O19 by complex impedance spectroscopy. Phys. B Condens. Matter 2015, 474, 57–63. [Google Scholar]
- Xu, D.; Sridhar, V.; Mahapatra, S.; Kim, J.K. Dielectric properties of exfoliated graphite reinforced flouroelastomer composites. J. Appl. Polym. Sci. 2009, 111, 1358–1368. [Google Scholar] [CrossRef]
- Wang, T.; Hu, J.; Yang, H.; Jin, L.; Wei, X.; Li, C.; Yan, F.; Lin, Y. Dielectric relaxation and Maxwell-Wagner interface polarization in Nb2O5 doped 0.65 BiFeO3–0.35 BaTiO3 ceramics. J. Appl. Phys. 2017, 121, 084103. [Google Scholar] [CrossRef]
- Bhattacharjee, S.; Sarkar, R.; Chattopadhyay, P.; Banerjee, A.; Das, N.S.; Das, D.; Chattopadhyay, K.K. Manipulating dielectric relaxation via anisotropic field deviations in perovskite titanate grain–grain boundary heterostructure: A joint experimental and theoretical venture. Appl. Phys. A 2022, 128, 501. [Google Scholar] [CrossRef]
- Bharadwaja, S.; Krupanidhi, S. Dielectric relaxation in antiferroelectric multigrain PbZrO3 thin films. Mater. Sci. Eng. B 2000, 78, 75–83. [Google Scholar] [CrossRef]
- Sagirli, F.E.; Kayali, E.; Sarac, A. Electrochemical Impedance Spectroscopic Study on Polypyrrole/Barium Titanate/Poly (acrylonitrile-co-methylacrylate) Nanoparticles. J. Electrochem. Soc. 2015, 163, H205. [Google Scholar] [CrossRef]
- Smitha, M.; Murugendrappa, M. Transport and complex modulus study of La0.7Ca0.3MnO3 perovskite manganite nano-compound with polypyrrole as host. Polym. Bull. 2019, 76, 5363–5380. [Google Scholar] [CrossRef]
- Jorcin, J.-B.; Orazem, M.E.; Pébère, N.; Tribollet, B. CPE analysis by local electrochemical impedance spectroscopy. Electrochim. Acta 2006, 51, 1473–1479. [Google Scholar] [CrossRef]
- Hajlaoui, S.; Chaabane, I.; Guidara, K. Conduction mechanism model, impedance spectroscopic investigation and modulus behavior of the organic–inorganic [(C3H7)4N][SnCl5(H2O)]· 2H2O compound. RSC Adv. 2016, 6, 91649–91657. [Google Scholar] [CrossRef]
- MG, S.; Kumar, H.L.S. Shwetha, Morphological, structural, electrical impedance, and equivalent circuit analysis of polypyrrole/barium substituted lanthanum manganite (La0.7Ba0.3MnO3) perovskite nanocomposites. Int. J. Polym. Anal. Charact. 2023, 28, 241–255. [Google Scholar]
- Gateman, S.M.; Gharbi, O.; De Melo, H.G.; Ngo, K.; Turmine, M.; Vivier, V. On the use of a constant phase element (CPE) in electrochemistry. Curr. Opin. Electrochem. 2022, 36, 101133. [Google Scholar] [CrossRef]
- Rangel-Olivares, F.R.; Arce-Estrada, E.M.; Cabrera-Sierra, R. Synthesis and characterization of polyaniline-based polymer nanocomposites as anti-corrosion coatings. Coatings 2021, 11, 653. [Google Scholar] [CrossRef]
- Ahmad, Z.; Mishra, A.; Abdulrahim, S.M.; Touati, F. Electrical equivalent circuit (EEC) based impedance spectroscopy analysis of HTM free perovskite solar cells. J. Electroanal. Chem. 2020, 871, 114294. [Google Scholar] [CrossRef]
- Tezcan, A.E.; Vahid, A.F.; Ulusoy, M.; Altındal, Ş. A study on the complex dielectric (ε*)/electric-modulus (M*)/impedance (Z*), tangent-loss (tanδ), and ac conductivity (σac) of the Al/(S: DLC)/p-Si/Au (MIS)-type Schottky structures in a wide range of frequency and voltage at room temperature (RT). Phys. B Condens. Matter 2024, 684, 415959. [Google Scholar] [CrossRef]
- Gangadharudu, D.; Babu, Y.; Rao, B.V.; Rao, K.S. Dielectric Spectroscopy Studies on Lead Sodium Bismuth Potasium Neobate (PNBKN) Ceramic. Int. J. Adv. Res. Phys. Sci. 2015, 2, 7–21. [Google Scholar]
- Nandihalli, N.; Gregory, D.H.; Mori, T. Energy-saving pathways for thermoelectric nanomaterial synthesis: Hydrothermal/solvothermal, microwave-assisted, solution-based, and powder processing. Adv. Sci. 2022, 9, 2106052. [Google Scholar] [CrossRef]
