Abstract
The man-made cereal triticale was fully resistant to the biotrophic diseases powdery mildew, leaf rust, yellow rust, and stem rust from its introduction in Europe in the mid-1970s until about 1990. In the following years, new races that were able to infect at least some triticale genotypes developed in all four pathogen populations, and resistance breeding came into focus. Here, we analyzed 656 winter triticale cultivars from 12 countries for resistance to these biotrophic diseases and Fusarium head blight (FHB) at up to 8 location-year combinations (environments). FHB ratings were corrected for plant height and heading stage by comparing three statistical methods. Significant (p < 0.001) genetic variances were found for all resistances with moderate to high entry-mean heritabilities. All traits showed a normal distribution, with the exception of stem rust, where the ratings were skewed towards resistance. There were no substantial correlations among the five disease resistances (r = −0.04 to 0.26). However, several genotypes were detected with multi-disease resistance with a disease rating below average for all five diseases simultaneously. In future, such genotypes must be selected primarily to cope with future challenges of less pesticide use and global climate change.
1. Introduction
Triticale (×Triticosecale Wittmack) is the intergeneric hybrid generally resulting from a cross between tetraploid wheat (Triticum turgidum ssp. durum, genome composition AABB) as the female parent and diploid rye (Secale cereale L., RR) as the male parent with a hexaploid (AABBRR) genetic structure of 2n = 6x = 42 chromosomes [1]. Today, hexaploid triticale is grown in 42 countries, with the main growing areas in Poland, Belarus, Germany, France, and Spain, which in 2020 altogether represented 71% of the world triticale acreage of 3.81 million hectares [2]. In these countries, the grain yield ranges from 3.3 to 6.0 t/ha. Today, triticale is primarily used for livestock feeding and has potential for biomass and bioethanol production. Commercial growing of triticale started in Poland in the mid-1970s and in Germany in 1982 with the registration of the first Polish cultivar, Lasko [1]. The first commercially grown triticale varieties were fully resistant to the biotrophic pathogens powdery mildew, leaf rust, yellow rust, and stem rust, but the increasing acreage led to a selection of pathogens and races that are now able to successfully infect triticale. Therefore, we could observe pathogenic evolution in triticale (Figure 1).
Figure 1.
Time course of the first occurrence and first epidemic of biotrophic fungi in triticale in Germany (for references see text) and photos of typical symptoms of the diseases.
Occurrence of wheat powdery mildew (Blumeria graminis f.sp. tritici) on octoploid triticale was first reported in 1977, when the hexaploid triticale was fully resistant to rye powdery mildew (B. graminis f.sp. secalis) [3]. In the German Official Trials, a first infection was found in 2001 (Figure 1) [4,5] and in Belgium one year later [6], followed by an epidemic in Germany in 2004 [4]. Powdery mildew, causing quality and yield loss in cereal production, has since been a significant disease in triticale. By genomic analyses it could be shown that triticale powdery mildew is a hybrid between wheat and rye powdery mildew, a crossing that occurred naturally at least twice, followed by two backcrosses with wheat powdery mildew leading to a hybrid genome showing a mosaic structure of segments of both parents [7]. The new hybrid mildew (B. graminis f. sp. triticale) readily infects triticale, tetraploid, and hexaploid wheat, but rye only to a very limited extent [7,8,9].
Leaf rust (Puccinia triticina), like the other rusts, is a disease of importance for global wheat production, causing significant yield losses and epidemics [10,11]. In Germany, leaf rust first occurred in 1988 (Figure 1), and an epidemic first occurred ten years later in 1998 in Germany and Belgium [5,6]. There are hints that leaf rust on triticale is caused by wheat leaf rust [12]. In South Africa, a leaf rust race collected from triticale showed 96% homology with wheat leaf rust races by molecular markers [13].
Yellow rust (P. striiformis f.sp. tritici) is a global disease of commonly grown cereals, e.g., bread wheat, durum wheat, or triticale, with reported infections from parts of all continents excluding Antarctica [14]. An infection causes a reduction in dry matter, number and size of spikes, and number and size of grains, which then results in a reduced yield and a lower grain quality [15]. Yellow rust first occurred on triticale in Germany in 1989–90 (Figure 1), followed by a widespread occurrence in 2001, and in Belgium in 2002 [5,6]. With these former European races (now PstS0), 21% grain yield loss has already been reported for triticale in Germany [16]. After the advent of the ‘Warrior’ race in Europe in 2011 (now PstS7, [17]), a first large epidemic was observed in commercial wheat and triticale growing during 2014-16 in Central Europe, mainly caused by ‘Warrior’ and the then new ‘Warrior (−)’ race (PstS10, [18]). These highly aggressive and highly virulent races can infect triticale and wheat similarly. It has previously been shown that triticale harbors resistances that are able to withstand the ‘Warrior’ and ‘Warrior (−)’ races [19]. Two yellow rust races have been described specifically on triticale, Triticale 2006 (now PstS4) and Triticale 2015 (now PstS13). The latter race was firstly detected in Scandinavia in 2015 and is virulent in many triticale cultivars, but also in durum wheat and in spring wheat in South America [18]. In 2019, a new variant of this race was detected in Poland and one year later in Germany, also infecting Yr10 and Yr24. In 2019 and 2020, PstS13 was discovered in nine European countries, including Germany, Poland, and Spain, with a total frequency of 15.9% [18].
Stem rust (P. graminis f.sp. tritici) is at present not a widespread disease in European triticale, but might gain more importance with climate change [20]. McIntosh et al. [21] had already reported the virulence of wheat stem rust in triticale in 1983. Soon after the beginning of commercial triticale growing, stem rust was reported to be an important disease for triticale at CIMMYT, Mexico [22], and in Australia [23], Poland [24], and South Africa [25]. In Germany, stem rust in winter wheat was firstly observed in 2013 (Figure 1), after more than 50 years of absence [26]. That wheat stem rust races are able to infect triticale [21,23] is also confirmed by this study, in which we used some of the German wheat stem rust races from 2013. Several studies have documented a very narrow genetic base for stem rust resistance in triticale [21,27,28,29].
Powdery mildew and all rust pathogens typically interact with their hosts in a gene-for-gene relationship, which means that resistances can be overcome easily and durable resistance is difficult to achieve [10,30,31]. Currently, at least 90, 80, and 65 formally named resistance genes for leaf rust (Lr), stripe rust (Yr), and stem rust (Sr) are known in wheat, respectively [32,33]. Most of these genes mediate race-specific all-stage resistance that can already be detected in the seedling stage. As a second possibility, there are available adult plant resistances expressed only in later growth stages that might be inherited monogenically or by the additive concurrence of several quantitative trait loci (QTLs). Meanwhile, hundreds of QTLs have been found in various wheat materials for all analyzed diseases [34], and those wheat genes or QTLs that are located on A and B genomes can also be expected in triticale, although their expression level might differ from wheat.
