Transcriptomic Response of Listeria monocytogenes and Salmonella enterica Typhimurium to Power Ultrasound and Chlorine Treatments
Abstract
1. Introduction
2. Materials and Methods
2.1. Strains and Culture Conditions
2.2. Treatment Conditions
2.3. Bacterial RNA Extraction
2.4. Library Construction and RNA-Sequencing
2.5. Pre-Processing and Quality Control of RNA-Sequencing Data
2.6. Read Mapping and Quantification
2.7. Exploratory Data Analyses
2.8. Identification of Differentially Transcribed Genes
2.9. Gene Ontology Enrichment Analysis
2.10. KEGG Over-Representation and Enrichment Analyses
2.11. Data Availability
3. Results
3.1. Treatments with Power Ultrasound Triggered Strong Transcriptomic Shifts in L. monocytogenes but a Relatively Less Diverse Response in S. enterica Typhimurium
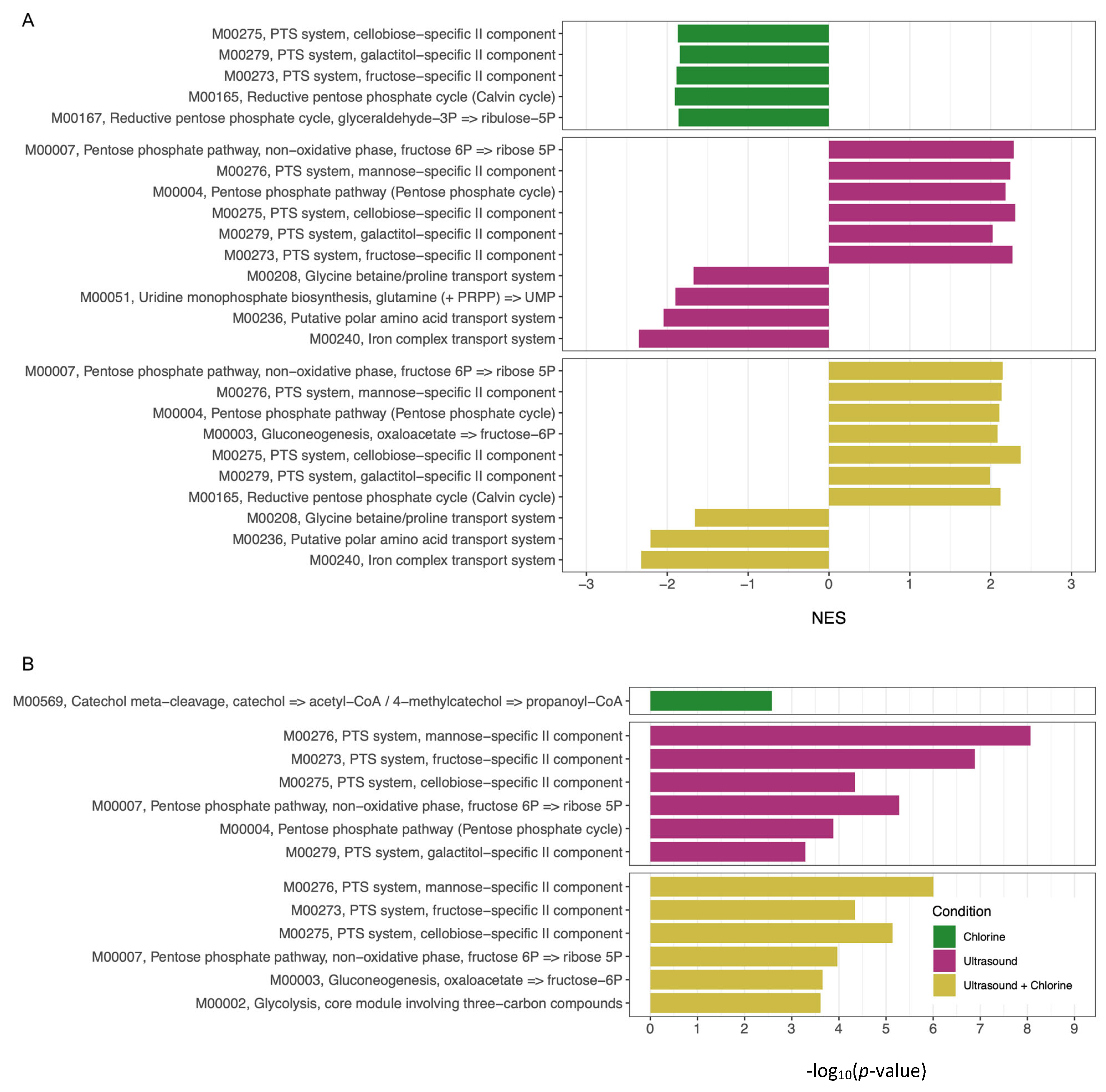
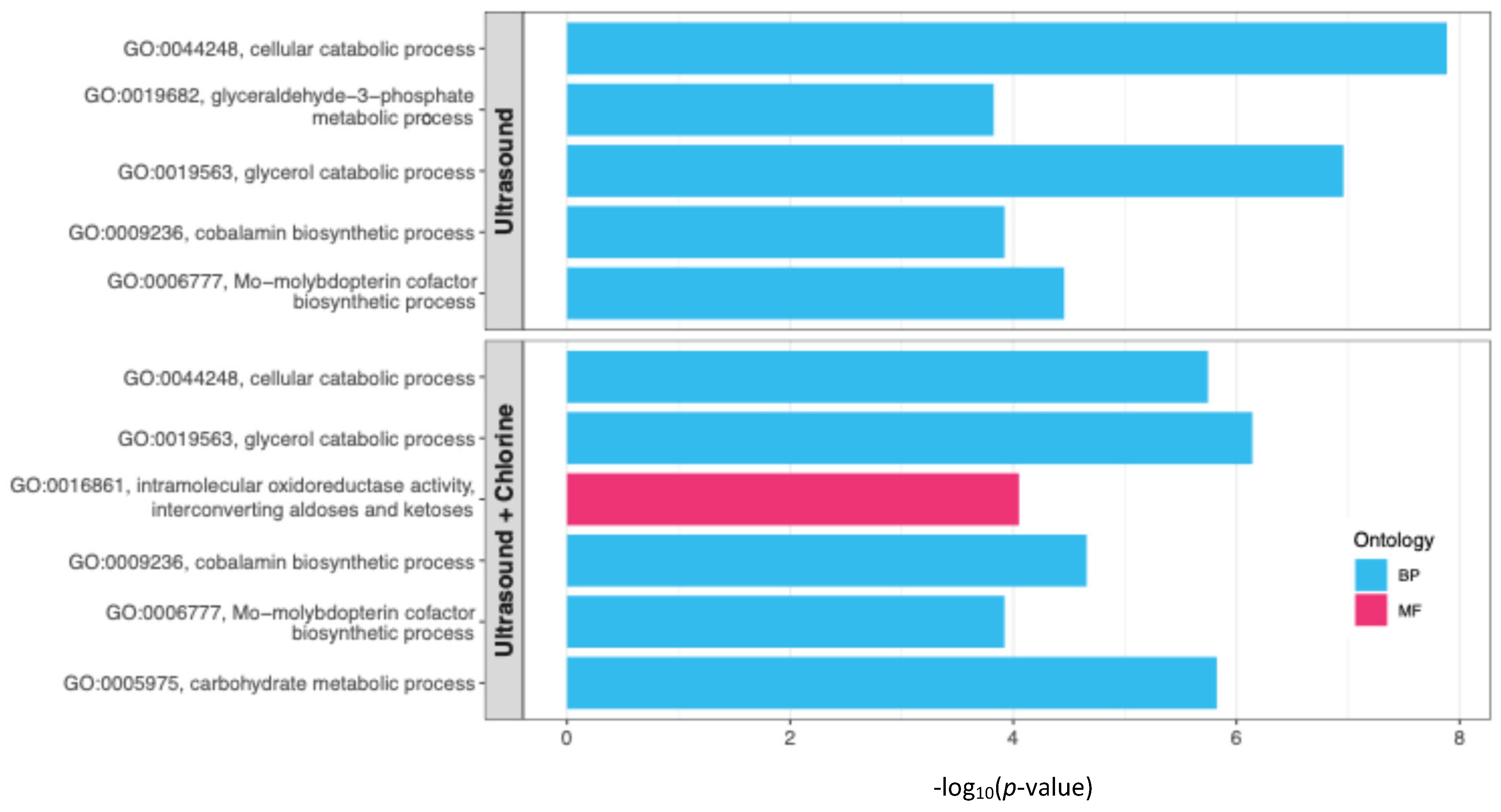
3.2. Distinct KEGG Pathways Were Identified Under Power Ultrasound-Based Treatments
4. Discussion
5. Conclusions
Supplementary Materials
Author Contributions
Funding
Data Availability Statement
Acknowledgments
Conflicts of Interest
References
- U.S. Food & Drug Administration. Outbreaks of Foodborne Illness. Foodborne Pathogens; U.S. Food & Drug Administration: Silver Spring, MD, USA, 2023.
