Next Article in Journal / Special Issue
Systematic Review of Probiotics and Their Potential for Developing Functional Nondairy Foods
Previous Article in Journal / Special Issue
Antimicrobial Resistance Profile of Planctomycetota Isolated from Oyster Shell Biofilm: Ecological Relevance within the One Health Concept
 
 
Font Type:
Arial Georgia Verdana
Font Size:
Aa Aa Aa
Line Spacing:
Column Width:
Background:
Article

Customizing Sanitization Protocols for Food-Borne Pathogens Based on Biofilm Formation, Surfaces and Disinfectants—Their Two- and Three-Way Interactions

1
Crop Diversification Centre South, Alberta Agriculture and Irrigation, 301 Horticultural Station Road East, Brooks, AB T1R 1E6, Canada
2
Department of Pharmaceutical Sciences and Pharmaceutics, Faculty of Pharmacy, P.O. Box 541350, Applied Science Private University, Amman 11937, Jordan
3
Innovotech Inc., Edmonton, AB T6N 1H1, Canada
4
Chinook Contract Research, Airdrie, AB T4A 0C3, Canada
5
Hydroqual Laboratories Ltd., Calgary, AB T2H 2K1, Canada
6
RJH Ag Research Solutions, Brooks, AB T1R 1C3, Canada
*
Author to whom correspondence should be addressed.
Appl. Microbiol. 2024, 4(1), 27-46; https://doi.org/10.3390/applmicrobiol4010003
Submission received: 24 November 2023 / Revised: 19 December 2023 / Accepted: 21 December 2023 / Published: 23 December 2023

Abstract

Food-borne pathogens are a serious challenge in food handling, processing, and packaging systems. The growth of microbial biofilms on food handling surfaces further complicates the management of the microbial contamination of food. Microorganisms within biofilms are difficult to eradicate with chemical disinfectants, with an increased likelihood of survival and the subsequent contamination of food. Therefore, a biofilm approach is needed in food safety and hygiene studies. Since many factors, such as strain, cell density, surface type and texture, environmental stress, and so forth, can affect biofilm formation and disinfectant efficacy, we evaluated the responses of biofilms formed by three food-borne bacterial pathogens on eight hard surfaces to seven chemical disinfectants. The three bacteria showed different capacities to colonize the surfaces. Similarly, chemical disinfectants also varied in efficacy, on surfaces and with pathogen species. One-, two-, and three-way interactions of strain, surface, and disinfectant were observed. The results generated demonstrate that the fine-tuning of sanitization strategies along the food production, processing, and packaging chain can be achieved in specific scenarios by accounting for two- and three-way interactions among bacteria, surface, and disinfectant.

1. Introduction

Food-borne pathogens are a constant threat to human health [1,2,3]. Just one example of the global threat to human health is Escherichia coli serotype O157:H7 that affects hundreds of thousands of patients every year, many of which are hospitalized and may have life-threatening complications [4]. Listeria monocytogenes and Salmonella choleraesuis are also commonly occurring food-borne pathogens that threaten human health [5,6]. When these pathogens contaminate or colonize hard surfaces of food handling, preparation or processing facilities, they can become widely distributed in food products and lead to expensive recalls, or worse, serious food-borne illness and in some cases even death.
The main strategy to prevent the spread of food-borne pathogens is to remove or eradicate microbial contamination that may have been introduced [7,8] and to clean and disinfect regularly to prevent introduced bacteria from becoming problematic and colonizing surfaces [9,10]. The major types of disinfectants used in the food industry are halogens, peroxides (or other oxidizers), acids, and quaternary ammonium compounds. These different classes of disinfectants are each limited in efficacy by factors such as the presence of soil, water hardness, temperature of applications, surface type, and ability to physically contact the surviving microorganisms [11,12]. The aim of disinfection is to reduce the surface population of viable cells left after cleaning and prevent microbial growth on surfaces before production restarts. The disinfectants must be effective, safe, easy to use, and easily rinsed off from surfaces, leaving no toxic residues that could affect the health properties and sensory values of the final products.
A complicating factor in food safety and hygiene is the ability of food-borne bacteria to form biofilms [13,14,15]. Biofilms are assemblages of microbial cells associated with a surface and enclosed in a matrix of primarily polysaccharide material of their own making [16,17]. More than 60 years after the first report on biofilms [18], they are still a concern in a broad range of areas, specifically in the food, agricultural, environmental, and biomedical fields [19,20,21,22,23,24,25,26,27,28,29]. Microorganisms colonizing surfaces as biofilms are more resistant to environmental challenges than are their planktonic counterparts in suspension [17,30,31,32,33,34,35]. This phenomenon of enhanced survival can also lead to food-borne pathogens remaining on surfaces after sanitization (cleaning and disinfecting). Biofilms formed by food-borne pathogens present a unique challenge to food industry sectors such as brewing, dairy processing, fresh produce, poultry processing, and red meat processing [36,37,38,39]. Duguid et al. [40] reported the adhesion of Salmonella sp. to food surfaces, and since that time, many reports have described the ability of food-borne pathogens to attach to food and food-contact surfaces, including L. monocytogenes [41,42,43,44], Yersinia enterocolitica [45], Campylobacter jejuni [44,46], Salmonella enteritidis [47], and E. coli O157:H7 [48,49]. As previously mentioned, E. coli, S. choleraesuis, and L. monocytogenes are food-transmitted pathogens that are of considerable significance to the food processing industry and cause disease and sometimes death across the world. The ability of these bacteria to attach tenaciously to food-contact surfaces and survive sanitization procedures can lead to a reservoir of contamination resulting in food recalls and/or food-borne illness [50]. Additionally, biofilms have been reported as possessing susceptibilities towards antimicrobials that are 100–1000 times less than equivalent populations of free-floating planktonic counterparts [51]. This may be due to the presence of the biofilm matrix [52] or other factors [53], but the increased biofilm resistance to conventional treatments enhances the need to develop new control strategies aimed at managing biofilms [54].
Understanding pathogen biology, including life and disease cycles, is an essential part of developing management and control strategies. Knowledge regarding how microorganisms survive, grow, and infect is always of benefit when dealing with clinical, industrial, agricultural or environmental disease issues [55,56,57]. Furthermore, understanding the stages of biofilm formation and the factors affecting biofilm formation has helped greatly in our ability to manage biofilm issues [15,58]. We know that growth media, growth conditions, microbial strain, inoculum level, and the type of surface can all impact biofilm formation and microbial survival [59,60]. We also know that the dose and surface composition can affect the disinfectant efficacy [13,61,62,63,64,65,66]. While a wealth of information has been reported on how these individual factors affect biofilm formation or disinfectant efficacy on their own, reports of how multiple factors interact are sorely lacking. This is due, in part, to the challenges associated with studying biofilms in vitro. Culturing biofilms in laboratory settings has been much more difficult than growing planktonic cultures. Specialized equipment, flow chambers, and the techniques and protocols employed to culture biofilms in vitro greatly limit the number of laboratories capable of performing these experiments. Additionally, it is challenging to incorporate adequate replications and repetitions for large, multi-factor experiments [67,68,69,70].
An innovative biofilm reactor that provides solutions to the challenge of the high-throughput culturing of microbial biofilms, with replication, was developed by Ceri et al. [71] and called the Calgary Biofilm Device (now called the MBEC Assay®). This novel plate technology allows for the cultivation of 96 biofilms simultaneously in a single reactor that can be readily transferred to serial rinses, challenges, and recovery solutions. The assay can be used to describe biofilm morphology, growth kinetics, and dose-dependent responses to chemical treatments in a high-throughput format using common laboratory instruments and equipment [61,72]. It was the first American Society for Testing and Materials (ASTM) high-throughput biofilm assay that was verified via collaborative efforts in multiple laboratories [73] and was the first ASTM-approved standard method for microbial biofilm growth and disinfectant testing (ASTM standard E2799, 2017). A second-generation plate, the BEST™ Assay, allows for biofilm cultivation on different hard surface materials in a multi-well format, facilitating the characterization of the effects of surface material on microbial growth, biofilm formation, and the response to chemical treatment [61,74]. The ability of the BEST™ Assay to evaluate the efficacy of antimicrobials on biofilms grown on different materials is significant for several reasons. Firstly, biofilm grown on the actual surface materials used operationally in the industry means that the assays better simulate real-world conditions faced in practice. Secondly, the ability to evaluate biofilms on multiple surfaces means that one can investigate two- and three-way interactions of factors affecting biofilm formation and eradication. For example, if knowledge regarding how a disinfectant performed against specific pathogens on specific surfaces was desired, it can now be collected using one or a series of plate(s) in a single, rapid, high-throughput experiment. The MBEC Assay® and BEST™ Assay have been used to characterize disinfectant efficacies for several plant pathogens [61,69,75,76,77].
The objective of this research was to determine the ability of food borne pathogens (E. coli O157:H7, S. choleraesius, and L. monocytogenes) to grow as biofilms on eight food processing and medical device surfaces (stainless steel, mild steel, wood, rubber, concrete, laminated plastic, ultra-high-molecular-weight plastic and silicon) and evaluate the efficacies of seven disinfectants against biofilms formed by these food-borne pathogens on these surfaces. Additionally, interactions among the pathogen, surface, and biocide were evaluated. The end goal was to demonstrate a method by which disinfection protocols could be refined for maximum efficacy by considering the three factors, i.e., pathogen, surface, and disinfectant, and their interactions.

