Evaluating Strip and No-Till Maintenance of Perennial Groundcovers for Annual Grain Production
Abstract
:1. Introduction
2. Materials and Methods
2.1. Site Management
2.2. Measurement Procedures
2.3. Statistical Analysis
2.4. Weather Conditions
3. Results
3.1. Perennial Groundcover Persistence, Sward Width, and R:FR Ratio
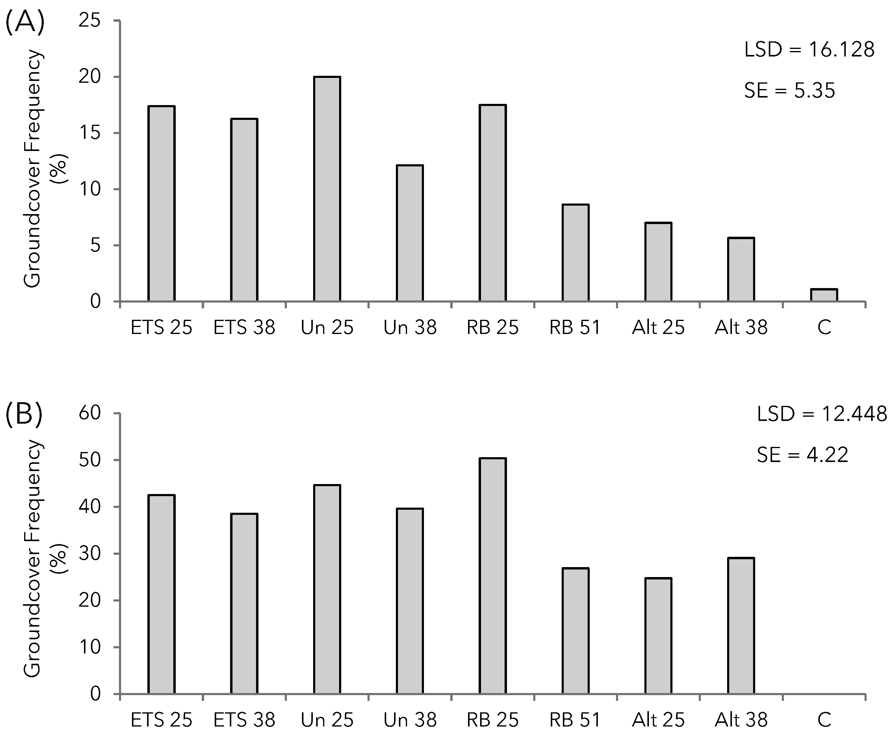
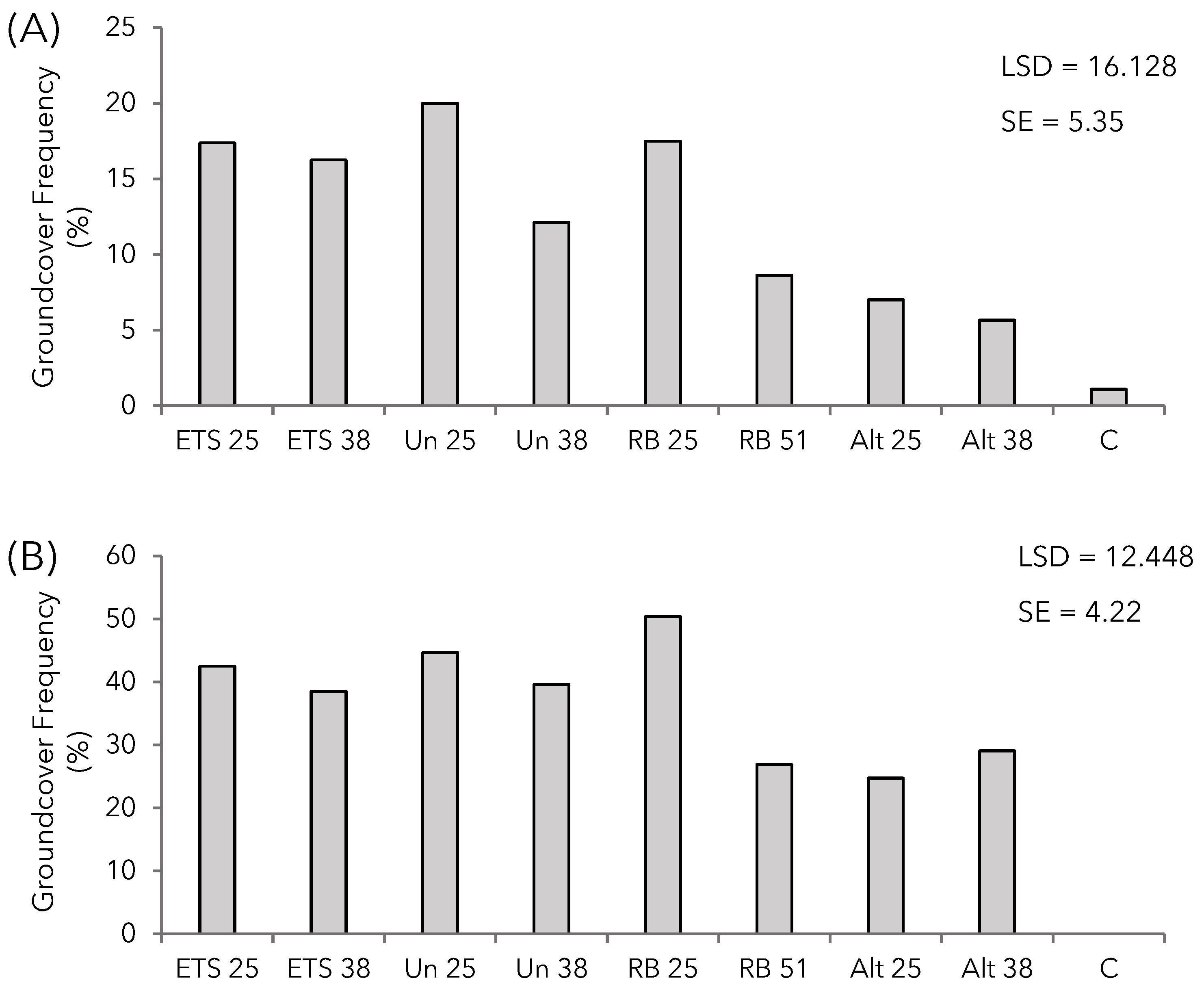
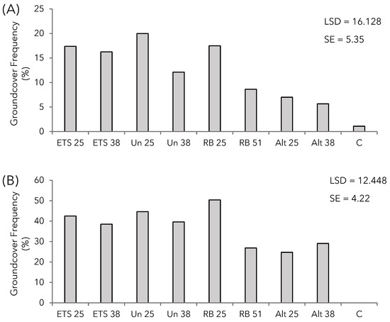
3.1.1. Frequency of Perennial Groundcover (End-of-Season)
3.1.2. Perennial Groundcover Sward Width (Early, Mid, and End-of-Season)
3.1.3. R:FR Ratio
3.2. Maize Stand Density, Maize Maturity, and Maize Plant Height
3.2.1. Maize Stand Density
3.2.2. Maize Maturity
3.2.3. Maize Plant Height
3.3. Maize Total Aboveground Biomass, Stover Yield, Grain Yield, Yield Components, and Harvest Index
3.3.1. Maize Grain Yield
3.3.2. Stover Yield
3.3.3. Total Aboveground Biomass
3.4. Yield Components
3.5. Weed Community
4. Discussion
4.1. Perennial Groundcover Frequency and Sward Width
4.2. R:FR Ratio
4.3. Maize Morphology, Yield, Quality, and Yield Components
4.3.1. Maize Stand Density
4.3.2. Maize Maturity and Height
4.3.3. Maize Yield
4.3.4. Maize Yield Components
4.4. Weed Community
5. Conclusions
Author Contributions
Funding
Institutional Review Board Statement
Informed Consent Statement
Data Availability Statement
Conflicts of Interest
References
- Moore, K.J.; Anex, R.P.; Elobeid, A.E.; Fei, S.; Flora, C.B.; Goggi, A.S.; Jacobs, K.L.; Jha, P.; Kaleita, A.L.; Karlen, D.L.; et al. Regenerating agricultural landscapes with perennial groundcover for intensive crop production. Agronomy 2019, 9, 458. [Google Scholar] [CrossRef] [Green Version]
