Innovative Wound Healing Utilizing Bioactive Fabrics Functionalized with Tormentillae rhizoma Extract: An In Vivo Study on Wistar Albino Rats
Abstract
1. Introduction
2. Materials and Methods
2.1. Tormentillae rhizoma Extract
2.1.1. Preparation of Tormentillae rhizoma Extract
2.1.2. LC/MS Analysis of Prepared Extract
2.1.3. Determination of Extract Antioxidant Activity
2.1.4. Testing the Extract Antibacterial Activity
2.2. Employing the Tormentillae rhizoma Extract for Fabric Functionalization
2.3. Fabric Characterization
2.3.1. Characterization of Studied Fabric the Aspect of Surface Morphology
2.3.2. Assessing the Fabric Surface Chemistry
2.3.3. Determination of Fabric Antioxidant Activity
2.3.4. Testing the Fabric Antibacterial Activity
2.3.5. Color Coordinates of Functionalized Fabrics
2.3.6. Studying the Release of Bioactive Compounds from Functionalized Fabrics
2.3.7. Fabric Citotoxicity
2.4. In Vivo Study
2.4.1. Animals
2.4.2. Excision Wound Model
2.4.3. Estimation of Wound-Healing Rate
particular day)/Wound area on day 0
2.4.4. Biochemical Analyses
2.4.5. Statistical Analysis
3. Results and Discussion
3.1. Characterization of the Tormentillae rhizoma Extract
| No | Compound Name | tR, min | Molecular Formula, [M–H]− | Calculated Mass, m/z | Exact Mass, m/z | Δ mDa | MS2 Fragments, (% Base Peak) | Previously Identified in Potentilla |
|---|---|---|---|---|---|---|---|---|
| Hydroxybenzoic acid derivatives | ||||||||
| 1 | Galloyl hexoside | 0.64 | C13H15O10− | 331.06707 | 331.06319 | 3.88 | 123.00812(9), 125.02257(12), 151.00226(29), 169.01253(100), 211.02216(56), 271.04288(64) | [26] |
| 2 | Dihydroxybenzoic acid | 1.01 | C7H5O4− | 153.01933 | 153.01746 | 1.87 | 109.02828(42), 123.04382(11), 153.01759(100) | [26] |
| 3 | Hydroxybenzoic acid | 1.95 | C7H5O3− | 137.02442 | 137.02291 | 1.51 | 93.03356(2), 137.02292(100) | [27] |
| 4 | Gallic acid | 2.91 | C7H5O5− | 169.01425 | 169.01175 | 2.49 | 125.02308(100), 169.01201(55) | [26] |
| 5 | Vanilloyl hexoside | 5.72 | C14H17O9− | 329.08781 | 329.08400 | 3.80 | 123.04362(5), 167.03302(100) | [28] |
| 6 | Vanillic acid | 5.92 | C8H7O4− | 167.03498 | 167.03299 | 1.99 | 108.02033(37), 152.00992(20), 167.03300(100) | [29] |
| Ellagic acid derivatives | ||||||||
| 7 | Galloyl-HHDP-hexose | 5.41 | C27H21O18− | 633.07336 | 633.06542 | 7.95 | 275.01575(7), 300.99533(100), 301.99789(8), 463.04483(15) | [30] |
| 8 | Ellagic acid galloyl-hexoside | 5.53 | C27H19O17− | 615.06280 | 615.05552 | 7.28 | 169.01228(11), 299.98767(13), 300.99530(100), 463.04620(19) | N/A |
| 9 | Ellagic acid galloyl-pentoside-hexoside | 5.55 | C39H23O16− | 747.10506 | 747.09690 | 8.16 | 169.01273(11), 299.98700(19), 300.99542(100), 433.03748(20), 463.04730(54), 615.05957(23) | N/A |
| 10 | Ellagic acid hexoside | 5.70 | C20H15O13− | 463.05181 | 463.04594 | 5.88 | 299.98755(86), 300.99527(100), 463.04608(29) | [31] |
| 11 | Ellagic acid O-pentoside-hexoside | 5.72 | C25H23O17− | 595.09410 | 595.08661 | 7.49 | 298.98083(17), 299.98828(64), 300.02390(12), 300.99493(52), 433.03528(35), 463.04620(100) | N/A |
| 12 | Ellagic acid hexuronide | 5.62 | C20H13O14− | 477.03108 | 477.02526 | 5.82 | 300.99536(100) | [31] |
| 13 | Ellagic acid pentoside | 6.00 | C19H13O12− | 433.04125 | 433.03560 | 5.65 | 299.98764(100), 300.99536(89), 433.03601(23) | [31] |
| 14 | Methylellagic acid hexuronide | 6.09 | C21H15O14− | 491.04673 | 491.04048 | 6.25 | 299.98767(36), 300.99506(4), 315.01099(100) | [31] |
| 15 | Methylellagic acid hexoside | 6.12 | C21H17O13− | 477.06746 | 477.06142 | 6.05 | 299.98776(18), 300.99579(5), 314.00336(20), 315.01108(100), 477.06030(10) | [31] |
| 16 | Ellagic acid | 6.17 | C14H5O8− | 300.99899 | 300.99539 | 3.60 | 300.99536(100), 301.99908(2) | [6] |
| 17 | Methylellagic acid pentoside | 6.44 | C20H15O12− | 447.05690 | 447.05130 | 5.60 | 299.98755(21), 314.00314(16), 315.01093(100), 447.05167(6) | [31] |
| 18 | Methylellagic acid methyl-hexuronide | 6.59 | C22H17O14− | 505.06238 | 505.05598 | 6.40 | 125.02198(3), 299.98776(24), 314.00250(16), 315.01117(100) | N/A |