Triticale has always been a host to diseases caused by hemibiotrophic pathogens, such as Fusarium head blight (FHB caused by Fusarium graminearum, F. culmorum, and other Fusarium spp., [6]), Septoria nodorum blotch caused by Parastagonospora nodorum [35], and Septoria tritici blotch caused by Zymoseptoria tritici [36]. FHB is a widespread disease affecting several cereal species such as wheat, rye, and triticale [37]. The consequences of an FHB infection can lead to a loss of yield and quality and, even worse, a contamination of food and feed with mycotoxins, e.g., deoxynivalenol (DON) [38], which have harmful effects for livestock. Only quantitative FHB resistances that considerably reduce symptom development and are based on an array of QTLs are available in wheat [39,40]. Additionally, FHB resistance is quantitatively inherited in triticale [41,42], and several QTLs have been detected in four biparental populations [43]. Typically, for FHB in all cereals there is a correlation between disease severity and heading date/plant height, in the sense that the later heading and taller genotypes are generally more resistant [38,40]. In contrast, breeding aims at early heading and short cultivars, while the large breeding populations with 1000s of progenies prohibit an inoculation at the same developmental stage of each genotype; therefore, this correlation must be neutralized by biometric means. In this paper, we compared uncorrected data (univariate) with a bivariate and multivariate method for correction.
Effective fungicides are approved against all tested fungal diseases. However, their use is increasingly hampered by the difficulty of discovering new active ingredients, a restrictive EU approval policy, and a growing public aversion to chemical crop protection. Therefore, resistance breeding remains the most important alternative. However, it is no longer sufficient to incorporate resistance to individual diseases in the varieties; instead, to save fungicides, multi-resistant genotypes are needed that are resistant to all important fungal pathogens in the same cultivar [44]. Since the resistances to the diseases mentioned are not correlated (e.g., [45,46]), they all need to be tested. In this regard, it is less resource demanding for the identification of multi-resistant genotypes when all diseases are tested on the same plot. It has been previously shown that resistances to yellow rust, stem rust, and FHB do not interact when inoculated onto different plant organs (leaf, stem, ear, respectively) at the optimal plant growth stage for each disease [46]. The increasing adaptation of fungal diseases to triticale through natural selection requires the use of new sources of resistance.
In this study, a diversity panel of 656 triticale genotypes was tested in a multi-environment field trial for resistances to powdery mildew, the three rusts, and FHB. This is the largest experiment with the highest number of diseases in triticale that is known to us. The objectives were, in particular, to: (1) establish reliable phenotypic data of a large triticale panel for their resistances, (2) counteract the known correlation between FHB severity and plant height, heading stage by two statistical methods, (3) to estimate variance components, heritabilities, and correlations among these traits. The final aim was to identify multi-resistant genotypes for further use in plant breeding.
2. Materials and Methods
2.1. Plant Materials and Field Design
In this study, 656 winter triticale cultivars from 29 breeding programs and 12 countries were analyzed (Table S1); 457 entries came from 12 breeding programs from Germany, 66 from Poland, 42 from France, 24 from Switzerland, 18 from Sweden, 16 from Canada, and 12 from the USA. One to seven entries were from Romania, Austria, Belgium, Denmark, and Russia. The experiment had 344 more genotypes that were tested for other reasons. Their results were not included in this paper; however, they were used for the analyses of variance to improve accuracy (see below). Entries were tested for resistance to powdery mildew (PM), yellow or stripe rust (YR), leaf rust (LR), stem rust (SR), and Fusarium head blight (FHB) in different environments (Table 1).
Table 1.
Evaluation of disease resistances and agronomic traits.
Field experiments were conducted in four locations in 2019–2020 (Table 1): Bohlingen near Singen (BOH), Hohenheim near Stuttgart (HOH), Oberer Lindenhof near Reutlingen (OLI), and Oberlimpurg near Schwäbisch Hall (PZO, Table S2). In 2018, only a part of the genotype panel (n = 144) was pre-tested at HOH and/or OLI. Each entry was grown in one- (HOH) or two-row microplots (BOH, OLI, PZO) of 1.2–1.5 m length and 0.4 m width, with approximately 40–60 kernels per row. The plots were randomized according to an alpha lattice design with two replicates. Aside from fungicides and growth regulators, which were not applied, crop management was performed according to the standard field practices at each location.
2.2. Inoculations
For PM, LR, and YR, natural infections were observed, except for YR in HOH20 (Table 1). SR and FHB were inoculated in six to eight environments (=location year combinations). Plots were sprayed individually with each pathogen at the respective plant organ and most susceptible plant stage.
For YR, inoculation was performed with an inoculum mixture adjusted for the main races present in each year, including Warrior (PstS7), Kranich (PstS8), Warrior (−) (PstS10), and Triticale2015 (PstS13, Table S3). Urediniospores were produced on 7–10 day old seedlings of a susceptible wheat cultivar by inoculating the primary leaves with a mixture of urediniospores and talcum at a ratio of 1:3. The plants were kept for 24 h at 10 °C and 100% humidity in the dark and for the remaining time at 17 °C, 10,000 Lux, and 16 h light in a climate chamber with maximal humidity. After 12 days, the urediniospores were shaken off onto waxed paper, transferred in glass-petri dishes, and stored on glycerin in the refrigerator (6 °C) for up to 3 months. Isolates were propagated separately and mixed in equal amounts prior to inoculation.
For SR, five races isolated in Germany on wheat in 2013 [26] were inoculated (Table S3). Spore production followed the same protocol like YR. However, inoculation was done with a 0.1% agar-uredospore suspension and incubation temperatures were constantly 21°C.
Inoculation for both rusts was carried out by applying a 0.1% agar suspension with 120 mg spores per 100 m2 with a micro sprayer (Micron Ulva, Bromyard Industrial Estate, Bromyard, Herefordshire HR7 4HS, UK). Inoculation dates were at BBCH 21–31 (begin tillering to jointing, [47]) for YR and at BBCH 49–59 (first awns visible to end of heading) for SR. All inocula for both rusts were prepared by the Julius Kühn-Institute in Kleinmachnow (K.F.). Plants were inoculated twice with both rusts within the given growth stage periods at an interval of 1 to 2 weeks.
For FHB infections, inoculum of Fusarium culmorum was produced with the highly aggressive single-spore isolate FC46 (=IPO 39–01 [48]) on wheat-grain medium [49]. The inoculation was performed with a machine-driven sprayer with a spore suspension of 140 mL m−2 and 7 × 105 spores mL−1 throughout the whole experiment. Inoculations started when the earliest entries were at mid-anthesis (BBCH 65) and were repeated at least three times until the latest entries were flowering. The aim was to meet the individual mid-flowering time of each genotype at least once.