- Center for Disease Control and Prevention Food Safety. Symptoms of Food Poisoning; Center for Disease Control and Prevention Food Safety: Atlanta, GA, USA, 2025.
- U.S. Food & Drug Administration Food. People at Risk of Foodborne Illness; U.S. Food & Drug Administration Food: Silver Spring, MD, USA, 2025.
- Center for Disease Control and Prevention Food Safety. About Food Safety; Center for Disease Control and Prevention Food Safety: Atlanta, GA, USA, 2024.
- Center for Disease Control and Prevention Listeria Infection (Listeriosis). About Listeria Infection; Center for Disease Control and Prevention Listeria Infection (Listeriosis): Atlanta, GA, USA, 2024.
- Scallan, E.; Hoekstra, R.M.; Angulo, F.J.; Tauxe, R.V.; Widdowson, M.A.; Roy, S.L.; Jones, J.L.; Griffin, P.M. Foodborne Illness Acquired in the United States-Major Pathogens. Emerg. Infect. Dis. 2011, 17, 7–15. [Google Scholar] [CrossRef]
- U.S. Department of Agriculture Food Safety and Inspection Service. Salmonella by the Numbers; U.S. Department of Agriculture Food Safety and Inspection Service: Washington, DC, USA, 2022.
- Center for Disease Control and Prevention Foodborne Outbreaks. Multistate Foodborne Outbreak Notices; Center for Disease Control and Prevention Foodborne Outbreaks: Atlanta, GA, USA, 2025.
- Richardson, L.C.; Cole, D.; Hoekstra, R.M.; Rajasingham, A.; Johnson, S.D.; Bruce, B.B. Foods Implicated in U.S. Outbreaks Differ from the Types Most Commonly Consumed. J. Food Prot. 2021, 84, 869–875. [Google Scholar] [CrossRef] [PubMed]
- Beuchat, L.R.; Ryu, J.-H. Produce Handling and Processing Practices. Emerg. Infect. Dis. 1997, 3, 459–465. [Google Scholar] [CrossRef] [PubMed]
- Beuchat, L.R. Pathogenic Microorganisms Associated with Fresh Produce. J. Food Prot. 1996, 59, 204–216. [Google Scholar] [CrossRef] [PubMed]
- Beuchat, L.R. Surface Decontamination of Fruits and Vegetables Eaten Raw: A Review; World Health Organization: Geneva, Switzerland, 1998; Available online: https://www.who.int/publications/i/item/WHO-FSF-FOS-98.2 (accessed on 26 January 2019).
- Beuchat, L.R. Current Focus Ecological Factors Influencing Survival and Growth of Human Pathogens on Raw Fruits and Vegetables. Microbes Infect. 2002, 4, 413–423. [Google Scholar] [CrossRef]
- Petri, E.; Virto, R.; Mottura, M.; Parra, J. Comparison of Peracetic Acid and Chlorine Effectiveness during Fresh-Cut Vegetable Processing at Industrial Scale. J. Food Prot. 2021, 84, 1592–1602. [Google Scholar] [CrossRef]
- Raffo, A.; Paoletti, F. Fresh-Cut Vegetables Processing: Environmental Sustainability and Food Safety Issues in a Comprehensive Perspective. Front. Sustain. Food Syst. 2022, 5, 681459. [Google Scholar] [CrossRef]
- Slattery, M.; Garvey, M. Chlorine Disinfection Byproducts: A Public Health Concern Associated with Dairy Food Contamination. Dairy 2025, 6, 18. [Google Scholar] [CrossRef]
- Kalita, I.; Kamilaris, A.; Havinga, P.; Reva, I. Assessing the Health Impact of Disinfection Byproducts in Drinking Water. ACS Es&t Water 2024, 4, 1564–1578. [Google Scholar] [CrossRef]
- Suslow, T. Basic Properties and Key Points for Effective Disinfection; Regents of the University of California: Oakland, CA, USA, 1997; ISBN 978-1-60107-183-5. [Google Scholar]
- Government of Canada. Prohibition of Certain Toxic Substances Regulations, 2012: Overview. Management of Toxic Substances. 2015. Available online: https://www.canada.ca/en/environment-climate-change/services/management-toxic-substances/prohibition-regulations.html (accessed on 15 June 2025).