2. Materials and Methods

2.1. Bacterial Strains, Surfaces, and Disinfectants

Three bacterial species were used in this study; Escherichia coli 0157:H7 (clinical isolate), Salmonella choleraesuis (ATCC 10708), and Listeria monocytogenes (ATCC 19114). A cryogenic stock (at −70 °C) was thawed to room temperature and streaked out on Trypticase Soy Agar (TSA) plates. These sub-culture plates were incubated at 37 °C for 24 h and stored at 4 °C after wrapping in Parafilm®. From the first sub-culture, a second sub-culture was streaked out on TSA and incubated at 37 °C for 24 h. The second sub-culture was used within 24 h.
Food-contact hard surfaces, namely, stainless steel, mild steel, ultra-high-molecular-weight plastic (UHMWP), rubber, laminated plastic, wood, concrete, and silicon were used in this study. Coupons of concrete (0.4 × 0.3 × 1.3 cm), mild steel (1.5 × 0.6 cm), stainless steel (1.5 × 0.6 cm), wood (1.5 × 0.6 cm), rubber (1.5 × 0.6 cm) and UHMWP (1.5 × 0.6 cm), laminated plastic (1.5 × 0.6 cm), and silicon (0.125 × 3.5 cm) were attached to the lids of the multi-well plates with a hot glue so they extended vertically down from the lid into each of the plate wells and could be immersed into the liquid of individual wells (Figure 1). These assembled BEST Assay™ plates were gas sterilized with ethylene oxide to remove surface contamination.
Seven disinfectants from five chemical classes were used in this study. The disinfectant names, active ingredients, classes, and concentrations are shown in Table 1.

2.2. Bacterial Biofilm Formation on Eight Surfaces

Bacterial inoculum was prepared from fresh Tryptic Soy Agar (TSA) plates by transferring bacteria to a glass test tube containing 3 mL sterile water using a sterile cotton swab. The final suspension matched a 0.5 McFarland Standard (1.5 × 108 cells per mL). The inoculum was diluted 88 μL in 22 mL of 10% Cation-Adjusted Mueller Hinton Broth (CAMHB) in Phosphate-Buffered Saline (PBS). The diluted bacterial suspension was inverted 3–5 times to achieve uniform mixing of the inoculum. A 100 μL sample of the diluted bacterial suspension was used for an inoculum quantification and viability check by serially diluting and spot plating. Four mL of inoculum was axenically placed in each of the wells of the BEST™ device. The peg lid with the attached coupons was inserted into the bottom of the 12-well plate and sealed with parafilm, and the entire device was placed on a rotary shaker (110 revolutions per minute) and incubated at 37 ± 1 °C for 24 and 48 h. After incubation, the peg lid was rinsed 3 times in sterile water by dipping the lid with coupons attached into three consecutive 12-well bottom plate devices containing 5 mL of sterile water in each well to rinse off any recently adhered planktonic organisms. The lid was then transferred to a fresh plate containing a surfactant-supplemented growth medium [prepared with 1 L of CAMHB supplemented with 20.0 g per litre of saponin and 10.0 g per litre of Tween-80. This solution was adjusted with diluted sodium hydroxide to the correct pH (7.0 ± 0.2 at 20 °C), and 500 μL of Universal Neutralizer was added to each 20 mL of the surfactant-supplemented growth medium]. Universal Neutralizer consisted of 1.0 g L-histidine, 1.0 g L-cysteine, and 2.0 g reduced glutathione in 20 mL double distilled water (filter sterilized through 0.22 μm diameter pore size filter and stored at −20 °C). The device, with pegs in 4.5 mL of the surfactant-supplemented growth medium, was dry sonicated for 30 min in a Model 250T ultrasonic chamber (VWR, Westchester, PA, USA) to remove adhered biofilm mass from the coupons. Following sonication, 100 µL from each well was placed into the 12 wells of the top row of a 96-well micro titer plate and 180 µL of 0.9% sterile saline was placed in all wells of the remaining rows. A serial dilution (100–107) was prepared by serially mixing and moving 20 μL down each of the 8 rows. For each series, 20 µL from each well was removed and spot plated on a TSA plate and incubated at 37 ± 1 °C for 24 h. The colony forming units (CFU)/mL for each well were calculated. Biofilms for each bacterium were evaluated in triplicate on each of the eight surfaces, and each experiment was repeated once.
For the evaluation of disinfectant efficacy, 48 h biofilms of the three bacteria were formed as previously described. The 48 h biofilms were selected for testing disinfectant efficacy due to evidence that older biofilms may be more challenging to disinfect or eradicate [78]. Prior to enumeration, the BEST™ lid was inserted into a 12-well challenge plate containing 4 mL of disinfectant at the prescribed concentration (Table 1). Exposure to disinfectant was done at room temperature, without shaking, for two exposure times, 10 and 60 min. After the disinfectant challenge, the lid was transferred to a fresh plate containing 4.5 mL of Universal Neutralizer in each well. After neutralizing, the lid was rinsed for 2 min in a plate containing 5 mL of sterile water in each well and transferred to a fresh plate containing a surfactant-supplemented growth medium [prepared with 1 L of CAMHB, supplemented with 20.0 g per litre of saponin and 10.0 g per litre of Tween-80. This solution was adjusted with diluted sodium hydroxide to the correct pH (7.0 ± 0.2 at 20 °C), and 500 μL of the universal neutralizer was added to each 20 mL of the surfactant supplemented growth medium]. The device, with pegs in the surfactant-supplemented growth medium, was dry sonicated for 30 min to re-suspend and separate the individual cells within the biofilm matrix. Following sonication, 100 µL from each well was placed into the 12 wells of the top row of a 96-well micro titer plate, and 180 µL of 0.9% sterile saline was placed in all wells of the remaining rows. A serial dilution (100–107) was prepared by serially mixing and moving 20 μL down each of the 8 rows. For each series, 20 µL from each well was removed and spot plated on a prepared TSA plate and incubated at 37 ± 1 °C for 24 h. The colony forming units (CFU)/mL for each well were calculated. Each disinfectant challenge was done in triplicate, and each experiment was repeated once.
Log reductions were calculated as the log10 CFU/mL in the growth control (no disinfectant added) minus the log10 CFU/mL resulting after exposure to the disinfectant. A log10 reduction of ≥3, (≥99.9% reduction), was considered functional disinfection.

2.3. Statistical Analyses

Statistical analyses were performed using Minitab 15.0 Statistical Software (Minitab Inc., State College, PA, USA). A test for equal variances was performed on each data set using either Bartlett’s test for normally distributed data sets or Levene’s test for non-normal, continuous distributions. Mixed-model Analyses of Variance (ANOVAs) were performed using a General Linear Model (GLM) to determine significant differences for main factors and for interactions between factors.

3. Results

3.1. Biofilm Formation of E. coli, S. choleraesuis, and L. monocytogenes

The population density was measured as CFU/mL recovered from a biofilm. When averaged across all surfaces, the population density after 24 h of growth was highest in S. cholerasius biofilms and was significantly higher (p < 0.001) than that of the other species tested (E. coli and L. monocytogenes), which were statistically comparable to one another (Table 2; Figure 2). After 48 h of growth, the population density was significantly higher in L. monocytogenes biofilms than in those of the other species tested (E. coli and S. cholerasius), which were statistically comparable to one another (Table 2; Figure 2).

3.2. Effect of the Surface on Biofilm Population Density

When averaged across all three bacteria, the smallest populations after 24 h of growth were observed on laminated plastic (3.03 log10 CFU/mL), high-molecular-weight plastic (3.19 log10 CFU/mL), and stainless steel (3.35 log10 CFU/mL) (Figure 3). The largest populations were observed on wood (4.03 log10 CFU/mL), rubber (3.72 log10 CFU/mL), and concrete (3.65 log10 CFU/mL) (Figure 3). However, after 48 h of growth, the smallest populations were observed on high-molecular-weight plastic (4.81 log10 CFU/mL), silicon (4.89 log10 CFU/mL), and stainless steel (4.95 log10 CFU/mL), and the largest populations were observed on wood (5.89 log10 CFU/mL), concrete (5.66 log10 CFU/mL), and mild steel (5.51 log10 CFU/mL) (Figure 3). The surface by bacterial species interaction was significant at p < 0.001 (Table 2), suggesting that biofilm formation by the three bacteria used in this study varied significantly between at least two of the surfaces. Some surfaces, such as wood and concrete, had high cell densities for all three bacteria. However, other surfaces such as silicon, rubber, and plastic had significant variation between bacteria. For example, S. cholerasuis had high cell densities on mild steel and rubber but low cell density on silicon (Figure 4). Alternatively, L. monocytogenes had high cell densities on silicon and rubber but low cell density on mild steel. Finally, E. coli had a high population density on mild steel but significantly lower densities on rubber and silicon.