| 19 | Methylellagic acid | 6.65 | C15H7O8− | 315.01464 | 315.01114 | 3.50 | 299.98761(100), 300.99118(3), 315.01108(32) | [31] |
| 20 | Dimethylellagic acid methyl-hexuronide | 7.29 | C23H21O14− | 521.09368 | 521.08778 | 5.90 | 312.99570(13), 328.01874(100), 343.04178(60) | N/A |
| 21 | Trimethylellagic acid | 7.98 | C17H11O8− | 343.04594 | 343.04116 | 4.78 | 297.97253(4), 312.99554(95), 328.01883(100) | [32] |
| Flavan-3-ol monomers, proanthocyanidins, and derivatives | ||||||||
| 22 | Catechin | 2.58 | C15H13O6− | 289.07176 | 289.06830 | 3.46 | 125.02298(64), 151.03839(36), 179.03288(33), 203.06906(67), 205.04828(54), 245.07912(100) | [32] |
| 23 | Epicatechin | 4.78 | C15H13O6− | 289.07176 | 289.06835 | 3.41 | 125.02305(64), 151.03844(36), 179.03287(34), 203.06903(74), 205.04823(48), 245.07910(100) | [33] |
| 24 | B-type proanthocyanidin trimer isomer 1 | 5.20 | C45H37O18− | 865.19856 | 865.18899 | 9.57 | 125.02308(100), 161.02263(28), 243.02736(31), 287.05273(19), 289.06848(50), 407.07166(48) | [34] |
| 25 | (Epi)afzelechin-(epi)catechin dimer isomer 1 | 5.41 | C30H25O11− | 561.14026 | 561.13376 | 6.50 | 125.02296(60), 205.04771(12), 245.07893(37), 273.07440(24), 289.06839(100), 407.07126(27) | [35] |
| 26 | A-type proanthocyanidin dimer | 5.34 | C30H23O12− | 575.11950 | 575.11292 | 6.58 | 125.02303(100), 243.02762(34), 287.05292(37), 307.05801(31), 309.03674(38), 407.07257(40) | N/A |
| 27 | B-type proanthocyanidin dimer | 5.69 | C30H25O12− | 577.13518 | 577.12758 | 7.60 | 125.02299(100), 161.02246(23), 245.07916(22), 273.03769(6), 289.06839(70), 407.07184(54) | [34] |
| 28 | (Epi)catechin vanillate | 5.72 | C23H19O9− | 439.10346 | 439.09776 | 5.70 | 125.02316(19), 149.02272(20), 167.03304(34), 205.04834(10), 245.07855(35), 289.06830(100) | N/A |
| 29 | B-type proanthocyanidin trimer isomer 2 | 5.81 | C45H37O18− | 865.19856 | 865.18895 | 9.61 | 125.02298(100), 161.02254(30), 243.02711(32), 287.05249(18), 289.06839(38), 407.07162(47) | [34] |
| 30 | (Epi)afzelechin-(epi)catechin dimer isomer 2 | 5.98 | C30H25O11− | 561.14024 | 561.13407 | 6.17 | 125.02304(63), 203.06976(20), 245.07814(42), 273.07507(15), 289.06818(100), 407.07208(29) | [35] |
| 31 | (Epi)catechin gallate | 6.41 | C22H17O10− | 441.08272 | 441.07726 | 5.46 | 125.02316(22), 169.01233(100), 245.07835(15), 289.06854(39) | [36] |
| 32 | (Epi)afzelechin-(epi)catechin dimethyl-gallate | 6.61 | C39H33O15− | 741.18251 | 741.17498 | 7.53 | 125.02348(38), 161.02313(38), 179.03326(45), 245.07938(33), 257.04230(19), 289.06891(100) | N/A |
| Flavonoid glycosides | ||||||||
| 33 | Kaempferol 3-O-pentoside | 5.44 | C20H17O10− | 417.08272 | 417.07734 | 5.38 | 284.02921(100), 285.03711(35) | [37] |
| 34 | Eriodictyol 7-O-hexoside | 5.70 | C21H21O11− | 449.10894 | 449.10337 | 5.57 | 178.99724(19), 259.05829(100), 269.04239(77), 287.05289(39) | [26] |
| 35 | Quercetin 3-O-hexoside | 6.25 | C21H19O12− | 463.08820 | 463.08188 | 6.32 | 151.00209(6), 300.02432(100), 301.03287(48) | [28] |
| 36 | Apigenin 7-O-hexuronide | 6.64 | C21H17O11− | 445.07764 | 445.07220 | 5.43 | 113.02303(16), 269.04230(100) | [28] |
| 37 | Naringenin 7-O-hexoside | 6.64 | C21H21O10− | 433.11402 | 433.10858 | 5.44 | 151.00197(14), 271.05801(100) | [33] |
| Flavonoid aglycones | ||||||||
| 38 | Eriodictyol | 7.15 | C15H11O6− | 287.05611 | 287.05283 | 3.28 | 125.02319(4), 135.04367(75), 151.00195(100) | [38] |
| 39 | Kaempferol | 7.21 | C15H9O6− | 285.04046 | 285.03722 | 3.24 | 151.00171(2), 285.03732(100) | [6] |
| 40 | Quercetin | 7.21 | C15H9O7− | 301.03538 | 301.03183 | 3.54 | 151.00201(8), 178.99640(5), 301.03174(100) | [26] |
| 41 | Naringenin | 7.57 | C15H11O5− | 271.06120 | 271.05802 | 3.18 | 107.01285(13), 119.04899(42), 151.00195(100), 177.01779(12), 271.05826(60) | [26] |
| Lignans | ||||||||
| 42 | Akequintoside A | 5.92 | C25H31O11− | 507.18719 | 507.18089 | 6.30 | 125.02307(20), 161.04350(24), 312.09692(21), 327.12024(100), 357.12720(22), 375.13983(18) | [39] |
