Functionalization of Technical Textiles with Chitosan
Abstract
1. Introduction
2. Materials and Methods
2.1. Textiles
2.2. Textile Finishing
2.2.1. Chitosan Dispersion
2.2.2. Silane Hydrolyzation
2.2.3. One-Step Procedure for Application of Chitosan and Silane
2.2.4. Two-Step Procedure for Application of Chitosan and Silane
2.3. Dyeing
2.4. Washing
2.5. Analytics
2.5.1. Viscosity
2.5.2. Thickness Measurement
2.5.3. Air Permeability
2.5.4. Microscopy
2.5.5. UV-Vis Spectroscopy
2.5.6. TEGEWA Drop-Test
3. Results and Discussion
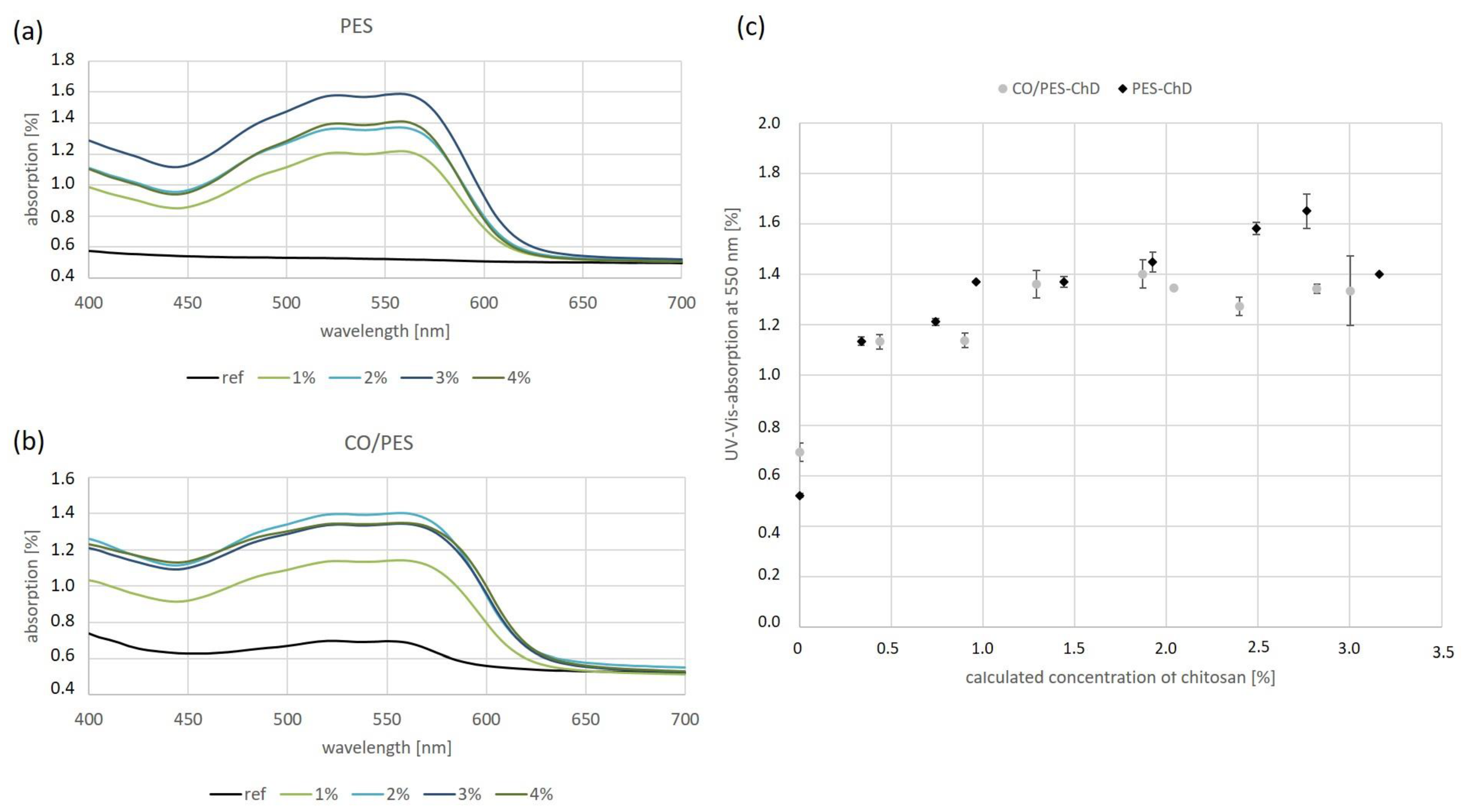
3.1. Different Concentrations of Chitosan
3.1.1. SEM/EDS Analysis
3.1.2. Dyeing with Remazol Brilliant Red F3B
3.2. Different Application Methods of Chitosan and Addition of Silanes
3.2.1. SEM/EDS Analysis
3.2.2. Dyeing with Remazol Brilliant Red F3B
3.2.3. Water Uptake
4. Conclusions
Author Contributions
Funding
Data Availability Statement
Acknowledgments
Conflicts of Interest
References
- Singh, M.K. Textiles functionalization-a review of materials, processes, and assessment. In Textiles for Functional Application; Kumar, B., Ed.; IntechOpen: London, UK, 2021; Volume 43. [Google Scholar] [CrossRef]
- Joseph, P.; Tretsiakova-McNally, S. Chemical modification of natural and synthetic textile fibres to improve flame retardancy. In Handbook of Fire Resistant Textiles; Kilinc, F.S., Ed.; Woodhead Publishing: Camebridge, UK, 2013; Volume 140, pp. 37–67. [Google Scholar]
- Saleh, N.S.; Khaffaga, M.M.; Ali, N.M.; Hassan, M.S.; El-Naggar, A.W.M.; Rabi, A.G.M. Antibacterial functionalization of cotton and cotton/polyester fabrics applying hybrid coating of copper/chitosan nanocomposites loaded polymer blends via gamma irradiation. Int. J. Biol. Macromol. 2021, 183, 23–34. [Google Scholar] [CrossRef]
- Guimond, S.; Hanselmann, B.; Amberg, M.; Hegemann, D. Plasma functionalization of textiles: Specifics and possibilities. Pure Appl. Chem. 2010, 82, 1239–1245. [Google Scholar] [CrossRef][Green Version]
- Kappes, R.S.; Urbainczyk, T.; Artz, U.; Textor, T.; Gutmann, J.S. Flame retardants based on amino silanes and phenylphosphonic acid. Polym. Degrad. Stab. 2016, 129, 168–179. [Google Scholar] [CrossRef]
- Ragab, M.M.; Hassabo, A.G. Various uses of natural plants extracts for functionalization textile based materials. J. Text. Color. Polym. Sci. 2021, 18, 143–158. [Google Scholar] [CrossRef]