- Rico, D.; Martín-Diana, A.B.; Barat, J.M.; Barry-Ryan, C. Extending and Measuring the Quality of Fresh-Cut Fruit and Vegetables: A Review. Trends Food Sci. Technol. 2007, 18, 373–386. [Google Scholar] [CrossRef]
- Chen, F.; Zhang, M.; Yang, C. Application of Ultrasound Technology in Processing of Ready-to-Eat Fresh Food: A Review. Ultrason. Sonochem. 2020, 63, 104953. [Google Scholar] [CrossRef] [PubMed]
- Palma, S.; Zhou, B.; Feng, H. Chapter 8—Fresh Produce Treated by Power Ultrasound. In Ultrasound: Advances for Food Processing and Preservation; Bermudez-Aguirre, D., Ed.; Academic Press: Cambridge, MA, USA, 2017; pp. 201–213. ISBN 978-0-12-804581-7. [Google Scholar]
- Bilek, S.E.; Turantaş, F. Decontamination Efficiency of High Power Ultrasound in the Fruit and Vegetable Industry, a Review. Int. J. Food Microbiol. 2013, 166, 155–162. [Google Scholar] [CrossRef] [PubMed]
- Zhou, X.; Salazar, J.K.; Fay, M.L.; Zhang, W. Efficacy of Power Ultrasound-Based Hurdle Technology on the Reduction of Bacterial Pathogens on Fresh Produce. Foods 2023, 12, 2653. [Google Scholar] [CrossRef] [PubMed]
- Zhou, W.; Sarpong, F.; Zhou, C. Use of Ultrasonic Cleaning Technology in the Whole Process of Fruit and Vegetable Processing. Foods 2022, 11, 2874. [Google Scholar] [CrossRef]
- Khouja, B.A.; Mathias, H.; Joshi, M.; Fay, M.L.; Korade, S.; Wong, C.W.Y.; Stewart, D.S.; Zhou, X.; Zhang, W.; Salazar, J.K. Power Ultrasound- and Organic Acid-Based Hurdle Technology to Reduce Listeria monocytogenes and Salmonella enterica on Whole Apples and Peaches. Foods 2025, 14, 1744. [Google Scholar] [CrossRef]
- Zhu, X.; Das, R.S.; Bhavya, M.L.; Garcia-Vaquero, M.; Tiwari, B.K. Acoustic Cavitation for Agri-Food Applications: Mechanism of Action, Design of New Systems, Challenges and Strategies for Scale-Up. Ultrason. Sonochem. 2024, 105, 106850. [Google Scholar] [CrossRef]
- Gómez-López, V.M.; Gil, M.I.; Allende, A.; Vanhee, B.; Selma, M.V. Water Reconditioning by High Power Ultrasound Combined with Residual Chemical Sanitizers to Inactivate Foodborne Pathogens Associated with Fresh-Cut Products. Food Control 2015, 53, 29–34. [Google Scholar] [CrossRef]
- José, J.F.B.; Andrade, N.J.D.; Ramos, A.M.; Vanetti, M.C.D.; Stringheta, P.C.; Chaves, J.B.P. Decontamination by Ultrasound Application in Fresh Fruits and Vegetables. Food Control 2014, 45, 36–50. [Google Scholar] [CrossRef]
- de São José, J.F.B.; Medeiros, H.S.; de Andrade, N.J.; Ramos, A.M.; Vanetti, M.C.D. Effect of Ultrasound and Chemical Compounds on Microbial Contamination, Physicochemical Parameters and Bioactive Compounds of Cherry Tomatoes: Ultrasound and Chemical Compounds as Sanitizer on Cherry Tomatoes. Ital. J. Food Sci. 2018, 30, 467–486. [Google Scholar] [CrossRef]
- Fay, M.L.; Biswas, P.; Zhou, X.; Khouja, B.A.; Stewart, D.S.; Wong, C.W.Y.; Zhang, W.; Salazar, J.K. Power Ultrasound and Organic Acid-Based Hurdle Technology to Reduce Listeria monocytogenes and Salmonella enterica on Fresh Produce. Microbiol. Res. 2025, 16, 172. [Google Scholar] [CrossRef]
- Bhargava, N.; Mor, R.S.; Kumar, K.; Sharanagat, V.S. Advances in Application of Ultrasound in Food Processing: A Review. Ultrason. Sonochem. 2021, 70, 105293. [Google Scholar] [CrossRef]
- Zhang, H.; Wang, S.; Goon, K.; Gilbert, A.; Nguyen Huu, C.; Walsh, M.; Nitin, N.; Wrenn, S.; Tikekar, R.V. Inactivation of Foodborne Pathogens Based on Synergistic Effects of Ultrasound and Natural Compounds during Fresh Produce Washing. Ultrason. Sonochem. 2020, 64, 104983. [Google Scholar] [CrossRef]
- Andrews, S. FastQC A Quality Control Tool for High Throughput Sequence Data. Available online: https://www.bioinformatics.babraham.ac.uk/projects/fastqc/ (accessed on 15 June 2025).