2.3. Trait Recording
All data were recorded plotwise. PM and LR were assessed once on a scale from 1–9 with 1 referring to healthy plants and 9 to highly diseased plants considering the whole plant shortly before or during flowering. YR severity was assessed one to two times from the very beginning of heading (BBCH 49) until watery ripening (BBCH 71) as percentage of the upper two leaves (F, F-1) covered by uredinia, the aggregated tufts of summer spores (0–100%). SR severity was assessed once at early-dough stage (BBCH 80–84), when the uredinia and telia, the aggregated tufts of winter spores, were clearly visible on the stems. The stem segment between the second leaf from top (F-1) and the next internode was visually assessed as percentage of the stem covered by stem rust (0–100%). FHB severity was rated visually a minimum of three times as the percentage of infected spikelets per plot (0–100%). Ratings began with the onset of symptom development and were continued at 3- to 4-day intervals until the beginning of the yellow ripening stage (BBCH 71–79). The rating reflects both the number of infected spikes per plot (type I resistance) and the number of infected spikelets per spike (type II resistance) in a single rating. Multi-disease resistance (MDR) score was calculated by computing the sum of the standardized BLUEs for each disease. The standardizations of BLUEs for each disease were calculated based on , where Zi is the obtained standardized value of the i-th genoype, xi corresponds to the BLUEs value, to the overall mean, and σ to the standard deviation of the respective disease. Heading stage (HS) was recorded once for the whole experiment and the plots were rated after their BBCH stage at this date. Plant height (PH) was measured from the soil surface to the end of the spike of the main tillers once per plot in centimeter.
2.4. Phenotypic Data Analyses
For all traits, data were analyzed plotwise. When several ratings were performed, they were averaged and an analysis of variance (ANOVA) was performed for all locations following a linear mixed model:
with being the phenotypic observation for the i-th genotype at the j-th environment in the k-th replicate and the n-th incomplete block; is the overall mean, g and e denote the effects for genotype and environment, respectively; ge denotes the corresponding interaction effect, r is the replication effect, nested in environment, b the incomplete block effect, nested in environment and replicate, the residual. Before running the model for analysis, outlier correction was completed. The determination of variance components followed the restricted maximum likelihood (REML) method while considering all effects as random. The residual error variance () in the multi-location analysis was determined by calculating the harmonic mean. The significances of the corresponding variances were tested by calculating chi-squared statistics for a likelihood ratio test.
The determination of the heritability followed the entry-mean approach by computing the ratio of genotypic to phenotypic variance [50,51]:
with being the interaction variance of genotype and environment, being the number of environments and being the number of replicates. The best linear unbiased estimators (BLUEs) were calculated for every genotype using the same model, but considering genotype as a fixed effect. The determination of Pearson’s correlation coefficients and all other further analyses were performed based on the BLUEs value for the specific trait and genotype. Pearson’s correlation coefficients were estimated by using the corresponding BLUEs.
Because the experiments included 344 additional genotypes, we used a dummy (0,1) variable to exclude those genotypes for estimating effects of correction variables and variances for genotype and genotype–environment interaction. The dummy variables were fitted as interactions and if dummy = 0, the respective factor level of the interaction effect was not used to derive effect estimates in model calculation. The respective genotypes were not dropped from the analysis because they helped to make the experimental design complete and to better estimate effects of replicates and blocks.
Because of known correlations between FHB, PH, and EC, three different approaches were employed for the estimation of BLUEs for FHB rating: a basic univariate analysis (i.e., without correction), a covariate adjustment analysis according to Emrich et al. [52], and a multivariate analysis. The univariate analysis followed the model described above. For the covariate adjustment analysis, PH and EC were included as fixed effects in the model. For the multivariate approach, FHB and PH were first corrected for EC using a multivariate group analysis for each environment. The following multivariate model (excluding dummy variables) was used:
where the model parameters correspond to the above mentioned linear mixed model without the location effects (single environment analysis), but including a numerical index 1, 2 and 3 representing FHB, PH and EC, respectively. From the estimates obtained by this model, corrected FHB and PH values were calculated using a modified formula according to Rapp et al. [53]:
where yph and yfhb are the observed plot values, σph, σfhb, and σec are the square root of the genetic variance for PH, FHB, and EC, respectively. The genetic correlations between PH and EC and FHB and EC are denoted as ρphec and ρfhbec and the remaining terms describe the regression of PH and FHB on standardized EC values, respectively. Next, a bivariate model was set up for PH′ and FHB′, which followed the same structure as the multivariate model but had a vector length of two instead of three. Based on this model, PH corrected FHB values were computed in the same manner as described above. The obtained corrected FHB values were then used to calculate the BLUEs for FHBmultivariate with the univariate model. Based on the BLUEs of the univariate model (for PH, EC and PM) and the BLUEs of all three models (FHBunivariate, FHBcovariate, FHBmultivariate), Pearson’s correlation coefficients between the different traits were calculated. In addition, mean values were calculated with the BLUEs of the univariate model and tested for significant differences between the genetic groups using Tukey’s test (p = 0.05). All statistical analyses were performed using the package ASReml-R 3.0 [54] in the statistical software R 3.4.4 [55]. The coefficient of variation was calculated as
The logarithmic transformation for powdery mildew and rust data in Figure 2 was done according to the following formula [57]:
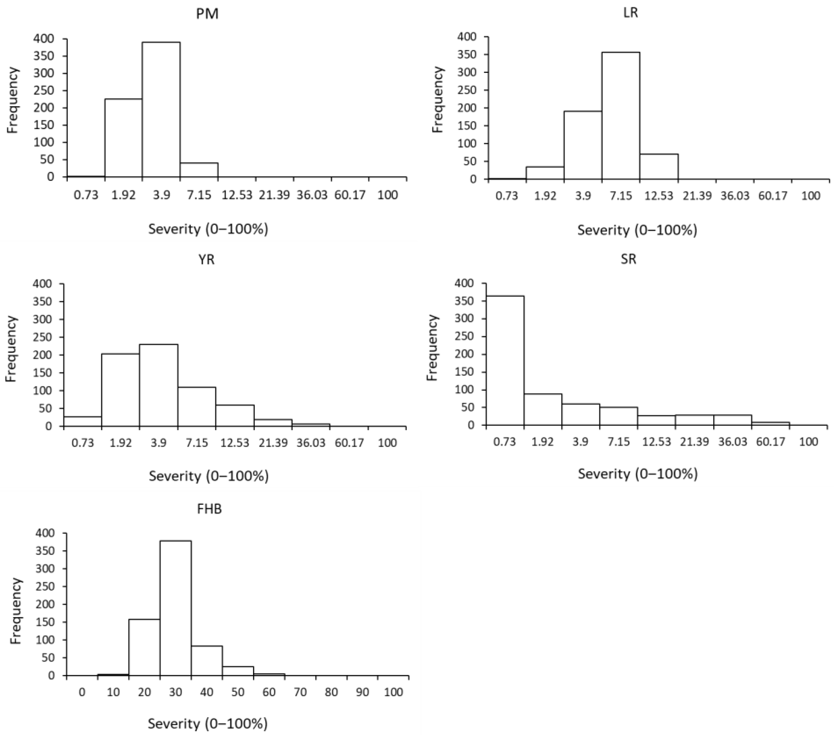
Figure 2.
Frequency distributions for severities (%) of powdery mildew (PM), leaf rust (LR), yellow rust (YR), stem rust (SR), and Fusarium head blight (FHB) of 656 winter triticale genotypes across environments on a standardized rating scheme; PM, YR, LR, SR are shown on a logarithmic scale.
