Next Article in Journal
Process of Fabricating Hyaluronic Acid-Based Milli-to-Microneedles Using the Bi-Directional Drawing Method
Previous Article in Journal
Fine-Tuning Flexographic Ink’s Surface Properties and Providing Anti-Counterfeit Potential via the Addition of TiO2 and ZnO Nanoparticles
 
 
Font Type:
Arial Georgia Verdana
Font Size:
Aa Aa Aa
Line Spacing:
Column Width:
Background:
Article

Effect of a Transverse DC Magnetic Field on the Specific Absorption Rate of Magnetite and Co Ferrite Nanoparticles Under an Alternating Magnetic Field

Graduate School of Engineering Science, Akita University, Akita 010-8502, Japan
*
Author to whom correspondence should be addressed.
Micro 2025, 5(2), 21; https://doi.org/10.3390/micro5020021
Submission received: 28 March 2025 / Revised: 25 April 2025 / Accepted: 25 April 2025 / Published: 28 April 2025
(This article belongs to the Section Microscale Physics)

Abstract

The heat generation characteristics of magnetic nanoparticles (NPs) induced by an alternating magnetic field (AMF) while simultaneously exposed to a DC magnetic field are crucial for the clinical application of magnetic fluid hyperthermia integrated with magnetic particle imaging. In this study, we investigated the dependence of the specific absorption rate (SAR) of magnetite and cobalt (Co) ferrite NP suspensions on a static transverse DC magnetic field under an applied AMF. The results showed that the SAR of Co ferrite NPs remained unaffected by the DC magnetic field, whereas that of magnetite NPs gradually decreased as the DC magnetic field increased. Furthermore, the SAR of magnetite NPs dispersed in high-viscosity solvents was somewhat lower than that of particles dispersed in water, while the SAR of Co ferrite NPs was significantly reduced. These findings can be explained by differences in the Néel relaxation time, which arise from variations in magnetic anisotropy.

1. Introduction

Over the past two decades, magnetic fluid hyperthermia (MFH) has attracted considerable attention because of the feasibility of noninvasive cancer treatment. In this method, magnetic nanoparticles (MNPs) injected into cancerous tissue can cause local heating through exposure to a high-frequency alternating magnetic field (AMF), which reduce cancerous tissue by raising cell temperature up to 42–43 °C based on the difference in sensitivity of normal and cancerous tissue to the heat [1,2,3]. As the heating mediators, MNPs must be directly introduced into the body to effectively kill cancer cells. Consequently, they must have low toxicity, generate heat efficiently in small amounts, and be easily excreted. Iron oxide (magnetite and maghemite) and other ferrite nanoparticles (NPs) have been primarily investigated as heating mediators due to their high biocompatibility with the human body [4,5]. While iron oxide NPs have low toxicity, their heating efficiency is limited, necessitating higher dosages. In principle, heating efficiency can be enhanced by increasing the magnetic field amplitude and AMF frequency. However, in clinical settings, these parameters are constrained due to potential adverse effects on the human body. According to the biomedical guidelines, the product of frequency (f) and AMF amplitude (H) should be less than 5 × 109 A/(m·s) to avoid harmful effects on the human body [6]. Therefore, maximizing the amount of heat generated under these conditions is crucial. The heating efficiency of NPs in an AMF is evaluated using a parameter called the specific absorption rate (SAR) or specific loss power (SLP), which represents the energy absorbed or heat generated per unit time per unit mass of MNPs exposed to the AMF. Increasing the SAR of MNPs can reduce the required dosage of particles and shorten their residence time in the body. As a result, extensive research has been conducted to develop MNPs with a high SAR. Several studies have reported that the SARs of MNPs depend not only on external factors, such as the strength and frequency of the AMF, but also on the properties of the MNPs themselves, such as particle size, shape, solvent, and magnetic anisotropy [7,8]. In addition to experimental studies, numerous theoretical investigations such as those employing the Monte Carlo method and Landau–Lifshitz–Gilbert (LLG) simulations have been conducted to evaluate the SAR as a function of external factors and the intrinsic properties of nanoparticles [9,10].
On the other hand, for successful clinical treatment, it is essential to maintain a constant local temperature in the affected area by controlling the heat generated and monitoring the temperature. To achieve this requirement, it is crucial to control the distribution of accumulated MNPs and monitor the temperature distribution within the body, which are major issues in MFH. To address these issues, MFH combined with magnetic particle imaging (MPI) has been proposed [11,12,13,14]. MPI is an emerging imaging technique that detects the signal of MNPs introduced into the body as tracers. An MPI scanner generates a spatial distribution of magnetic fields by applying opposing DC magnetic fields alongside the AMF, and scans regions where the DC magnetic field is not applied (known as the field-free point: FFP), selectively capturing the AC magnetization signals from MNPs at the FFP. Several experimental studies have investigated the heating efficiency of MNPs under the application of a static DC magnetic field superimposed on an AMF [15,16,17,18,19]. In many cases, heating efficiency decreases under an applied DC magnetic field compared to when no DC magnetic field is present [15,16,17]. However, some studies have reported an increase in heating efficiency when a DC magnetic field is combined with an AMF, due to the formation of a chain-like structure in the MNPs [18,19]. When heating efficiency decreases due to the application of a DC magnetic field, heat generation from the MNPs is suppressed in regions outside the FFP and is confined to the vicinity of the FFP. This effect can be utilized to control the temperature of the affected area by adjusting the amount of heat generated by the AMF through an external DC magnetic field. However, the effects of MNP magnetic properties, such as magnetic anisotropy, as well as the internal environment of the human body on the DC magnetic field dependence of SAR have not been thoroughly investigated and thus require further study.
For example, the magnetic anisotropy constant of magnetite nanoparticles with a particle size of 11 nm has been reported to be 41 kJ/m3. In contrast, due to the strong spin–orbit interaction of Co ions, cobalt ferrite nanoparticles with a particle size of 12.7 nm have been reported to exhibit a value of 250 kJ/m3, which is more than six times greater than that of magnetite [20,21]. As magnetic fluid samples containing MNPs with different magnetic anisotropy exhibit different orientation effects on the DC magnetic fields, it is interesting to inspect the effect of DC magnetic fields on the changes in SAR. In this study, the DC magnetic field dependence of SAR was investigated by superimposing a DC magnetic field with an AMF. The samples were Fe3O4 NPs, with moderate magnetic anisotropy, and CoFe2O4 NPs, with high magnetic anisotropy, dispersed in water and glycerol solutions, simulating the suppression of Brownian motion of MNPs accumulated in cells.