- Ewels, P.; Magnusson, M.; Lundin, S.; Käller, M. MultiQC: Summarize Analysis Results for Multiple Tools and Samples in a Single Report. Bioinformatics 2016, 32, 3047–3048. [Google Scholar] [CrossRef] [PubMed]
- Krueger, F. Trim Galore. Available online: https://www.bioinformatics.babraham.ac.uk/projects/trim_galore/ (accessed on 15 June 2025).
- Martin, M. Cutadapt Removes Adapter Sequences from High-Throughput Sequencing Reads. EMBnet. J. 2011, 17, 10–12. [Google Scholar] [CrossRef]
- Chen, S.; Zhou, Y.; Chen, Y.; Gu, J. Fastp: An Ultra-Fast All-in-One FASTQ Preprocessor. Bioinformatics 2018, 34, i884–i890. [Google Scholar] [CrossRef] [PubMed]
- Li, H.; Durbin, R. Fast and Accurate Short Read Alignment with Burrows–Wheeler Transform. Bioinformatics 2009, 25, 1754–1760. [Google Scholar] [CrossRef]
- Li, H. Aligning Sequence Reads, Clone Sequences and Assembly Contigs with BWA-MEM. arXiv 2013. [Google Scholar] [CrossRef]
- Li, H.; Handsaker, B.; Wysoker, A.; Fennell, T.; Ruan, J.; Homer, N.; Marth, G.; Abecasis, G.; Durbin, R. The Sequence Alignment/Map Format and SAMtools. Bioinformatics 2009, 25, 2078–2079. [Google Scholar] [CrossRef]
- Liao, Y.; Smyth, G.K.; Shi, W. The R Package Rsubread Is Easier, Faster, Cheaper and Better for Alignment and Quantification of RNA Sequencing Reads. Nucleic Acids Res. 2019, 47, e47. [Google Scholar] [CrossRef]
- The R Foundation R: The R Project for Statistical Computing. Available online: https://www.r-project.org/ (accessed on 16 June 2025).
- Wickham, H. Ggplot2; Use R! Springer International Publishing: Cham, Switzerland, 2016; ISBN 978-3-319-24275-0. [Google Scholar]
- Wickham, H. Stringr: Simple, Consistent Wrappers for Common String Operations, version 1.5.1; Comprehensive R Archive Network: Vienna, Austria, 2009. [Google Scholar]
- Wickham, H. Reshaping Data with the Reshape Package. J. Stat. Soft. 2007, 21, 1–20. [Google Scholar] [CrossRef]
- Paradis, E.; Schliep, K. Ape 5.0: An Environment for Modern Phylogenetics and Evolutionary Analyses in R. Bioinformatics 2019, 35, 526–528. [Google Scholar] [CrossRef]
- Khroma, T. Colour Schemes for Scientific Data Visualization. Available online: https://packages.tesselle.org/khroma/ (accessed on 16 June 2025).
- Love, M.I.; Huber, W.; Anders, S. Moderated Estimation of Fold Change and Dispersion for RNA-Seq Data with DESeq2. Genome Biol. 2014, 15, 550. [Google Scholar] [CrossRef] [PubMed]
- Suzuki, R. Pvclust: Hierarchical Clustering with P-Values via Multiscale Bootstrap Resampling, version 2.2-0; Comprehensive R Archive Network: Vienna, Austria, 2005.