| 43 | Hydroxypinoresinol hexoside | 6.09 | C26H31O12− | 535.18210 | 535.17537 | 6.73 | 151.03851(23), 163.03841(16), 179.07057(20), 181.04869(100), 313.10394(20), 343.11493(80) | [40] |
| 44 | Isolariciresinol pentoside (Schizandriside) | 6.41 | C25H31O10− | 491.19227 | 491.18619 | 6.08 | 179.06958(10), 326.11465(11), 341.13544(18), 344.12167(36), 359.14572(100), 476.16541(11) | N/A |
| Triterpenoids | ||||||||
| 45 | Rosamultin + HCOOH | 7.63 | C37H59O12− | 695.40124 | 695.39264 | 8.60 | 469.32675(9), 487.33685(100) | [41] |
| 46 | Fulgic acid A | 7.70 | C30H47O5− | 487.34290 | 487.33609 | 6.81 | 443.34750(3), 467.31134(5), 469.32645(30), 487.33652(100) | [35] |
| 47 | Potentillanoside E | 7.94 | C37H57O12− | 693.38555 | 693.37751 | 8.04 | 441.33197(36), 442.33533(100), 443.34079(2) | [41] |
| 48 | Potentillanoside A | 8.20 | C36H55O10− | 647.38007 | 647.37288 | 7.19 | 467.31131(11), 485.32126(100) | [41] |
| 49 | Dihydroxyolean-12-en-28-oic acid hexoside | 8.52 | C36H57O9− | 633.40081 | 633.39202 | 8.79 | 453.33130(7), 471.34201(100), 472.34573(5) | [41] |
| 50 | Rubuside A | 8.54 | C36H55O9− | 631.38516 | 631.37694 | 8.22 | 469.32651(100), 470.33093(4), | [41] |
| 51 | Ursolic acid deriv. hexoside | 8.70 | C37H59O11− | 679.40629 | 679.39877 | 7.52 | 471.34213(100) | [41] |
| 52 | Fulgic acid B | 9.09 | C30H47O5− | 487.34290 | 487.33689 | 6.01 | 425.33777(4), 469.32666(26), 487.33728(100) | [35] |
| 53 | Rosamultic acid | 9.63 | C30H45O5− | 485.32720 | 485.32104 | 6.16 | 423.32120(7), 441.33212(4), 467.31094(39), 485.32104(100) | [41] |
| 54 | Coumaroyl-tormentic acid | 10.03 | C39H53O7− | 633.37970 | 633.37238 | 7.32 | 119.04929(4), 145.02785(19), 163.03804(8), 589.38367(10), 615.36243(9), 633.37238(100) | [42] |
| 55 | Hyptadienic acid | 10.11 | C30H45O4− | 469.33233 | 469.32676 | 5.58 | 377.31641(4), 407.32709(7), 425.33566(3), 451.31641(33), 469.32684(100) | [43] |
| 56 | Ursolic acid | 11.24 | C30H47O3− | 455.35307 | 455.34764 | 5.43 | 279.22928(2), 397.22131(3), 455.34799(100) | [35] |
| Other metabolites | ||||||||
| 57 | Citric acid | 0.64 | C6H7O7− | 191.01970 | 191.01864 | 1.06 | 111.00748(100), 129.01793(9), 191.01868(9) | [43] |
| 58 | Brevifolincarboxylic acid | 5.28 | C13H7O8− | 291.01464 | 291.01134 | 3.30 | 175.03841(2), 203.03430(2), 247.02203(100) | [26] |
| 59 | Methyl brevifolincarboxylate | 5.98 | C14H9O8− | 305.03029 | 305.02661 | 3.68 | 217.01242(6), 245.0074(13), 273.00095(100) | [26] |
| 60 | Trihydroxystilbene hexoside | 6.21 | C20H21O8− | 389.12419 | 389.11885 | 5.34 | 227.06868(100) | [44] |
| 61 | Ethyl brevifolincarboxylate | 6.39 | C15H11O8− | 319.04594 | 319.04226 | 3.68 | 217.01175(4), 229.01215(3), 245.00627(14), 273.00085(100), 319.04208(10) | [43] |
| 62 | Phloridzin | 6.76 | C21H23O10− | 435.12967 | 435.12466 | 5.01 | 167.03310(92), 273.07364(100) | [33] |
| 63 | Phloretin | 7.60 | C15H13O5− | 273.07685 | 273.07352 | 3.32 | 123.04387(20), 125.02297(11), 167.03314(100), 273.07407(29) | [45] |
3.2. Efficacy of Tormentillae rhizoma Extract for Imparting Bioactive Properties and Coloration to Fabrics
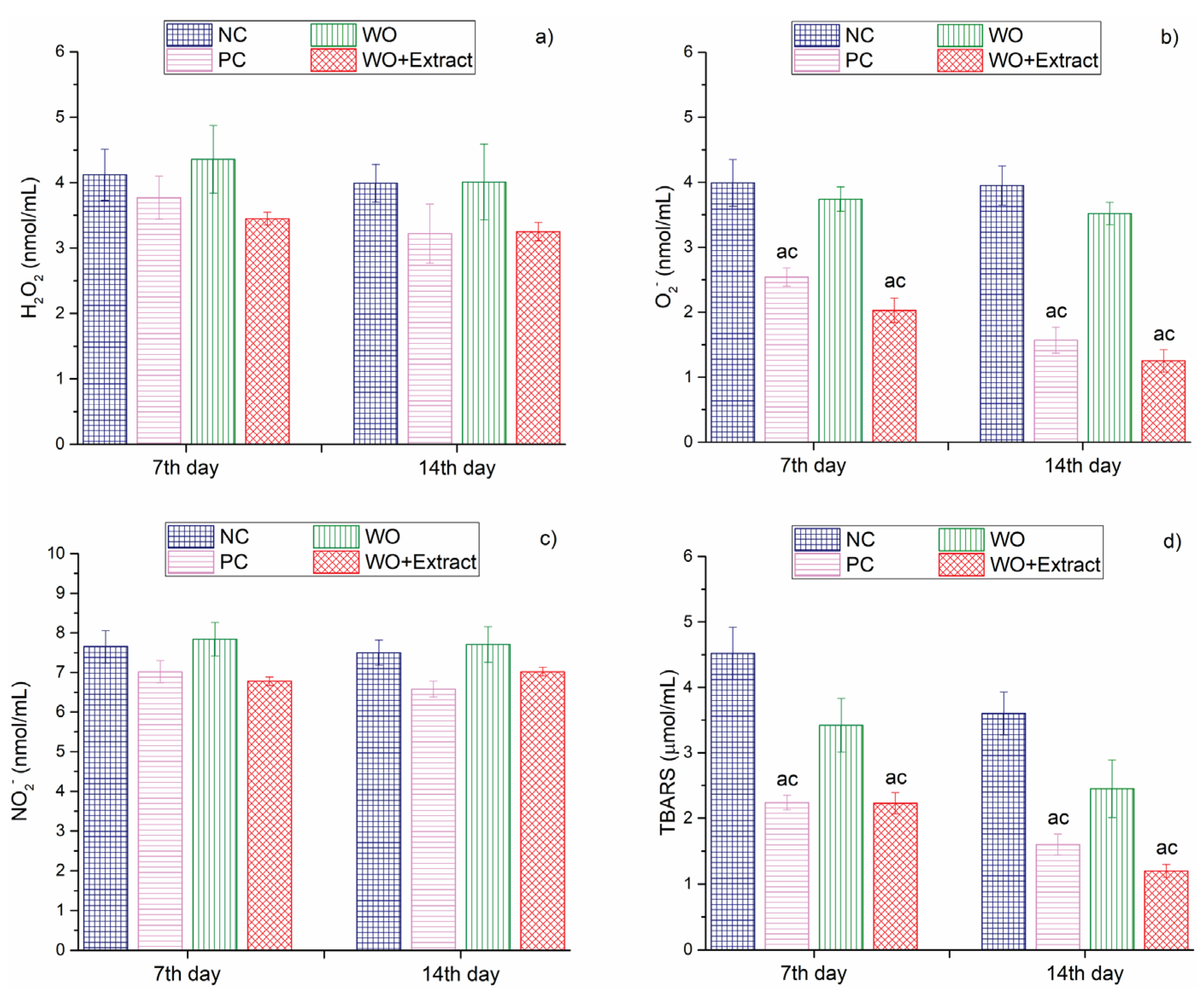
3.3. In Vivo Evaluation of WO and WO + Extract as Wound Dressings
4. Conclusions
Supplementary Materials
Author Contributions
Funding
Institutional Review Board Statement
Informed Consent Statement
Data Availability Statement
Acknowledgments
Conflicts of Interest
References
- Panwar, V.; Mondal, B.; Sharma, A.; Murugesan, P.; Arora, M.; Saini, D.; Mandal, D.; Ghosh, D. A self-powered, anti-bacterial, moist-wound dressing made with electroactive free-flowing hydrogel particles, encourage faster wound closure. Chem. Eng. J. 2024, 494, 153063. [Google Scholar] [CrossRef]
- Ruiz, P.B.O.; Lima, A.F.C. Average direct costs of outpatient, hospital, and home care provided to patients with chronic wounds. Rev. Esc. Enferm. USP 2022, 56, e20220295. [Google Scholar] [CrossRef]
- Ma, L.; Zhu, Y.; Wang, L.; Yang, Z.; Li, X.; Chen, M.; Yuan, M.; Li, W.; Ma, X.; Xiong, H.; et al. Multi-form antibacterial dressings based on a deep eutectic supramolecular polymer promote healing of burn wounds through a weakly acidic microenvironment. Chem. Eng. J. 2024, 494, 153153. [Google Scholar] [CrossRef]