- USDA National Agricultural Statistics Service. 2017 Census of Agriculture; United States Summary and State Data Volume 1, Geographic Area Series, Part 51. 2019. Available online: https://www.nass.usda.gov/Publications/AgCensus/2017/Full_Report/Volume_1,_Chapter_1_US/usv1.pdf (accessed on 2 January 2022).
- Gil, J.D.B.; Garrett, R.; Berger, T. Determinants of crop-livestock integration in Brazil: Evidence from the household and regional levels. Land Use Policy 2016, 59, 557–568. [Google Scholar] [CrossRef] [Green Version]
- Mateus, G.P.; Crusciol, C.A.C.; Pariz, C.M.; Costa, N.R.; Borghi, E.; Costa, C.; Martello, J.M.; Castilhos, A.M.; Franzluebbers, A.J.; Cantarella, H. Corn intercropped with tropical perennial grasses as affected by sidedress nitrogen application rates. Nutr. Cycl. Agroecosyst. 2020, 116, 223–244. [Google Scholar] [CrossRef]
- da Silveira, J.G.; Oliveira Neto, S.N.d.; Canto, A.C.B.d.; Leite, F.F.G.D.; Cordeiro, F.R.; Assad, L.T.; Silva, G.C.C.; Marques, R.d.O.; Dalarme, M.S.L.; Ferreira, I.G.M.; et al. Land Use, Land Cover Change and Sustainable Intensification of Agriculture and Livestock in the Amazon and the Atlantic Forest in Brazil. Sustainability 2022, 14, 2563. [Google Scholar] [CrossRef]
- Embrapa. Integrated Crop-Livestock-Forestry Systems. Available online: https://www.embrapa.br/en/tema-integracao-lavoura-pecuaria-floresta-ilpf/nota-tecnica (accessed on 2 January 2022).
- ICIPE. ‘Push-Pull’: A Platform Technology for Improving Livelihoods of Resource Poor Farmers. 2022. Available online: http://www.push-pull.net/dissemination.shtml (accessed on 22 April 2022).
