Molecular-Scale Hardware Encryption Using Tunable Self-Assembled Nanoelectronic Networks
Abstract
:1. Introduction
2. Materials and Methods
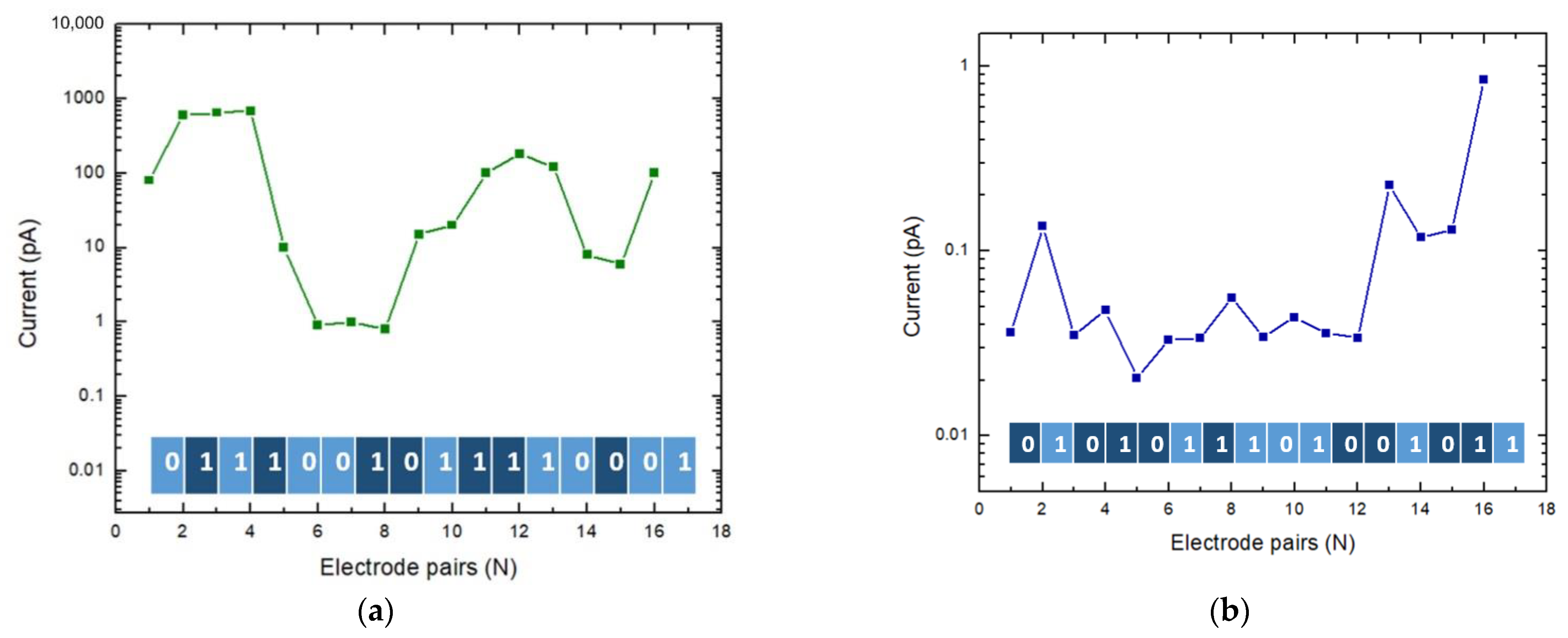
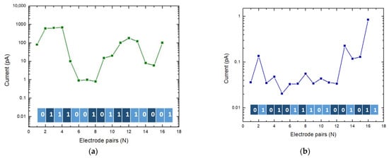
3. Results and Discussion
4. Conclusions
Author Contributions
Funding
Institutional Review Board Statement
Informed Consent Statement
Data Availability Statement
Acknowledgments
Conflicts of Interest
References
- Stan, M.R.; Franzon, P.D.; Goldstein, S.C.; Lach, J.C.; Ziegler, M.M. Molecular electronics: From devices and interconnect to circuits and architecture. Proc. IEEE 2003, 91, 1940–1957. [Google Scholar] [CrossRef] [Green Version]
- Ratner, M. A brief history of molecular electronics. Nat. Nanotechnol. 2013, 8, 378–381. [Google Scholar] [CrossRef] [PubMed]
- Amadi, E.V.; Venkataraman, A.; Zaborniak, T.; Papadopoulos, C. Nanoelectronic circuit elements based on nanoscale metal–molecular networks. J. Comput. Electron. 2021, 21, 319–333. [Google Scholar] [CrossRef]
- Akkerman, H.B.; Blom, P.W.M.; de Leeuw, D.M.; de Boer, B. Towards molecular electronics with large-area molecular junctions. Nature 2006, 441, 69–72. [Google Scholar] [CrossRef] [PubMed] [Green Version]
- Aradhya, S.V.; Venkataraman, L. Single-molecule junctions beyond electronic transport. Nat. Nanotechnol. 2013, 8, 399–410. [Google Scholar] [CrossRef] [PubMed]
- Venkataraman, A.; Amadi, E.V.; Zaborniak, T.S.M.; Zhang, P.; Papadopoulos, C. Negative Differential Resistance and Hysteresis in Self-Assembled Nanoscale Networks with Tunable Molecule-to-Nanoparticle Ratios. Phys. Status Solidi B 2020, 257, 2000019. [Google Scholar] [CrossRef]
- Knechtel, J. Hardware Security For and Beyond CMOS Technology: An Overview on Fundamentals, Applications, and Challenges. In Proceedings of the 2020 International Symposium on Physical Design, Taipei, Taiwan, 20–23 September 2020; 2020; pp. 75–86. [Google Scholar]
- Smith, A.F.; Patton, P.; Skrabalak, S.E. Plasmonic Nanoparticles as a Physically Unclonable Function for Responsive Anti-Counterfeit Nanofingerprints. Adv. Funct. Mater. 2016, 26, 1315–1321. [Google Scholar] [CrossRef]
- Gaviria Rojas, W.A.; McMorrow, J.J.; Geier, M.L.; Tang, Q.; Kim, C.H.; Marks, T.J.; Hersam, M.C. Solution-Processed Carbon Nanotube True Random Number Generator. Nano Lett. 2017, 17, 4976–4981. [Google Scholar] [CrossRef]
- Liu, Y.; Han, F.; Li, F.; Zhao, Y.; Chen, M.; Xu, Z.; Zheng, X.; Hu, H.; Yao, J.; Guo, T.; et al. Inkjet-printed unclonable quantum dot fluorescent anti-counterfeiting labels with artificial intelligence authentication. Nat. Commun. 2019, 10, 2409. [Google Scholar] [CrossRef] [Green Version]
- Rajendran, J.; Karri, R.; Wendt, J.B.; Potkonjak, M.; McDonald, N.; Rose, G.S.; Wysocki, B. Nano Meets Security: Exploring Nanoelectronic Devices for Security Applications. Proc. IEEE 2015, 103, 829–849. [Google Scholar] [CrossRef]
- Herder, C.; Yu, M.-D.; Koushanfar, F.; Devadas, S. Physical Unclonable Functions and Applications: A Tutorial. Proc. IEEE 2014, 102, 1126–1141. [Google Scholar] [CrossRef]