- Xu, D.; Feng, Y.; Song, M.; Zhong, X.; Li, J.; Zhu, Z.; Wang, J. Smart and bioactive electrospun dressing for accelerating wound healing. Chem. Eng. J. 2024, 496, 153748. [Google Scholar] [CrossRef]
- Li, W.Z.; Wang, X.Q.; Liu, L.R.; Xiao, J.; Wang, X.Q.; Ye, Y.Y.; Wang, Z.X.; Zhu, M.Y.; Sun, Y.; Stang, P.J.; et al. Supramolecular coordination platinum metallacycle-based multilevel wound dressing for bacteria sensing and wound healing. Proc. Natl. Acad. Sci. USA 2024, 121, e2318391121. [Google Scholar] [CrossRef] [PubMed]
- Kaltalioglu, K.; Balabanli, B.; Coskun-Cevher, S. Phenolic, antioxidant, antimicrobial, and in-vivo wound healing properties of Potentilla erecta L. root extract in diabetic rats. Iran J. Pharm. Res. 2020, 19, 264–274. [Google Scholar] [CrossRef] [PubMed]
- Hoffmann, J.; Casetti, F.; Bullerkotte, U.; Haarhaus, B.; Vagedes, J.; Schempp, C.; Wölfle, U. Antiınflammatory effects of agrimoniin-enriched fractions of Potentilla erecta. Molecules 2016, 21, 792. [Google Scholar] [CrossRef]
- Melzig, M.F.; Böttger, S. Tormentillae rhizoma—Review for an underestimated European herbal drug. Planta Med. 2020, 86, 1050–1057. [Google Scholar] [CrossRef]
- Ivanovic, V.; Surucic, R.; Smitran, A.; Lazic, B.; Janjic, S.; Kostic, M. Eco-friendly functionalization of viscose with bioactive plant extracts. J. Eng. Fiber. Fabr. 2025, 20, 1–14. [Google Scholar] [CrossRef]
- Peng, Y.; Fang, Z.; Pan, S.; Lu, Z.; Ludo, S. In situ synthesis of cuprous oxide with Honeysuckle extract for developing durable antimicrobial cotton fabric. Fibers. Polym. 2025, 26, 2879–2890. [Google Scholar] [CrossRef]
- Alali, I.; Abdelaziz, M.A.; Almarri, A.H.; Eledum, H.; Mohamed, E.I.; Omer, N.; Jame, R.; Alalawy, A.I.; Althaqafy, A.D.; Khalil, S.A. Multifunctional cotton wound dressings enhanced with bitter apple fruit extract-loaded solid lipid nanoparticles for antimicrobial, antioxidant, and anticancer activities. Int. J. Biol. Macromol. 2025, 319, 145529. [Google Scholar] [CrossRef]
- Ivanovska, A.; Savić, I.; Vunduk, J.; Lađarević, J.; Reljić, M.; Savić Gajić, I. Evaluation of the potential of Ganoderma lucidum extract for dyeing and imparting protective properties to fabrics of various chemical compositions. Color. Technol. 2025, in press. [CrossRef]
- Stojković, D.; Gašić, U.; Uba, A.I.; Zengin, G.; Rajaković, M.; Stevanović, M.; Drakulić, D. Chemical profiling of Anthriscus cerefolium (L.) Hoffm. biological potential of the herbal extract, molecular modeling and KEGG pathway analysis. Fitoterapia 2024, 177, 106115. [Google Scholar] [CrossRef] [PubMed]
- Pavun, L.; Spasojević, D.; Ivanovska, A.; Lađarević, J.; Milenković, M.; Uskoković-Marković, S. Characterization of tea water extracts and their utilization for dyeing and functionalization of fabrics of different chemical compositions. Maced. J. Chem. Chem. Eng. 2024, 42, 263–273. [Google Scholar] [CrossRef]
- Ivanovska, A.; Milenković, J.; Lađarević, J.; Mihajlovski, K.; Dojčinović, B.; Ugrinović, V.; Škaro Bogojević, S.; Kostić, M. Harnessing the power of green and rooibos tea aqueous extracts for obtaining colored bioactive cotton and cotton/flax fabrics intended for disposable and reusable medical textiles. Cellulose 2024, 31, 9523–9542. [Google Scholar] [CrossRef]
- Ivanovska, A.; Gajić, I.S.; Lađarević, J.; Milošević, M.; Savić, I.; Mihajlovski, K.; Kostić, M. Sustainable Dyeing and Functionalization of Different Fibers Using Orange Peel Extract’s Antioxidants. Antioxidants 2022, 11, 2059. [Google Scholar] [CrossRef]
- Ivanovska, A.; Veljović, S.; Reljić, M.; Lađarević, J.; Pavun, L.; Kostić, M. Closing the loop: Dyeing and adsorption potential of mulberry wood waste. J. Nat. Fibers 2022, 19, 11050–11063. [Google Scholar] [CrossRef]
- ASTM E2149-20; Standard Test Method for Determining the Antimicrobial Activity of Antimicrobial Agents Under Dynamic Contact Conditions. ASTM International: West Conshohocken, PA, USA, 2020.