- Mutyambai, D.M.; Bass, E.; Luttermoser, T.; Poveda, K.; Midega, C.A.O.; Khan, Z.R.; Kessler, A. More than “push” and “pull”? Plant-soil feedbacks of maize companion cropping increase chemical plant defenses against herbivores. Front. Ecol. Evol. 2019, 7, 217. [Google Scholar] [CrossRef] [Green Version]
- Hassanali, A.; Herren, H.; Khan, Z.R.; Pickett, J.A.; Woodcock, C.M. Integrated pest management: The push-pull approach for controlling insect pests and weeds of cereals, and its potential for other agricultural systems including animal husbandry. Philos. Trans. R. Soc. B 2008, 363, 611–621. [Google Scholar] [CrossRef]
- Pessarakli, M. Handbook of Plant and Crop Physiology, 3rd ed.; CRC Press: Boca Raton, FL, USA, 2014; ISBN 978-1-4665-5328-6. [Google Scholar] [CrossRef]
- Bonos, S.A.; Huff, D.R. Cool-season grasses: Biology and breeding. In Turfgrass: Biology, Use, and Management; Stier, J.C., Horgan, B.P., Bonos, S.A., Eds.; American Society of Agronomy, Crop Science Society of America, Soil Science Society of America: Madison, WI, USA, 2013; pp. 591–660. [Google Scholar]
- Wiggans, D.R.; Singer, J.W.; Moore, K.J.; Lamkey, K.R. Response of continuous maize with stover removal to living mulches. Agron. J. 2012, 104, 917–925. [Google Scholar] [CrossRef] [Green Version]
- Bartel, C.A.; Banik, C.; Lenssen, A.W.; Moore, K.J.; Laird, D.A.; Archontoulis, S.V.; Lamkey, K.R. Living mulch for sustainable maize stover biomass harvest. Crop Sci. 2017, 57, 3273–3290. [Google Scholar] [CrossRef] [Green Version]
- Bartel, C.A.; Banik, C.; Lenssen, A.W.; Moore, K.J.; Laird, D.A.; Archontoulis, S.V.; Lamkey, K.R. Establishment of perennial groundcovers for maize-based bioenergy production systems. Agron. J. 2017, 109, 822–835. [Google Scholar] [CrossRef] [Green Version]
- Bartel, C.A.; Archontoulis, S.V.; Lenssen, A.W.; Moore, K.J.; Huber, I.L.; Laird, D.A.; Dixon, P.M. Modeling perennial groundcover effects on annual maize grain crop growth with APSIM. Agron. J. 2020, 112, 1895–1910. [Google Scholar] [CrossRef]
- Flynn, E.S.; Moore, K.J.; Singer, J.W.; Lamkey, K.R. Evaluation of grass and legume species as perennial ground covers in corn production. Crop Sci. 2013, 53, 611–620. [Google Scholar] [CrossRef]
- Wiggans, D.R.; Singer, J.W.; Moore, K.J.; Lamkey, K.R. Maize Water Use in Living Mulch Systems with Stover Removal. Crop Sci. 2012, 52, 327–338. [Google Scholar] [CrossRef] [Green Version]
- Richardson, M.D.; Karcher, D.E.; Hignight, K.; Rush, D. Drought tolerance of Kentucky bluegrass and hybrid bluegrass cultivars. Appl. Turfgrass Sci. 2009, 6, 1–10. [Google Scholar] [CrossRef]
- Elkins, D.M.; Vandeventer, J.W.; Xapusta, G.; Anderson, M.R. No-tillage maize production in chemically suppressed grass sod. Agron. J. 1979, 71, 101–105. [Google Scholar] [CrossRef]
- Elkins, D.; Frederking, D.; Marashi, R.; McVay, B. Living mulch for no-till corn and soybeans. J. Soil Water Conserv. 1983, 38, 431–433. [Google Scholar]
- Iowa Environmental Mesonet Network. National Weather Service Cooperative Observer Program. Iowa Environ. Mesonet Network. 2021. Available online: https://mesonet.agron.iastate.edu/COOP/ (accessed on 22 April 2022).
- McMaster, G.S.; Wilhelm, W.W. Growing degree-days: One equation, two interpretations. Agric. For. Meteorol. 1997, 87, 291–300. [Google Scholar] [CrossRef] [Green Version]
- Pioneer.com. 18D-1182 Northern Iowa Product Guide. Available online: https://www.pioneer.com/corn (accessed on 1 May 2020).
- Pioneer. Product Spotlight P0574AM and P0574AMXT. 2018. Available online: https://www.youtube.com/watch?v=dISMb9x2Tiw (accessed on 1 May 2020).
- Abendroth, L.J.; Elmore, R.W.; Boyer, M.J.; Marlay, S.K. Corn growth and development. Ext. Publ. PMR-1009; Iowa State University: Ames, IA, USA, 2011; Available online: https://store.extension.iastate.edu/Product/Corn-Growth-and-Development (accessed on 22 April 2022).
- Dobermann, A. Procedure for Measuring Dry Matter, Nutrient Uptake, Yield and Components of Yield in Maize. Researchgate. 2005. Available online: https://www.researchgate.net/file.PostFileLoader.html?id=56a89ca57eddd3b3618b45aa&assetKey=AS%3A322455225208832%401453890724796 (accessed on 22 April 2022).