3.3. Log Reductions of Food-Borne Pathogen Biofilms by Disinfectant: Single Factors

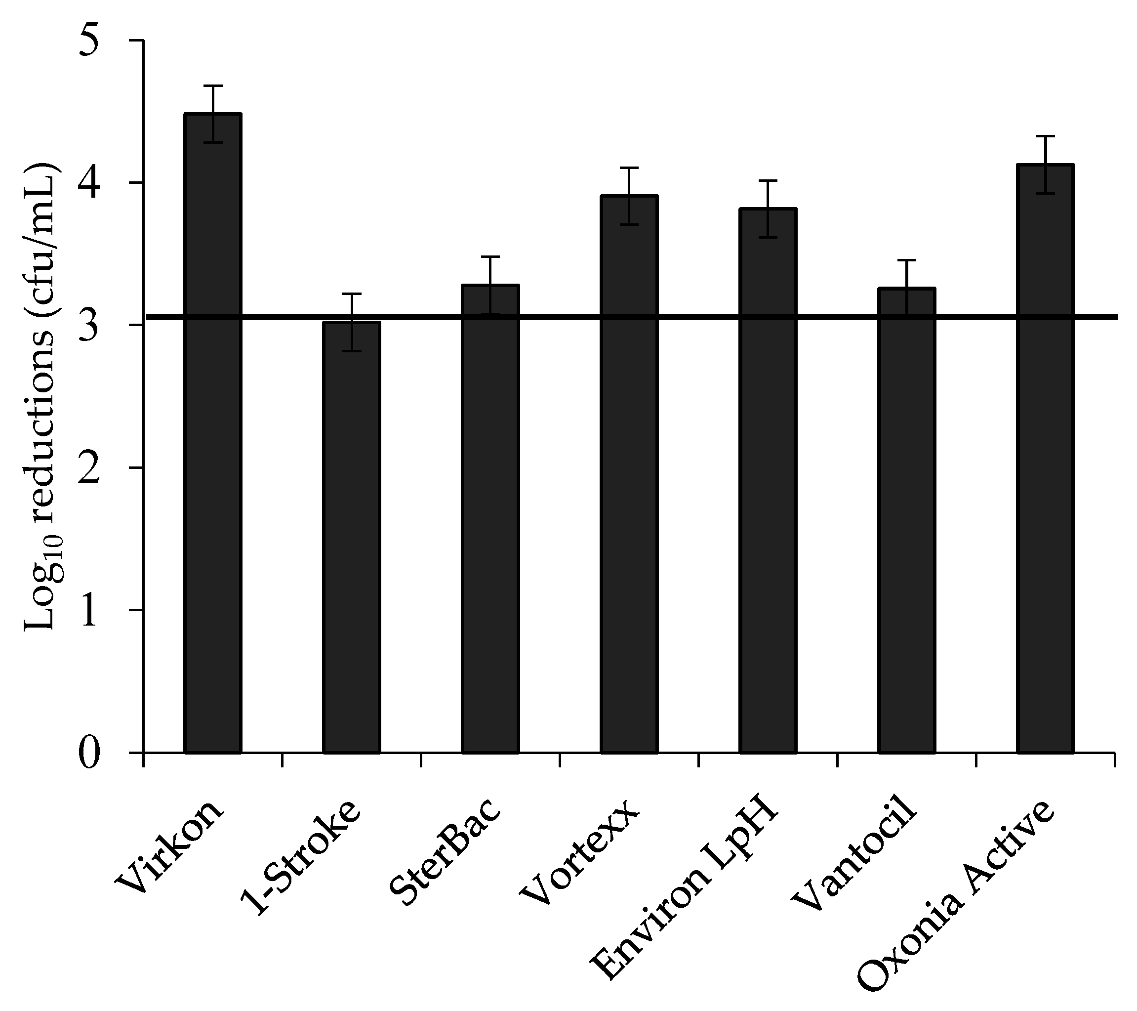
The log reductions achieved by disinfectants showed statistically significant differences for all three main factors (bacteria, surface, and disinfectant), as well as for all two-way and three-way interactions (Table 3). When averaged across all seven disinfectants and all eight surfaces S. cholerasius formed the most difficult biofilms to disinfect as it had the lowest overall log10 reduction (3.27 CFU/mL) followed by E. coli O157:H7 and L. monocytogenes with log10 reductions of 3.55 and 4.72, respectively (Figure 5). When averaged across all seven disinfectants for all three bacteria, the most difficult surfaces to disinfect were wood and rubber with log reductions of 2.80 and 3.37 log10 CFU/mL (Figure 6). Wood surfaces proved to be the most challenging to disinfect as only two of the disinfectants were capable of 3-log reductions for all three pathogens on wood (Supplementary Figures S1–S3), and the average log10 reduction for wood was less than 3, indicating that, on average, the functional disinfection of wood was not achieved. The easiest surfaces to disinfect were concrete and stainless steel, with log reductions of 4.25 and 4.19 log10 CFU/mL (Figure 6). Finally, when averaged across all eight surfaces for all three bacteria, the seven disinfectants each showed log10 CFU/mL reductions of at least 3, indicating that, on average, they were all capable of functional disinfection. However, some disinfectants displayed higher average log reductions than others. The disinfectants with the greatest log reductions were Virkon and Oxonia Active, with average log10 CFU/mL reductions of 4.48 and 4.13, respectively (Figure 7). The smallest reductions were observed for 1-Stroke and Vantocil, with log10 CFU/mL reductions of 3.01 and 3.26, respectively (Figure 7).

3.4. Log Reductions of Food-Borne Pathogen Biofilms: Two-Way Interactions

The interaction between surfaces and bacterial species was statistically significant for log reduction (Table 3). While some surfaces such as stainless steel experienced 3-log reductions for all bacteria, this was not the case for all surfaces. Three examples of this were seen for rubber, concrete, and wood where 4-log reductions were achieved for E. coli and S. cholerasius on concrete, but L. monocytogenes barely achieved a 3-log reduction (Figure 8). Conversely, 4-log reductions of L. monocytogenes were observed for biofilms on rubber and wood, but functional disinfection was not achieved for E. coli and S. cholerasius biofilms on these surfaces (Figure 8). Note the standard error of the mean was highest for the wood surface, which highlights the challenges associated with this highly porous surface, presumably both in the recovery of biofilm organisms for evaluation and the penetration/interaction of the biocides within the matrix of the wood surface.
The surface by disinfectant interaction was significant at p < 0.001 (Table 3), suggesting that log reductions by the seven disinfectants varied significantly between at least two of the surfaces. Two disinfectants, Virkon and Oxonia Active, achieved a 3-log reduction on all surfaces, but the efficacies of the remaining five disinfectants were significantly affected by the surface. Three of the most obvious examples of this were seen for 1-Stroke, SterBac, and Vantocil; they achieved a 3-log reduction, or even functional eradication, on one or more surfaces but failed to achieve 3-log reduction on other surfaces (Figure 9).
When averaged across all eight surfaces, the species by disinfectant interaction was significant at p < 0.001 (Table 3), suggesting that log reductions by the seven disinfectants varied significantly between at least two of the bacterial species. There were four disinfectants (Virkon, Vortexx, Eviron LpH, Oxonia Active) that achieved ≥3-log reduction for all three bacteria on all eight surfaces, one (1-Stroke) that achieved a 3-log reduction of E. coli and L. monocytogenes biofilms, but could not quite reach a 2-log reduction of S. cholerasius biofilm, and two (SterBac and Vantocil) that achieved a ≥3-log reduction for only one species (Figure 10).

3.5. Three-Way Interactions of Bacterial Species × Surfaces × Disinfectants

When log reductions for all seven disinfectants, averaged across all eight surfaces, and all three species, the three-way interaction was significant at p < 0.001 (Table 3). These complex relationships are presented graphically in Supplementary Figures S1–S3. One example of this three-way interaction is the log reductions observed for all seven disinfectants versus the biofilms of all three pathogens on rubber. When biofilms were grown on rubber surfaces, only two disinfectants failed to achieve a 3-log reduction for L. monocytogenes, whereas three disinfectants failed to achieve a 3-log reduction for E. coli O157:H7, and five disinfectants failed to functionally disinfect S. cholerasius (Figure 10). The disinfectants that failed to achieve a 3-log reduction on rubber were not always ineffective on rubber nor were they always ineffective against a specific bacterium. It was the interactions of the three factors that determined the outcomes.