2. Materials and Methods

Fe3O4 NPs and CoFe2O4 NPs were synthesized by thermal decomposition [22,23]. For Fe3O4 NPs, Fe(acac)3 (2 mmol), 1,2-hexadecanediol (8 mmol) (Sigma-Aldrich, Saint Louis, MO, USA), oleic acid (OA, 16 mmol), oleylamine (OAm, 4 mmol) (FUJIFILM Wako Pure Chemical, Osaka, Japan), and benzyl ether (20 mL) (Sigma-Aldrich, Saint Louis, MO, USA) were mixed and magnetically stirred under a flow of argon (Taiyo Nippon Sanso, Tokyo, Japan). The mixture was heated to 200 °C for 1 h and then under a blanket of argon was further heated to reflux (300 °C) for 1 h. For CoFe2O4 NPs, Fe(acac)3 (1.4 mmol), Co(acac)2 (1.6 mmol) (Sigma-Aldrich, Saint Louis, USA), 1,2-hexadecanediol (10 mmol), oleic acid (6 mmol), oleylamine (6 mmol), and benzyl ether (20 mL) were mixed and magnetically stirred under a flow of argon. The mixture was heated to 200 °C for 1 h and then under a blanket of argon was further heated to reflux (300 °C) for 1 h. After cooling to room temperature, the particles were separated by adding ethanol and were subsequently centrifuged. The resulting hydrophobic precipitate was dispersed in hexane. An aliquot of the sample was used for phase transfer. In brief, the MNPs coated with OA and OAm in hexane were mixed with dimethyl sulfoxide (DMSO)and dimercaptosuccinic acid (DMSA) (FUJIFILM Wako Pure Chemical, Osaka, Japan). The mixture was vigorously stirred overnight, resulting in the formation of black precipitates. The resulting sample was isolated by centrifugation and well dispersed in deionized water (Direct-Q, Merck Millipore, Barrington, IL, USA). The stock solution remained stable for several months or longer [24]. Figure 1a–f show TEM (JEM-2010, JEOL, Tokyo, Japan) images, selected-area electron diffraction (SAED) patterns, and size distribution histograms obtained by measuring the diameters of more than 200 particles of Fe3O4 and CoFe2O4 NPs. Well-separated monodispersed particles are observed. The solid line corresponds to the fitting result by a log-normal distribution. The median particle diameters of Fe3O4 NPs and CoFe2O4 NPs are d0 = 13.9 nm (polydispersity index σ = 0.16) and d0 = 12.9 nm (σ = 0.12), respectively. The crystal structure of the NPs was characterized by the selected area electron diffraction. All diffraction patterns were well matched with the spinel structure. The elemental analysis of the CoFe2O4 NPs sample using an energy dispersive X-ray spectroscopy (EDS) confirmed a Co:Fe stoichiometry of 1:2.2, indicating the successful formation of CoFe₂O₄ NPs. For experiments, samples were dispersed in 0.5 mL of solvent (deionized water and 75 wt% glycerol solution (FUJIFILM Wako Pure Chemical, Osaka, Japan)) in PP test tubes with an inner diameter of ϕ7.3 mm. The nanoparticle concentration in the sample was determined by measuring the iron concentration using the 1,10-phenanthroline colorimetric method.
Figure 2 shows a schematic of a home-built experimental apparatus for magnetically induced heating, which is a modified version of the apparatus used in previous studies [25,26]. As shown in the figure, an alternating current was applied from a high-frequency power supply (300 W, 200 kHz–3 MHz, T162-5524A, Thamway, Shizuoka, Japan) to an impedance-matched coil through a matching device (T020-5523B, Thamway, Shizuoka, Japan), comprising a variable capacitor connected in series and variable inductance connected in series and parallel to generate an AMF inside the coil. A test tube (polypropylene, ASONE, Osaka, Japan) filled with the sample suspension was placed inside the AMF coil to generate heat. The AMF coil comprised a copper pipe (ϕ5, 14 turn), and cooling water was circulated inside the copper pipe to suppress the heat generated by the coil itself. The temperature of the suspension was measured using a fiber-optic thermometer (FL-2000, Anritsu, Tokyo, Japan), and data were recorded every second on a PC for the calorimetric evaluation of the SAR of the samples. Dynamic hysteresis of the sample was obtained by calculating the magnetization M(t) and magnetic field H(t) as a function of time by connecting a digital oscilloscope (TDS-3012, Tektronix, Beaverton, OR, USA) to two oppositely wound pickup coils connected in series inside the AMF coil bobbin (shown in the Figure 2) and measuring the electromotive force induced in the coil. This measurement system is similar to the apparatus developed in Ref. [27]. As shown in Figure 2, the DC magnetic field was generated perpendicular to the AMF by placing coils with an iron core. The DC magnetic field coils comprised five layers of a polyurethane-coated copper wire (ϕ1 mm) on bobbins. The coils were connected to a bipolar DC power supply (0–7.5 A, BWS40-7.5, Takasago, Kanagawa, Japan), and current could flow in the positive and negative directions. The variation in the AC and DC magnetic field strength 1 cm above and below the center of the sample was confirmed to be less than 1% using a search coil and Gauss meter (MG-3003SD, Lutron, Taipei, Taiwan).