- Wilhelm, W.W.; Johnson, J.M.F.; Hatfield, J.L.; Voorhees, W.B.; Linden, D.R. Crop and soil productivity response to maize residue removal: A literature review. Agron. J. 2004, 96, 1–17. [Google Scholar] [CrossRef]
- Vogel, K.P.; Masters, R.A. Frequency grid: A simple tool for measuring grassland establishment. J. Range Manag. 2001, 54, 653–655. [Google Scholar] [CrossRef]
- SAS Institute. SAS/STAT 9.3 User’s Guide; SAS Inst.: Cary, NC, USA, 2011. [Google Scholar]
- National Drought Mitigation Center. US Drought Monitor Comparison Slider. 2021. Available online: https://droughtmonitor.unl.edu/Maps/ComparisonSlider.aspx (accessed on 3 January 2022).
- Moser, L.E.; Anderson, S.R.; Miller, R.W. Rhizome and tiller development of Kentucky bluegrass (Poa pratensis L.) as influenced by photoperiod, cold treatment, and variety. Agron. J. 1968, 60, 632–635. [Google Scholar] [CrossRef] [Green Version]
- Beard, J.B. Turfgrass: Science and Culture; Prentice Hall: Englewood Cliffs, NJ, USA, 1972. [Google Scholar]
- Richardson, M.D.; Karcher, D.E.; Hignight, K.; Rush, D. Drought tolerance and rooting capacity of Kentucky bluegrass cultivars. Crop Sci. 2008, 48, 2429–2436. [Google Scholar] [CrossRef] [Green Version]
- Rajcan, I.; Chandler, K.J.; Swanton, C.J. Red–far-red ratio of reflected light: A hypothesis of why early-season weed control is important in corn. Weed Sci. 2004, 52, 774–778. [Google Scholar] [CrossRef]
- Matthews, S. Phytochrome-mediated development in land plants: Red light sensing evolves to meet the challenges of changing light environments. Mol. Ecol. 2006, 15, 3483–3503. [Google Scholar] [CrossRef] [PubMed]
- Smith, H. Light quality, photoperception, and plant strategy. Annu. Rev. Plant Physiol. 1982, 33, 481–518. [Google Scholar] [CrossRef]
- Kasperbauer, M.J. Far-red reflection from green leaves and effects on phytochrome-mediated assimilate partitioning under field conditions. Plant Phys. 1987, 85, 350–354. [Google Scholar] [CrossRef] [Green Version]
- Ballaré, C.L.; Sanchez, R.A.; Scopel, A.L.; Casal, J.J.; Ghersa, C.M. Early detection of neighbour plants by phytochrome perception of spectral changes in reflected sunlight. Plant Cell Environ. 1987, 10, 551–557. [Google Scholar]
- Kasperbauer, M.J.; Hunt, P.G. Cotton seedling morphogenic responses to r/fr ratio reflected from different colored soils and soil colors. Photochem. Photobiol. 1992, 56, 579–584. [Google Scholar] [CrossRef]
- Kimmelshue, C.L.; Goggi, A.S.; Moore, K.J. Single-plant grain yield in corn (Zea mays L.) based on emergence date, seed size, sowing depth, and plant to plant distance. Crops 2022, 2, 62–86. [Google Scholar] [CrossRef]
- Demotes-Mainard, S.; Péron, T.; Corot, A.; Bertheloot, J.; Le Gourrierec, J.; Pelleschi-Travier, S.; Crespel, L.; Morel, P.; Huché-Thélier, L.; Boumaza, R.; et al. Plant responses to red and far-red lights, applications in horticulture. Environ. Exp. Bot. 2016, 121, 4–21. [Google Scholar] [CrossRef]
- Delouche, J.C. Influence of moisture and temperature levels on the germination of corn, soybeans and watermelons. Miss. Agric. For. Exp. Stn. 1953, 43, 117–126. [Google Scholar]
- Page, E.R.; Tollenaar, M.; Lee, E.A.; Lukens, L.; Swanton, C.J. Shade avoidance: An integral component of crop-weed competition. Weed Res. 2010, 50, 281–288. [Google Scholar] [CrossRef]
- Page, E.R.; Tollenaar, M.; Lee, E.A.; Lukens, L.; Swanton, C.J. Does the shade avoidance response contribute to the critical period for weed control in maize (Zea mays)? Weed Res. 2009, 49, 563–571. [Google Scholar] [CrossRef]
- Kasperbauer, M.J.; Hunt, P.G. Root size and shoot/root ratio as influenced by light environment of the shoot. J. Plant Nutr. 1992, 15, 685–697. [Google Scholar] [CrossRef]
- Al-Kaisi, M.M.; Elmore, R.W.; Guzman, J.G.; Hanna, H.M.; Hart, C.E.; Helmers, M.J.; Hodgson, E.W.; Lenssen, A.W.; Mallarino, A.P.; Robertson, A.E.; et al. Drought impact on crop production and the soil environment: 2012 Experiences from Iowa. J. Soil Water Conser 2013, 68, 19A–24A. [Google Scholar] [CrossRef] [Green Version]
- Page, E.R.; Cerrudo, D.; Westra, P.; Loux, M.; Smith, K.; Foresman, C.; Wright, H.; Swanton, C.J. Why early season weed control is important in maize. Weed Sci. 2012, 60, 423–430. [Google Scholar] [CrossRef]
- Newell, R.L.; Wilhelm, W. Conservation tillage and irrigation effects on corn root development. Agron. J. 1987, 79, 160–165. [Google Scholar] [CrossRef] [Green Version]
- West, T.D.; Griffith, D.R.; Steinhardt, G.C.; Kladivko, E.J.; Parsons, S.D. Effect of tillage and rotation on agronomic performance of corn and soybean: Twenty-year study on dark silty clay loam soil. J. Prod. Agric. 1996, 9, 241–248. [Google Scholar] [CrossRef]
- USDA National Agricultural Statistics Service. (Dataset). NASS—Quick Stats. USDA National Agricultural Statistics Service. 2022. Available online: https://data.nal.usda.gov/dataset/nass-quick-stats (accessed on 10 May 2022).