- Singh, M.; Vajpayee, M.; Ledwani, L. Eco-friendly surface modification and nanofinishing of textile polymers to enhance functionalisation. In Nanotechnology for Energy and Environmental Engineering; Springer: Cham, Switzerland, 2020; pp. 529–559. [Google Scholar] [CrossRef]
- Yılmaz, F.; Aydınlıoğlu, Ö.; Benli, H.; Gültepe, G.; Bahtiyari, M.İ. Natural functionalisation of a traditional textile “Ehram”. Color. Technol. 2023, 139, 182–189. [Google Scholar] [CrossRef]
- Zhou, B.C.E.; Kan, C.W.; Sun, C.; Du, J.; Xu, C. A review of chitosan textile applications. AATCC J. Res. 2019, 6 (Suppl. S1), 8–14. [Google Scholar] [CrossRef]
- Butola, B.S. Recent advances in chitosan polysaccharide and its derivatives in antimicrobial modification of textile materials. Int. J. Biol. Macromol. 2019, 121, 905–912. [Google Scholar] [CrossRef]
- Grgac, S.F.; Tarbuk, A.; Dekanić, T.; Sujka, W.; Draczynski, Z. The Chitosan Implementation into Cotton and Polyester/Cotton Blend Fabrics. Materials 2020, 13, 1616. [Google Scholar] [CrossRef]
- Hoque, M.T.; Benrui, T.; Grethe, T.; Mahltig, B. Evaluation of chitosan based pretreatment for cotton and linen dyeing with direct dyes and reactive dyes. Commun. Dev. Assem. Text. Prod. 2023, 4, 187–200. [Google Scholar] [CrossRef]
- No, H.K.; Meyers, S.P. Preparation and characterization of chitin and chitosan—A review. J. Aquat. Food Prod. Technol. 1995, 4, 27–52. [Google Scholar] [CrossRef]
- Kou, S.G.; Peters, L.M.; Mucalo, M.R. Chitosan: A review of sources and preparation methods. Int. J. Biol. Macromol. 2021, 169, 85–94. [Google Scholar] [CrossRef]
- Kumari, S.; Kishor, R. Chitin and chitosan: Origin, properties, and applications. In Handbook of Chitin and Chitosan; Gopi, S., Thomas, S., Pius, A., Eds.; Elsevier: Amsterdam, The Netherlands, 2020; Volume 1, pp. 1–34. [Google Scholar]
- Sharaf, S.; Opwis, K.; Knittel, D.; Gutmann, J.S. Comparative investigations on the efficiency of different anchoring chemicals for the permanent finishing of cotton with chitosan. AUTEX Res. J. 2011, 11, 71–77. [Google Scholar] [CrossRef]
- Fouda, M.M.; Wittke, R.; Knittel, D.; Schollmeyer, E. Use of chitosan/polyamine biopolymers based cotton as a model system to prepare antimicrobial wound dressing. Int. J. Diabetes Mellit. 2009, 1, 61–64. [Google Scholar] [CrossRef][Green Version]