3. Results
The respective diseases occurred at all locations, either naturally or artificially infected (Table 1). Mean severities were low for powdery mildew (PM), SR and yellow rust (YR), whereas leaf rust (LR) and FHB showed a moderate infection level across all environments (Table 2). Despite the low means, there were always some genotypes with a high infection level. While for YR and SR the minimum disease severity was zero, for PM and FHB even the most resistant genotype showed some infection. Additionally, plant height and heading stage showed a considerable high range. Genotypic variances were significant for all traits, and genotype-by-environment interaction also played a major role except for YR. Heritability estimates were moderate to high, apart from LR, which was detected in two environments only. PM, LR, and FHB severities as well as the agronomic traits, plant height, and heading stage were normally distributed, while YR and SR severities were skewed towards resistance (Figure 2).
Table 2.
Mean, Minimum, Maximum, least significant difference (LSD, p = 0.05), coefficient of geno-typic variation () and components of genotypic (), genotype-environment interaction, (), error () variances and entry-mean heritability (H2) for plant height (PH), heading stage (HS), powdery mildew (PM), yellow rust (YR), leaf rust (LR), and Fusarium head blight (FHB) for the diversity panel (N = 656) across environments.
For SR severity most genotypes were grouped into the least susceptible class. For YR severity, only 30 genotypes were falling in this class.
Correlations between PM, LR, SR, YR, and agronomic traits occurred only occasionally, with coefficients ranging from −0.07 to 0.13 (Table 3). Although they were occasionally significant, caused by the large number of genotypes tested, they were not important. Higher correlations were found between PH and HS (r = −0.33) and between FHB severity and either PH or HS for the non-corrected FHB data (‘univariate’). Using the corresponding trait as a cofactor reduced the correlation with HS only slightly, but largely for PH. The multivariate model recognizing both traits and their interaction in a two-stage procedure resulted in no significant correlation and was used for the results reported here.
Table 3.
Pearson’s correlation coefficients between plant height (PH), heading stage (HS), powdery mildew (PM), leaf rust (LR), yellow rust (YR), and Fusarium head blight (FHB) for the diversity panel (N = 656) across environments.
The correlations among the five disease resistances were generally low, ranging from −0.04 to 0.26. This was also valid among the three rust resistances (data not shown).
In our genotype panel, we selected the best genotypes that were multi-resistant to all diseases analyzed here (Figure 3). At least 15 genotypes had a standardized multi-disease resistance score below average for all five diseases simultaneously. They could not be assigned to a specific country or breeding program.
Figure 3.
The 15 best and the three worst triticale genotypes for powdery mildew (PM), yellow rust (YR), leaf rust (LR), stem rust (SR), and Fusarium head blight (FHB) severity sorted after their cumulated standardized multi-disease resistance (MDR) score in a diversity panel of 656 winter triticale genotypes across environments CA = Canada, CH = Switzerland, BE = Belgium, DE = Germany, PL = Poland, RO = Romania, SE = Sweden.
4. Discussion
An important aspect of the evolution history of triticale is a very restricted gene pool, because the gene pools of the parents, (tetraploid) wheat and rye, are only accessible via the cumbersome creation of primary triticale, which leads to major fertility problems in the first generations. They can only be used for practical breeding through a second crossing cycle as secondary triticale [1] or by backcrossing with hexaploid wheat. Therefore, genetic diversity is a big issue in triticale and must be established not only for agronomic traits but also for disease resistances. We analyzed here the resistance of a large triticale panel to the important diseases powdery mildew (PM), leaf rust (LR), yellow rust (YR), stem rust (SR), and Fusarium head blight (FHB).
4.1. Triticale as A Man-Made Crop
Triticale has a special situation concerning disease resistances compared to the other small-grain cereals, because it has been designed by hybridization in the last fifty years with no progenitors either as landraces or wild relatives. At the beginning of commercial growing, the crop was fully resistant to PM and the three rusts [1]. Thus, no need for resistance breeding was given. This changed with the first epidemics of LR in 1998, YR in 2001, and PM in 2004 in Germany (see Figure 1). Devastating epidemics left most triticale genotypes in nurseries highly infected and were the starting point for resistance selection. Indeed, a significant breeding progress for PM resistance could be found in cultivars registered after 2000 [58]. Similarly, the YR epidemic of 2014 identified two third of the entries in the Hohenheim nursery as highly susceptible to the new races [59].
The evolution of triticale-infecting pathogens/races was supported by the large expansion of the production area of triticale. In 1988, triticale was grown in Germany on 19,813 ha and in 2020 on 341,300 ha; that is a more than a 17fold increase. In the same period, the production area more than doubled in France (from 127,000 ha to 261,000 ha) and Poland (from 549,352 to 1,388,970 ha, [2]). For windborne pathogens such as PM and the rusts, these countries can be envisioned as one common agricultural zone and the wide distribution of the then fully resistant triticale crop exerted a tremendous selection pressure on these biotrophic pathogens, supporting a host jump by hybridization (PM) or selection of mutants (LR, YR, SR) that were able to infect triticale. In YR, the evolution of special triticale races is documented [18]; additionally, the most important wheat races are now able to infect triticale with YR, LR, and SR.
4.2. Genetic Variation for Disease Resistances
The tested panel has a broad variation, as is already illustrated by the agronomic trait plant height ranging from 74 to 171 cm. In contrast to earlier studies [19,58] in which only 141 cultivars were included and the remaining 778 lines were advanced breeding lines mainly from Germany, this new panel consisted of 656 cultivars of very diverse origin (Table S1), thus representing a large part of the available gene pool in triticale. For all disease resistances, considerable genotypic variation was detected with a high importance of genotype-by-environment interaction variances except for YR (Table 1). The genetic coefficient of variation was quite similar for all disease resistance except for SR.
The distribution curves of disease resistances (Figure 2) cannot directly be used for conclusions about inheritance, because the effect of major genes can be masked by the occurrence of many minor genes [60]. It is interesting, however, that the diversity panel shows a high frequency of resistances to PM, YR, and SR, with 94, 70, and 78% of the panel being resistant when the first three classes are considered as resistant, representing a disease severity of ≤3.9% [57]. For FHB, only 25% of cultivars fall in this resistant class. For PM, LR, and YR resistances, only a few fully resistant cultivars exist. The most likely explanation is that the panel consists of selected advanced breeding material and registered cultivars, and thus effective major genes are involved in these resistances that might include the known resistance genes on wheat genomes A and B [32,33] and on rye genome R [61] or even new loci. In Canada, all six tested triticale cultivars were fully resistant to YR, with absence of the tested wheat markers for Yr10, Yr17, Yr18, Yr36 [62]. This might be caused by the absence of the resistance alleles or by a different linkage disequilibrium in triticale.
For SR resistance, most cultivars (55%) are in the fully resistant class with 0 to 0.73% disease severity. A detailed seedling survey even detected 78% of 567 triticale accessions originating from 21 countries being resistant to the stem rust race Ug99 (TTKSK, [63]). Of these, 141 accessions contained three resistance genes (SrSatu, Sr27, SrKw), while 200 of the remaining accessions contained uncharacterized genes or gene combinations and were resistant against seven races of widely differing virulence in field trials in Ethiopia and USA [63].