- Halak, B. Physically Unclonable Functions: From Basic Design Principles to Advanced Hardware Security Applications; Springer International Publishing: Cham, Switzerland, 2018. [Google Scholar]
- Shim, K.-A. A Survey of Public-Key Cryptographic Primitives in Wireless Sensor Networks. IEEE Commun. Surv. Tutor. 2016, 18, 577–601. [Google Scholar] [CrossRef]
- Katzenbeisser, S.; Kocabaş, Ü.; Rožić, V.; Sadeghi, A.-R.; Verbauwhede, I.; Wachsmann, C. PUFs: Myth, Fact or Busted? A Security Evaluation of Physically Unclonable Functions (PUFs) Cast in Silicon. In Proceedings of the Cryptographic Hardware and Embedded Systems–CHES 2012, Berlin, Germany, 9–12 September 2012; pp. 283–301. [Google Scholar]
- Gao, Y.; Ranasinghe, D.C.; Al-Sarawi, S.F.; Kavehei, O.; Abbott, D. Emerging Physical Unclonable Functions with Nanotechnology. IEEE Access 2016, 4, 61–80. [Google Scholar] [CrossRef] [Green Version]
- Rose, G.S.; Rajendran, J.; McDonald, N.; Karri, R.; Potkonjak, M.; Wysocki, B. Hardware security strategies exploiting nanoelectronic circuits. In Proceedings of the 2013 18th Asia and South Pacific Design Automation Conference (ASP-DAC), Yokohama, Japan, 22–25 January 2013; pp. 368–372. [Google Scholar]
- Kim, J.; Yun, J.M.; Jung, J.; Song, H.; Kim, J.-B.; Ihee, H. Anti-counterfeit nanoscale fingerprints based on randomly distributed nanowires. Nanotechnology 2014, 25, 155303. [Google Scholar] [CrossRef] [PubMed]
- Kaczmarek, A.M.; Liu, Y.-Y.; Wang, C.; Laforce, B.; Vincze, L.; Van Der Voort, P.; Van Hecke, K.; Van Deun, R. Lanthanide “Chameleon” Multistage Anti-Counterfeit Materials. Adv. Funct. Mater. 2017, 27, 1700258. [Google Scholar] [CrossRef]
- Hu, Z.; Comeras, J.M.M.L.; Park, H.; Tang, J.; Afzali, A.; Tulevski, G.S.; Hannon, J.B.; Liehr, M.; Han, S.-J. Physically unclonable cryptographic primitives using self-assembled carbon nanotubes. Nat. Nanotechnol. 2016, 11, 559–565. [Google Scholar] [CrossRef]
- Moon, D.-I.; Rukhin, A.; Gandhiraman, R.P.; Kim, B.; Kim, S.; Seol, M.-L.; Yoon, K.J.; Lee, D.; Koehne, J.; Han, J.-W.; et al. Physically Unclonable Function by an All-Printed Carbon Nanotube Network. ACS Appl. Electron. Mater. 2019, 1, 1162–1168. [Google Scholar] [CrossRef]
- Burzurí, E.; Granados, D.; Pérez, E.M. Physically Unclonable Functions Based on Single-Walled Carbon Nanotubes: A Scalable and Inexpensive Method toward Unique Identifiers. ACS Appl. Nano Mater. 2019, 2, 1796–1801. [Google Scholar] [CrossRef]
- Hwang, K.-M.; Park, J.-Y.; Bae, H.; Lee, S.-W.; Kim, C.-K.; Seo, M.; Im, H.; Kim, D.-H.; Kim, S.-Y.; Lee, G.-B.; et al. Nano-electromechanical Switch Based on a Physical Unclonable Function for Highly Robust and Stable Performance in Harsh Environments. ACS Nano 2017, 11, 12547–12552. [Google Scholar] [CrossRef]
- Jiang, H.; Belkin, D.; Savel’ev, S.E.; Lin, S.; Wang, Z.; Li, Y.; Joshi, S.; Midya, R.; Li, C.; Rao, M.; et al. A novel true random number generator based on a stochastic diffusive memristor. Nat. Commun. 2017, 8, 882. [Google Scholar] [CrossRef] [Green Version]