3. Results and Discussion

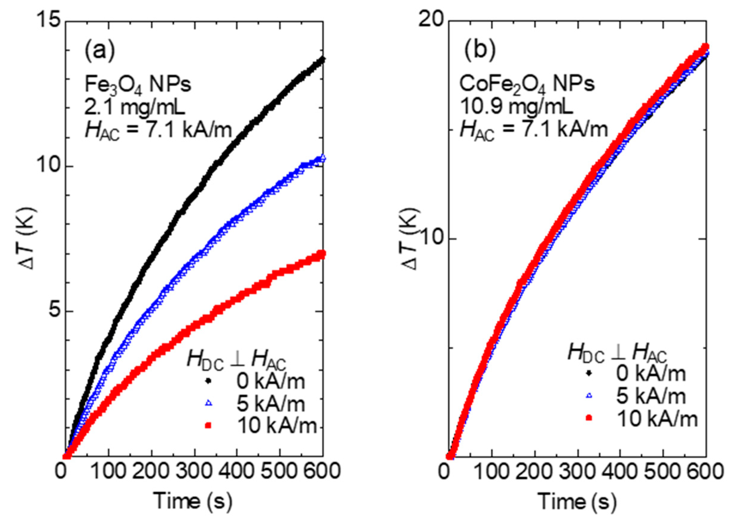
Magnetically induced heating experiments were carried out at a constant AMF frequency of 500 kHz and a constant AMF amplitude of 7.1 kA/m. The DC magnetic field strength HDC was varied from 0 to 10.0 kA/m. Figure 3a,b show the representative heating curves for Fe3O4 NPs and CoFe2O4 NPs, respectively. The initial temperature of the samples (t = 0) was set to T = 20 °C for all heating experiments. As shown in Figure 3a, the temperature increase rate Δ T / Δ t t = 0 (initial slope of the heating curve) for Fe3O4 NPs decreases significantly at 10 kA/m in comparison with that in the absence of the DC magnetic field, while for CoFe2O4 NPs, as shown in Figure 3b, the heating curves are almost identical regardless of the magnitude of the DC magnetic field. Although the heating curves start to deviate at approximately t = 200 s, due to differences in the external environment (e.g., room temperature), the SAR calculated by the calorimetric method uses the initial slope of the heating curve, so the SAR is expected to be almost constant regardless of the DC magnetic field. The SAR is calculated from the heating curve by the following equation:
S A R = C m Δ T Δ t t = 0
where C is the heat capacity of the magnetic fluid sample (C = 2.09 J/K for 0.5 mL deionized water), and m is the mass of the magnetic particles in the fluid (m = 1.05 mg for Fe3O4 NPs, and m = 5.45 mg for CoFe2O4 NPs). The slope obtained by linear fitting of the heating curve data up to 50 s after the application of the AMF was defined as Δ T / Δ t t = 0 .
Figure 4 shows the dynamic hysteresis curves measured by the pickup coil. The dynamic hysteresis curves exhibit an elliptical shape with a tilted principal axis, indicating that the time variation of magnetization exhibits a phase lag relative to the magnetic field. Furthermore, the magnetization exhibits a linear response to the magnetic field up to the amplitude of 7.1 kA/m. In the case of CoFe2O4 NPs, the shape is almost independent of the magnitude of the DC magnetic field, with no significant change in the internal area of the hysteresis, which corresponds to the amount of heat per AMF cycle. The SAR is expressed by the following equation using the internal area A of the hysteresis curve:
SAR = f A c
where c is the concentration of the magnetic particles in the magnetic fluid, and f is the AMF frequency.
Figure 5a,b show the SARs obtained under each DC magnetic field strength from the above results and plotted against the DC magnetic field strength for Fe3O4 NPs and CoFe2O4 NPs, respectively. Open triangles and open circles correspond to the results obtained by the calorimetric method and magnetometric method, respectively. As shown in Figure 5a, the SAR of Fe3O4 NPs decreases gradually with the increase in the DC magnetic field strength. The results obtained by the calorimetric and magnetic hysteresis methods were in good agreement. On the other hand, the SAR of CoFe2O4 NPs shown in Figure 5b is almost independent of the DC magnetic field strength.
The heating mechanism of superparamagnetic NPs is explained by the linear response theory (LRT) in the range of low AMF amplitudes, where the magnetization exhibits a linear response to the magnetic field, using the Néel relaxation time τ N and the Brownian relaxation time τ B [28]. τ N and τ B are expressed as follows:
  τ N = τ 0 2 π k B T K V m e K V m k B T ,     τ B = 3 η V h k B T ,
where τ 0 is the time constant, which is typically assumed to be 10 9 s, k B is Boltzmann’s constant, T is the absolute temperature, and K is the magnetic anisotropy constant of the particle. η is the viscosity of the liquid media in which MNPs are dispersed. V m = π 6 d 3 and V h = π 6 d + 2 δ 3 are the magnetic and hydrodynamic volumes of the particles, where d is the magnetic diameter of NPs, and δ is the thickness of the organic capping layer and nonmagnetic part of the NP. Herein, δ = 2 nm for the capping layer was assumed. τ is the effective relaxation time defined by 1 τ = 1 τ N + 1 τ B , and the maximum heating efficiency is obtained by satisfying 2 π f τ = 1 .
To simulate the accumulation of MNPs in cells, glycerol was mixed with the sample solvent, and the viscosity of the solvent was increased to limit the Brownian relaxation. The results obtained by magnetometry are denoted by closed circles, and those obtained by calorimetry are denoted by closed triangles in Figure 5a,b. As shown in Figure 5a, for the Fe3O4 NP sample dispersed in a 75 wt% glycerol solution (η = 36.5 mPa·s), the SAR decreases by a constant amount of approximately 40 W/g regardless of the DC magnetic field strength. For the CoFe2O4 NP sample dispersed in a 75 wt% glycerol solution, the SAR is considerably reduced (Figure 5b). This decrease in SAR is considered to be the contribution of Brownian relaxation to heat generation.