- AATCC 100-2019; Antibacterial Finishes on Textile Materials. AATCC: Research Triangle Park, NC, USA, 2019.
- Ivanovska, A.; Petrović, A.; Lazarević-Pašti, T.; Ilic-Tomic, T.; Dimić-Mišić, K.; Lađarević, J.; Bradić, J. Development of bioactive cotton, wool, and silk fabrics functionalized with Origanum vulgare L. for healthcare and medical applications: An in vivo study. Pharmaceutics 2025, 17, 856. [Google Scholar] [CrossRef]
- Gul Satar, N.Y.; Cangul, I.T.; Topal, A.; Kurt, H.; Ipek, V.; Onel, G.I. The effects of Tarantula cubensis venom on open wound healing in rats. J. Wound Care 2017, 26, 66–71. [Google Scholar] [CrossRef]
- Andjić, M.; Draginić, N.; Kočović, A.; Jeremić, J.; Vučićević, K.; Jeremić, N.; Krstonošić, V.; Božin, B.; Kladar, N.; Čapo, I.; et al. Immortelle essential oil-based ointment improves wound healing in a diabetic rat model. Biomed. Pharmacother. 2022, 150, 112941. [Google Scholar] [CrossRef]
- Patro, G.; Bhattamisra, S.K.; Mohanty, B.K.; Sahoo, H.B. In vitro and in vivo antioxidant evaluation and estimation of total phenolic, flavonoidal content of Mimosa pudica L. Pharmacogn. Res. 2016, 8, 22–28. [Google Scholar] [CrossRef] [PubMed]
- Bhuyan, U.; Handique, J.G. Chapter 6—Plant polyphenols as potent antioxidants: Highlighting the mechanism of antioxidant activity and synthesis/development of some polyphenol conjugates. In Studies in Natural Products Chemistry; Atta-ur-Rahman, F.R.S., Ed.; Elsevier: Amsterdam, The Netherlands, 2022; pp. 243–266. [Google Scholar]
- Lobiuc, A.; Pavăl, N.-E.; Mangalagiu, I.I.; Gheorghiță, R.; Teliban, G.-C.; Amăriucăi-Mantu, D.; Stoleru, V. Future antimicrobials: Natural and functionalized phenolics. Molecules 2023, 28, 1114. [Google Scholar] [CrossRef] [PubMed]
- Zhang, Y.; Li, J.; Wang, Z.; Wu, J.; Zuo, W.; Liu, L.; Zeng, Y. Extraction of polyphenols from Potentilla fruticosa L. as α-glucosidase inhibitors. CyTA-J. Food. 2023, 21, 514–521. [Google Scholar] [CrossRef]
- Dróżdż, P.; Sentkowska, A.; Pyrzynska, K. Potentilla erecta (L.) rhizomes as a source of phenolic acids. Nat. Prod. Res. 2019, 33, 2128–2131. [Google Scholar] [CrossRef]
- Song, C.; Huang, L.; Rong, L.; Zhou, Z.; Peng, X.; Yu, S.; Fang, N. Anti-hyperglycemic effect of Potentilla discolor decoction on obese-diabetic (Ob-db) mice and its chemical composition. Fitoterapia 2012, 83, 1474–1483. [Google Scholar] [CrossRef]
- Radojević, I.D.; Branković, S.R.; Vasić, S.M.; Ćirić, A.R.; Topuzović, M.D.; Čomić, L.R. Phytochemical profiles, antioxidant and antimicrobial with antibiofilm activities of wild growing Potentilla visianii extracts. Nat. Prod. Commun. 2018, 13, 851–854. [Google Scholar] [CrossRef]
- Augustynowicz, D.; Lemieszek, M.K.; Strawa, J.W.; Wiater, A.; Tomczyk, M. Phytochemical profiling of extracts from rare Potentilla species and evaluation of their anticancer potential. Int. J. Mol. Sci. 2023, 24, 4836. [Google Scholar] [CrossRef]
- Fecka, I.; Kucharska, A.Z.; Kowalczyk, A. Quantification of tannins and related polyphenols in commercial products of tormentil (Potentilla tormentilla). Phytochem. Anal. 2015, 26, 353–366. [Google Scholar] [CrossRef]
- Zhang, B.; He, Z.-L.; Jiang, L.; Kuang, W.-M.; Liu, J.; Sun, X.; Li, Y.-J.; Li, Y. Chemical constituents from Potentilla kleiniana and their chemotaxonomic significance. Biochem. Syst. Ecol. 2023, 111, 104740. [Google Scholar] [CrossRef]
- Yang, D.; Wang, L.; Zhai, J.; Han, N.; Liu, Z.; Li, S.; Yin, J. Characterization of antioxidant, α-glucosidase and tyrosinase inhibitors from the rhizomes of Potentilla anserina L. and their structure-activity relationship. Food Chem. 2021, 336, 127714. [Google Scholar] [CrossRef]
- Mirzaei, H.; Jekő, J.; Cziáky, Z.; Jahanshahi, M.; Zengin, G.; Enayati, A. LC–MS/MS phytochemical profiling, antioxidant activity, and enzyme inhibitory of Potentilla reptans L. root: Computational studies and experimental validation. Process Biochem. 2024, 137, 30–40. [Google Scholar] [CrossRef]
