Stability of Detonation Nanodiamond Colloid with Respect to Inorganic Electrolytes and Anionic Surfactants and Solvation of the Particles Surface in DMSO–H2O Organo-Hydrosols
Abstract
:1. Introduction
2. Experimental
2.1. Materials
2.2. Apparatus
2.3. Procedure
3. Results and Discussion
3.1. Choice of the Solvent Composition and Characterization of the Systems
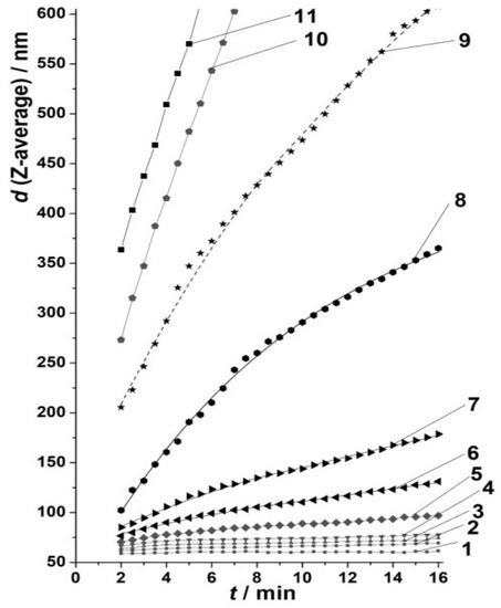
3.2. Coagulation of the DND Sols
3.3. Analysis of the CCC Values
3.4. Peculiarities of Coagulation by Anionic Surfactants in Water
4. Conclusions
Author Contributions
Funding
Data Availability Statement
Conflicts of Interest
References
- Mitura, K.; Kornacka, J.; Niemiec-Cyganek, A.; Pawlus-Łachecka, L.; Mydłowska, K.; Sobczyk-Guzenda, A.; Kaczorowski, W.; Ossowska, P.; Bałasz, B.; Wilczek, P. The Influence of Diamond Nanoparticles on Fibroblast Cell Line L929, Cytotoxicity and Acteriostaticity of Selected Pathogens. Coatings 2022, 12, 280. [Google Scholar] [CrossRef]
- Jung, H.-S.; Neuman, K.C. Surface Modification of Fluorescent Nanodiamonds for Biological Applications. Nanomaterials 2021, 11, 153. [Google Scholar] [CrossRef] [PubMed]
- Qin, J.-X.; Yang, X.-G.; Lv, C.-F.; Li, Y.-Z.; Liu, K.-K.; Zang, J.-H.; Yang, X.; Dong, L.; Shan, C.-X. Nanodiamonds: Synthesis, properties, and applications in nanomedicine. Mater. Des. 2021, 210, 110091. [Google Scholar] [CrossRef]
- Mi, Z.; Chen, C.-B.; Tan, H.Q.; Dou, Y.; Yang, C.; Turaga, S.P.; Ren, M.; Vajandar, S.K.G.; Yuen, H.; Osipowicz, T.; et al. Quantifying nanodiamonds biodistribution in whole cells with correlative iono-nanoscopy. Nat. Commun. 2021, 12, 4657. [Google Scholar] [CrossRef] [PubMed]
- Masys, Š.; Jonauskas, V.; Rinkevicius, Z. Electronic g-Tensor Calculations for Dangling Bonds in Nanodiamonds. J. Phys. Chem. A 2021, 125, 8249–8260. [Google Scholar] [CrossRef]
- Tomchuk, O.V.; Mchedlov-Petrossyan, N.O.; Kyzyma, O.A.; Kriklya, N.N.; Bulavin, L.A.; Zabulonov, Y.L.; Ivankov, O.I.; Garamus, V.M.; Ōsawa, E.; Avdeev, M.V. Cluster-cluster interaction in nanodiamond hydrosols by small-angle scattering. J. Mol. Liq. 2022, 354, 118816. [Google Scholar] [CrossRef]
- Mikheev, G.M.; Vanyukov, V.V.; Mogileva, T.N.; Mikheev, K.G.; Aleksandrovich, A.N.N.; Nunn, A.; Shenderova, O.A. Femtosecond Optical Nonlinearity of Nanodiamond Suspensions. Appl. Sci. 2021, 11, 5455. [Google Scholar] [CrossRef]
- Shvidchenko, A.V.; Eidelman, E.D.; Vul, A.Y.; Kuznetsov, N.M.; Stolyarova, D.Y.; Belousov, S.I.; Chvalun, S.N. Colloids of detonation nanodiamond particles for advanced applications. Adv. Coll. Interface Sci. 2019, 268, 64–81. [Google Scholar] [CrossRef]
- Cataldo, F.; Angelini, G.; Révay, Z.; Osawa, E.; Braun, T. Wigner Energy of Nanodiamond Bombarded with Neutrons or Irradiated with γ Radiation. Fuller. Nanotub. Carbon Nanostructures 2014, 22, 861–865. [Google Scholar] [CrossRef]