- Borrás, L.; Gambín, B.L. Trait dissection of maize kernel weight: Towards integrating hierarchical scales using a plant growth approach. Field Crops Res. 2010, 118, 1–12. [Google Scholar] [CrossRef]
- Milander, J.J.; Jukic, Z.; Mason, S.C.; Galusha, T.; Kmail, Z. Plant Population Influence on Maize Yield Components in Croatia and Nebraska. Crop Sci. 2016, 56, 2742–2750. [Google Scholar] [CrossRef]
- Ateh, C.M.; Doll, J.D. Spring-planted winter rye (Secale cereale) as a living mulch to control weeds in soybean (Glycine max). Weed Technol. 1996, 10, 347–353. [Google Scholar] [CrossRef]
- Nagabhushana, G.G.; Worsham, A.D.; Yelverton, F.H.; Wickliffe, W.B.; Lemmons, R.W. Agronomic manipulation of rye cover for improved weed suppression in no-till crop production systems. Proc. South. Weed Sci. Soc. 1995, 48, 168–169. [Google Scholar]
- Singer, J.W.; Moore, K.J.; Kohler, K.A.; Meek, D.W. Living mulch forage yield and botanical composition in a corn-soybean-forage rotation. Agron. J. 2009, 101, 1249–1257. [Google Scholar] [CrossRef] [Green Version]
- Echtenkamp, G.W.; Moomaw, R.S. No-till corn production in a living mulch system. Weed Technol. 1989, 3, 261–266. [Google Scholar] [CrossRef]
- Teasdale, J.R. Contribution of cover crops to weed management in sustainable agricultural systems. J. Prod. Agric. 1996, 9, 475–479. [Google Scholar] [CrossRef]
- Martin, R.C.; Greyson, P.R.; Gordon, R. Competition between corn and a living mulch. Can. J. Plant Sci. 1999, 79, 579–586. [Google Scholar] [CrossRef] [Green Version]
- Yenish, J.P.; Worsham, A.D.; York, A.C. Cover crops for herbicide replacement in no-tillage corn (Zea mays). Weed Technol. 1996, 10, 815–821. [Google Scholar] [CrossRef]
- Duke, S.O. Why have no new herbicide modes of action appeared in recent years? Pest Manag. Sci. 2012, 68, 505–512. [Google Scholar] [CrossRef] [Green Version]
- Green, J.M. Current state of herbicides in herbicide-resistant crops. Pest Manag. Sci. 2014, 70, 1351–1357. [Google Scholar] [CrossRef]
- Parker, R.; Boydston, R.A. Weed Management and Herbicide Performance during Drought Conditions; Washington State University Website Extension Bulletin: Washington, DC, USA, 2005; p. 2. [Google Scholar]


| Treatment | Suppression Type, Width, and Equipment |
|---|---|
| 1 | ETS SoilWarrior strip tillage 25 cm width |
| 2 | ETS SoilWarrior strip tillage 38 cm width |
| 3 | Unverferth 330 strip tillage 25 cm width |
| 4 | Unverferth 330 strip tillage 38 cm width |
| 5 | Chemical, Redball-Hooded band sprayer 25 cm width |
| 6 | Chemical, Redball-Hooded band sprayer 51 cm width |
| 7 | Alternating PGC strips 25 cm width |
| 8 | Alternating PGC strips 38 cm width |
| 9 | No-PGC conventional tillage control |
| Source of Variation | PGC Width ‘Mid’ | PGC Width ‘End’ | PGC Frequency |
|---|---|---|---|
| Treatment (T) | <0.0001 | <0.0001 | <0.0001 |
| Sequence Year (Y) | <0.0001 | 0.0003 | <0.0001 |
| T × Y | <0.0001 | <0.0001 | <0.0001 |
| Treatment | Mid- Season | End of Season | Early Season | Mid- Season | End of Season |
|---|---|---|---|---|---|
| _________ 2020 _________ | ________________ 2021 ________________ | ||||
| ____________________________________ cm ___________________________________ | |||||
| ETS 25 cm | 32 | 30 | 27 | 21 | 31 |
| ETS 38 cm | 29 | 25 | 21 | 17 | 22 |
| Unverferth 25 cm | 33 | 31 | 34 | 24 | 29 |
| Unverferth 38 cm | 33 | 23 | 24 | 18 | 23 |
| Chemical 25 cm | 35 | 25 | 30 | 23 | 30 |