- Haufe, H.; Thron, A.; Fiedler, D.; Mahltig, B.; Böttcher, H. Biocidal nanosol coatings. Surf. Coat. Int. Part B Coat. Trans. 2005, 88, 55–60. [Google Scholar] [CrossRef]
- Chen, G.; Haase, H.; Mahltig, B. Chitosan-modified silica sol applications for the treatment of textile fabrics: A view on hydrophilic, antistatic and antimicrobial properties. J. Sol-Gel Sci. Technol. 2019, 91, 461–470. [Google Scholar] [CrossRef]
- Abdel-Halim, E.S.; Abdel-Mohdy, F.A.; Al-Deyab, S.S.; El-Newehy, M.H. Chitosan and monochlorotriazinyl-β-cyclodextrin finishes improve antistatic properties of cotton/polyester blend and polyester fabrics. Carbohydr. Polym. 2010, 82, 202–208. [Google Scholar] [CrossRef]
- Zargar, V.; Asghari, M.; Dashti, A. A review on chitin and chitosan polymers: Structure, chemistry, solubility, derivatives, and applications. ChemBioEng Rev. 2015, 2, 204–226. [Google Scholar] [CrossRef]
- Qin, C.; Li, H.; Xiao, Q.; Liu, Y.; Zhu, J.; Du, Y. Water-solubility of chitosan and its antimicrobial activity. Carbohydr. Polym. 2006, 63, 367–374. [Google Scholar] [CrossRef]
- Hong, K.H. Preparation and properties of cotton fabrics dyed by Aronia (Aronia melanocarpa) extract and chitosan. Fash. Text. 2023, 10, 14. [Google Scholar] [CrossRef]
- Hilal, N.M.; Gomaa, S.H.; ELsisi, A.A. Improving Dyeing Parameters of Polyester/Cotton Blended Fabrics by Caustic Soda, Chitosan, and Their Hybrid. Egypt. J. Chem. 2020, 63, 2379–2393. [Google Scholar] [CrossRef]
- Najafzadeh, N.; Habibi, S.; Ghasri, M.A. Dyeing of Polyester with Reactive Dyestuffs Using Nano-Chitosan. J. Eng. Fibers Fabr. 2018, 13, 47–51. [Google Scholar] [CrossRef]
- Hunger, K. (Ed.) Industrial Dyes–Chemistry, Properties, Applications; Wiley-VCH: Weinheim, Germany, 2003; p. 4ff. [Google Scholar]
- Muralidharan, B.; Laya, S. A New Approach to Dyeing of 80:20 Polyester/Cotton Blended Fabric Using Disperse and Reactive Dyes. ISRN Mater. Sci. 2011, 2011, 90749. [Google Scholar] [CrossRef]
- Hoque, M.-T.; Klinkhammer, K.; Mahltig, B. HT process for treatment of PET fabrics with chitosan containing recipes. Commun. Dev. Assem. Text. Prod. 2023, 4, 222–230. [Google Scholar] [CrossRef]
- Al-Bahra, M.M. Darstellung von Chitinderivaten zur Antimikrobiellen Ausrüstung von Textilien. Ph.D. Dissertation, RWTH Aachen University, Aachen, Germany, 2004. [Google Scholar]