- Mchedlov-Petrossyan, N.O.; Marfunin, M.O. Formation, Stability, and Coagulation of Fullerene Organosols: C70 in Acetonitrile–Toluene Solutions and Related Systems. Langmuir 2021, 37, 7156–7166. [Google Scholar] [CrossRef]
- Marfunin, M.O.; Klochkov, V.K.; Radionov, P.M.; Mchedlov-Petrossyan, N.O. Hydrosol of C70 fullerene: Synthesis and stability in electrolytic solutions. Ukr. Chem. J. 2021, 87, 63–73. [Google Scholar] [CrossRef]
- Mchedlov-Petrossyan, N.O.; Kamneva, N.N.; Marynin, A.I.; Kryshtal, A.P.; Ōsawa, E. Colloidal Properties and Behaviors of 3nm Primary Particles of Detonation Nanodiamond in Aqueous Media. Phys. Chem. Chem. Phys. 2015, 17, 16186–16203. [Google Scholar] [CrossRef] [PubMed]
- Kamneva, N.N.; Tkachenko, V.V.; Mchedlov-Petrossyan, N.O.; Marynin, A.I.; Ukrainets, A.I.; Malysheva, M.L.; Osawa, E. The Interfacial Electrical Properties of the Nanodiamond Colloidal Species in Aqueous Medium as Examined by Acid-Base Indicator Dyes. Surf. Eng. Appl. Electrochem. 2018, 54, 64–72. [Google Scholar] [CrossRef]
- Mchedlov-Petrossyan, N.O.; Kriklya, N.N.; Kryshtal, A.P.; Ishchenko, A.A.; Malysheva, M.L.; Tkachenko, V.V.; Ermolenko, A.Y.; Osawa, E. The interaction of the colloidal species in hydrosols of nanodiamond with inorganic and organic electrolytes. J. Mol. Liq. 2019, 283, 849–859. [Google Scholar] [CrossRef]
- Kryshtal, A.P.; Mchedlov-Petrossyan, N.O.; Laguta, A.N.; Kriklya, N.N.; Kruk, A.; Osawa, E. Primary detonation nanodiamond particles: Their core-shell structure and the behavior in organo-hydrosols. Colloids Surf. A 2021, 614, 126079. [Google Scholar] [CrossRef]
- Delgado, A.V.; González-Caballero, F.; Hunter, R.J.; Koopal, L.K.; Lyklema, J. Measurement and interpretation of electrokinetic phenomena. J. Colloid Int. Sci. 2007, 309, 194–224. [Google Scholar] [CrossRef]
- Afanasiev, V.N.; Efremova, L.S.; Volkova, T.V. Physico-Chemical Properties of Binary Solvents: Water-Containing Systems, Part I, II (in Russian); Institute of Chemistry of Nonaqueous Solutions: Ivanovo, Russia, 1988; p. 412. [Google Scholar]
- Show, D.J. Colloid and Surface Chemistry, 4th ed.; Butterworth: Oxford, UK, 1992. [Google Scholar]
- Reichardt, C.; Welton, T. Solvents and Solvent Effects in Organic Chemistry; Wiley-VCH: Weinheim, Germany, 2011; p. 692. [Google Scholar]
- Churaev, N.V.; Derjaguin, B.V. Inclusion of structural forces in the theory of stability of colloids and films. J. Colloid Int. Sci. 1985, 113, 542–553. [Google Scholar] [CrossRef]
- Soboleva, O.A.; Khamenov, G.A.; Dolmatov, V.Y.; Sergeev, V.G. Effect of alkylpyridinium chlorides on aggregation stability of aqueous dispersions of detonation nanodiamonds. Colloid J. 2017, 79, 126–133. [Google Scholar] [CrossRef]