| Chemical 51 cm | 14 | 16 | 20 | 12 | 18 |
| Alternating 25 cm | 35 | 26 | 23 | 16 | 19 |
| Alternating 38 cm | 31 | 22 | 19 | 13 | 16 |
| Control | 0 | 0 | 0 | 0 | 0 |
| SE | 3.45 | 5.14 | 2.40 | 2.65 | 3.11 |
| Pr > F | |||||
| Treatment | <0.0001 | 0.0035 | <0.0001 | <0.0001 | <0.0001 |
| Evenly spaced vs. alternating PGC | 0.1987 | 0.8589 | 0.0222 | 0.0508 | 0.0043 |
| Unverferth vs. ETS | 0.4375 | 0.9037 | 0.0614 | 0.4107 | 0.9847 |
| Unverferth vs. chemical | 0.0187 | 0.2187 | 0.1188 | 0.2764 | 0.4498 |
| ETS vs. chemical | 0.0996 | 0.1783 | 0.7377 | 0.7857 | 0.4386 |
| ETS 25 vs. 38 cm | 0.5319 | 0.5506 | 0.1095 | 0.2946 | 0.0529 |
| Unverferth 25 vs. 38 cm | 0.9400 | 0.3334 | 0.0052 | 0.1351 | 0.1937 |
| Chemical 25 vs. 51 cm | 0.0001 | 0.2640 | 0.0089 | 0.0079 | 0.0183 |
| Treatment | R:FR Ratio—2020 | |||
|---|---|---|---|---|
| 29 May | 3 June | 11 June | 25 June | |
| ETS 25 cm | 0.38 | 0.39 | 0.35 | 0.17 |
| ETS 38 cm | 0.35 | 0.37 | 0.32 | 0.17 |
| Unverferth 25 cm | 0.36 | 0.37 | 0.34 | 0.18 |
| Unverferth 38 cm | 0.40 | 0.40 | 0.36 | 0.16 |
| Chemical 25 cm | 0.39 | 0.43 | 0.34 | 0.17 |
| Chemical 51 cm | 0.41 | 0.43 | 0.36 | 0.18 |
| Alternating 25 cm | 0.38 | 0.41 | 0.34 | 0.16 |
| Alternating 38 cm | 0.40 | 0.47 | 0.35 | 0.17 |
| Control | 0.45 | 0.43 | 0.36 | 0.16 |
| SE | 0.02 | 0.02 | 0.01 | 0.01 |
| Pr > F | ||||
| Treatment | 0.0018 | 0.0393 | 0.0642 | 0.0509 |
| Evenly spaced PGC vs. control | 0.0002 | 0.2134 | - | - |
| Alternating PGC vs. control | 0.0026 | 0.6339 | - | - |
| Evenly spaced PGC vs. alternating PGC | 0.5023 | 0.0226 | - | - |
| Unverferth vs. ETS | 0.1929 | 0.9955 | - | - |
| Unverferth vs. Chemical | 0.1526 | 0.0252 | - | - |
| ETS vs. Chemical | 0.0089 | 0.0248 | - | - |
| PGC 25 vs. 38&51 cm | 0.2580 | 0.7335 | - | - |
| ETS 25 vs. 38 cm | 0.1962 | 0.5841 | - | - |
| Unverferth 25 vs. 38 cm | 0.0330 | 0.2799 | - | - |
| Chemical 25 vs. 51 cm | 0.2872 | 0.9619 | - | - |
| Chemical vs. control | 0.0151 | 0.8714 | - | - |
| ETS vs. control | <0.0001 | 0.0876 | - | - |
| Unverferth vs. control | 0.0007 | 0.0884 | - | - |
| Alternating 25 cm PGC vs. control | 0.0029 | 0.5991 | - | - |
| Alternating 38 cm PGC vs. control | 0.0206 | 0.1825 | - | - |
| Treatment | R:FR Ratio—2021 | |||
|---|---|---|---|---|
| 26 May | 4 June | 12 June | 23 June | |
| ETS 25 cm | 0.30 | 0.29 | 0.26 | 0.23 |
| ETS 38 cm | 0.30 | 0.29 | 0.25 | 0.20 |
| Unverferth 25 cm | 0.29 | 0.28 | 0.27 | 0.24 |
| Unverferth 38 cm | 0.29 | 0.28 | 0.25 | 0.22 |
| Chemical 25 cm | 0.28 | 0.27 | 0.26 | 0.24 |
| Chemical 51 cm | 0.30 | 0.29 | 0.28 | 0.25 |
| Alternating 25 cm | 0.33 | 0.31 | 0.28 | 0.20 |
| Alternating 38 cm | 0.35 | 0.32 | 0.28 | 0.19 |
| Control | 0.37 | 0.36 | 0.29 | 0.19 |
| SE | 0.01 | 0.02 | 0.01 | 0.01 |
| Pr > F | ||||
| Treatment | <0.0001 | <0.0001 | <0.0001 | <0.0001 |
| Evenly spaced PGC vs. control | <0.0001 | <0.0001 | 0.0265 | <0.0001 |
| Alternating PGC vs. control | 0.0289 | 0.0236 | 0.2921 | 0.5355 |
| Evenly spaced PGC vs. alternating PGC | 0.0002 | 0.0069 | 0.1496 | <0.0001 |
| Unverferth vs. ETS | 0.4532 | 0.7591 | 0.6531 | 0.0492 |
| Unverferth vs. Chemical | 0.9555 | 0.7810 | 0.5450 | 0.0574 |
| ETS vs. Chemical | 0.4871 | 0.5596 | 0.2948 | 0.0004 |
| PGC 25 vs. 38&51 cm | 0.4159 | 0.7220 | 0.8659 | 0.0380 |
| ETS 25 vs. 38 cm | 0.9897 | 0.9883 | 0.4728 | 0.0271 |
| Unverferth 25 vs. 38 cm | 0.8760 | 0.7123 | 0.1702 | 0.0538 |