4. Discussion

Biofilm formation is affected by factors such as bacterial species, the characteristics of the surfaces, and the surrounding medium/environment [79,80]. In the food-processing industry, surface features are also very important for biofilm formation because they influence initial cell attachment [81]. Additionally, it has been observed that a critical surface tension value promotes bacterial adhesion [82,83]. Further, Bendinger et al. [82] reported that more cells attach to hydrophilic surfaces (stainless steel, glass, etc.) than hydrophobic surfaces (Buna-N rubber and other plastics). Other work has shown that bacteria tend to attach to glass (a hydrophilic surface) uniformly in a monolayer, while on hydrophobic surfaces such as nylon and tin, they tend to adhere in clumps [84]. In contrast, Baker [85] found no difference between hydrophilic glass slides and polystyrene Petri plates in the cellular adhesion of freshwater bacteria while Bos et al. [86] found that bacterial colonization happened at the hydrophilic region of the hydrophilic–hydrophobic interface of the stainless-steel surface. We found that, in general, larger populations developed on hydrophilic surfaces such as wood, concrete, and mild steel while smaller populations resulted on hydrophobic surfaces such as plastic and silicon (Figure 2). Interestingly, rubber was an exception to this observation, as it is a hydrophobic surface and yet had the third highest CFU/mL value in the 24 h biofilms. One interpretation of this observation is that, while surface hydrophilicity plays an important role in attachment and biofilm formation, it is not the only factor affecting the final cell population within the biofilm. For example, Characklis et al. [87] observed that surface roughness affected the extent of microbial attachment. Additional studies by Jones et al. [88] also demonstrated that surface defects were associated with a significant increase in bacterial adhesion. In our study, the surfaces with the highest populations in 24 h biofilms were wood, concrete, and rubber, which represent the most porous surfaces tested. Thus, both hydrophilicity and porosity could be important factors in cell attachment and biofilm growth. Another explanation is that even though bacteria attach more to hydrophilic than hydrophobic surfaces, the differences in attachment are not necessarily of practical significance when high growth rates on the surface can make attachment differences a minor factor in the development of the microbial load. This may also partially explain why the surfaces with the highest populations were not the same for the 24 h and 48 h biofilms.
With respect to species-specific differences in biofilm populations, we observed that all bacteria formed >3 log10 CFU/mL biofilms on all eight of the surfaces tested, but significant differences in biofilm populations existed. For example, S. cholerasius had the highest population after 24 h, but L. monocytogenes had the highest population after 48 h (Figure 2). In addition, some surfaces hosted significantly higher populations than others in a species-specific manner as seen in Figure 4. This result is similar to those obtained by Mafu et al. [43] and Sasahara and Zottola [89]; they observed strain-specific variability in the ability to attach to and colonize surfaces.
Functional disinfection is widely described as ≥3-log reduction (99.9% kill) of the viable cell population [90,91,92]. Our results showed that all disinfectants were capable of the functional disinfection of the bacterial biofilms when log reduction values were averaged across all eight different food-contact surfaces (Figure 7). However, while some surfaces such as concrete and stainless steel were easy to disinfect, others such as wood and rubber were significantly more difficult to disinfect (Figure 6). This result confirms what many others have reported that wood can be a very challenging surface to disinfect [93]. Additionally, some results were specific to one bacterium on one or two surfaces for a specific disinfectant (Figure 8 and Figure 9), hinting that interactions among species, surface, and disinfectant can be complicated. In this study, we have confirmed that the interactions among species, surface, and disinfectant were all statistically significant (Table 3), and Figure 10 highlights the significantly varied outcomes due to some of these complex interactions. Very few studies have evaluated two- and three-way interactions of species and surface materials with disinfectant efficacies. For example, Howard et al. [75] demonstrated two-way interactions between disinfectants and surfaces in the context of managing bacterial ring rot disease in potato but did not look at multiple strains or isolates. While these studies can be challenging, the refinement of surface disinfection strategies to maximize efficacy and reduce gaps in food safety will require these types of multifactorial evaluations. The results will provide evidence regarding what disinfectant(s) may be best suited for specific situations. For example, our results support the use of Virkon and Oxonia Active as efficacious, broad-spectrum disinfectants for multiple surfaces, but 1-Stroke, SterBac, and Vantocil are recommended only for the disinfection of L. monocytogenes on stainless steel, concrete, and high-molecular-weight plastic (Figure 8 and Figure 10).
This evaluation of the growth of microbial biofilms on various surfaces and the disinfectant efficacy in specific situations has revealed interactions among bacterial species, surface type, and active ingredient. Despite the challenges of investigating biofilms’ two- and three-way interactions with surfaces and disinfectants, the BEST™ Assay provided an effective platform for evaluating these influences and interactions. In situations where disinfection or eradication is foundational for safe food and the prevention of human illness, the results of this work suggest that fine tuning disinfection protocols based on key factors, and interactions among them, may be a very useful endeavor.

Supplementary Materials

The following supporting information can be downloaded at: https://www.mdpi.com/article/10.3390/applmicrobiol4010003/s1, Figure S1: Log reductions of Listeria monocytogenes biofilms on eight hard surfaces exposed to seven disinfectants for 10 min. Biofilms were also exposed to disinfectants for 1 h (not shown). Black bars achieved at least a 3-log reduction at 10 min. Yellow bars achieved a 3-log reduction after 1 h, but not at 10 min. Error bars represent the standard error of the mean; Figure S2: Log reductions of E. coli 0157:H7 biofilms on eight hard surfaces exposed to seven disinfectants for 10 min. Biofilms were also exposed to disinfectants for 1 h (not shown). Black bars achieved at least a 3-log reduction. Yellow bars achieved a 3-log reduction after 1 h, but not at 10 min. Red bars did not achieve a 3-log reduction after 10 min or 1 h exposures. Error bars represent the standard error of the mean; Figure S3: Log reductions of S. cholerasuis biofilms on eight hard surfaces exposed to seven disinfectants for 10 min. Biofilms were also exposed to disinfectants for 1 h (not shown). Black bars achieved at least a 3-log reduction. Yellow bars achieved a 3-log reduction after 1 h, but not at 10 min. Red bars did not achieve a 3-log reduction after 10 min or 1 h exposures. Error bars represent the standard error of the mean.

Author Contributions

Conceptualization, M.O. and L.M.; methodology, M.O., N.A. and L.M.; formal analysis, A.O. and B.B.; investigation, A.O., B.B., N.A., L.M. and M.W.H.; resources, M.O. and R.H.; data curation, N.A. and M.W.H.; writing—original draft preparation, M.K. and M.W.H., a writing—review and editing, M.W.H., A.O., R.H. and N.A.; supervision, M.O., R.H., L.M. and N.A.; project administration, A.O., N.A. and L.M.; funding acquisition, M.O., R.H. and L.M. All authors have read and agreed to the published version of the manuscript.

Funding

This research was supported financially by a grant from Canadian Food Safety and Quality Program Food Safety Initiative Project #43885 and an Alberta Ingenuity Industrial Associateship.

Data Availability Statement

The data presented in this study are available on request from the corresponding author.

Acknowledgments

The authors are grateful for in-kind support provided by Innotovech Inc. and Alberta Agriculture and Irrigation that facilitated the successful completion of the experimental work.

Conflicts of Interest

M.O, N.A., A.O., B.B. and M.W.H. were employees of Innovotech Inc. at the time this work was conducted. Additionally, some are inventors on multiple patents related to the MBEC Assay® and BEST AssayTM methods and devices.