- Choudhary, A.; Radhika, M.; Chatterjee, A.; Banerjee, U.C.; Singh, I.P. Qualitative and quantitative analysis of Potentilla fulgens roots by NMR, matrix-assisted laser desorption/ionisation with time-of-flight MS, electrospray ionisation MS/MS and HPLC/UV. Phytochem. Anal. 2015, 26, 161–170. [Google Scholar] [CrossRef] [PubMed]
- Cheng, D.; Wang, P.; Huang, J.; Yang, B.; Ma, M.; Yu, P.; Zeng, Z.; Gong, D.; Deng, S. Antioxidant, antidiabetic and identification of phenolic constituents from Potentilla discolor Bge. Eur. Food. Res. Technol. 2020, 246, 2007–2016. [Google Scholar] [CrossRef]
- Du, M.; Sun, Z.; Xie, M.; Gu, S.; Chena, Y.; Wang, Q. A new method for rapid identification of traditional Chinese medicine based on a new silver sol: Using the SERS spectrum for quality control of flavonoids and flavonoid glycosides in Potentilla discolor Bge. J. Mater. Chem. C 2023, 11, 15138–15148. [Google Scholar] [CrossRef]
- Wollenweber, E.; Dörr, M. Flavonoid aglycones from the lipophilic exudates of some species of Rosaceae. Biochem. Syst. Ecol. 2008, 36, 481–483. [Google Scholar] [CrossRef]
- Wang, W.; Ma, X.-J.; Su, Y.-F.; Gao, Z.-J.; Qin, T.; Gao, B.; Guo, D.-A. Two new neolignans and one new benzyl benzoate glycoside from Potentilla discolor. Phytochem. Lett. 2020, 39, 25–29. [Google Scholar] [CrossRef]
- Jia, L.; Wang, J.; Lv, C.; Xu, T.; He, L.; Dong, Y.; Lu, J. Two new compounds from Potentilla multicaulis Bunge. Nat. Prod. Res. 2013, 27, 1361–1365. [Google Scholar] [CrossRef]
- Wu, J.; Zhang, Z.-Q.; Zhou, X.-D.; Yao, Q.-Y.; Chen, Z.-L.; Chu, L.-L.; Yu, H.-H.; Yang, Y.-P.; Li, B.; Wang, W. New terpenoids from Potentilla freyniana Bornm. and their cytotoxic activities. Molecules 2022, 27, 3665. [Google Scholar] [CrossRef]
- Han, J.S.; Kim, J.G.; Phuong, T.; Le, L.; Cho, Y.B.; Lee, M.K.; Hwang, B.Y. Pentacyclic triterpenes with nitric oxide inhibitory activity from Potentilla chinensis. Bioorg. Chem. 2021, 108, 104659. [Google Scholar] [CrossRef]
- Wu, X.-H.; Ruan, J.-L.; Cai, Y.-L. Triterpenes from the rhizomes of Potentilla freyniana. Biochem. Syst. Ecol. 2009, 37, 509–511. [Google Scholar] [CrossRef]
- Li, R.; Zhou, Y.; Yang, L.; Jiang, Z. Determination of flavonoids from Potentilla freyninan by HPLC-MS/MS. Food. Sci. 2013, 14, 263–266. [Google Scholar] [CrossRef]
- Hoffmann, T.; Friedlhuber, R.; Steinhauser, C.; Tittel, I.; Skowranek, K.; Schwab, W.; Fischer, T.C. Histochemical screening, metabolite profiling and expression analysis reveal Rosaceae roots as the site of flavan-3-ol biosynthesis. Plant Biol. 2021, 14, 33–40. [Google Scholar] [CrossRef] [PubMed]
- Maksimovic, S.; Stankovic, M.; Roganovic, S.; Nesic, I.; Zvezdanovic, J.; Tadic, V.; Zizovic, I. Towards a modern approach to traditional use of Helichrysum italicum in dermatological conditions: In vivo testing supercritical extract on artificially irritated skin. J. Ethnopharmacol. 2023, 301, 115779. [Google Scholar] [CrossRef] [PubMed]
- El-Sherbeni, S.A.; Negm, W.A. The wound healing effect of botanicals and pure natural substances used in in vivo models. Inflammopharmacology 2023, 31, 755–772. [Google Scholar] [CrossRef]
- Wang, G.; Yang, F.; Zhou, W.; Xiao, N.; Luo, M.; Tang, Z. The initiation of oxidative stress and therapeutic strategies in wound healing. Biomed. Pharmacother. 2023, 157, 114004. [Google Scholar] [CrossRef]
- Comino-Sanz, I.M.; López-Franco, M.D.; Castro, B.; Pancorbo-Hidalgo, P.L. The role of antioxidants on wound healing: A Review of the current evidence. J. Clin. Med. 2021, 13, 3558. [Google Scholar] [CrossRef]
- So, V.; Poul, P.; Oeung, S.; Srey, P.; Mao, K.; Ung, H.; Eng, P.; Heim, M.; Srun, M.; Chheng, C.; et al. Bioactive compounds, antioxidant activities, and HPLC analysis of nine edible sprouts in Cambodia. Molecules 2023, 28, 2874. [Google Scholar] [CrossRef]
- Yan, Z.; Zhong, Y.; Duan, Y.; Chen, Q.; Li, F. Antioxidant mechanism of tea polyphenols and its impact on health benefits. Anim. Nutr. 2020, 6, 115–123. [Google Scholar] [CrossRef]
- Pang, Q.; Yang, F.; Jiang, Z.; Wu, K.; Hou, R.; Zhu, Y. Smart wound dressing for advanced wound management: Real-time monitoring and on-demand treatment. Mater. Des. 2023, 229, 111917. [Google Scholar] [CrossRef]