| Chemical 25 vs. 51 cm | 0.2180 | 0.3210 | 0.0761 | 0.5713 |
| Chemical vs. control | <0.0001 | <0.0001 | 0.1198 | <0.0001 |
| ETS vs. control | <0.0001 | 0.0003 | 0.0193 | 0.0068 |
| Unverferth vs. control | <0.0001 | 0.0002 | 0.0441 | <0.0001 |
| Alternating 25 cm PGC vs. control | 0.0155 | 0.0204 | 0.3621 | 0.3947 |
| Alternating 38 cm PGC vs. control | 0.1687 | 0.1031 | 0.3588 | 0.8257 |
| Treatment | Grain Yield | Stover Yield | TAB | Rows Ear−1 | Kernel Weight | KE | KR |
|---|---|---|---|---|---|---|---|
| ____________ mg ha−1 ____________ | no. ear−1 | g kernel−1 | no. ear−1 | no. row−1 | |||
| 2020 | |||||||
| ETS 25 cm | 9.22 | 6.87 | 14.71 | 14.3 | 0.24 | 476 | 33.3 |
| ETS 38 cm | 9.17 | 7.91 | 15.71 | 14.5 | 0.26 | 493 | 34.1 |
| Unverferth 25 cm | 8.95 | 7.96 | 15.57 | 14.2 | 0.26 | 480 | 33.7 |
| Unverferth 38 cm | 9.47 | 8.46 | 16.51 | 15.2 | 0.25 | 478 | 32.5 |
| Chemical 25 cm | 10.42 | 8.12 | 16.98 | 14.0 | 0.26 | 477 | 33.9 |
| Chemical 51 cm | 10.47 | 10.68 | 19.58 | 14.5 | 0.25 | 488 | 33.6 |
| Alternating 25 cm | 11.39 | 8.85 | 18.54 | 14.6 | 0.27 | 520 | 34.9 |
| Alternating 38 cm | 11.38 | 9.25 | 18.92 | 14.6 | 0.27 | 502 | 34.8 |
| Control | 12.78 | 11.37 | 22.23 | 14.7 | 0.30 | 528 | 34.8 |
| SE | 0.88 | 0.62 | 1.01 | 0.30 | 0.01 | 12.29 | 0.67 |
| Pr > F | |||||||
| Treatment | 0.0071 | 0.0005 | 0.0004 | 0.1661 | 0.0011 | 0.0351 | 0.3159 |
| PGC 25 vs. 38&51 cm | 0.0003 | <0.0001 | <0.0001 | - | <0.0001 | 0.0014 | - |
| PGC evenly spaced vs. control | 0.1217 | 0.0037 | 0.0082 | - | 0.0217 | 0.2699 | - |
| Alternating PGC vs. control | 0.0050 | 0.1551 | 0.0116 | - | 0.0054 | 0.0059 | - |
| Evenly spaced vs. alternating PGC | 0.9847 | 0.1805 | 0.4151 | - | 0.6706 | 0.5957 | - |
| Unverferth vs. ETS | 0.0933 | 0.0571 | 0.0343 | - | 0.7314 | 0.7257 | - |
| Unverferth vs. Chemical | 0.0899 | 0.0022 | 0.0048 | - | 0.9343 | 0.8567 | - |
| ETS vs. Chemical | 0.7713 | 0.0091 | 0.0766 | - | 0.6222 | 0.3830 | - |
| ETS 25 vs. 38 cm | 0.9630 | 0.2290 | 0.4883 | - | 0.0526 | 0.3218 | - |
| Unverferth 25 vs. 38 cm | 0.6151 | 0.5597 | 0.5169 | - | 0.7560 | 0.9090 | - |
| Chemical 25 vs. 51 cm | 0.9631 | 0.0052 | 0.0789 | - | 0.4061 | 0.5261 | - |
| Chemical vs. control | 0.0123 | 0.0120 | 0.0033 | - | <0.0001 | 0.0047 | - |
| Chemical 25 vs. control | 0.0267 | 0.0006 | 0.0009 | - | 0.0016 | 0.0059 | - |
| Chemical 51 vs. control | 0.0296 | 0.4243 | 0.0735 | - | 0.0002 | 0.0271 | - |
| ETS vs. control | 0.0003 | <0.0001 | <0.0001 | - | <0.0001 | 0.0068 | - |
| Unverferth vs. control | 0.0003 | 0.0002 | <0.0001 | - | 0.0002 | 0.0022 | - |
| Alternating 25 cm PGC vs. control | 0.1807 | 0.0059 | 0.0148 | 0.0376 | 0.6683 | ||
| Alternating 38 cm PGC vs. control | 0.1753 | 0.0183 | 0.0275 | - | 0.0526 | 0.1405 | - |
| Treatment | Grain Yield | Stover Yield | TAB | Rows Ear−1 | Kernel Weight | KE | KR |
|---|---|---|---|---|---|---|---|
| ____________ mg ha−1 ____________ | no. ear−1 | g kernel−1 | no. ear−1 | no. row−1 | |||
| 2021 | |||||||
| ETS 25 cm | 6.48 | 5.01 | 10.52 | 13.2 | 0.21 | 405 | 31.9 |
| ETS 38 cm | 8.49 | 6.01 | 13.23 | 13.5 | 0.24 | 424 | 32.7 |
| Unverferth 25 cm | 5.90 | 4.46 | 9.47 | 12.8 | 0.22 | 359 | 27.4 |
| Unverferth 38 cm | 7.07 | 5.35 | 11.36 | 13.4 | 0.22 | 394 | 30.5 |
| Chemical 25 cm | 7.04 | 5.81 | 11.80 | 12.1 | 0.24 | 393 | 31.0 |
| Chemical 51 cm | 6.41 | 4.82 | 10.27 | 13.1 | 0.23 | 395 | 30.2 |