Another part of the explanation for the high frequency of resistant triticale cultivars could be that the respective pathogens are not yet fully adapted to the new crop triticale. A clue could be that the mean severities for PM, YR, and SR were very low (Table 1). However, disease severities of 33 to 57% of the most infected genotypes for YR and SR, respectively, illustrate that the low means are not caused by a too low infection level. Similarly, the most LR-susceptible genotype had a score of 6 on the 1–9 scale.
In all disease resistances, additionally many quantitative trait loci (QTL) are involved, as known from molecular studies. The interplay of qualitative and quantitative resistance loci is shown in the study of Losert et al. [19] for YR resistance, where a different triticale panel (n = 919) was evaluated in multi-environment field trials. They found ten significant QTLs, of which up to six QTLs could be governed by monogenic Yr resistances of wheat. Two of the three most consequential QTLs were already nearly fixed in the panel with allele frequencies >85%. For powdery mildew, race-specific resistances were considered to play a major role in commercial triticale cultivars [4]. For FHB head blight resistance in triticale [43,64], the results resemble those from the parents, rye and wheat, respectively [37,40]: there exists no fully resistant cultivar, and a clear quantitative inheritance governed by many QTLs with mostly small to medium effects was found.
When the obtained triticale results are compared with a companion trial of 280 European winter wheat cultivars inoculated by the same pathogens, even with the same races for YR and SR and with the same isolate for FHB, triticale always had a lower mean value; additionally, even the most susceptible triticale cultivars were less susceptible than wheat. This may also be due to the still largely unexplored resistances of rye occurring in triticale. Indeed, in all inheritance studies of disease resistances in triticale, loci are always found on the rye genome that often explain a substantial part of the variance. Examples can be found in FHB resistance [43,64] or in PM [65,66] and YR resistances [19]. In these studies, not only were the known monogenic resistances on rye chromosome 1R detected, but also new loci on all other rye chromosomes.
4.3. Correction of FHB Data
Significant correlations between FHB severity and either heading stage (HS) or plant height (PH) reported here (Table 3) have been frequently found in wheat and rye, with the later and taller genotypes being more resistant (for review see [37,38,40,52,64]). For breeding purposes, this covariation is not wanted, because we aim for early, short genotypes. Because of the large breeding populations of 1000s of entries that have to be handled, not every genotype can be inoculated at its optimal stage (mid-anthesis); however, we have to inoculate the whole experiment several times. For PH, it is known that some reduced height (Rht) genes directly have an impact on FHB severity [38,40]. Moreover, a co-localization between QTL for FHB resistance and plant height not linked to Rht genes was frequently reported in mapping studies [38,40,43]. Therefore, the uncorrected data (univariate, Table 3) cannot be reliably used for selection. In former papers, a covariate adjustment analysis according to Emrich et al. [52] was used that could reduce correlations. In our study, however, the correlation to HS was still significant. Therefore, we used a multivariate analysis as suggested by Rapp for other correlated traits [53]. This was previously also performed for FHB resistance by Moreno-Amores [67]. In contrast to the latter study, we were able to get both correlations non-significant with the multi-variate method. The main difference between their method and ours was that we also modelled the correlation between PH and HS that was not considered by Moreno-Amores [67]. Because this correlation was also significant (Table 3), both correlations between FHB severity and either PH or HS finally became non-significant. This allows a selection for the most FHB-resistant genotypes without being affected by correlated agronomic factors.
4.4. Breeding Multi-Resistant Triticale
When the first epidemics occurred, many triticale cultivars were protected from infection of biotrophic pathogens by wheat genes [6] until the corresponding virulences spread in the newly emerged pathogen populations virulent for triticale. In addition, triticale cultivars may also contain new rye-specific resistance genes other than those that were introgressed from rye into wheat [23,65,68].
All pathogens tested here might increase in their incidence in NW Europe due to climate change. The thermophilic nature of LR, SR, and Fusarium species was extensively documented (for review see [20]). This is challenging because newly registered cultivars fairly quickly become susceptible to the rusts, the so-called age effect that has been clearly documented in wheat leaf rust [5]. The new YR races, ‘Warrior’ and ‘Warrior(−)’, are already adjusted to warmer temperatures and overnight dew suffices already for infection [20]. This stresses the need for multi-resistant cultivars that are not only resistant to one or two diseases, but to the most economically important diseases. Our study shows that such genotypes already exist (Figure 3), as previously also reported from winter wheat [44]. The causes might be pleiotropic or linked resistance genes, or the simultaneous selection of several disease resistances by breeders leading to an untargeted pyramidisation of resistance loci across the whole genome.
On the basis of molecular studies in wheat and rye for the tested disease resistances, as also for triticale, some conclusions can be drawn for further breeding. For quantitative FHB resistance, phenotypic recurrent selection is highly promising [69]. Based on field infections and a three-year cycle, the improved entries had a considerably lower mean than unselected entries tested in the same experiment. By using advanced greenhouse techniques, the cycle length could be reduced to two years. For the other diseases, a complex inheritance of qualitative (monogenic) and quantitative loci governs resistance. This makes resistance breeding more complicated when not only the monogenic all-stage resistances (major genes) should be used but also the more durable, medium-effective adult-plant QTLs. Incorporation and pyramidization of effective monogenic resistances can be achieved by marker-assisted selection, especially for those genes that have been cloned and for which perfect markers are available. Additionally, genomic selection can predict disease resistance for QTLs with different effect levels, as shown for YR resistance in wheat [70] and FHB resistance in triticale [64]. This could become even more effective when establishing speed breeding systems [71]. Triticale breeders have the big advantage that they can make use of resistances “from both worlds”, wheat and rye. This unique chance should be used to further increase the resistance level in new multi-resistant cultivars.
Supplementary Materials
The following supporting information can be downloaded at: https://www.mdpi.com/article/10.3390/crops2030016/s1, Table S1. Origin of the diversity panel; Table S2. Characteristics of the experimental sites Bohlingen (BOH), Hohenheim (HOH), Oberer Lindenhof (OLI), and Pflanzenzüchtung Oberlimpurg (PZO) over a long term mean of 30 years from 1961–1990; Table S3. Race designation and virulence phenotype of German isolates used for field inoculations
Author Contributions
Conceptualization, T.M. and H.P.M.; formal analysis, H.P.M.; resources, K.F., N.S. and S.W.; data curation, H.P.M.; writing—original draft preparation, T.M.; writing—review and editing, H.P.M.; funding acquisition, T.M. and H.P.M. All authors have read and agreed to the published version of the manuscript.
Funding
This research is supported by funds of the Federal Ministry of Food and Agriculture (BMEL) based on a decision of the Parliament of the Federal Republic of Germany partly via the Federal Office for Agriculture and Food (BLE) under the innovation support program within the project GetreideProtekt (Grant 28-1-B2.021-16) and partly via the Fachagentur für Nachwachsende Rohstoffe e.V. (FNR) within the project SENSELGO (Grant FKZ 22024515).
Data Availability Statement
The data presented in this study are available in this article and supplementary materials (see above).