- Petkovska, J.; Geskovski, N.; Marković, D.; Dimova, V.; Mirakovski, D.; Radetić, M.; Jordanov, I. Chitosan-pectin multilayer coating with anthocyanin grape dye as pH indicating wound dressing: Synthesis and characterization. Carbohyd. Polym. Tech. 2024, 7, 100438. [Google Scholar] [CrossRef]
- Georgescu, M.; Chifiriuc, M.C.; Marutescu, L.; Gheorghe, I.; Lazar, V.; Bolocan, A.; Bertesteanu, S. Bioactive wound dressings for the management of chronic wounds. Curr. Org. Chem. 2017, 21, 53–63. [Google Scholar] [CrossRef]
- Marković, D.; Ašanin, J.; Nunney, T.; Radovanović, Ž.; Radoičić, M.; Mitrić, M.; Mišić, D.; Radetić, M. Broad spectrum of antimicrobial activity of cotton fabric modified with oxalic acid and CuO/Cu2O nanoparticles. Fibers Polym. 2019, 20, 2317–2325. [Google Scholar] [CrossRef]
- Korica, M.; Peršin, Z.; Fras Zemljič, L.; Mihajlovski, K.; Dojčinović, B.; Trifunović, S.; Vesel, A.; Nikolić, T.; Kostić, M.M. Chitosan nanoparticles functionalized viscose fabrics as potentially durable antibacterial medical textiles. Materials 2021, 14, 3762. [Google Scholar] [CrossRef] [PubMed]
- ISO 10993-5:2009; Biological Evaluation of Medical Devices—Part 5: Tests for In Vitro Cytotoxicity. International Organization for Standardization (ISO): Geneva, Switzerland, 2009.
- Ivanovska, A.; Savić Gajić, I.; Mravik, Ž.; Reljić, M.; Ilić-Tomić, T.; Savić, I.; Luxbacher, T.; Lađarević, J. Transforming discarded walnut green husk into a resource of valuable compounds for colored bioactive textiles with a focus on circular economy concept. Dyes Pigment. 2024, 231, 112406. [Google Scholar] [CrossRef]
- Qi, Q.; Chu, M.; Yu, X.; Xie, Y.; Li, Y.; Du, Y.; Liu, X.; Zhang, Z.; Shi, J.; Yan, N. Anthocyanins and proanthocyanidins: Chemical structures, food sources, bioactivities, and product development. Food Rev. Int. 2022, 39, 4581–4609. [Google Scholar] [CrossRef]
- Levinson, H. A paradigm of fibroblast activation and dermal wound contraction to guide the development of therapies for chronic wounds and pathologic scars. Adv. Wound. Care 2013, 2, 149–159. [Google Scholar] [CrossRef]
- Fitzpatrick, P.F. Structural insights into the regulation of aromatic amino acid hydroxylation. Curr. Opin. Struct. Biol. 2015, 35, 1–6. [Google Scholar] [CrossRef]
- Guimarães, I.; Baptista-Silva, S.; Pintado, M.L.; Oliveira, A. Polyphenols: A promising avenue in therapeutic solutions for wound care. Appl. Sci. 2021, 11, 1230. [Google Scholar] [CrossRef]
- Mathew-Steiner, S.S.; Roy, S.; Sen, C.K. Collagen in wound Healing. Bioengineering 2021, 8, 63. [Google Scholar] [CrossRef]
- Karas, R.A.; Alexeree, S.; Elsayed, H.; Attia, Y.A. Assessment of wound healing activity in diabetic mice treated with a novel therapeutic combination of selenium nanoparticles and platelets rich plasma. Sci. Rep. 2024, 14, 5346. [Google Scholar] [CrossRef]
- Younus, H. Therapeutic potentials of superoxide dismutase. Int. J. Health Sci. 2018, 12, 88–93. [Google Scholar]
- Wang, Y.; Branicky, R.; Noë, A.; Hekimi, S. Superoxide dismutases: Dual roles in controlling ROS damage and regulating ROS signaling. J. Cell Biol. 2018, 217, 1915–1928. [Google Scholar] [CrossRef]
- Song, J.; Kang, S.M.; Lee, W.T.; Park, K.A.; Lee, K.M.; Lee, J.E. Glutathione protects brain endothelial cells from hydrogen peroxide-induced oxidative stress by increasing nrf2 expression. Exp. Neurobiol. 2014, 23, 93–103. [Google Scholar] [CrossRef] [PubMed]
- Kim, T.; Song, B.; Cho, K.S.; Lee, I.S. Therapeutic potential of volatile terpenes and terpenoids from forests for inflammatory diseases. Int. J. Mol. Sci. 2020, 21, 2187. [Google Scholar] [CrossRef] [PubMed]
- Feng, J.; Wang, J.; Wang, Y.; Huang, X.; Shao, T.; Deng, X.; Cao, Y.; Zhou, M.; Zhao, C. Oxidative stress and lipid peroxidation: Prospective associations between ferroptosis and delayed wound healing in diabetic ulcers. Front. Cell Dev. Biol. 2022, 10, 898657. [Google Scholar] [CrossRef] [PubMed]