References

  1. Josephs-Spaulding, J.; Beeler, E.; Singh, O.V. Human microbiome versus food-borne pathogens: Friend or foe. Appl. Microbiol. Biotechnol. 2016, 100, 4845–4863. [Google Scholar] [CrossRef] [PubMed]
  2. Larsen, M.H.; Dalmasso, M.; Ingmer, H.; Langsrud, S.; Malakauskas, M.; Mader, A.; Møretrø, T.; Možina, S.S.; Rychli, K.; Wagner, M.; et al. Persistence of foodborne pathogens and their control in primary and secondary food production chains. Food Control 2014, 44, 92–109. [Google Scholar] [CrossRef]
  3. Butucel, E.; Balta, I.; Ahmadi, M.; Dumitrescu, G.; Morariu, F.; Pet, I.; Stef, L.; Corcionivoschi, N. Biocides as biomedicines against foodborne pathogenic bacteria. Biomedicines 2022, 10, 379. [Google Scholar] [CrossRef] [PubMed]
  4. Eppinger, M.; Cebula, T.A. Future perspectives, applications and challenges of genomic epidemiology studies for food-borne pathogens: A case study of Enterohemorrhagic Escherichia coli (EHEC) of the O157: H7 serotype. Gut Microbes 2015, 6, 194–201. [Google Scholar] [CrossRef] [PubMed][Green Version]
  5. Yu, Q.; Zhai, L.; Bie, X.; Lu, Z.; Zhang, C.; Tao, T.; Li, J.; Lv, F.; Zhao, H. Survey of five food-borne pathogens in commercial cold food dishes and their detection by multiplex PCR. Food Control 2016, 59, 862–869. [Google Scholar] [CrossRef]
  6. Aryal, M.; Muriana, P.M. Efficacy of commercial sanitizers used in food processing facilities for inactivation of Listeria monocytogenes, E. coli O157: H7, and Salmonella biofilms. Foods 2019, 8, 639. [Google Scholar] [CrossRef] [PubMed]
  7. Moerman, F.; Mager, K. Cleaning and disinfection in dry food processing facilities. In Handbook of Hygiene Control in the Food Industry; Woodhead Publishing: Sawston, UK, 2016; pp. 521–554. [Google Scholar]
  8. Holah, J.T. Cleaning and disinfection practices in food processing. In Hygiene in Food Processing, 2nd ed.; Woodhead Publishing: Cambridge, UK, 2014; pp. 259–304. [Google Scholar]
  9. Midelet, G.; Carpentier, B. Impact of cleaning and disinfection agents on biofilm structure and on microbial transfer to a solid model food. J. Appl. Microbiol. 2004, 97, 262–270. [Google Scholar] [CrossRef] [PubMed]
  10. Simões, M.; Simões, L.C.; Machado, I.; Pereira, M.O.; Vieira, M.J. Control of flow-generated biofilms with surfactants: Evidence of resistance and recovery. Food Bioprod. Process. 2006, 84, 338–345. [Google Scholar] [CrossRef]
  11. Cadnum, J.L.; Pearlmutter, B.S.; Haq, M.F.; Jencson, A.L.; Donskey, C.J. Effectiveness and real-world materials compatibility of a novel hydrogen peroxide disinfectant cleaner. Am. J. Infect. Control 2021, 49, 1572–1574. [Google Scholar] [CrossRef]
  12. Aranke, M.; Moheimani, R.; Phuphanich, M.; Kaye, A.D.; Ngo, A.L.; Viswanath, O.; Herman, J. Disinfectants in interventional practices. Curr. Pain Headache Rep. 2021, 25, 1–10. [Google Scholar] [CrossRef]
  13. Abdallah, M.; Benoliel, C.; Drider, D.; Dhulster, P.; Chihib, N.E. Biofilm formation and persistence on abiotic surfaces in the context of food and medical environments. Arch. Microbiol. 2014, 196, 453–472. [Google Scholar] [CrossRef] [PubMed]
  14. Srey, S.; Jahid, I.K.; Ha, S.D. Biofilm formation in food industries: A food safety concern. Food Control 2013, 31, 572–585. [Google Scholar] [CrossRef]
  15. Bridier, A.; Sanchez-Vizuete, P.; Guilbaud, M.; Piard, J.C.; Naïtali, M.; Briandet, R. Biofilm-associated persistence of food-borne pathogens. Food Microbiol. 2015, 45, 167–178. [Google Scholar] [CrossRef] [PubMed]
  16. Costerton, J.W.; Lewandowski, Z.; Caldwell, D.E.; Korber, D.R.; Lappin-Scott, H.M. Microbial biofilms. Annu. Rev. Microbiol. 1995, 49, 711–745. [Google Scholar] [CrossRef] [PubMed]
  17. Iturriaga, M.H.; Tamplin, M.L.; Escartin, E.F. Colonization of tomatoes by Salmonella montevideo is affected by relative humidity and storage temperature. J. Food Prot. 2007, 70, 30–34. [Google Scholar] [CrossRef] [PubMed]
  18. Zobell, C.E. The effect of solid surfaces upon bacterial activity. J. Bacteriol. 1943, 46, 39–56. [Google Scholar] [CrossRef] [PubMed]
  19. Chitlapilly Dass, S.; Wang, R. Biofilm through the looking glass: A microbial food safety perspective. Pathogens 2022, 11, 346. [Google Scholar] [CrossRef]
  20. Ghosh, S.; Sarkar, T.; Chakraborty, R. Formation and development of biofilm-an alarming concern in food safety perspectives. Biocatal. Agric. Biotechnol. 2021, 38, 102210. [Google Scholar] [CrossRef]
  21. Bai, X.; Nakatsu, C.H.; Bhunia, A.K. Bacterial biofilms and their implications in pathogenesis and food safety. Foods 2021, 10, 2117. [Google Scholar] [CrossRef]
  22. Raposo, A.; Ramos, F.; Raheem, D.; Saraiva, A.; Carrascosa, C. Food safety, security, sustainability and nutrition as priority objectives of the food sector. Int. J. Environ. Res. Public Health 2021, 18, 8073. [Google Scholar] [CrossRef]
  23. Mevo, S.I.U.; Ashrafudoulla, M.; Furkanur Rahaman Mizan, M.; Park, S.H.; Ha, S.D. Promising strategies to control persistent enemies: Some new technologies to combat biofilm in the food industry—A review. Compr. Rev. Food Sci. Food Saf. 2021, 20, 5938–5964. [Google Scholar] [CrossRef] [PubMed]
  24. Zhu, T.; Yang, C.; Bao, X.; Chen, F.; Guo, X. Strategies for controlling biofilm formation in food industry. Grain Oil Sci. Technol. 2022, 5, 179–186. [Google Scholar] [CrossRef]
  25. Abebe, G.M. The role of bacterial biofilm in antibiotic resistance and food contamination. Int. J. Microbiol. 2020, 2020, 1705814. [Google Scholar] [CrossRef] [PubMed]
  26. Nicolas, M.; Beito, B.; Oliveira, M.; Tudela Martins, M.; Gallas, B.; Salmain, M.; Boujday, S.; Humblot, V. Strategies for antimicrobial peptides immobilization on surfaces to prevent biofilm growth on biomedical devices. Antibiotics 2021, 11, 13. [Google Scholar] [CrossRef] [PubMed]
  27. Singh, A.; Amod, A.; Pandey, P.; Bose, P.; Pingali, M.S.; Shivalkar, S.; Varadwaj, P.K.; Sahoo, A.K.; Samanta, S.K. Bacterial biofilm infections, their resistance to antibiotics therapy and current treatment strategies. Biomed. Mater. 2022, 17, 022003. [Google Scholar] [CrossRef] [PubMed]
  28. Rather, M.A.; Gupta, K.; Mandal, M. Impact of microbial biofilm on crop productivity and agricultural sustainability. In Microbes in Land Use Change Management; Elsevier: Amsterdam, The Netherlands, 2021; pp. 451–469. [Google Scholar]
  29. Rayanoothala, P.; Divya, M.; Mahapatra, S.; Das, S. Microbial Biofilm: Formation, Quorum Sensing, and Its Applications in Plant Disease Management. In Emerging Trends in Plant Pathology; Springer: Singapore, 2021; pp. 385–397. [Google Scholar]
  30. Fazeli-Nasab, B.; Sayyed, R.Z.; Mojahed, L.S.; Rahmani, A.F.; Ghafari, M.; Antonius, S. Biofilm production: A strategic mechanism for survival of microbes under stress conditions. Biocatal. Agric. Biotechnol. 2022, 42, 102337. [Google Scholar] [CrossRef]
  31. Beier, R.C.; Byrd, J.A.; Andrews, K.; Caldwell, D.; Crippen, T.L.; Anderson, R.C.; Nisbet, D.J. Disinfectant and antimicrobial susceptibility studies of the foodborne pathogen Campylobacter jejuni isolated from the litter of broiler chicken houses. Poult. Sci. 2021, 100, 1024–1033. [Google Scholar] [CrossRef]
  32. Trubenová, B.; Roizman, D.; Moter, A.; Rolff, J.; Regoes, R.R. Population genetics, biofilm recalcitrance, and antibiotic resistance evolution. Trends Microbiol. 2022, 30, 841–852. [Google Scholar] [CrossRef]
  33. Nunez, C.; Kostoulias, X.; Peleg, A.Y.; Short, F.; Qu, Y. A comprehensive comparison of biofilm formation and capsule production for bacterial survival on hospital surfaces. Biofilm 2023, 5, 100105. [Google Scholar] [CrossRef]
  34. Thaarup, I.C.; Iversen, A.K.S.; Lichtenberg, M.; Bjarnsholt, T.; Jakobsen, T.H. Biofilm survival strategies in chronic wounds. Microorganisms 2022, 10, 775. [Google Scholar] [CrossRef]
  35. Gloag, E.S.; Fabbri, S.; Wozniak, D.J.; Stoodley, P. Biofilm mechanics: Implications in infection and survival. Biofilm 2020, 2, 100017. [Google Scholar] [CrossRef] [PubMed]
  36. Chen, J.; Rossman, M.L.; Pawar, D.M. Attachment of enterohemorrhagic Escherichia coli to the surface of beef and a culture medium. LWT-Food Sci. Technol. 2007, 40, 249–254. [Google Scholar] [CrossRef]
  37. Frank, J.F.; Koffi, R.A. Surface-adherent growth of Listeria monocytogenes is associated with increased resistance to surfactant sanitizers and heat. J. Food Prot. 1990, 53, 550–554. [Google Scholar] [CrossRef] [PubMed]
  38. Jessen, B.; Lammert, L. Biofilm and disinfection in meat processing plants. Int. Biodeterior. Biodegrad. 2003, 51, 265–269. [Google Scholar] [CrossRef]
  39. Somers, E.B.; Wong, A.C.L. Efficacy of two cleaning and sanitizing combinations on Listeria monocytogenes biofilms formed at low temperature on a variety of materials in the presence of ready-to-eat meat residue. J. Food Prot. 2004, 67, 2218–2229. [Google Scholar] [CrossRef] [PubMed]
  40. Duguid, J.P.; Anderson, E.S.; Campbell, I. Fimbriae and adhesive properties in Salmonellae. J. Pathol. Bacteriol. 1966, 92, 107–137. [Google Scholar] [CrossRef] [PubMed]
  41. Frank, J.F.; Ehlers, J.; Wicker, L. Removal of Listeria monocytogenes and poultry soil-containing biofilms using chemical cleaning and sanitizing agents under static conditions. Food Prot. Trends 2003, 23, 654–663. [Google Scholar]
  42. Herald, P.J.; Zottola, E.A. Attachment of Listeria monocytogenes to stainless steel surfaces at various temperatures and pH values. J. Food Sci. 1988, 53, 1549–1562. [Google Scholar] [CrossRef]
  43. Mafu, A.A.; Roy, D.; Goulet, J.; Magny, P. Attachment of Listeria monocytogenes to stainless steel, glass, polypropylene, and rubber surfaces after short contact times. J. Food Prot. 1990, 53, 742–746. [Google Scholar] [CrossRef]
  44. Duze, S.T.; Marimani, M.; Patel, M. Tolerance of Listeria monocytogenes to biocides used in food processing environments. Food Microbiol. 2021, 97, 103758. [Google Scholar] [CrossRef]
  45. Herald, P.J.; Zottola, E.A. Scanning electron microscopic examination of Yersinia enterocolitica attached to stainless steel at selected temperatures and pH values. J. Food Prot. 1988, 51, 445–448. [Google Scholar] [CrossRef] [PubMed]
  46. Kuusela, P.; Moran, A.P.; Vartio, T.; Kosunen, T.U. Interaction of Campylobacter jejuni with extracellular matrix components. Biochim. Biophys. Acta (BBA)-Gen. Subj. 1989, 993, 297–300. [Google Scholar] [CrossRef]
  47. Xu, J.G.; Meng, J.; Bao, W.J.; Kang, J.M.; Chen, J.Y.; Han, B.Z. Occurrence of disinfectant-resistant bacteria in a fresh-cut vegetables processing facility and their role in protecting Salmonella enteritidis. RSC Adv. 2021, 11, 10291–10299. [Google Scholar] [CrossRef] [PubMed]
  48. Puligundla, P.; Lim, S. Biocontrol approaches against Escherichia coli O157: H7 in foods. Foods 2022, 11, 756. [Google Scholar] [CrossRef] [PubMed]
  49. Dewanti, R.; Wong, A.C. Influence of culture conditions on biofilm formation by Escherichia coli O157: H7. Int. J. Food Microbiol. 1995, 26, 147–164. [Google Scholar] [CrossRef] [PubMed]
  50. Giaouris, E.; Simões, M.; Dubois-Brissonnet, F. The role of biofilms in the development and dissemination of microbial resistance within the food industry. Foods 2020, 9, 816. [Google Scholar] [CrossRef] [PubMed]