- Soboleva, O.A. The stability of detonation nanodiamond hydrosols in the presence of salts and surfactants. Colloid J. 2018, 80, 320–325. [Google Scholar] [CrossRef]
- Vervald, A.M.; Burikov, S.A.; Vlasov, I.I.; Shenderova, O.A.; Dolenko, T.A. Interactions of nanodiamonds and surfactants in aqueous suspensions. Nanosyst. Phys. Chem. Math. 2018, 9, 49–51. [Google Scholar] [CrossRef]
- Vervald, A.M.; Laptinskiy, K.A.; Burikov, S.A.; Laptinskaya, T.V.; Shenderova, O.A.; Vlasov, I.I.; Dolenko, T.A. Nanodiamonds and surfactants in water: Hydrophilic and hydrophobic interactions. J. Colloid Int. Sci. 2019, 547, 206–216. [Google Scholar] [CrossRef]
- Vervald, A.M.; Plastinin, I.V.; Burikov, S.A.; Dolenko, T.A. Fluorescence of nanodiamonds under the influence of surfactants. Fuller. Nanotub. Carbon Nanostructures 2019, 28, 83–89. [Google Scholar] [CrossRef]
- Badun, G.A.; Chernysheva, M.G.; Gus’kov, A.V.; Sinolits, A.V.; Popov, A.G.; Egorov, A.V.; Egorova, T.B.; Kulakova, I.I.; Lisichkin, G.V. Adsorption of alkyltrimethylammonium bromides on nanodiamonds. Fuller. Nanotub. Carbon Nanostructures 2019, 28, 361–367. [Google Scholar] [CrossRef]
- Ishchenko, A.A.; Mchedlov-Petrossyan, N.O.; Kriklya, N.N.; Kryshtal, A.P.; Ōsawa, E.; Kulinich, A.V. Interaction of Polymethine Dyes with Detonation Nanodiamonds. ChemPhysChem 2019, 20, 1028–1035. [Google Scholar] [CrossRef]
- Gibson, N.M.; Luo, T.J.M.; Shenderova, O.; Choi, Y.J.; Fitzgerald, Z.; Brenner, D.W. Fluorescent dye adsorption on nanocarbon substrates through electrostatic interactions. Diamond Relat. Mater. 2010, 19, 234–237. [Google Scholar] [CrossRef]
- Tamamushi, B.I.; Tamaki, K. The Action of Long-Chain Cations on Negative Silver Iodide Sol. Kolloid-Zeitschrift und Zeitschrift für Polymere 1959, 163, 122–126. [Google Scholar] [CrossRef]
- Ottewill, R.H.; Watanabe, A. Studies on the Mechanism of Coagulation. Part I. The Stability of Positive Silver Iodide Sols in the Presence of Anionic Surface Active Agents. Kolloid-Zeitschrift Zeitschrift Polymere 1960, 170, 38–48. [Google Scholar] [CrossRef]









| Electrolyte | CCC, mM | ||
|---|---|---|---|
| in 95 vol.% DMSO | in H2O | in 95 vol.% CH3CN | |
| NaC12H25OSO3 | 0.90 | 0.010 a | — |
| NaC8H17SO3 | 1.8 | 0.080 b | 0.18 |
| NaCl | 4.0 | 5.5 | 0.68 (80 vol.% CH3CN) c |
| NaBr | 7.5 | 4.9 d | — |
| NaNO3 | 9.0 | 3.5 | 0.6 |
| NaClO4 | 5.5 | 3.5 e | 0.55 |
| Salt/mM | ζ-Potential/mV; Smoluchovski | f | ζ-Potential/mV; Ohshima |
|---|---|---|---|
| 0 | 49.3 ± 3.1 | 1.00 | 74.0 |
| NaCl | |||
| 0.5 | 28.6 ± 1.0 | 1.077 | 39.8 |
| 0.9 | 24.0 ± 0.2 | 1.101 | 32.7 |
| 5.0 | 20.6 ± 0.6 | 1.218 | 25.4 |
| NaBr | |||
| 3.0 | 28.4 ± 1.0 | 1.178 | 36.2 |
| 5.0 | 25.1 ± 1.4 | 1.218 | 30.9 |
| 7.5 | 19.7 ± 1.2 | 1.249 | 23.6 |
| NaNO3 | |||
| 5.0 | 31.3 ± 1.5 | 1.218 | 38.5 |
| NaC8H17SO3 | |||
| 0.5 | 23.6 ± 2.0 | 1.077 | 32.9 |