- Galili, T. Dendextend: An R Package for Visualizing, Adjusting and Comparing Trees of Hierarchical Clustering. Bioinformatics 2015, 31, 3718–3720. [Google Scholar] [CrossRef] [PubMed]
- Wei, T.; Simko, V.; Corrplot: Visualization of a Correlation Matrix. R Package Version 0.95. 2025. Available online: https://www.scirp.org/reference/referencespapers?referenceid=3377798 (accessed on 15 June 2025).
- Konopka, T.; Umap: Uniform Manifold Approximation and Projection. R Package Version 0.2.10.0. 2025. Available online: https://www.rdocumentation.org/packages/umap/versions/0.2.10.0 (accessed on 15 June 2025).
- Kassambara, A. Ggpubr: “ggplot2” Based Publication Ready Plots, (R Package Version 0.6.0.); Comprehensive R Archive Network: Vienna, Austria, 2023.
- Slowikowski, K. Ggrepel: Automatically Position Non-Overlapping Text Labels with “Ggplot2”, version 0.9.6; Comprehensive R Archive Network: Vienna, Austria, 2016.
- Garnier, S. Viridis-Colorblind-Friendly Color Maps for R. Available online: https://sjmgarnier.github.io/viridis/ (accessed on 16 June 2025).
- Auguie, B. gridExtra: Miscellaneous Functions for “Grid” Graphics, version 2.3; Comprehensive R Archive Network: Vienna, Austria, 2010.
- Gao, C.-H.; Yu, G.; Cai, P. ggVennDiagram: An Intuitive, Easy-to-Use, and Highly Customizable R Package to Generate Venn Diagram. Front. Genet. 2021, 12, 706907. [Google Scholar] [CrossRef] [PubMed]
- Kolde, R. Pheatmap: Pretty Heatmaps, version 1.0.13; Comprehensive R Archive Network: Vienna, Austria, 2010.
- The Gene Ontology Consortium. The Gene Ontology Resource: 20 Years and Still GOing Strong. Nucleic Acids Res. 2019, 47, D330–D338. [Google Scholar] [CrossRef]
- Alexa, A.; Rahnenführer, J.; Lengauer, T. Improved Scoring of Functional Groups from Gene Expression Data by Decorrelating GO Graph Structure. Bioinformatics 2006, 22, 1600–1607. [Google Scholar] [CrossRef]
- Cantalapiedra, C.P.; Hernández-Plaza, A.; Letunic, I.; Bork, P.; Huerta-Cepas, J. eggNOG-Mapper v2: Functional Annotation, Orthology Assignments, and Domain Prediction at the Metagenomic Scale. Mol. Biol. Evol. 2021, 38, 5825–5829. [Google Scholar] [CrossRef]
- Yu, G.; Wang, L.-G.; Luo, X.; Chen, M.; Dall-Olio, G.; Wei, W.; Gao, C.H. clusterProfiler. Available online: http://bioconductor.org/packages/clusterProfiler/ (accessed on 16 June 2025).
- Deutscher, J.; Francke, C.; Postma, P.W. How Phosphotransferase System-Related Protein Phosphorylation Regulates Carbohydrate Metabolism in Bacteria. Microbiol. Mol. Biol. Rev. 2006, 70, 939–1031. [Google Scholar] [CrossRef]
- Joseph, B.; Mertins, S.; Stoll, R.; Schär, J.; Umesha, K.R.; Luo, Q.; Müller-Altrock, S.; Goebel, W. Glycerol Metabolism and PrfA Activity in Listeria Monocytogenes. J. Bacteriol. 2008, 190, 5412–5430. [Google Scholar] [CrossRef]
- Muchaamba, F.; Eshwar, A.K.; Stevens, M.J.A.; von Ah, U.; Tasara, T. Variable Carbon Source Utilization, Stress Resistance, and Virulence Profiles Among Listeria Monocytogenes Strains Responsible for Listeriosis Outbreaks in Switzerland. Front. Microbiol. 2019, 10, 957. [Google Scholar] [CrossRef]
- Stoll, R.; Goebel, W. The Major PEP-Phosphotransferase Systems (PTSs) for Glucose, Mannose and Cellobiose of Listeria monocytogenes, and Their Significance for Extra- and Intracellular Growth. Microbiology 2010, 156, 1069–1083. [Google Scholar] [CrossRef]