- Schmidt, G.; Wurster, P. Der TEGEWA-Tropftest–eine Methode zur schnellen Bestimmung der Saugfähigkeit an textilen Flächengebilden. Melliand Textilberichte 1987, 68, 581–583. [Google Scholar]
- Hohenbild, H. Evaluation Quantitativer Nachweismethoden von Chitosan auf Textilien aus Baumwolle und Polyester. Master’s Thesis, Niederrhein University of Applied Sciences, Mönchengladbach, Germany, 2023. [Google Scholar]
- Huang, L.; Xiao, L.; Yang, G. Chitosan Application in Textile Processing. Curr. Trends Fash. Technol. Text. Eng. 2018, 4, 555635. [Google Scholar] [CrossRef]
- Ristic, N.; Jovancic, P.; Canal, C.; Jocic, D. One-bath One-dye Class Dyeing of PES/Cotton Blends after Corona and Chitosan Treatment. Fibers Polym. 2009, 10, 466–475. [Google Scholar] [CrossRef]
- Roy, M.N.; Hossain, M.T.; Hasan, M.Z.; Islam, K.; Rokonuzzaman, M.; Islam, M.A.; Khandaker, S.; Bashar, M.M. Adsorption, Kinetics and Thermodynamics of Reactive Dyes on Chitosan Treated Cotton Fabric. Text. Leather Rev. 2023, 6, 211–232. [Google Scholar] [CrossRef]
- Pušić, T.; Kaurin, T.; Liplin, M.; Budimir, A.; Čurlin, M.; Grgić, K.; Sutlović, A.; Volmajer Valh, J. The Stability of the Chitosan Coating on Polyester Fabric in the Washing Process. Tekstilec 2023, 66, 85–104. [Google Scholar] [CrossRef]
- Zhu, Q.; Gao, Q.; Guo, Y.; Yang, C.Q.; Shen, L. Modified silica sol coatings for highly hydrophobic cotton and polyester fabrics using a one-step procedure. Ind. Eng. Chem. Res. 2011, 50, 5881–5888. [Google Scholar] [CrossRef]
- Riegel, B.; Kiefer, W.; Hofacker, S.; Schottner, G. FT-Raman Spectroscopic Investigations on the Organic Crosslinking in Hybrid Polymers Part II: Reactions of Epoxy Silanes. J. Sol-Gel Sci. Technol. 2002, 24, 139–145. [Google Scholar] [CrossRef]
- Hochreiter, R. Schmutzabweisende Ausrüstungen von Textilien. Fette Seifen Anstrichm. 1966, 68, 31–41. [Google Scholar] [CrossRef]
- Jacobasch, H.-J.; Freitag, K.-H. Zur Adhäsion von Polymeren. Acta Polym. 1979, 30 Pt B, 453–469. [Google Scholar] [CrossRef]













| Property | PES | CO/PES |
|---|---|---|
| image (scale bar = 1 mm) | ![]() | ![]() |
| warp density | 16.5 yarns/cm filament yarn | 18 yarns/cm ply yarn |
| weft density | 14.5 yarns/cm filament yarn | 13 yarns/cm ply yarn |