The above results are discussed in terms of the relaxation time. Figure 6 shows the results obtained from the calculation of the size dependence of the Brownian and Néel relaxation times of the particles using the parameter in Ref. [28]. The median particle size of the samples used in this experiment is indicated by the arrows in the figure. The AMF frequency used for the measurements was f = 500 kHz, and τ H = 1 / 2 π f (the characteristic time corresponding to the maximum heating efficiency condition for the measurement frequency) is indicated by the dotted horizontal line in the figure. The Brownian relaxation time τB is the same for the CoFe2O4 and Fe3O4 NPs as it depends only on the particle size, temperature, and solvent viscosity. The size dependence of τB, which is proportional to particle volume, is denoted by the broken lines in the figure for the case with water and 75 wt% glycerin solution as the solvents. The Néel relaxation time τN is exponentially dependent on the magnetic anisotropy of the sample; thus, it differs significantly between the two samples. As shown by the thick solid line, τN for CoFe2O4 NPs is very long even for sizes less than 10 nm owing to the high magnetic anisotropy constant, and at 12.9 nm, it far exceeds the characteristic time of the AMF. On the other hand, the τN of Fe3O4 NPs, represented by the thin solid line, is comparable to the characteristic time of the AMF even at 13.9 nm.
As the Néel relaxation time of CoFe2O4 NPs is sufficiently large relative to the AMF characteristic time, there is no relaxation of the magnetic moment due to thermal fluctuations on the AMF time scale. The Brownian relaxation time τB is slightly longer than τH for the median particle size of CoFe2O4 NPs. However, τB and τH are of the same order when the size distribution is considered. A part of CoFe2O4 NPs is considered to relax against AMF by particle rotation. If the Brownian relaxation time does not depend significantly on the static magnetic field, the SAR of CoFe2O4 NPs becomes almost constant regardless of the static magnetic field strength. When the amplitude of AMF is sufficiently small for the magnetization to respond linearly, the Brownian relaxation time τ for randomly distributed particles under a DC magnetic field perpendicular to the AMF is expressed by the following equation using τ B in the absence of a DC magnetic field:
  τ ξ = 2 L ( ξ ) ξ L ( ξ ) τ B ,
where ξ = μ 0 H M s V m / k B T is a dimensionless magnetic field parameter, μ 0 is the permeability of the vacuum, M s is the saturation magnetization of the particle, and L ξ = coth ξ 1 / ξ is the Langevin function [29]. Calculations under the conditions of this experiment (particle diameter d = 12.9   n m ; saturation magnetization M s = 425   k A / m ) reveal that τ = 0.83 τ B at a maximum magnetic field of HDC = 10 kA/m, indicative of a small change in τ B . Furthermore, for samples with a high viscosity solvent, represented by the thick broken line in the figure, τ B is greater than one order of magnitude longer than the AMF characteristic time; thus, the relaxation owing to particle rotation does not occur, which is consistent with the fact that the heat generation in CoFe2O4 NPs dispersed in the glycerol solution almost disappears. These properties of CoFe2O4 NPs are disadvantageous in comparison with those of Fe3O4 NPs in terms of heat generation control by static magnetic fields. In addition, the CoFe2O4 NPs are not suitable for MFH because their heat generation is suppressed in the in vivo environment, where the viscosity is high, and particle rotation is often suppressed.
Figure 7 shows the results of the DC magnetic field dependence of SAR measured by varying the AMF amplitude for a Fe3O4 NP sample dispersed in a high-viscosity solvent, i.e., where Brownian relaxation is suppressed, and heating only occurs due to Néel relaxation. As shown in the figure, the SAR decreases gradually with the increase in the DC magnetic field strength under all AMF amplitudes. Theoretically, the static DC magnetic field dependence of the Néel relaxation time is even more complicated than Brownian relaxation, and an analytical expression is not obtained for the sample with the random distribution of the easy axis [30]. However, this DC magnetic field dependence of SAR can be phenomenologically well fitted by the following equation:
S A R H D C = a H a 2 H a 2 + H D C 2
where a corresponds to the SAR value without the DC magnetic field, and Ha is the fitting parameter. The Ha obtained from the fits shown by the solid lines in Figure 7 are Ha = 6.5, 6.1, and 6.1 kA/m for AMF amplitude HAC = 7.1, 5.5, and 3.9 kA/m, respectively. In a similar phenomenological analysis conducted by Murase et al. [16], it was assumed that Ha = HAC under the application of a magnetic field with a gradient, rather than a uniform DC magnetic field. In contrast, the present results show a slight dependence of Ha on the AMF amplitude. This parameter is considered to be intricately related to the dynamic magnetic properties of the nanoparticle materials. Therefore, to discuss the DC magnetic field dependence quantitatively, analysis by numerical simulations using the LLG equation is essential [31,32].
Notably, the SAR of Fe3O4 NPs is a single-valued function that monotonically decreases with respect to the DC magnetic field, suggesting that the heat generation can be easily controlled by the DC magnetic field while maintaining the AMF amplitude constant. Several techniques have been proposed for noninvasive temperature measurement of the affected area during MFH via the detection of the harmonic magnetization signal, attributed to the nonlinearity of the magnetization of the NPs under the application of a large AMF [33,34,35]. Although it is possible to control the affected area to a specific temperature during treatment by changing the AMF amplitude, changing the AMF amplitude may not provide a sufficient signal intensity as required by these techniques. Therefore, stabilizing the temperature of the affected area by controlling the amount of heat generated under the application of a DC magnetic field may be beneficial for future MFH applications combined with noninvasive thermometry.