  51. Gilbert, P.; Allison, D.G.; McBain, A.J. Biofilms in vitro and in vivo: Do singular mechanisms imply cross-resistance? J. Appl. Microbiol. 2002, 92, 98S–110S. [Google Scholar] [CrossRef]
  52. Fagerlund, A.; Langsrud, S.; Heir, E.; Mikkelsen, M.I.; Møretrø, T. Biofilm matrix composition affects the susceptibility of food associated staphylococci to cleaning and disinfection agents. Front. Microbiol. 2016, 7, 856. [Google Scholar] [CrossRef]
  53. Demeter, M.A.; Lemire, J.A.; Turner, R.J.; Harrison, J.J. Biofilm Survival Strategies in Polluted Environments. In Biofilms in Bioremediation: Current Research and Emerging Technologies; Caister Academic Press: Poole, UK, 2016; pp. 43–56. ISBN 9781910190296. [Google Scholar]
  54. Razdan, K.; Garcia-Lara, J.; Sinha, V.R.; Singh, K.K. Pharmaceutical strategies for the treatment of bacterial biofilms in chronic wounds. Drug Discov. Today 2022, 27, 2137–2150. [Google Scholar] [CrossRef]
  55. Pragman, A.A.; Berger, J.P.; Williams, B.J. Understanding persistent bacterial lung infections: Clinical implications informed by the biology of the microbiota and biofilms. Clin. Pulm. Med. 2016, 23, 57. [Google Scholar] [CrossRef]
  56. Harrison, J.J.; Turner, R.J.; Marques, L.L.R.; Ceri, H. Biofilms: A new understanding of these microbial communities is driving a revolution that may transform the science of microbiology. Am. Sci. 2005, 93, 508–515. [Google Scholar] [CrossRef]
  57. Harding, M.W.; Marques, L.L.; Howard, R.J.; Olson, M.E. Can filamentous fungi form biofilms? Trends Microbiol. 2009, 17, 475–480. [Google Scholar] [CrossRef] [PubMed]
  58. Tan, S.Y.E.; Chew, S.C.; Tan, S.Y.Y.; Givskov, M.; Yang, L. Emerging frontiers in detection and control of bacterial biofilms. Curr. Opin. Biotechnol. 2014, 26, 1–6. [Google Scholar] [CrossRef] [PubMed]
  59. Gkana, E.N.; Doulgeraki, A.I.; Chorianopoulos, N.G.; Nychas, G.J.E. Anti-adhesion and anti-biofilm potential of organosilane nanoparticles against foodborne pathogens. Front. Microbiol. 2017, 8, 1295. [Google Scholar] [CrossRef] [PubMed]
  60. Lim, S.M.; Lim, E.S.; Kim, J.S.; Paik, H.D.; Koo, O.K. Survival of foodborne pathogens on stainless steel soiled with different food residues. Food Sci. Biotechnol. 2020, 29, 729–737. [Google Scholar] [CrossRef] [PubMed]
  61. Harding, M.W.; Howard, R.J.; Daniels, G.D.; Mobbs, S.L.; Lisowski, S.L.I.; Allan, N.D.; Omar, A.; Olson, M.E. A multi-well plate method for rapid growth, characterization and biocide sensitivity testing of microbial biofilms on various surface materials. In Science against Microbial Pathogens: Communicating Current Research and Technological Advances; Formatex: Badajoz, Spain, 2011; pp. 872–877. [Google Scholar]
  62. Jang, Y.; Lee, K.; Yun, S.; Lee, M.; Song, J.; Chang, B.; Choe, N.H. Efficacy evaluation of commercial disinfectants by using Salmonella enterica serovar Typhimurium as a test organism. J. Vet. Sci. 2017, 18, 209–216. [Google Scholar] [CrossRef] [PubMed]
  63. Oh, Y.J.; Lee, N.R.; Jo, W.; Jung, W.K.; Lim, J.S. Effects of substrates on biofilm formation observed by atomic force microscopy. Ultramicroscopy 2009, 109, 874–880. [Google Scholar] [CrossRef]
  64. Song, F.; Koo, H.; Ren, D. Effects of material properties on bacterial adhesion and biofilm formation. J. Dent. Res. 2015, 94, 1027–1034. [Google Scholar] [CrossRef]
  65. Feng, G.; Cheng, Y.; Wang, S.Y.; Borca-Tasciuc, D.A.; Worobo, R.W.; Moraru, C.I. Bacterial attachment and biofilm formation on surfaces are reduced by small-diameter nanoscale pores: How small is small enough? Npj Biofilms Microbiomes 2015, 1, 15022. [Google Scholar] [CrossRef]
  66. Wang, R.; Zhou, Y.; Kalchayanand, N.; Harhay, D.M.; Wheeler, T.L. Consecutive treatments with a multicomponent sanitizer inactivate biofilms formed by Escherichia coli O157: H7 and Salmonella enterica and remove biofilm matrix. J. Food Prot. 2021, 84, 408–417. [Google Scholar] [CrossRef]
  67. Peterson, S.B.; Irie, Y.; Borlee, B.R.; Murakami, K.; Harrison, J.J.; Colvin, K.M.; Parsek, M.R. Different methods for culturing biofilms in vitro. In Biofilm Infections; Springer: New York, NY, USA, 2011; pp. 251–266. [Google Scholar]
  68. Harding, M.W.; Olson, M.E.; Marques, L.L.R.; Howard, R.J. Biology and management of microbial biofilms on plant surfaces. In Proceedings of the International Symposium on Biological Control of Postharvest Diseases: Challenges and Opportunities, Leesburg, VA, USA, 25–28 October 2010; 905, pp. 43–55. [Google Scholar]
  69. Harding, M.W.; Daniels, G.C. In Vitro Assessment of Biofilm Formation by Soil-and Plant-Associated Microorganisms. In Biofilms in Plant and Soil Health; Wiley: Hoboken, NJ, USA, 2017; pp. 253–273. [Google Scholar]
  70. Omar, A.; Nadworny, P. Antimicrobial efficacy validation using in vitro and in vivo testing methods. Adv. Drug Deliv. Rev. 2017, 112, 61–68. [Google Scholar] [CrossRef] [PubMed]
  71. Ceri, H.; Olson, M.E.; Stremick, C.; Read, R.R.; Morck, D.; Buret, A. The Calgary Biofilm Device: New technology for rapid determination of antibiotic susceptibilities of bacterial biofilms. J. Clin. Microbiol. 1999, 37, 1771–1776. [Google Scholar] [CrossRef] [PubMed]
  72. Mulla, S.; Kumar, A.; Rajdev, S. Comparison of MIC with MBEC assay for in vitro antimicrobial susceptibility testing in biofilm forming clinical bacterial isolates. Adv. Microbiol. 2016, 6, 73. [Google Scholar] [CrossRef]
  73. Parker, A.E.; Walker, D.K.; Goeres, D.M.; Allan, N.; Olson, M.E.; Omar, A. Ruggedness and reproducibility of the MBEC biofilm disinfectant efficacy test. J. Microbiol. Methods 2014, 102, 55–64. [Google Scholar] [CrossRef] [PubMed]
  74. Harding, M.; Nadworny, P.; Buziak, B.; Omar, A.; Daniels, G.; Feng, J. Improved methods for treatment of phytopathogenic biofilms: Metallic compounds as anti-bacterial coatings and fungicide tank-mix partners. Molecules 2019, 24, 2312. [Google Scholar] [CrossRef] [PubMed]
  75. Howard, R.J.; Harding, M.W.; Daniels, G.C.; Mobbs, S.L.; Lisowski, S.L.I.; De Boer, S.H. Efficacy of agricultural disinfectants on biofilms of the bacterial ring rot pathogen, Clavibacter michiganensis subsp. sepedonicus. Can. J. Plant Pathol. 2015, 37, 273–284. [Google Scholar] [CrossRef]
  76. Harding, M.W.; Daniels, G.D.; Howard, R.J.; Marques, L.L.R.; Allan, N.D.; Omar, A.; Olson, M.E. In vitro evaluations of microbial biofilms and their responses to chemical disinfectants. Acta Hortic. 2014, 1053, 245–255. [Google Scholar] [CrossRef]
  77. Allan, N.D.; Omar, A.; Harding, M.W.; Olson, M.E. A rapid, high-throughput method for culturing, characterizing and biocide efficacy testing of both planktonic cells and biofilms. In Science against Microbial Pathogens: Communicating Current Research and Technological Advances; Microbiology Book Series; Mendez-Vilas, A., Ed.; Formatex: Badajoz, Spain, 2011; pp. 864–871. [Google Scholar]
  78. Corcoran, M.; Morris, D.; De Lappe, N.; O’connor, J.; Lalor, P.; Dockery, P.; Cormican, M. Commonly used disinfectants fail to eradicate Salmonella enterica biofilms from food contact surface materials. Appl. Environ. Microbiol. 2014, 80, 1507–1514. [Google Scholar] [CrossRef]
  79. Giaouris, E.; Heir, E.; Desvaux, M.; Hébraud, M.; Møretrø, T.; Langsrud, S.; Doulgeraki, A.; Nychas, G.J.; Kačániová, M.; Czaczyk, K.; et al. Intra-and inter-species interactions within biofilms of important foodborne bacterial pathogens. Front. Microbiol. 2015, 6, 841. [Google Scholar] [CrossRef]
  80. Zheng, S.; Bawazir, M.; Dhall, A.; Kim, H.E.; He, L.; Heo, J.; Hwang, G. Implication of surface properties, bacterial motility, and hydrodynamic conditions on bacterial surface sensing and their initial adhesion. Front. Bioeng. Biotechnol. 2021, 9, 643722. [Google Scholar] [CrossRef]
  81. Alonso, V.P.P.; Gonçalves, M.P.M.; de Brito, F.A.E.; Barboza, G.R.; Rocha, L.D.O.; Silva, N.C.C. Dry surface biofilms in the food processing industry: An overview on surface characteristics, adhesion and biofilm formation, detection of biofilms, and dry sanitization methods. Compr. Rev. Food Sci. Food Saf. 2023, 22, 688–713. [Google Scholar] [CrossRef] [PubMed]
  82. Bryers, J.D. Biologically active surfaces: Processes governing the formation and persistence of biofilms. Biotechnol. Prog. 1987, 3, 57–68. [Google Scholar] [CrossRef]
  83. Boulange-Petermann, L.; Baroux, B.; Bellon-Fontaine, M.N. The influence of metallic surface wettability on bacterial adhesion. J. Adhes. Sci. Technol. 1993, 7, 221–230. [Google Scholar] [CrossRef]
  84. McEldowney, S.; Fletcher, M. Adhesion of bacteria from mixed cell suspension to solid surfaces. Arch. Microbiol. 1987, 148, 57–62. [Google Scholar] [CrossRef] [PubMed]
  85. Baker, J.H. Factors affecting the bacterial colonization of various surfaces in a river. Can. J. Microbiol. 1984, 30, 511–515. [Google Scholar] [CrossRef]
  86. Bos, R.; van der Mei, H.; Busscher, H. Physico-chemistry of initial microbial adhesive interactions—Its mechanisms and methods for study. FEMS Microbiol. Rev. 1999, 23, 179–230. [Google Scholar] [CrossRef]
  87. Characklis, W.G.; McFeters, G.A.; Marshall, K.C. Physiological ecology in biofilm systems. In Biofilms; John Wiley & Sons: New York, NY, USA, 1990; pp. 341–394. [Google Scholar]
  88. Jones, C.R.; Adams, M.R.; Zhdan, P.A.; Chamberlain, A.H.L. The role of surface physicochemical properties in determining the distribution of the autochthonous microflora in mineral water bottles. J. Appl. Microbiol. 1999, 86, 917–927. [Google Scholar] [CrossRef]
  89. Sasahara, K.C.; Zottola, E.A. Biofilm formation by Listeria monocytogenes utilizes a primary colonizing microorganism in flowing systems. J. Food Prot. 1993, 56, 1022–1028. [Google Scholar] [CrossRef]
  90. EPA Technical Guidance Manual. Disinfection Profiling and Benchmarking. Office of Water (4606M) EPA 815-R-20-003, June. 2020. Available online: https://www.epa.gov/system/files/documents/2022-02/disprof_bench_3rules_final_508.pdf (accessed on 15 August 2023).
  91. Rutala, W.A.; Weber, D.J. CDC Guideline for Disinfection and Sterilization in Healthcare Facilities. 2019. Available online: https://www.cdc.gov/infectioncontrol/pdf/guidelines/disinfection-guidelines-H.pdf (accessed on 15 August 2023).
  92. FSIS Cooking Guideline for Meat and Poultry Products (Revised Appendix A); Document ID: FSIS-GD-2021-14; USDA: Washington DC, USA, 2021. Available online: https://www.fsis.usda.gov/sites/default/files/media_file/2021-12/Appendix-A.pdf (accessed on 15 August 2023).
  93. Aviat, F.; Gerhards, C.; Rodriguez-Jerez, J.J.; Michel, V.; Bayon, I.L.; Ismail, R.; Federighi, M. Microbial safety of wood in contact with food: A review. Compr. Rev. Food Sci. Food Saf. 2016, 15, 491–505. [Google Scholar] [CrossRef]
Figure 1. BEST™ Assay plates with coupons made from (A) concrete, (B) wood, (C) steel, (D) rubber, (E) UHMWP, (F) stainless steel.
Figure 1. BEST™ Assay plates with coupons made from (A) concrete, (B) wood, (C) steel, (D) rubber, (E) UHMWP, (F) stainless steel.
Applmicrobiol 04 00003 g001