Acknowledgments
We highly acknowledge the excellent work of the staff at the different experimental stations. Especially we thank Thomas Grafe, University of Hohenheim, for his great work in organizing the trials and phenotyping the experiments in all locations. Lena Müller, Andreas Heizmann and Johannes Schümann helped as students with scoring in some of the environments.
Conflicts of Interest
The authors declare no conflict of interest. The funders had no role in the design of the study; in the collection, analyses, or interpretation of data; in the writing of the manuscript, or in the decision to publish the results.
References
- Oettler, G. The fortune of a botanical curiosity—triticale: Past, present and future. J. Agric. Sci. 2005, 143, 329–346. [Google Scholar] [CrossRef]
- FAOSTAT. Food and Agriculture Data. Production. Crops and Livestock Products. Triticale. 2022. Available online: http://www.fao.org/faostat/en/#data/QCL (accessed on 16 May 2022).
- Linde-Laursen, I.B. Reaction of triticale wheat and rye to the powdery mildew fungi, Erysiphe graminis f. sp. tritici and E. graminis f. sp. secalis. Z. Pflanzenzücht. 1977, 79, 110–121. [Google Scholar]
- Klocke, B.; Flath, K.; Miedaner, T. Virulence phenotypes in powdery mildew (Blumeria graminis) populations and resistance genes in triticale (× Triticosecale). Eur. J. Plant Pathol. 2013, 137, 463–476. [Google Scholar] [CrossRef]
- Laidig, F.; Feike, T.; Hadasch, S.; Rentel, D.; Klocke, B.; Miedaner, T.; Piepho, H.P. Breeding progress of disease resistance and impact of disease severity under natural infections in winter wheat variety trials. Theor. Appl. Genet. 2021, 134, 1281–1302. [Google Scholar] [CrossRef]
- Audenaert, K.; Troch, V.; Landschoot, S.; Haesaert, G. Biotic stresses in the anthropogenic hybrid triticale (×Triticosecale Wittmack): Current knowledge and breeding challenges. Eur. J. Plant Pathol. 2014, 140, 615–630. [Google Scholar] [CrossRef]
- Menardo, F.; Praz, C.R.; Wyder, S.; Ben-David, R.; Bourras, S.; Matsumae, H.; McNally, K.E.; Parlange, F.; Riba, A.; Roffler, S.; et al. Hybridization of powdery mildew strains gives rise to pathogens on novel agricultural crop species. Nat. Genet. 2016, 48, 201–205. [Google Scholar] [CrossRef] [Green Version]
- Troch, V.; Audenaert, K.; Bekaert, B.; Höfte, M.; Haesaert, G. Phylogeography and virulence structure of the powdery mildew population on its ’new’ host triticale. BMC Evol. Biol. 2012, 12, 76. [Google Scholar] [CrossRef] [Green Version]
- Troch, V.; Audenaert, K.; Vanheule, A.; Bekaert, B.; Höfte, M.; Haesaert, G. Evaluation of resistance to powdery mildew in triticale seedlings and adult plants. Plant Dis. 2013, 97, 410–417. [Google Scholar] [CrossRef] [Green Version]
- Kolmer, J.A. Genetics of resistance to wheat leaf rust. Annu. Rev. Phytopathol. 1996, 34, 435–455. [Google Scholar] [CrossRef]
- Arseniuk, E. Triticale Diseases—A Review. In Triticale: Today and Tomorrow. Developments in Plant Breeding; Guedes-Pinto, H., Darvey, N., Carnide, V.P., Eds.; Springer: Dordrecht, The Netherlands, 1996; Volume 5, pp. 499–525. [Google Scholar] [CrossRef]
- Sodkiewicz, W.; Strzembicka, A.; Apolinarska, B. Chromosomal location in triticale of leaf rust resistance genes introduced from Triticum monococcum. Plant Breed. 2008, 127, 364–367. [Google Scholar] [CrossRef]
- Visser, B.; Herselman, L.; Bender, C.M.; Pretorius, Z.A. Microsatellite analysis of selected Puccinia triticina races in South Africa. Australas. Plant Pathol. 2012, 41, 165–171. [Google Scholar] [CrossRef]
- Chen, X. Epidemiology and control of stripe rust (Puccinia striiformis f. sp. tritici) on wheat. Can. J. Plant Pathol. 2005, 27, 314–337. [Google Scholar] [CrossRef]
- Wellings, C.R. Global status of stripe rust: A review of historical and current threats. Euphytica 2011, 179, 129–141. [Google Scholar] [CrossRef]
- Tian, S.; Weinert, J.; Wolf, G.A. Infection of triticale cultivars by Puccinia striiformis: First report on disease severity and yield loss. J. Plant Dis. Prot. 2004, 111, 461–464. Available online: https://www.jstor.org/stable/43216280 (accessed on 29 June 2022).
- Hovmøller, M.S.; Walter, S.; Bayles, R.A.; Hubbard, A.; Flath, K.; Sommerfeldt, N.; Leconte, M.; Czembor, P.; Rodriguez-Algaba, J.; Thach, T.; et al. Replacement of the European wheat yellow rust population by new races from the centre of diversity in the near-Himalayan region. Plant Pathol. 2016, 65, 402–411. [Google Scholar] [CrossRef] [Green Version]
- Hovmøller, M.S.; Patpour, M.; Rodriguez-Algaba, J.; Thach, T.; Fejer Justesen, A.; Grønbech Hansen, J. GRRC Report of Yellow and Stem Rust Genotyping and Race Analyses 2020; Aarhus University: Aarhus, Denmark, 2021; Available online: https://agro.au.dk/fileadmin/www.grcc.au.dk/International_Services/Pathotype_YR_results/GRRC_annual_report_2020.pdf (accessed on 20 May 2022).