4. Conclusions

In summary, the DC magnetic field dependence of the SAR for Fe3O4 NPs and CoFe2O4 NPs was measured and compared to investigate changes in the heat generation rate under the application of a transverse DC magnetic field for nanoparticles with different magnetic anisotropy. With the increase in the DC magnetic field, the SAR of Fe3O4 NPs gradually decreased, while that of CoFe2O4 NPs remained almost constant regardless of the DC magnetic field strength. By increasing the viscosity of the solvent, the SAR of the samples decreased to some extent and became almost zero for the CoFe2O4 NP sample. This behavior can be explained by the fact that the Néel and Brownian relaxation times of the Fe3O4 NPs were similar to the characteristic time of the AMF, whereas the Néel relaxation time of the CoFe2O4 NPs with high magnetic anisotropy was extremely long, and most of the generated heat was attributed to rotational relaxation of the particles. The DC magnetic field dependence of SAR for Fe3O4 NPs in a biomimetic environment was not significantly affected by the AMF amplitude and could be well fitted by a phenomenological function. These results would be beneficial for the development of MFH combined with MPI and noninvasive thermometry.

Author Contributions

Conceptualization, Y.Y.; methodology, Y.Y. and H.S.; software, Y.Y.; validation, Y.Y. and H.S.; formal analysis, Y.Y and H.S.; investigation, Y.Y and H.S.; resources, Y.Y.; data curation, Y.Y and H.S.; writing—original draft preparation, Y.Y.; writing—review and editing, Y.Y.; visualization, Y.Y.; supervision, Y.Y.; project administration, Y.Y.; funding acquisition, Y.Y. All authors have read and agreed to the published version of the manuscript.

Funding

This research was funded by JSPS KAKENHI Grant Number 20K12663 and 24K15763.

Institutional Review Board Statement

Not applicable.

Informed Consent Statement

Not applicable.

Data Availability Statement

The raw data supporting the conclusions of this article will be made available by the authors on request due to privacy.

Conflicts of Interest

The authors declare that they have no conflicts of interest.