Figure 2. Average population densities (log10 CFU/mL) of three food-borne bacterial pathogens. Each bar represents the mean cell density within biofilms averaged across growth on eight surface materials. Error bars represent the standard error of the mean.
Figure 2. Average population densities (log10 CFU/mL) of three food-borne bacterial pathogens. Each bar represents the mean cell density within biofilms averaged across growth on eight surface materials. Error bars represent the standard error of the mean.
Applmicrobiol 04 00003 g002
Figure 3. Average population densities (log10 CFU/mL) on eight surfaces. Each bar represents the mean cell density within biofilms on eight surface materials averaged across the growth results of three food-borne pathogens. Error bars represent the standard error of the mean.
Figure 3. Average population densities (log10 CFU/mL) on eight surfaces. Each bar represents the mean cell density within biofilms on eight surface materials averaged across the growth results of three food-borne pathogens. Error bars represent the standard error of the mean.
Applmicrobiol 04 00003 g003
Figure 4. Differences in the biofilm population densities (log10 CFU/mL) of three food-borne pathogens on three surfaces. Error bars represent the standard error of the mean.
Figure 4. Differences in the biofilm population densities (log10 CFU/mL) of three food-borne pathogens on three surfaces. Error bars represent the standard error of the mean.
Applmicrobiol 04 00003 g004
Figure 5. Log reductions in biofilm population densities (log10 CFU/mL) for three food-borne pathogens. The means are averaged across results from seven disinfectants on eight surfaces for three food-borne pathogens. Error bars represent the standard error of the mean.
Figure 5. Log reductions in biofilm population densities (log10 CFU/mL) for three food-borne pathogens. The means are averaged across results from seven disinfectants on eight surfaces for three food-borne pathogens. Error bars represent the standard error of the mean.
Applmicrobiol 04 00003 g005
Figure 6. Log reductions in biofilm population densities (log10 CFU/mL) on eight surfaces. The means are averaged across results from all seven disinfectants versus three food-borne pathogens. The solid horizontal line shows the threshold for functional disinfection (3-log reduction). Error bars represent the standard error of the mean.
Figure 6. Log reductions in biofilm population densities (log10 CFU/mL) on eight surfaces. The means are averaged across results from all seven disinfectants versus three food-borne pathogens. The solid horizontal line shows the threshold for functional disinfection (3-log reduction). Error bars represent the standard error of the mean.
Applmicrobiol 04 00003 g006
Figure 7. Log reductions in biofilm population densities (log10 CFU/mL) for seven disinfectants. The means are averaged across the results for three food-borne pathogens on eight surfaces. The solid horizontal line shows the threshold for functional disinfection (3-log reduction). Error bars represent the standard error of the mean.
Figure 7. Log reductions in biofilm population densities (log10 CFU/mL) for seven disinfectants. The means are averaged across the results for three food-borne pathogens on eight surfaces. The solid horizontal line shows the threshold for functional disinfection (3-log reduction). Error bars represent the standard error of the mean.
Applmicrobiol 04 00003 g007
Figure 8. Log reductions in biofilm population densities (log10 CFU/mL) for three food-borne pathogens on three surfaces. The means are averaged across the results from seven disinfectants. The solid horizontal line shows the threshold for functional disinfection (3-log reduction). Error bars represent the standard error of the mean.
Figure 8. Log reductions in biofilm population densities (log10 CFU/mL) for three food-borne pathogens on three surfaces. The means are averaged across the results from seven disinfectants. The solid horizontal line shows the threshold for functional disinfection (3-log reduction). Error bars represent the standard error of the mean.
Applmicrobiol 04 00003 g008
Figure 9. Log reductions in biofilm population densities (log10 CFU/mL) for three disinfectants on eight surfaces. The means are averaged across the results for three food-borne pathogens. The solid horizontal line shows the threshold for functional disinfection (3-log reduction). Error bars represent the standard error of the mean.
Figure 9. Log reductions in biofilm population densities (log10 CFU/mL) for three disinfectants on eight surfaces. The means are averaged across the results for three food-borne pathogens. The solid horizontal line shows the threshold for functional disinfection (3-log reduction). Error bars represent the standard error of the mean.
Applmicrobiol 04 00003 g009
Figure 10. Log reductions in biofilm population densities (log10 CFU/mL) for seven disinfectants versus three food-borne pathogens. The means are averaged across the results from eight surfaces. The solid horizontal line shows the threshold for functional disinfection (3-log reduction). Error bars represent the standard error of the mean.
Figure 10. Log reductions in biofilm population densities (log10 CFU/mL) for seven disinfectants versus three food-borne pathogens. The means are averaged across the results from eight surfaces. The solid horizontal line shows the threshold for functional disinfection (3-log reduction). Error bars represent the standard error of the mean.
Applmicrobiol 04 00003 g010
Table 1. Disinfectant trade names, active ingredients, and concentrations used in this study.
Table 1. Disinfectant trade names, active ingredients, and concentrations used in this study.
DisinfectantFamilyActive IngredientsConc. UsedConc. on Label
Virkon™Oxidizing agentsPotassium peroxymonosulfate 21.4%1.5% w/v1.5% w/v
1-StrokePhenolsortho-phenylphenol 10%, ortho bezyl-para-cholorophenol 8.5%0.8% v/v0.4% v/v
Environ® LpHPhenolso-Benzyl-p-chlorophenol 6.4%, p-tertiary-amylphenol 3.0%, o-phenyl phenol 0.5%, hexylene glycol 4.0%, glycolic acid (hydroxyacetic) 12.6%, isopropanol 8.0%1.56% v/v0.78% v/v
Vantocil™PolyHydrochloridePolyhexamethylene biguanide0.6% v/v0.3% v/v
VortexxPeroxidesCaprylic acid 3%, hydrogen peroxide 6.9%, peroxyacetic acid 4.4%0.5% v/v0.25% v/v
Oxonia Active™PeroxidesHydrogen peroxide 15–40%, acetic acid 7–13%, peracetic acid 5–10%0.6% v/v0.3% v/v
SterBac®Quaternary ammoniumBenzyl-c12-c16-alkyldimethyl, chlorides 7–13%, ethanol 1–5%0.4% v/v0.2% v/v
Table 2. Population densities (log10 CFU mL−1) of three bacterial species after 48 h on eight hard surfaces.
Table 2. Population densities (log10 CFU mL−1) of three bacterial species after 48 h on eight hard surfaces.
SurfaceBacteria SpeciesMean
E. coli 0157H7 S. cholerasiusL. monocytogenes
Stainless steel4.855.014.964.94
Mild steel 5.766.034.935.58
Wood5.405.926.285.87
Laminated plastic5.013.866.875.25
UHMWP4.234.655.494.79
Rubber 5.215.206.565.66
Concrete4.905.266.755.64
Silicon4.074.016.594.89
Mean4.934.996.055.32
p valueLSD (p = 0.05)
Surface0.000 ***0.14
Bacteria0.000 ***0.08
Surface × Bacterial species interaction0.000 ***0.24
CV% = 2.7
*** Significant at p = 0.001.
Table 3. Log reductions (log10 CFU/mL) of biofilms formed by three bacteria after exposure (10 min) to each of seven disinfectants on eight food-contact surfaces. For reference, control recovery (log10 CFU/mL) is presented for each species and surface type. Log reductions equal to the control recovery indicate that no organisms were recovered after treatment with the various biocides.
Table 3. Log reductions (log10 CFU/mL) of biofilms formed by three bacteria after exposure (10 min) to each of seven disinfectants on eight food-contact surfaces. For reference, control recovery (log10 CFU/mL) is presented for each species and surface type. Log reductions equal to the control recovery indicate that no organisms were recovered after treatment with the various biocides.
SurfaceBiocideBacteria SpeciesMean
E. coli 0157:H7S. cholerasiusL. monocytogenes
Stainless steelControl
Recovery **
(4.47)(3.59)(4.51)(4.19)
Virkon4.473.594.514.19
1-Stroke4.473.594.514.19
SterBac4.473.594.514.19
Vortexx4.473.594.514.19
Environ LpH4.473.594.514.19
Vantocil4.473.594.514.19
Oxonia Active4.473.594.514.19
Mean4.473.594.514.19
Mild steelControl
Recovery **
(4.60)(5.07)(4.57)(4.75)
Virkon4.605.074.574.75
1-Stroke1.35 *0.34 *4.572.09 *
SterBac1.32 *2.64 *4.572.84 *
Vortexx4.604.404.574.52
Environ LpH4.603.934.574.37
Vantocil4.604.344.574.50
Oxonia Active4.605.074.574.75
Mean3.673.694.573.97
RubberControl
Recovery **
(4.65)(5.15)(4.70)(4.83)
Virkon4.085.154.704.64
1-Stroke2.55 *0.14 *1.95 *1.55 *
SterBac2.18 *1.05 *4.702.64 *
Vortexx4.652.32 *4.703.89
Environ LpH4.081.23 *4.703.34
Vantocil2.95 *1.60 *4.703.08
Oxonia Active4.654.584.034.42
Mean3.592.29 *4.213.37
ConcreteControl
Recovery **
(5.45)(6.29)(4.55)(5.43)
Virkon5.454.872.974.43
1-Stroke5.452.994.554.33
SterBac5.453.153.313.97
Vortexx5.456.294.555.43
Environ LpH5.452.79 *2.41 *3.55
Vantocil5.452.83 *0.93 *3.07
Oxonia Active5.456.293.164.97
Mean5.454.173.134.25
WoodControl
Recovery **
(5.35)(5.90)(5.21)(5.49)
Virkon5.355.905.215.49
1-Stroke1.43 *0.34 *5.212.33 *
SterBac0.12 *0.62 *5.211.98 *
Vortexx0.29 *1.73 *2.18 *1.40 *
Environ LpH2.15 *1.60 *5.212.99
Vantocil0.02 *0.90 *5.212.05 *
Oxonia Active2.86 *2.12 *5.213.40
Mean1.75 *1.89 *4.782.84 *
Laminated plasticControl
Recovery **
(4.73)(4.61)(4.47)(4.60)
Virkon4.734.614.474.60
1-Stroke1.42 *1.55 *3.622.20 *
SterBac1.80 *1.79 *2.67 *2.09 *
Vortexx4.164.614.474.41
Environ LpH2.61 *4.614.473.90
Vantocil4.062.35 *4.473.63
Oxonia Active4.731.96 *4.473.72
Mean3.363.074.093.50
UHMWPControl
Recovery **
(3.89)(4.15)(4.66)(4.23)
Virkon3.894.154.664.23
1-Stroke3.894.154.664.23
SterBac3.324.154.664.04
Vortexx3.894.154.664.23
Environ LpH3.894.154.664.23
Vantocil0.26 *4.154.663.02
Oxonia Active3.894.154.664.23
Mean3.294.154.664.03
SiliconControl
Recovery **
(4.78)(3.39)(5.06)(4.41)
Virkon3.413.393.763.52
1-Stroke4.782.82 *2.15 *3.25
SterBac4.783.395.064.41
Vortexx1.05 *3.395.063.17
Environ LpH3.443.395.063.96
Vantocil0.93 *3.393.232.52 *
Oxonia Active1.58 *3.395.063.34
Mean2.85 *3.314.203.45
p valueLSD p = 0.05
Surface0.000 ***0.18
Bacterial species0.000 ***0.11
Biocide0.000 ***0.17
Surface × Biocide interaction0.000 ***0.31
Bacterial species × Biocide interaction0.000 ***0.47
Surface × Bacterial species interaction0.000 ***0.29
Surface × Bacterial species × Biocide interaction 0.000 ***0.81
CV% = 13.7%
*** Significant at p = 0.001. ** No antimicrobial present: (control recovery) for log reduction calculations. * Values in red font < 3 log reduction.
Disclaimer/Publisher’s Note: The statements, opinions and data contained in all publications are solely those of the individual author(s) and contributor(s) and not of MDPI and/or the editor(s). MDPI and/or the editor(s) disclaim responsibility for any injury to people or property resulting from any ideas, methods, instructions or products referred to in the content.