- Harayama, S.; Rekik, M.; Ngai, K.L.; Ornston, L.N. Physically Associated Enzymes Produce and Metabolize 2-Hydroxy-2,4-Dienoate, a Chemically Unstable Intermediate Formed in Catechol Metabolism via Meta Cleavage in Pseudomonas Putida. J. Bacteriol. 1989, 171, 6251–6258. [Google Scholar] [CrossRef]
- Chen, M.; Zhang, J.; Xia, J.; Sun, J.; Zhang, X.; Xu, J.; Deng, S.; Han, Y.; Jiang, L.; Song, H.; et al. Listeria monocytogenes GshF Contributes to Oxidative Stress Tolerance via Regulation of the Phosphoenolpyruvate-Carbohydrate Phosphotransferase System. Microbiol. Spectr. 2023, 11, e02365-23. [Google Scholar] [CrossRef]
- Bansal, M.; Nannapaneni, R.; Sharma, C.S.; Kiess, A. Listeria Monocytogenes Response to Sublethal Chlorine Induced Oxidative Stress on Homologous and Heterologous Stress Adaptation. Front. Microbiol. 2018, 9, 2050. [Google Scholar] [CrossRef]
- Lee, J.-E.; Kim, M.J.; Hwang, S.H.; Park, J.; Cho, Y.S. Exploring the Impact of Stress Factors in Inducing the Viable but Nonculturable State in Listeria Monocytogenes: Implications for Food Safety. Food Biosci. 2025, 68, 106602. [Google Scholar] [CrossRef]
- Fan, J.; Ho, L.; Hobson, P.; Brookes, J. Evaluating the Effectiveness of Copper Sulphate, Chlorine, Potassium Permanganate, Hydrogen Peroxide and Ozone on Cyanobacterial Cell Integrity. Water Res. 2013, 47, 5153–5164. [Google Scholar] [CrossRef] [PubMed]
- Feng, Y.; Suo, K.; Zhang, Y.; Yang, Z.; Zhou, C.; Shi, L.; Chen, W.; Wang, J.; Wang, C.; Zheng, Y. Ultrasound Synergistic Slightly Acidic Electrolyzed Water Treatment of Grapes: Impacts on Microbial Loads, Wettability, and Postharvest Storage Quality. Ultrason. Sonochem. 2024, 103, 106751. [Google Scholar] [CrossRef] [PubMed]
- Ren, H.; Quan, Y.; Liu, S.; Hao, J. Effectiveness of Ultrasound (US) and Slightly Acidic Electrolyzed Water (SAEW) Treatments for Removing Listeria Monocytogenes Biofilms. Ultrason. Sonochem. 2025, 112, 107190. [Google Scholar] [CrossRef] [PubMed]
- Noster, J.; Hansmeier, N.; Persicke, M.; Chao, T.-C.; Kurre, R.; Popp, J.; Liss, V.; Reuter, T.; Hensel, M. Blocks in Tricarboxylic Acid Cycle of Salmonella enterica Cause Global Perturbation of Carbon Storage, Motility, and Host-Pathogen Interaction. mSphere 2019, 4, e00796-19. [Google Scholar] [CrossRef]
- Yang, S.; An, X.; Gu, G.; Yan, Z.; Jiang, X.; Xu, L.; Xiao, M. Novel dTDP-l-Rhamnose Synthetic Enzymes (RmlABCD) From Saccharothrix Syringae CGMCC 4.1716 for One-Pot Four-Enzyme Synthesis of dTDP-l-Rhamnose. Front. Microbiol. 2021, 12, 772839. [Google Scholar] [CrossRef]
- Garcia-Vello, P.; Sharma, G.; Speciale, I.; Molinaro, A.; Im, S.-H.; De Castro, C. Structural Features and Immunological Perception of the Cell Surface Glycans of Lactobacillus plantarum: A Novel Rhamnose-Rich Polysaccharide and Teichoic Acids. Carbohydr. Polym. 2020, 233, 115857. [Google Scholar] [CrossRef]
- Edgar, R.J.; Van Hensbergen, V.P.; Ruda, A.; Turner, A.G.; Deng, P.; Le Breton, Y.; El-Sayed, N.M.; Belew, A.T.; McIver, K.S.; McEwan, A.G.; et al. Discovery of Glycerol Phosphate Modification on Streptococcal Rhamnose Polysaccharides. Nat. Chem. Biol. 2019, 15, 463–471. [Google Scholar] [CrossRef] [PubMed]
- Subramanian, A.; Tamayo, P.; Mootha, V.K.; Mukherjee, S.; Ebert, B.L.; Gillette, M.A.; Paulovich, A.; Pomeroy, S.L.; Golub, T.R.; Lander, E.S.; et al. Gene Set Enrichment Analysis: A Knowledge-Based Approach for Interpreting Genome-Wide Expression Profiles. Proc. Natl. Acad. Sci. USA 2005, 102, 15545–15550. [Google Scholar] [CrossRef] [PubMed]