References

  1. Pankhurst, Q.A.; Thanh, N.K.T.; Jones, S.K.; Dobson, J. Progress in applications of magnetic nanoparticles in biomedicine. J. Phys. D Appl. Phys. 2009, 42, 224001. [Google Scholar] [CrossRef]
  2. Hergt, R.; Dutz, S.; Müller, R.; Zeisberger, M. Magnetic particle hyperthermia: Nanoparticle magnetism and materials development for cancer therapy. J. Phys. Cond. Mat. 2006, 18, S2919. [Google Scholar] [CrossRef]
  3. Dutz, S.; Hergt, R. Magnetic particle hyperthermia—A promising tumour therapy? Nanotechnology 2014, 25, 452001. [Google Scholar] [CrossRef] [PubMed]
  4. Périgo, A.; Hemery, G.; Sandre, O.; Ortega, D.; Garaio, E.; Plazaola, F.; Teran, F.J. Fundamentals and advances in magnetic hyperthermia. Appl. Phys. Rev. 2015, 2, 041302. [Google Scholar] [CrossRef]
  5. Zhang, L.; Li, Q.; Liu, J.; Deng, Z.; Zhang, X.; Alifu, N.; Zhang, X.; Yu, Z.; Liu, Y.; Lan, Z.; et al. Recent advances in functionalized ferrite nanoparticles: From fundamentals to magnetic hyperthermia cancer therapy. Colloids Surf. B Biointerfaces 2024, 234, 113754. [Google Scholar] [CrossRef]
  6. Hergt, R.; Dutz, S. Magnetic particle hyperthermia-biophysical limitations of a visionary tumour therapy. J. Magn. Magn. Mater. 2007, 311, 187–192. [Google Scholar] [CrossRef]
  7. Mohapatra, J.; Xing, M.; Liu, J.P. Inductive Thermal Effect of Ferrite Magnetic Nanoparticles. Materials 2019, 12, 3208. [Google Scholar] [CrossRef]
  8. Bai, S.; Hou, S.; Chen, T.; Ma, X.; Gao, C.; Wu, A. Magnetic nanoparticle-mediated hyperthermia: From heating mechanisms to cancer theranostics. Innov. Mater. 2024, 2, 100051. [Google Scholar] [CrossRef]
  9. Ferrero, R.; Vicentini, M.; Manzin, A. Influence of size, volume concentration and aggregation state on magnetic nanoparticle hyperthermia properties versus excitation conditions. Nanoscale Adv. 2024, 6, 1739–1749. [Google Scholar] [CrossRef]
  10. Maniotis, N.; Gitsou, M.; Maragakis, M. Conjugating magnetic nanoparticles anisotropy to their dipolar interactions: Effect on the hyperthermic losses index via micromagnetic simulations. J. Magn. Magn. Mater. 2025, 617, 172843. [Google Scholar] [CrossRef]
  11. Gleich, B.; Weizenecker, J. Tomographic imaging using the nonlinear response of magnetic particles. Nature 2005, 435, 1214–1217. [Google Scholar] [CrossRef] [PubMed]
  12. Chandrasekharan, P.; Tay, Z.W.; Hensley, D.; Zhou, X.Y.; Fung, B.K.; Colson, C.; Lu, Y.; Fellows, B.D.; Huynh, Q.; Saayujya, C.; et al. Using magnetic particle imaging systems to localize and guide magnetic hyperthermia treatment: Tracers, hardware, and future medical applications. Theranostics 2020, 10, 2965–2981. [Google Scholar] [CrossRef] [PubMed]
  13. Myrovali, E.; Maniotis, N.; Samaras, T.; Angelakeris, M. Spatial focusing of magnetic particle hyperthermia. Nanoscale Adv. 2020, 2, 408–416. [Google Scholar] [CrossRef] [PubMed]
  14. Buchholz, O.; Sajjamark, K.; Franke, J.; Wei, H.; Behrends, A.; Munkel, C.; Gruttner, C.; Levan, P.; von Elverfeldt, D.; Graeser, M.; et al. In situ theranostic platform combining highly localized magnetic fluid hyperthermia, magnetic particle imaging, and thermometry in 3D. Theranostics 2024, 14, 324–340. [Google Scholar] [CrossRef]
  15. Mehdaoui, B.; Carrey, J.; Stadler, M.; Cornejo, A.; Nayral, C.; Delpech, F.; Chaudret, B.; Respaud, M. Influence of a transverse static magnetic field on the magnetic hyperthermia properties and high-frequency hysteresis loops of ferromagnetic FeCo nanoparticles. Appl. Phys. Lett. 2012, 100, 052403. [Google Scholar] [CrossRef]
  16. Murase, K.; Takata, H.; Takeuchi, Y.; Saito, S. Control of the temperature rise in magnetic hyperthermia with use of an external static magnetic field. Phys. Medica 2013, 29, 624–630. [Google Scholar] [CrossRef]
  17. Onodera, R.; Kita, E.; Kishimoto, M.; Kuroiwa, T.; Yanagihara, H. Dynamic Hysteresis Measurement of Magnetic Nanoparticle Suspensions in Parallel and Perpendicular DC Magnetic Fields. IEEE Trans. Magn. 2021, 57, 6100605. [Google Scholar] [CrossRef]
  18. Ranoo, S.; Lahiri, B.B.; Philip, J. Enhancement in field-induced heating efficiency of TMAOH coated superparamagnetic Fe3O4 nanoparticles by texturing under a static bias field. J. Magn. Magn. Mater. 2020, 498, 166138. [Google Scholar] [CrossRef]
  19. Lucaciu, C.M.; Nitica, S.; Fizesan, I.; Filip, L.; Bilteanu, L.; Iacovita, C. Enhanced Magnetic Hyperthermia Performance of Zinc Ferrite Nanoparticles Under a Parallel and a Transverse Bias DC Magnetic Field. Nanomaterials 2022, 12, 3578. [Google Scholar] [CrossRef]
  20. Roca, A.G.; Morales, M.P.; O’Grady, K.; Serna, C.J. Structural and magnetic properties of uniform magnetite nanoparticles prepared by high temperature decomposition of organic precursors. Nanotechnology 2006, 17, 2783–2788. [Google Scholar] [CrossRef]
  21. Torres, T.E.; Roca, A.G.; Morales, M.P.; Ibarra, A.; Marquina, C.; Ibarra, M.R.; Goya, G.F. Magnetic properties and energy absorption of CoFe₂O₄ nanoparticles for magnetic hyperthermia. J. Phys. Conf. Ser. 2010, 200, 072101. [Google Scholar] [CrossRef]
  22. Sun, S.; Zeng, H.; Robinson, D.B.; Raoux, S.; Rice, P.M.; Wang, S.X.; Li, G. Monodisperse MFe2O4 (M = Fe, Co, Mn) Nanoparticles. J. Am. Chem. Soc. 2004, 126, 273–279. [Google Scholar] [CrossRef] [PubMed]
  23. Yang, H.; Ogawa, T.; Hasegawa, D.; Takahashi, M. Synthesis and magnetic properties of monodisperse magnetite nanocubes. J. Appl. Phys. 2008, 103, 07D526. [Google Scholar] [CrossRef]
  24. Huh, Y.; Jun, Y.; Song, H.; Kim, S.; Choi, J.; Lee, J.; Yoon, S.; Kim, K.; Shin, J.; Suh, J.; et al. In Vivo Magnetic Resonance Detection of Cancer by Using Multifunctional Magnetic Nanocrystals. J. Am. Chem. Soc. 2005, 127, 12387–12391. [Google Scholar] [CrossRef]
  25. Yamamoto, Y.; Horiuchi, K.; Takeuchi, M.; Tanaka, N.; Aihara, R.; Takeuchi, N.; Fujita, S. Size dependence study on magnetic heating properties of superparamagnetic iron oxide nanoparticle suspension. J. Appl. Phys. 2014, 116, 123906. [Google Scholar] [CrossRef]
  26. Yamamoto, Y.; Ogasawara, J.; Himukai, H.; Itoh, T. Effects of coating molecules on the magnetic heating properties of Au–Fe3O4 heterodimer nanoparticles. Appl. Phys. Lett. 2016, 109, 142406. [Google Scholar] [CrossRef]