| Alternating 25 cm | 8.44 | 6.28 | 13.45 | 13.7 | 0.23 | 458 | 32.1 |
| Alternating 38 cm | 8.43 | 6.21 | 13.38 | 14.1 | 0.24 | 443 | 32.2 |
| Control | 8.29 | 7.66 | 14.71 | 14.1 | 0.26 | 440 | 32.7 |
| SE | 0.92 | 0.56 | 1.33 | 0.29 | 0.02 | 32.92 | 1.60 |
| Pr > F | |||||||
| Treatment | 0.4224 | 0.0085 | 0.0406 | 0.0002 | 0.2586 | 0.3965 | 0.3459 |
| PGC 25 vs. 38&51 cm | - | 0.4966 | 0.2541 | 0.0096 | - | - | - |
| PGC evenly spaced vs. control | - | 0.0002 | 0.0042 | 0.0007 | - | - | - |
| Alternating PGC vs. control | - | 0.0378 | 0.3352 | 0.4915 | - | - | - |
| Evenly spaced vs. alternating PGC | - | 0.0275 | 0.0134 | 0.0005 | - | - | - |
| Unverferth vs. ETS | - | 0.2626 | 0.1870 | 0.4101 | - | - | - |
| Unverferth vs. Chemical | - | 0.4448 | 0.5723 | 0.0822 | - | - | - |
| ETS vs. Chemical | - | 0.7158 | 0.4419 | 0.0132 | - | - | - |
| ETS 25 vs. 38 cm | - | 0.1927 | 0.0851 | 0.4849 | - | - | - |
| Unverferth 25 vs. 38 cm | - | 0.2444 | 0.2243 | 0.1422 | - | - | - |
| Chemical 25 vs. 51 cm | - | 0.1943 | 0.3216 | 0.0152 | - | - | - |
| Chemical vs. control | - | 0.0011 | 0.0091 | <0.0001 | - | - | - |
| Chemical 25 vs. control | - | 0.0199 | 0.0657 | <0.0001 | - | - | - |
| Chemical 51 vs. control | - | 0.0007 | 0.0066 | 0.0134 | - | - | - |
| ETS vs. control | - | 0.0025 | 0.0396 | 0.0243 | - | - | - |
| Unverferth vs. control | - | 0.0002 | 0.0028 | 0.0047 | - | - | - |
| Alternating 25 cm PGC vs. control | - | 0.0759 | 0.4156 | 0.2926 | |||
| Alternating 38 cm PGC vs. control | - | 0.0636 | 0.3908 | 0.8935 | - | - | - |
| Source of Variation | Grain Yield | Stover Yield | TAB | HI | Rows Ear−1 | Kernel Weight | KE | KR | V2 Density | R6 Density |
|---|---|---|---|---|---|---|---|---|---|---|
| Treatment (T) | 0.0207 | <0.0001 | <0.0001 | 0.6478 | 0.0006 | 0.0005 | 0.0647 | 0.1471 | 0.0053 | 0.7993 |
| Sequence Year (Y) | <0.0001 | <0.0001 | <0.0001 | 0.1891 | <0.0001 | <0.0001 | <0.0001 | <0.0001 | <0.0001 | 0.6110 |
| T × Y | 0.6423 | 0.0252 | 0.0982 | 0.8893 | 0.0135 | 0.7670 | 0.8831 | 0.6562 | 0.1133 | 0.4769 |
Publisher’s Note: MDPI stays neutral with regard to jurisdictional claims in published maps and institutional affiliations. |
© 2022 by the authors. Licensee MDPI, Basel, Switzerland. This article is an open access article distributed under the terms and conditions of the Creative Commons Attribution (CC BY) license (https://creativecommons.org/licenses/by/4.0/).
Share and Cite
Bartel, C.A.; Moore, K.J.; Fei, S.-z.; Lenssen, A.W.; Hintz, R.L.; Kling, S.M. Evaluating Strip and No-Till Maintenance of Perennial Groundcovers for Annual Grain Production. Crops 2022, 2, 268-286. https://doi.org/10.3390/crops2030020
Bartel CA, Moore KJ, Fei S-z, Lenssen AW, Hintz RL, Kling SM. Evaluating Strip and No-Till Maintenance of Perennial Groundcovers for Annual Grain Production. Crops. 2022; 2(3):268-286. https://doi.org/10.3390/crops2030020
Chicago/Turabian StyleBartel, Cynthia A., Kenneth J. Moore, Shui-zhang Fei, Andrew W. Lenssen, Roger L. Hintz, and Samantha M. Kling. 2022. "Evaluating Strip and No-Till Maintenance of Perennial Groundcovers for Annual Grain Production" Crops 2, no. 3: 268-286. https://doi.org/10.3390/crops2030020
APA StyleBartel, C. A., Moore, K. J., Fei, S.-z., Lenssen, A. W., Hintz, R. L., & Kling, S. M. (2022). Evaluating Strip and No-Till Maintenance of Perennial Groundcovers for Annual Grain Production. Crops, 2(3), 268-286. https://doi.org/10.3390/crops2030020