| NaC12H25OSO3 | |||
| 0.0075 | 38.9 ± 1.5 | 1.006 | 58.0 |
| 0.075 | 25.2 ± 2.7 | 1.033 | 36.6 |
| 0.50 | 17.9 ± 1.9 | 1.077 | 24.9 |
| Surfactant | CCC, mM | ||
|---|---|---|---|
| Determined by Spectrophotometric Titrations a | Determined with Zetasizer Instrument Using the Fuchs Function | ||
| 15%-Criterion | 50%-Criterion | ||
| NaC6H13SO3 | 0.025 | 0.10 | 0.100 |
| NaC8H17SO3 | 0.014 | 0.078 | 0.080 |
| NaC9H19SO3 | 0.0085 | 0.050 | - |
| NaC10H21SO3 | 0.0051 | 0.037 | 0.050 |
| NaC10H21OSO3 | 0.0039 | 0.024 | - |
| NaC12H25OSO3 | 0.0021 | 0.011 | 0.010 |
| NaC14H29OSO3 | 0.0014 | 0.006 | 0.006 |
| NaC16H33OSO3 | 0.00031 | 0.001 | - |
| Surfactant | C, mM | ζ-Potential/mV; Smoluchovski | f | ζ-Potential/mV; Ohshima |
|---|---|---|---|---|
| None a | 0 | 48.3 ± 0.7 | 1.0000 | 72.4 |
| NaC6H13SO3 b | 0.030 | 45.3 ± 1.2 | 1.0409 | 65.3 |
| NaC10H21SO3 c | 0.006 | 44.7 ± 0.8 | 1.0032 | 66.8 |
| NaC12H25 OSO3 d | 0.001 | 41.2 ± 3.2 | 1.0004 | 61.8 |
| NaC12H25 OSO3 | 0.004 | 18.5 ± 0.5 | 1.0066 | 27.6 |
| NaC14H29 OSO3 e | 0.001 | 40.0 ± 0.5 | 1.0004 | 60.0 |
| NaC14H29 OSO3 | 0.002 | 16.0 ± 0.6 | 1.0009 | 24.0 |
Publisher’s Note: MDPI stays neutral with regard to jurisdictional claims in published maps and institutional affiliations. |
© 2022 by the authors. Licensee MDPI, Basel, Switzerland. This article is an open access article distributed under the terms and conditions of the Creative Commons Attribution (CC BY) license (https://creativecommons.org/licenses/by/4.0/).
Share and Cite
Mchedlov-Petrossyan, N.O.; Kriklya, N.N.; Laguta, A.N.; Ōsawa, E. Stability of Detonation Nanodiamond Colloid with Respect to Inorganic Electrolytes and Anionic Surfactants and Solvation of the Particles Surface in DMSO–H2O Organo-Hydrosols. Liquids 2022, 2, 196-209. https://doi.org/10.3390/liquids2030013
Mchedlov-Petrossyan NO, Kriklya NN, Laguta AN, Ōsawa E. Stability of Detonation Nanodiamond Colloid with Respect to Inorganic Electrolytes and Anionic Surfactants and Solvation of the Particles Surface in DMSO–H2O Organo-Hydrosols. Liquids. 2022; 2(3):196-209. https://doi.org/10.3390/liquids2030013
Chicago/Turabian StyleMchedlov-Petrossyan, Nikolay O., Nika N. Kriklya, Anna N. Laguta, and Eiji Ōsawa. 2022. "Stability of Detonation Nanodiamond Colloid with Respect to Inorganic Electrolytes and Anionic Surfactants and Solvation of the Particles Surface in DMSO–H2O Organo-Hydrosols" Liquids 2, no. 3: 196-209. https://doi.org/10.3390/liquids2030013
APA StyleMchedlov-Petrossyan, N. O., Kriklya, N. N., Laguta, A. N., & Ōsawa, E. (2022). Stability of Detonation Nanodiamond Colloid with Respect to Inorganic Electrolytes and Anionic Surfactants and Solvation of the Particles Surface in DMSO–H2O Organo-Hydrosols. Liquids, 2(3), 196-209. https://doi.org/10.3390/liquids2030013