  27. Connord, V.; Mehdaoui, B.; Tan, R.P.; Carrey, J.; Respaud, M. An air-cooled Litz wire coil for measuring the high-frequency hysteresis loops of magnetic samples—A useful setup for magnetic hyperthermia applications. Rev. Sci. Instrum. 2014, 85, 093904. [Google Scholar] [CrossRef]
  28. Rosensweig, R.E. Heating magnetic fluid with alternating magnetic field. J. Magn. Magn. Mater. 2002, 252, 370–374. [Google Scholar] [CrossRef]
  29. Coffey, W.T.; Cregg, P.J.; Kalmykov, Y.P. On the Theory of Debye and Néel Relaxation of Single Domain Ferromagnetic Particles. Adv. Chem. Phys. 1992, 83, 263–464. [Google Scholar]
  30. Dieckhoff, J.; Eberbeck, D.; Schilling, M.; Ludwig, F. Magnetic-field dependence of Brownian and Néel relaxation times. J. Appl. Phys. 2016, 119, 043903. [Google Scholar] [CrossRef]
  31. Usov, N.A.; Rytov, R.A.; Bautin, V.A. Properties of assembly of superparamagnetic nanoparticles in viscous liquid. Sci. Rep. 2021, 11, 6999. [Google Scholar] [CrossRef] [PubMed]
  32. Rytov, R.A.; Usov, N.A. Specific absorption rate of randomly oriented magnetic nanoparticles in a static magnetic field. Beilstein J. Nanotechnol. 2023, 14, 485–493. [Google Scholar] [CrossRef] [PubMed]
  33. Weaver, J.B.; Rauwerdink, A.M.; Hansen, E.W. Magnetic nanoparticle temperature estimation. Med. Phys. 2009, 36, 1822. [Google Scholar] [CrossRef] [PubMed]
  34. Garaio, E.; Collantes, J.; Garcia, J.A.; Plazaola, F.; Sandre, O. Harmonic phases of the nanoparticle magnetization: An intrinsic temperature probe. Appl. Phys. Lett. 2015, 107, 123103. [Google Scholar] [CrossRef]
  35. Zhu, Y.; Ke, L.; Wei, Y.; Zheng, X. A high-precision real-time temperature acquisition method based on magnetic nanoparticles. Sensors 2024, 24, 7716. [Google Scholar] [CrossRef]
Figure 1. TEM images, SAED patterns, and size distribution histograms of (ac) Fe3O4 NPs and (df) CoFe2O4 NPs. A scale bar is shown in the image. Solid lines represent the fitting curve assuming the log-normal function f d = 1 2 π d σ exp ln d d 0 2 2 σ 2 , where d is the particle diameter, d0 is the median diameter, and σ is the polydispersity index.
Figure 1. TEM images, SAED patterns, and size distribution histograms of (ac) Fe3O4 NPs and (df) CoFe2O4 NPs. A scale bar is shown in the image. Solid lines represent the fitting curve assuming the log-normal function f d = 1 2 π d σ exp ln d d 0 2 2 σ 2 , where d is the particle diameter, d0 is the median diameter, and σ is the polydispersity index.
Micro 05 00021 g001
Figure 2. Schematic of the experimental apparatus.
Figure 2. Schematic of the experimental apparatus.
Micro 05 00021 g002
Figure 3. Magnetic heating curves of (a) Fe3O4 NPs and (b) CoFe2O4 NPs dispersed in deionized water under the application of a DC magnetic field with different amplitudes.
Figure 3. Magnetic heating curves of (a) Fe3O4 NPs and (b) CoFe2O4 NPs dispersed in deionized water under the application of a DC magnetic field with different amplitudes.
Micro 05 00021 g003
Figure 4. Dependence of the DC magnetic field on the dynamic hysteresis curves for (a) Fe3O4 NPs and (b) CoFe2O4 NPs dispersed in deionized water.
Figure 4. Dependence of the DC magnetic field on the dynamic hysteresis curves for (a) Fe3O4 NPs and (b) CoFe2O4 NPs dispersed in deionized water.
Micro 05 00021 g004
Figure 5. Variation of the DC magnetic field with SAR for (a) Fe3O4 NPs and (b) CoFe2O4 NPs dispersed in deionized water (η = 1.0 mPa·s) and in a 75 wt% glycerol solution (η = 36.5 mPa·s). Circles represent the data obtained by the magnetometric method. Open and closed symbols represent the sample dispersed in deionized water and in the glycerol solution, respectively. Triangles represent the data obtained by the calorimetric method. Broken lines serve as a guide for the eyes.
Figure 5. Variation of the DC magnetic field with SAR for (a) Fe3O4 NPs and (b) CoFe2O4 NPs dispersed in deionized water (η = 1.0 mPa·s) and in a 75 wt% glycerol solution (η = 36.5 mPa·s). Circles represent the data obtained by the magnetometric method. Open and closed symbols represent the sample dispersed in deionized water and in the glycerol solution, respectively. Triangles represent the data obtained by the calorimetric method. Broken lines serve as a guide for the eyes.
Micro 05 00021 g005
Figure 6. Brownian relaxation times as a function of the diameter of MNPs in water (thin broken line) and in a 75 wt% glycerol solution (thick broken line) and Néel relaxation times as a function of the diameter of the Fe3O4 (thin solid line) and CoFe2O4 (thick solid line) NPs. The dotted line represents the relaxation time τH = 1/2πf, which provides the maximum heating efficiency at an AMF frequency f of 500 kHz.
Figure 6. Brownian relaxation times as a function of the diameter of MNPs in water (thin broken line) and in a 75 wt% glycerol solution (thick broken line) and Néel relaxation times as a function of the diameter of the Fe3O4 (thin solid line) and CoFe2O4 (thick solid line) NPs. The dotted line represents the relaxation time τH = 1/2πf, which provides the maximum heating efficiency at an AMF frequency f of 500 kHz.
Micro 05 00021 g006
Figure 7. Variation in the DC magnetic field with SAR for Fe3O4 NPs dispersed in a 75 wt% glycerol solution sample under the application of different AMF amplitude (HAC) values. Solid lines represent fitting curves obtained using Equation (5).
Figure 7. Variation in the DC magnetic field with SAR for Fe3O4 NPs dispersed in a 75 wt% glycerol solution sample under the application of different AMF amplitude (HAC) values. Solid lines represent fitting curves obtained using Equation (5).
Micro 05 00021 g007
Disclaimer/Publisher’s Note: The statements, opinions and data contained in all publications are solely those of the individual author(s) and contributor(s) and not of MDPI and/or the editor(s). MDPI and/or the editor(s) disclaim responsibility for any injury to people or property resulting from any ideas, methods, instructions or products referred to in the content.