- Losert, D.; Maurer, H.P.; Leiser, W.L.; Würschum, T. Defeating the warrior: Genetic architecture of triticale resistance against a novel aggressive yellow rust race. Theor. Appl. Genet. 2017, 130, 685–696. [Google Scholar] [CrossRef]
- Miedaner, T.; Juroszek, P. Climate change will influence disease resistance breeding in wheat in Northwestern Europe. Theor. Appl. Genet. 2021, 134, 1771–1785. [Google Scholar] [CrossRef]
- McIntosh, R.A.; Luig, N.H.; Milne, D.L.; Cusick, J. Vulnerability of triticales to wheat stem rust. Can. J. Plant Pathol. 1983, 5, 61–69. [Google Scholar] [CrossRef]
- Singh, R.P.; Saari, E.E. Biotic Stress in Triticale. In Proceedings of the International Triticale Symposium, Passo Fundo, Brazil, 1–5 October 1990; 1991. [Google Scholar]
- Adhikari, K.N.; McIntosh, R.A. Inheritance of wheat stem rust resistance in triticale. Plant Breed. 1998, 117, 505–513. [Google Scholar] [CrossRef]
- Wakulinski, W.; Nowicki, B.; Zamorski, C. Podatnosc form ozimych ×Triticosecale Wittmack na porazenie przez Puccinia graminis Pers. Progr. Plant Prot. 2006, 46, 395–400. [Google Scholar]
- Bender, C.M. Stem Rust Resistance in South African Wheat and Triticale. Ph.D. Thesis, University of the Free State, Bloemfontein, South Africa, 2020. [Google Scholar]
- Olivera Firpo, P.D.; Newcomb, M.; Flath, K.; Sommerfeldt-Impe, N.; Szabo, L.J.; Carter, M.; Luster, D.G.; Jin, Y. Characterization of Puccinia graminis f. sp. tritici isolates derived from an unusual wheat stem rust outbreak in Germany in 2013. Plant Pathol. 2017, 66, 1258–1266. [Google Scholar] [CrossRef]
- McIntosh, R.A. The Role of Specific Genes in Breeding for Durable Stem Rust Resistance in Wheat and Triticale. In Breeding Strategies for Resistance to the Rusts of Wheat; Simmonds, N.W., Rajaram, S., Eds.; CIMMYT: Texcoco, México, 1988; pp. 1–9. [Google Scholar]
- Singh, S.J.; McIntosh, R.A. Allelism of two genes for stem rust resistance in triticale. Euphytica 1988, 38, 185–189. [Google Scholar] [CrossRef]
- Zhang, J.; Wellings, C.R.; McIntosh, R.A.; Park, R.F. Seedling resistances to rust diseases in international triticale germplasm. Crop Pasture Sci. 2010, 61, 1036–1048. [Google Scholar] [CrossRef]
- Flor, H.H. Current status of the gene-for-gene concept. Annu. Rev. Phytopathol. 1971, 9, 275–296. [Google Scholar] [CrossRef]
- McIntosh, R.A.; Wellings, C.R.; Park, R.F. The Genes for Resistance to Stem Rust in Wheat and Triticale. In Wheat Rusts: An Atlas of Resistance Genes; McIntosh, R.A., Wellings, C.R., Park, R.F., Eds.; CSIRO Publications: East Melbourne, Australia, 1995; pp. 87–152. [Google Scholar]
- McIntosh, R.A.; Yamazaki, Y.; Dubcovsky, J.; Rogers, J.; Morris, C.; Appels, R.; Xia, X.C. Catalogue of gene symbols for wheat. In Proceedings of the 12th International Wheat Genetics Symposium, Yokohama, Japan, 8–13 September 2013; Available online: https://shigen.nig.ac.jp/wheat/komugi/genes/macgene/2013/GeneCatalogueIntroduction.pdf (accessed on 17 May 2022).
- McIntosh, R.A.; Dubcovsky, J.; Rogers, W.J.; Xia, X.C.; Raupp, W.J. Catalogue of Gene Symbols for Wheat: 2020 Supplement. Available online: https://shigen.nig.ac.jp/wheat/komugi/genes/symbolClassList.jsp (accessed on 17 May 2022).
- Serfling, A.; Kopahnke, D.; Habekuss, A.; Novakazi, F.; Ordon, F. Wheat Diseases: An Overview. In Achieving sustainable Cultivation of Wheat. Breeding Quality Traits, Pests and Diseases; Langridge, P., Ed.; Burleigh Dodds Science Publishing: Cambridge, UK, 2017; Volume 3, pp. 263–294. [Google Scholar]
- Oettler, G.; Schmid, T. Genotypic variation for resistance to Septoria nodorum in triticale. Plant Breed. 2000, 119, 487–490. [Google Scholar] [CrossRef]
- Arseniuk, E.; Góral, T. Triticale Biotic Stresses-Known and Novel Foes. In Triticale; Eudes, F., Ed.; Springer: Cham, Switzerland, 2015; pp. 83–108. [Google Scholar] [CrossRef]
- Gaikpa, D.S.; Lieberherr, B.; Maurer, H.P.; Longin, C.F.H.; Miedaner, T. Comparison of rye, triticale, durum, and bread wheat genotypes for Fusarium head blight resistance and deoxynivalenol contamination. Plant Breed. 2020, 139, 251–262. [Google Scholar] [CrossRef]
- Becher, R.; Miedaner, T.; Wirsel, S.G.R. Biology, Diversity, and Management of FHB-Causing Fusarium Species in Small-Grain Cereals. In Agricultural Applications. The Mycota XI., 2nd ed.; Kempken, F., Ed.; Springer: Berlin/Heidelberg, Germany, 2013; pp. 199–241. [Google Scholar] [CrossRef]
- Venske, E.; Dos Santos, R.S.; Farias, D.D.R.; Rother, V.; Da Maia, L.C.; Pegoraro, C.; Costa de Oliveira, A. Meta-analysis of the QTLome of Fusarium head blight resistance in bread wheat: Refining the current puzzle. Front. Plant Sci. 2019, 10, 727. [Google Scholar] [CrossRef] [Green Version]
- Buerstmayr, M.; Steiner, B.; Buerstmayr, H. Breeding for Fusarium head blight resistance in wheat—Progress and challenges. Plant Breed. 2020, 139, 429–454. [Google Scholar] [CrossRef]
- Miedaner, T.; Schneider, B.; Oettler, G. Means and variances for Fusarium head blight resistance of F2–derived lines from winter triticale and winter wheat crosses. Euphytica 2006, 152, 405–411. [Google Scholar] [CrossRef]
- Oettler, G.; Heinrich, N.; Miedaner, T. Estimates of additive and dominance effects for Fusarium head blight resistance of winter triticale. Plant Breed. 2004, 123, 525–530. [Google Scholar] [CrossRef]
- Kalih, R.; Maurer, H.P.; Miedaner, T. Genetic architecture of Fusarium head blight resistance in four winter triticale populations. Phytopathology 2015, 105, 334–341. [Google Scholar] [CrossRef] [PubMed] [Green Version]
- Miedaner, T.; Akel, W.; Flath, K.; Jacobi, A.; Taylor, M.; Longin, F.; Würschum, T. Molecular tracking of multiple disease resistance in a winter wheat diversity panel. Theor. Appl. Genet. 2020, 133, 419–431. [Google Scholar] [CrossRef] [PubMed]
- Beukert, U.; Liu, G.; Thorwarth, P.; Boeven, P.H.; Longin, C.F.H.; Zhao, Y.; Ganal, M.; Serfling, A.; Ordon, F.; Reif, J.C. The potential of hybrid breeding to enhance leaf rust and stripe rust resistance in wheat. Theor. Appl. Genet. 2020, 133, 2171–2181. [Google Scholar] [CrossRef] [PubMed] [Green Version]
- Miedaner, T.; Schmid, J.E.; Flath, K.; Koch, S.; Jacobi, A.; Ebmeyer, E.; Taylor, M. A multiple disease test for field-based phenotyping of resistances to Fusarium head blight, yellow rust and stem rust in wheat. Eur. J. Plant Pathol. 2018, 151, 451–461. [Google Scholar] [CrossRef]
- Meier, U. Growth Stages of Mono- and Dicotyledonous Plants. BBCH Monograph. 2001. Available online: https://www.julius-kuehn.de/media/Veroeffentlichungen/bbch%20epaper%20en/page.pdf (accessed on 31 May 2022).