- Zhang, T.; Guérin, D.; Alibart, F.; Vuillaume, D.; Lmimouni, K.; Lenfant, S.; Yassin, A.; Oçafrain, M.; Blanchard, P.; Roncali, J. Negative Differential Resistance, Memory, and Reconfigurable Logic Functions Based on Monolayer Devices Derived from Gold Nanoparticles Functionalized with Electropolymerizable TEDOT Units. J. Phys. Chem. C 2017, 121, 10131–10139. [Google Scholar] [CrossRef] [Green Version]
- Nijhuis, C.A.; Reus, W.F.; Barber, J.R.; Dickey, M.D.; Whitesides, G.M. Charge Transport and Rectification in Arrays of SAM-Based Tunneling Junctions. Nano Lett. 2010, 10, 3611–3619. [Google Scholar] [CrossRef] [PubMed] [Green Version]
- Zheng, J.; Zhang, J.; Wang, Z.; Zhong, L.; Sun, Y.; Liang, Z.; Li, Y.; Jiang, L.; Chen, X.; Chi, L. Programmable Negative Differential Resistance Effects Based on Self-Assembled Au@PPy Core–Shell Nanoparticle Arrays. Adv. Mater. 2018, 30, 1802731. [Google Scholar] [CrossRef] [PubMed]
- Dadosh, T.; Gordin, Y.; Krahne, R.; Khivrich, I.; Mahalu, D.; Frydman, V.; Sperling, J.; Yacoby, A.; Bar, J. Measurement of the conductance of single conjugated molecules. Nature 2005, 436, 1200–1200. [Google Scholar] [CrossRef] [Green Version]
- Weisbecker, C.S.; Merritt, M.V.; Whitesides, G.M. Molecular Self-Assembly of Aliphatic Thiols on Gold Colloids. Langmuir 1996, 12, 3763–3772. [Google Scholar] [CrossRef]
- Zhang, P.; Venkataraman, A.; Papadopoulos, C. Self-assembled gold nanoparticle-molecular electronic networks: Self-assembled gold nanoparticle-molecular networks. Phys. Status Solidi B 2017, 254, 1700061. [Google Scholar] [CrossRef]
- Mozharov, A.M.; Vasiliev, A.A.; Bolshakov, A.D.; Sapunov, G.A.; Fedorov, V.V.; Cirlin, G.E.; Mukhin, I.S. Core-Shell III-Nitride Nanowire Heterostructure: Negative Differential Resistance and Device Application Potential. Semiconductors 2018, 52, 489–492. [Google Scholar] [CrossRef]
- Bruot, C.; Hihath, J.; Tao, N. Mechanically controlled molecular orbital alignment in single molecule junctions. Nat. Nanotechnol. 2011, 7, 35–40. [Google Scholar] [CrossRef]
- Kockmann, D.; Poelsema, B.; Zandvliet, H.J.W. Transport through a Single Octanethiol Molecule. Nano Lett. 2009, 9, 1147–1151. [Google Scholar] [CrossRef]
- Xu, B.; Tao, N.J. Measurement of Single-Molecule Resistance by Repeated Formation of Molecular Junctions. Sci. (Am. Assoc. Adv. Sci. 2003, 301, 1221–1223. [Google Scholar] [CrossRef] [Green Version]
- Chu, C.; Na, J.-S.; Parsons, G.N. Conductivity in Alkylamine/Gold and Alkanethiol/Gold Molecular Junctions Measured in Molecule/Nanoparticle/Molecule Bridges and Conducting Probe Structures. J. Am. Chem. Soc. 2007, 129, 2287–2296. [Google Scholar] [CrossRef] [PubMed]
- Wold, D.J.; Frisbie, C.D. Fabrication and Characterization of Metal−Molecule−Metal Junctions by Conducting Probe Atomic Force Microscopy. J. Am. Chem. Soc. 2001, 123, 5549–5556. [Google Scholar] [CrossRef] [PubMed]