| grammage | 150 g/m2 | 190 g/m2 |
| thickness | 0.44 ± 0.007 mm | 0.67 ± 0.057 mm |
| type of textile weave | plain | plain |
| air permeability | 185 ± 9.l/m2/s | 862 ± 10 L/m2/s |
| Reference | 1% Chitosan | 2% Chitosan | 3% Chitosan | 4% Chitosan | ||||||
| PES | mean (At. %) | SD | mean (At. %) | SD | mean (At. %) | SD | mean (At. %) | SD | mean (At. %) | SD |
| carbon | 68.9 | 0.5 | 68.5 | 0.34 | 68.6 | 0.64 | 67.9 | 0.23 | 68.4 | 0.22 |
| oxygen | 31.1 | 0.5 | 31.5 | 0.34 | 31.4 | 0.64 | 32.1 | 0.23 | 31.6 | 0.22 |
| Reference | 1% Chitosan | 2% Chitosan | 3% Chitosan | 4% Chitosan | ||||||
| CO/PES | mean (At. %) | SD | mean (At. %) | SD | mean (At. %) | SD | mean (At. %) | SD | mean (At. %) | SD |
| carbon | 58.8 | 0.9 | 60.5 | 1.65 | 60.9 | 1.09 | 59.9 | 0.55 | 60.7 | 1.34 |
| oxygen | 41.2 | 0.9 | 39.5 | 1.65 | 39.1 | 1.09 | 40.1 | 0.55 | 39.3 | 1.34 |
| Chitosan Concentration in Padding Bath (%) | PES | CO/PES | ||
|---|---|---|---|---|
| liquor Pickup (%) | Calculated Chitosan Concentration (%) | Liquor Pickup (%) | Calculated Chitosan Concentration (%) | |
| 0.5 | 67 | 0.3 | 87 | 0.4 |
| 1.0 | 74 | 0.7 | 90 | 0.9 |
| 1.5 | 64 | 1.0 | 86 | 1.3 |
| 2.0 | 72 | 1.4 | 94 | 1.9 |
| 2.5 | 77 | 1.9 | 96 | 2.4 |
| 3.0 | 83 | 2.5 | 94 | 2.8 |
| 3.5 | 79 | 2.8 | 86 | 3.0 |
| 4.0 | 79 | 3.2 | 51 | 2.0 |
| Sample Number | Functionalization | Textile | Procedure | Application 1st Step | Application 2nd Step |
|---|---|---|---|---|---|
| 284 | AMEO/ChD | CO/PES | 2-steps | padding | dipping, padding |
| 285 | GLYEO/ChD | CO/PES | 2-steps | padding | dipping, padding |
| 286 | AMEO/ChD | PES | 2-steps | padding | dipping, padding |
| 287 | GLYEO/ChD | PES | 2-steps | padding | dipping, padding |
| 288 | AMEO/ChD | CO/PES | 1-step | padding | - |
| 289 | GLYEO/ChD | CO/PES | 1-step | padding | - |
| 290 | AMEO/ChD | PES | 1-step | padding | - |
| 291 | GLYEO/ChD | PES | 1-step | padding | - |
| 292 | AMEO | CO/PES | 1-step | padding | - |
| 293 | AMEO | PES | 1-step | padding | - |
| 294 | GLYEO | CO/PES | 1-step | padding | - |
| 295 | GLYEO | PES | 1-step | padding | - |
| 296 | ChD | CO/PES | 1-step | padding | - |
| 297 | ChD | PES | 1-step | padding | - |
| 298 | reference | CO/PES | - | - | - |
| 299 | reference | PES | - | - | - |