Share and Cite

MDPI and ACS Style

Yamamoto, Y.; Sato, H. Effect of a Transverse DC Magnetic Field on the Specific Absorption Rate of Magnetite and Co Ferrite Nanoparticles Under an Alternating Magnetic Field. Micro 2025, 5, 21. https://doi.org/10.3390/micro5020021

AMA Style

Yamamoto Y, Sato H. Effect of a Transverse DC Magnetic Field on the Specific Absorption Rate of Magnetite and Co Ferrite Nanoparticles Under an Alternating Magnetic Field. Micro. 2025; 5(2):21. https://doi.org/10.3390/micro5020021

Chicago/Turabian Style

Yamamoto, Yoshiyuki, and Hiromu Sato. 2025. "Effect of a Transverse DC Magnetic Field on the Specific Absorption Rate of Magnetite and Co Ferrite Nanoparticles Under an Alternating Magnetic Field" Micro 5, no. 2: 21. https://doi.org/10.3390/micro5020021

APA Style

Yamamoto, Y., & Sato, H. (2025). Effect of a Transverse DC Magnetic Field on the Specific Absorption Rate of Magnetite and Co Ferrite Nanoparticles Under an Alternating Magnetic Field. Micro, 5(2), 21. https://doi.org/10.3390/micro5020021

Article Metrics

Back to TopTop