- Wang, L.; Yang, J.; Cheng, W.; Zou, J.; Zhao, D. Progress on polymer composites with low dielectric constant and low dielectric loss for high-frequency signal transmission. Front. Mater. 2021, 8, 774843. [Google Scholar] [CrossRef]
- Liu, J.; Duan, C.-G.; Yin, W.-G.; Mei, W.-N.; Smith, R.W.; Hardy, J.R. Large dielectric constant and maxwell-wagner relaxation in Bi2∕ 3 Cu3Ti4O12. Phys. Rev. B—Condens. Matter Mater. Phys. 2004, 70, 144106. [Google Scholar] [CrossRef]
- Li, M.-D.; Tang, X.-G.; Zeng, S.-M.; Jiang, Y.-P.; Liu, Q.-X.; Zhang, T.-F.; Li, W.-H. Oxygen-vacancy-related dielectric relaxation behaviours and impedance spectroscopy of Bi (Mg1/2Ti1/2)O3 modified BaTiO3 ferroelectric ceramics. J. Mater. 2018, 4, 194–201. [Google Scholar] [CrossRef]
- Rachna, S.; Bhattacharyya, S.; Gupta, S.M. Dielectric properties and ac-conductivity analysis of Bi3.25La0.75Ti3O12 ceramic using impedance spectroscopy. J. Phys. Chem. Solids 2008, 69, 822–829. [Google Scholar] [CrossRef]
- Singh, A.; Suri, S.; Kumar, P.; Kaur, B.; Thakur, A.K.; Singh, V. Effect of temperature and frequency on electrical properties of composite multiferroic of lead titanate and strontium hexaferrite (PbTiO3–SrFe12O19). J. Alloys Compd. 2018, 764, 599–615. [Google Scholar] [CrossRef]
- Dadami, S.T.; Matteppanavar, S.; Shivaraja, I.; Rayaprol, S.; Deshpande, S.; Murugendrappa, M.; Angadi, B. Structural, dielectric and conductivity studies of PbFe0.5Nb0.5O3-BiFeO3 multiferroic solid solution. J. Alloys Compd. 2017, 724, 787–798. [Google Scholar] [CrossRef]
- Josyulu, O.; Sobhanadri, J. DC conductivity and dielectric behaviour of cobalt-zinc ferrites. Phys. Status Solidi 1980, 59, 323–329. [Google Scholar] [CrossRef]
- Kulakarni, Y.A.; Jagadeesh, M.; Jambaladinni, S.; Suresh Kumar, H.; Vasanthkumar, M.; Shivakumara, S. AC conductivity and dielectric properties of nanostructured amorphous manganese dioxide and polypyrrole/manganese dioxide composite. J. Mater. Sci. Mater. Electron. 2021, 32, 3352–3360. [Google Scholar] [CrossRef]
- Sunilkumar, A.; Manjunatha, S.; Ravikiran, Y.; Revanasiddappa, M.; Prashantkumar, M.; Machappa, T. AC conductivity and dielectric studies in polypyrrole wrapped tungsten disulphide composites. Polym. Bull. 2022, 79, 1391–1407. [Google Scholar] [CrossRef]
- Ajili, O.; Louati, B.; Guidara, K. Electrical properties and conduction mechanism by CBH model of Na2SrP2O7. J. Mater. Sci. Mater. Electron. 2018, 29, 8649–8659. [Google Scholar] [CrossRef]
- Papathanassiou, A. Novel feature of the universal power law dispersion of the ac conductivity in disordered matter. J. Non-Cryst. Solids 2006, 352, 5444–5445. [Google Scholar] [CrossRef]
- Mamunya, Y.P.; Muzychenko, Y.V.; Pissis, P.; Lebedev, E.; Shut, M. Percolation phenomena in polymers containing dispersed iron. Polym. Eng. Sci. 2002, 42, 90–100. [Google Scholar] [CrossRef]
- Nandihalli, N. Imprints of interfaces in thermoelectric materials. Crit. Rev. Solid State Mater. Sci. 2023, 48, 361–410. [Google Scholar] [CrossRef]
- Indris, S.; Heitjans, P.; Roman, H.E.; Bunde, A. Nanocrystalline versus microcrystalline Li2O:B2O3 composites: Anomalous ionic conductivities and percolation theory. Phys. Rev. Lett. 2000, 84, 2889. [Google Scholar] [CrossRef]
- Hongsith, N.; Wongrat, E.; Kerdcharoen, T.; Choopun, S. Sensor response formula for sensor based on ZnO nanostructures. Sens. Actuators B Chem. 2010, 144, 67–72. [Google Scholar] [CrossRef]
- Korotcenkov, G.; Han, S.-D.; Cho, B.; Brinzari, V. Grain size effects in sensor response of nanostructured SnO2-and In2O3-based conductometric thin film gas sensor. Crit. Rev. Solid State Mater. Sci. 2009, 34, 1–17. [Google Scholar] [CrossRef]