- Engelkes, V.B.; Beebe, J.M.; Frisbie, C.D. Length-Dependent Transport in Molecular Junctions Based on SAMs of Alkanethiols and Alkanedithiols: Effect of Metal Work Function and Applied Bias on Tunneling Efficiency and Contact Resistance. J. Am. Chem. Soc. 2004, 126, 14287–14296. [Google Scholar] [CrossRef] [PubMed]
- Amadi, E.V.; Venkataraman, A.; Papadopoulos, C. Nanoscale self-assembly: Concepts, applications and challenges. Nanotechnology 2022, 33, 132001. [Google Scholar] [CrossRef] [PubMed]
- Rukhin, A.L.; Soto, J.; Nechvatal, J.R.; Smid, M.E.; Barker, E.B.; Leigh, S.D.; Levenson, M.; Vangel, M.; Banks, D.L. Sp 800-22 rev. 1a. a statistical test suite for random and pseudorandom number generators for cryptographic applications. 2010. Available online: https://csrc.nist.gov/publications/detail/sp/800-22/rev-1a/final (accessed on 15 May 2022).
- Waggener, W.N. Pulse Code Modulation Techniques: With Applications in Communications and Data Recording; Van Nostrand Reinhold: New York, NY, USA, 1995. [Google Scholar]




| Sample Type | Key 1 | Key 2 | Key 3 | Key 4 |
|---|---|---|---|---|
| 1:1 NDT | 0111001011110001 | 1010110100101100 | 1011000101011101 | 1011100000010100 |
| 5:1 NDT | 1010100110010010 | 1001001100010010 | 1000101100010011 | 1001010010101000 |
| 50:1 NDT | 0101011101001011 | 1011000011011101 | 0110100110010101 | 0100101011001100 |
| 1:1 BDT | 1000001101011000 | 0110101011001010 | 0100101010111000 | 1000010101101100 |
| 5:1 BDT | 0100100110101001 | 0100010011001101 | 0101001001011101 | 0110011000010010 |
| 50:1 BDT | 1010110101110110 | 0100101110100010 | 1001011001101001 | 0110001010101101 |
| Control | 0100101011010100 | 0101010100101100 | 0110010101101011 | 0110101000111100 |
Publisher’s Note: MDPI stays neutral with regard to jurisdictional claims in published maps and institutional affiliations. |
© 2022 by the authors. Licensee MDPI, Basel, Switzerland. This article is an open access article distributed under the terms and conditions of the Creative Commons Attribution (CC BY) license (https://creativecommons.org/licenses/by/4.0/).
Share and Cite
Venkataraman, A.; Amadi, E.; Papadopoulos, C. Molecular-Scale Hardware Encryption Using Tunable Self-Assembled Nanoelectronic Networks. Micro 2022, 2, 361-368. https://doi.org/10.3390/micro2030024
Venkataraman A, Amadi E, Papadopoulos C. Molecular-Scale Hardware Encryption Using Tunable Self-Assembled Nanoelectronic Networks. Micro. 2022; 2(3):361-368. https://doi.org/10.3390/micro2030024
Chicago/Turabian StyleVenkataraman, Anusha, Eberechukwu Amadi, and Chris Papadopoulos. 2022. "Molecular-Scale Hardware Encryption Using Tunable Self-Assembled Nanoelectronic Networks" Micro 2, no. 3: 361-368. https://doi.org/10.3390/micro2030024
APA StyleVenkataraman, A., Amadi, E., & Papadopoulos, C. (2022). Molecular-Scale Hardware Encryption Using Tunable Self-Assembled Nanoelectronic Networks. Micro, 2(3), 361-368. https://doi.org/10.3390/micro2030024