Share and Cite

MDPI and ACS Style

Kundu, M.; Omar, A.; Buziak, B.; Allan, N.; Marques, L.; Olson, M.; Howard, R.; Harding, M.W. Customizing Sanitization Protocols for Food-Borne Pathogens Based on Biofilm Formation, Surfaces and Disinfectants—Their Two- and Three-Way Interactions. Appl. Microbiol. 2024, 4, 27-46. https://doi.org/10.3390/applmicrobiol4010003

AMA Style

Kundu M, Omar A, Buziak B, Allan N, Marques L, Olson M, Howard R, Harding MW. Customizing Sanitization Protocols for Food-Borne Pathogens Based on Biofilm Formation, Surfaces and Disinfectants—Their Two- and Three-Way Interactions. Applied Microbiology. 2024; 4(1):27-46. https://doi.org/10.3390/applmicrobiol4010003

Chicago/Turabian Style

Kundu, Manju, Amin Omar, Brenton Buziak, Nick Allan, Lyriam Marques, Merle Olson, Ronald Howard, and Michael W. Harding. 2024. "Customizing Sanitization Protocols for Food-Borne Pathogens Based on Biofilm Formation, Surfaces and Disinfectants—Their Two- and Three-Way Interactions" Applied Microbiology 4, no. 1: 27-46. https://doi.org/10.3390/applmicrobiol4010003

APA Style

Kundu, M., Omar, A., Buziak, B., Allan, N., Marques, L., Olson, M., Howard, R., & Harding, M. W. (2024). Customizing Sanitization Protocols for Food-Borne Pathogens Based on Biofilm Formation, Surfaces and Disinfectants—Their Two- and Three-Way Interactions. Applied Microbiology, 4(1), 27-46. https://doi.org/10.3390/applmicrobiol4010003

Article Metrics

Back to TopTop