- Dhall, S. Carbon Nanomaterials and Their Nanocomposite-Based Chemiresistive Gas Sensors: Applications, Fabrication and Commercialization; Elsevier: Amsterdam, The Netherlands, 2023. [Google Scholar]
- Bocharov, G.S.; Eletskii, A.V. Percolation Conduction of Carbon Nanocomposites. Int. J. Mol. Sci. 2020, 21, 7634. [Google Scholar] [CrossRef]
- Šetka, M.; Drbohlavová, J.; Hubálek, J. Nanostructured polypyrrole-based ammonia and volatile organic compound sensors. Sensors 2017, 17, 562. [Google Scholar] [CrossRef]
- Siebenhofer, M.; Viernstein, A.; Morgenbesser, M.; Fleig, J.; Kubicek, M. Photoinduced electronic and ionic effects in strontium titanate. Mater. Adv. 2021, 2, 7583–7619. [Google Scholar] [CrossRef]
- Mathew, M.; Shinde, P.V.; Samal, R.; Rout, C.S. A review on mechanisms and recent developments in p-n heterojunctions of 2D materials for gas sensing applications. J. Mater. Sci. 2021, 56, 9575–9604. [Google Scholar] [CrossRef]
- Kumar, R.; Goel, N.; Hojamberdiev, M.; Kumar, M. Transition metal dichalcogenides-based flexible gas sensors. Sens. Actuators A Phys. 2020, 303, 111875. [Google Scholar] [CrossRef]
- Li, X.; Zhu, Q.-L. MOF-based materials for photo-and electrocatalytic CO2 reduction. EnergyChem 2020, 2, 100033. [Google Scholar] [CrossRef]
- Xiang, X.; Pan, F.; Li, Y. A review on adsorption-enhanced photoreduction of carbon dioxide by nanocomposite materials. Adv. Compos. Hybrid Mater. 2018, 1, 6–31. [Google Scholar] [CrossRef]
- Patil, P.; Gaikwad, G.; Patil, D.R.; Naik, J. Gas sensitivity study of polypyrrole decorated graphene oxide thick film. J. Inst. Eng. (India) Ser. D 2016, 97, 47–53. [Google Scholar] [CrossRef]
- Kacem, K.; Casanova-Chafer, J.; Ameur, S.; Nsib, M.F.; Llobet, E. Gas sensing properties of graphene oxide loaded with SrTiO3 nanoparticles. J. Alloys Compd. 2023, 941, 169011. [Google Scholar] [CrossRef]
- Mohammad, M.J.; Sudha, A.; Adavalli, M.H.; Swaminathan, P. Room temperature chemiresistive sensing of carbon dioxide using a composite of zinc oxide and nickel oxide. Surf. Interfaces 2023, 41, 103155. [Google Scholar] [CrossRef]
- Li, G.; Hilal, M.; Kim, H.; Lee, J.; Chen, Z.; Li, B.; Cui, Y.; Hou, J.; Cai, Z. Selective CO2 Detection at Room Temperature with Polyaniline/SnO2 Nanowire Composites. Coatings 2024, 14, 1590. [Google Scholar] [CrossRef]
- Yang, S.; Lei, G.; Xu, H.; Lan, Z.; Wang, Z.; Gu, H. Metal oxide-based heterojunctions for gas sensors: A review. Nanomaterials 2021, 11, 1026. [Google Scholar] [CrossRef]
- Filipescu, M.; Dobrescu, S.; Bercea, A.I.; Bonciu, A.F.; Marascu, V.; Brajnicov, S.; Palla-Papavlu, A. Polypyrrole–Tungsten Oxide Nanocomposite Fabrication through Laser-Based Techniques for an Ammonia Sensor: Achieving Room Temperature Operation. Polymers 2024, 16, 79. [Google Scholar] [CrossRef]
- Yang, S.; Zhao, K.; Shi, Y.; Cui, M.; Tang, B.; Zheng, C.; Chen, Q.; Hu, Y. Flexible Resistive Gas Sensor Based on Molybdenum Disulfide-Modified Polypyrrole for Trace NO2 Detection. Polymers 2024, 16, 1940. [Google Scholar] [CrossRef] [PubMed]
Disclaimer/Publisher’s Note: The statements, opinions and data contained in all publications are solely those of the individual author(s) and contributor(s) and not of MDPI and/or the editor(s). MDPI and/or the editor(s) disclaim responsibility for any injury to people or property resulting from any ideas, methods, instructions or products referred to in the content. |
© 2025 by the authors. Licensee MDPI, Basel, Switzerland. This article is an open access article distributed under the terms and conditions of the Creative Commons Attribution (CC BY) license (https://creativecommons.org/licenses/by/4.0/).