- Ahmad, S.U.; Binti Aladdin, N.A.; Jamal, J.A.; Shuid, A.N.; Mohamed, I.N. Evaluation of wound-healing and antioxidant effects of Marantodes pumilum (Blume) Kuntze in an excision wound model. Molecules 2021, 26, 228. [Google Scholar] [CrossRef]
- Rasik, A.M.; Shukla, A. Antioxidant status in delayed healing type of wounds. Int. J. Exp. Pathol. 2000, 81, 257–263. [Google Scholar] [CrossRef]
- Nikolic, M.; Andjic, M.; Bradic, J.; Kocovic, A.; Tomovic, M.; Samanovic, A.M.; Jakovljevic, V.; Veselinovic, M.; Capo, I.; Krstonosic, V.; et al. Topical application of siberian pine essential oil formulations enhance diabetic wound healing. Pharmaceutics 2023, 15, 2437. [Google Scholar] [CrossRef]
- Cano, S.M.; Lancel, S.; Boulanger, E.; Neviere, R. Targeting oxidative stress and mitochondrial dysfunction in the treatment of impaired wound healing: A systematic review. Antioxidants 2018, 7, 98. [Google Scholar] [CrossRef]
- Ponugoti, B.; Xu, F.; Zhang, C.; Tian, C.; Pacios, S.; Graves, D.T. FOXO1 promotes wound healing through the up-regulation of TGF-beta1 and prevention of oxidative stress. J. Cell Biol. 2013, 203, 327–343. [Google Scholar] [CrossRef]
- Dunnill, C.; Patton, T.; Brennan, J.; Barrett, J.; Dryden, M.; Cooke, J.; Leaper, D. Reactive oxygen species (ROS) and wound healing: The functional role of ROS and emerging ROS-modulating technologies for augmentation of the healing process. Int. Wound J. 2017, 14, 89–96. [Google Scholar] [CrossRef]
- Qiu, X.; Wu, Y.; Zhang, D.; Zhang, H.; Yu, A.; Li, Z. Roles of oxidative stress and raftlin in wound healing under negative-pressure wound therapy. Clin. Cosmet. Investig. Dermatol. 2021, 14, 1745–1753. [Google Scholar] [CrossRef]












| Fabrics | E. coli, % | S. aureus, % |
|---|---|---|
| CO | 0 | 0 |
| CO + Extract | 99.26 | 99.97 |
| WO | 0 | 0 |
| WO + Extract | 99.99 | 99.87 |
| PA | 0 | 0 |
| PA + Extract | 99.99 | 99.99 |
| CA | 0 | 0 |
| CA + Extract | 0 | 34.70 |
| Fabrics | L* | a* | b* |
|---|---|---|---|
| CO + Extract | 83.57 | 5.59 | 15.27 |
| WO + Extract | 77.21 | 7.00 | 21.91 |
| PA + Extract | 79.55 | 5.11 | 14.67 |
| CA + Extract | 88.04 | 2.02 | 14.71 |
Disclaimer/Publisher’s Note: The statements, opinions and data contained in all publications are solely those of the individual author(s) and contributor(s) and not of MDPI and/or the editor(s). MDPI and/or the editor(s) disclaim responsibility for any injury to people or property resulting from any ideas, methods, instructions or products referred to in the content. |
© 2025 by the authors. Licensee MDPI, Basel, Switzerland. This article is an open access article distributed under the terms and conditions of the Creative Commons Attribution (CC BY) license (https://creativecommons.org/licenses/by/4.0/).
Share and Cite
Ivanovska, A.; Bradić, J.; Gašić, U.; Nikolić, F.; Mihajlovski, K.; Jakovljević, V.; Petrović, A. Innovative Wound Healing Utilizing Bioactive Fabrics Functionalized with Tormentillae rhizoma Extract: An In Vivo Study on Wistar Albino Rats. Textiles 2025, 5, 46. https://doi.org/10.3390/textiles5040046
Ivanovska A, Bradić J, Gašić U, Nikolić F, Mihajlovski K, Jakovljević V, Petrović A. Innovative Wound Healing Utilizing Bioactive Fabrics Functionalized with Tormentillae rhizoma Extract: An In Vivo Study on Wistar Albino Rats. Textiles. 2025; 5(4):46. https://doi.org/10.3390/textiles5040046
Chicago/Turabian StyleIvanovska, Aleksandra, Jovana Bradić, Uroš Gašić, Filip Nikolić, Katarina Mihajlovski, Vladimir Jakovljević, and Anica Petrović. 2025. "Innovative Wound Healing Utilizing Bioactive Fabrics Functionalized with Tormentillae rhizoma Extract: An In Vivo Study on Wistar Albino Rats" Textiles 5, no. 4: 46. https://doi.org/10.3390/textiles5040046
APA StyleIvanovska, A., Bradić, J., Gašić, U., Nikolić, F., Mihajlovski, K., Jakovljević, V., & Petrović, A. (2025). Innovative Wound Healing Utilizing Bioactive Fabrics Functionalized with Tormentillae rhizoma Extract: An In Vivo Study on Wistar Albino Rats. Textiles, 5(4), 46. https://doi.org/10.3390/textiles5040046