- Khatri, P.; Sirota, M.; Butte, A.J. Ten Years of Pathway Analysis: Current Approaches and Outstanding Challenges. PLoS Comput. Biol. 2012, 8, e1002375. [Google Scholar] [CrossRef]
- Paiva, J.B.D.; Penha Filho, R.A.C.; Berchieri Junior, A.; Lemos, M.V.F. Requirement for Cobalamin by Salmonella enterica Serovars Typhimurium, Pullorum, Gallinarum and Enteritidis during Infection in Chickens. Braz. J. Microbiol. 2011, 42, 1409–1419. [Google Scholar] [CrossRef] [PubMed]
- Jeter, R.M.; Olivera, B.M.; Roth, J.R. Salmonella typhimurium Synthesizes Cobalamin (Vitamin B12) de Novo under Anaerobic Growth Conditions. J. Bacteriol. 1984, 159, 206–213. [Google Scholar] [CrossRef]
- Wang, S.; Phillippy, A.M.; Deng, K.; Rui, X.; Li, Z.; Tortorello, M.L.; Zhang, W. Transcriptomic Responses of Salmonella enterica Serovars Enteritidis and Typhimurium to Chlorine-Based Oxidative Stress. Appl. Environ. Microbiol. 2010, 76, 5013–5024. [Google Scholar] [CrossRef]
- Lillie, I.M.; Booth, C.E.; Horvath, A.E.; Mondragon, M.; Engevik, M.A.; Horvath, T.D. Characterizing Arginine, Ornithine, and Putrescine Pathways in Enteric Pathobionts. MicrobiologyOpen 2024, 13, e1408. [Google Scholar] [CrossRef]
- Starek, A.; Kobus, Z.; Sagan, A.; Chudzik, B.; Pawłat, J.; Kwiatkowski, M.; Terebun, P.; Andrejko, D. Influence of Ultrasound on Selected Microorganisms, Chemical and Structural Changes in Fresh Tomato Juice. Sci. Rep. 2021, 11, 3488. [Google Scholar] [CrossRef]










Disclaimer/Publisher’s Note: The statements, opinions and data contained in all publications are solely those of the individual author(s) and contributor(s) and not of MDPI and/or the editor(s). MDPI and/or the editor(s) disclaim responsibility for any injury to people or property resulting from any ideas, methods, instructions or products referred to in the content. |
© 2025 by the authors. Licensee MDPI, Basel, Switzerland. This article is an open access article distributed under the terms and conditions of the Creative Commons Attribution (CC BY) license (https://creativecommons.org/licenses/by/4.0/).
Share and Cite
Wong, C.W.Y.; Zhou, X.; Carroll, L.M.; Fay, M.L.; Salazar, J.K.; Zhang, W. Transcriptomic Response of Listeria monocytogenes and Salmonella enterica Typhimurium to Power Ultrasound and Chlorine Treatments. Appl. Microbiol. 2025, 5, 119. https://doi.org/10.3390/applmicrobiol5040119
Wong CWY, Zhou X, Carroll LM, Fay ML, Salazar JK, Zhang W. Transcriptomic Response of Listeria monocytogenes and Salmonella enterica Typhimurium to Power Ultrasound and Chlorine Treatments. Applied Microbiology. 2025; 5(4):119. https://doi.org/10.3390/applmicrobiol5040119
Chicago/Turabian StyleWong, Catherine W. Y., Xinyi Zhou, Laura M. Carroll, Megan L. Fay, Joelle K. Salazar, and Wei Zhang. 2025. "Transcriptomic Response of Listeria monocytogenes and Salmonella enterica Typhimurium to Power Ultrasound and Chlorine Treatments" Applied Microbiology 5, no. 4: 119. https://doi.org/10.3390/applmicrobiol5040119
APA StyleWong, C. W. Y., Zhou, X., Carroll, L. M., Fay, M. L., Salazar, J. K., & Zhang, W. (2025). Transcriptomic Response of Listeria monocytogenes and Salmonella enterica Typhimurium to Power Ultrasound and Chlorine Treatments. Applied Microbiology, 5(4), 119. https://doi.org/10.3390/applmicrobiol5040119