- Snijders, C.H.A.; Perkowski, J. Effects of head blight caused by Fusarium culmorum on toxin content and weight of wheat kernels. Phytopathology 1990, 80, 566–570. [Google Scholar] [CrossRef]
- Miedaner, T.; Gang, G.; Geiger, H.H. Quantitative-genetic basis of aggressiveness of 42 isolates of Fusarium culmorum for winter rye head blight. Plant Dis. 1996, 80, 500–504. [Google Scholar] [CrossRef]
- Piepho, H.P.; Möhring, J. Computing heritability and selection response from unbalanced plant breeding trials. Genetics 2007, 177, 1881–1888. [Google Scholar] [CrossRef] [Green Version]
- Fehr, W.R. Principles of Cultivar Development. Vol. 1. Theory and Technique; MacMillan Publishing Co.: New York, NY, USA, 1991. [Google Scholar]
- Emrich, K.; Wilde, F.; Miedaner, T.; Piepho, H.P. REML approach for adjusting the Fusarium head blight rating to a phenological date in inoculated selection experiments of wheat. Theor. Appl. Genet. 2008, 117, 65–73. [Google Scholar] [CrossRef]
- Rapp, M.; Lein, V.; Lacoudre, F.; Lafferty, J.; Müller, E.; Vida, G.; Bozhanova, V.; Ibraliu, A.; Thorwarth, P.; Piepho, H.P.; et al. Simultaneous improvement of grain yield and protein content in durum wheat by different phenotypic indices and genomic selection. Theor. Appl. Genet. 2018, 131, 1315–1329. [Google Scholar] [CrossRef]
- Butler, D.G.; Cullis, B.R.; Gilmour, A.R.; Gogel, B.J. ASReml-Rreference Manual. Release 3.0. Technical Report; Queensland Government, Department of Primary Industries: Queensland, Australia, 2009. Available online: https://asreml.kb.vsni.co.uk/wp-content/uploads/sites/3/ASReml-R-3-Reference-Manual.pdf (accessed on 29 June 2022).
- R Core Team. R: A Language and Environment for Statistical Computing; R Foundation for Statistical Computing: Vienna, Austria, 2018; Available online: https://cran.r-project.org/bin/windows/base/old/3.4.4/ (accessed on 30 May 2022).
- Snedecor, G.W.; Cochran, W.G. Statistical Methods, 8th ed.; Iowa State university Press: Ames, IA, USA, 1989. [Google Scholar]
- Moll, E.; Flath, K.; Tessenow, I. Bewertung der Resistenz von Getreidesortimenten Planung und Auswertung der Versuche mit Hilfe der SAS-Anwendung RESI 2. Berichte aus dem Julius Kühn-Institut 154, 2010. Available online: https://docplayer.org/127959023-Berichte-aus-dem-julius-kuehn-institut.html (accessed on 17 May 2022). (in German).
- Losert, D.; Maurer, H.P.; Marulanda, J.J.; Würschum, T. Phenotypic and genotypic analyses of diversity and breeding progress in European triticale (× Triticosecale Wittmack). Plant Breed. 2017, 136, 18–27. [Google Scholar] [CrossRef]
- Maurer, H.P.; (University of Hohenheim, State Plant Breeding Institute, Stuttgart, Germany). Personal communication, 2022.
- Falconer, D.S.; Mackay, F.C. Introduction to Quantitative Genetics, 4th ed.; Longman: New York, NY, USA, 1996. [Google Scholar]
- Schlegel, R.; Korzun, V. Genes, Markers and Linkage Data of Rye (Secale cereale L.), 11th Updated Inventory, V. 01.21, 2021. Available online: http://www.rye-gene-map.de (accessed on 25 May 2022).
- Randhawa, H.; Puchalski, B.J.; Frick, M.; Goyal, A.; Despins, T.; Graf, R.J.; Laroche, A.; Gaudet, D.A. Stripe rust resistance among western Canadian spring wheat and triticale varieties. Can. J. Plant Sci. 2012, 92, 713–722. [Google Scholar] [CrossRef] [Green Version]
- Olivera, P.D.; Pretorius, Z.A.; Badebo, A.; Jin, Y. Identification of resistance to races of Puccinia graminis f. sp. tritici with broad virulence in triticale (× Triticosecale). Plant Dis. 2013, 97, 479–484. [Google Scholar] [CrossRef] [PubMed] [Green Version]
- Galiano-Carneiro, A.L.; Boeven, P.H.; Maurer, H.P.; Würschum, T.; Miedaner, T. Genome-wide association study for an efficient selection of Fusarium head blight resistance in winter triticale. Euphytica 2019, 215, 4. [Google Scholar] [CrossRef]
- Karbarz, M.; Tyrka, M.; Woźniak-Strzembicka, A.; Czajowski, G.; Wardyńska, A.; Tyrka, D.; Pojmaj, M.; Wędzony, M. Quantitative trait loci mapping of adult-plant resistance to powdery mildew in triticale. Ann. Appl. Biol. 2020, 177, 223–231. [Google Scholar] [CrossRef]
- Dyda, M.M.; Tyrka, M.; Gołębiowska, G.; Rapacz, M.; Wędzony, M. Genetic mapping of adult-plant resistance genes to powdery mildew in triticale. J. Appl. Genet. 2022, 63, 73–86. [Google Scholar] [CrossRef]
- Moreno-Amores, J.; Michel, S.; Miedaner, T.; Longin, C.F.H.; Buerstmayr, H. Genomic predictions for Fusarium head blight resistance in a diverse durum wheat panel: An effective incorporation of plant height and heading date as covariates. Euphytica 2020, 216, 22. [Google Scholar] [CrossRef] [Green Version]
- Singh, S.J.; McIntosh, R.A. Linkage and expression of genes for resistance to leaf rust and stem rust in triticale. Genome 1990, 33, 115–118. [Google Scholar] [CrossRef]
- Gaikpa, D.S.; Koch, S.; Fromme, F.J.; Siekmann, D.; Würschum, T.; Miedaner, T. Genome-wide association mapping and genomic prediction of Fusarium head blight resistance, heading stage and plant height in winter rye (Secale cereale). Plant Breed. 2020, 139, 508–520. [Google Scholar] [CrossRef] [Green Version]
- Merrick, L.F.; Burke, A.B.; Chen, X.; Carter, A.H. Breeding with major and minor genes: Genomic selection for quantitative disease resistance. Front. Plant Sci. 2021, 12, 713667. [Google Scholar] [CrossRef]
- Watson, A.; Hickey, L.T.; Christopher, J.; Rutkoski, J.; Poland, J.; Hayes, B.J. Multivariate genomic selection and potential of rapid indirect selection with speed breeding in spring wheat. Crop Sci. 2019, 59, 1945–1959. [Google Scholar] [CrossRef] [Green Version]
Publisher’s Note: MDPI stays neutral with regard to jurisdictional claims in published maps and institutional affiliations. |
© 2022 by the authors. Licensee MDPI, Basel, Switzerland. This article is an open access article distributed under the terms and conditions of the Creative Commons Attribution (CC BY) license (https://creativecommons.org/licenses/by/4.0/).