| Cotton/Polyester | Functionalization | Polyester | ||||||||
|---|---|---|---|---|---|---|---|---|---|---|
| Sample | Weft (cm) | Warp (cm) | Sink-in Time (s) | Sample | Weft (cm) | Warp (cm) | Sink-in Time (s) | |||
| 284A | 0.6 | 2.5 | 19.5 min | 1 meas. | AMEO/ ChD 2-steps | 286A | 3.03 | 3.10 | 1.97 | mean SD |
| 0.05 | 0.08 | 0.30 | ||||||||
| 284B | 2.83 | 2.97 | 0.32 | mean SD | 286B | 3.87 | 3.57 | 0.75 | mean SD | |
| 0.21 | 0.05 | 0.10 | 0.24 | 0.12 | 0.02 | |||||
| 285A | 0.6 | 2.1 | >24 min | 1 meas. | GLYEO/ ChD 2-steps | 287A | 4.37 | 2.97 | 2.39 | mean |
| 0.39 | 0.12 | 0.11 | ||||||||
| 285B | 3.08 | 2.67 | 0.32 | mean SD | 287B | 4.33 | 3.67 | 1.28 | SD | |
| 0.09 | 0.05 | 0.10 | 0.12 | 0.05 | 0.16 | |||||
| 288A | 0.6 | 1.1 | 14.02 min | 1 meas. | AMEO/ ChD 1-step1 | 290A | 3.67 | 2.83 | 1.88 | mean |
| 0.24 | 0.05 | 0.06 | ||||||||
| 288B | 3.93 | 1.57 | 1.23 | mean SD | 290B | 3.23 | 3.33 | 2.71 | SD | |
| 0.19 | 0.05 | 0.14 | 0.17 | 0.17 | 0.32 | |||||
| 289A | 0.6 | 1.2 | >15 min | 1 meas. | GLYEO/ ChD 1-step1 | 291A | 4.20 | 3.50 | 1.65 | mean |
| 0.42 | 0.22 | 0.24 | ||||||||
| 289B | 2.33 | 3.07 | 1.05 | mean SD | 291B | 5.13 | 3.97 | 1.37 | SD | |
| 0.17 | 0.05 | 0.06 | 0.26 | 0.05 | 0.06 | |||||
| 292A | 0.04 | 3.3 | 8.01 min | 1 meas. | AMEO | 293A | 3.70 | 3.80 | 2.01 | mean |
| 0.08 | 0.22 | 0.30 | ||||||||
| 292B | 3.07 | 2.10 | 0.99 | mean SD | 293B | 3.50 | 3.23 | 2.69 | SD | |
| 0.05 | 0.08 | 0.22 | 0.08 | 0.21 | 0.66 | |||||
| 294A | 0.6 | 5.4 | 4.38 min | 1 meas. | GLYEO | 295A | 4.03 | 4.37 | 1.57 | mean |
| 0.05 | 0.21 | 0.30 | ||||||||
| 294B | 2.43 | 2.97 | 0.31 | mean SD | 295B | 3.53 | 5.33 | 0.86 | SD | |
| 0.09 | 0.09 | 0.00 | 0.12 | 0.25 | 0.21 | |||||
| 296A | 0.7 | 0.6 | >15 min | 1 meas. | ChD | 297A | 3.23 | 3.00 | 2.29 | mean |
| 0.29 | 0.00 | 0.14 | ||||||||
| 296B | 3.00 | 2.53 | 1.06 | mean SD | 297B | 3.50 | 3.63 | 0.71 | SD | |
| 0.14 | 0.05 | 0.12 | 0.08 | 0.05 | 0.08 | |||||
| 298A | 0.6 | 3.6 | 8.22 min | 1 meas. | reference | 299A | 4.07 | 4.77 | 1.87 | mean |
| 0.19 | 0.40 | 0.32 | ||||||||
| 298B | 3.47 | 2.23 | 0.68 | mean | 299B | 3.07 | 5.57 | 0.72 | SD | |
| 0.05 | 0.12 | 0.18 | SD | 0.12 | 0.05 | 0.09 | ||||
Disclaimer/Publisher’s Note: The statements, opinions and data contained in all publications are solely those of the individual author(s) and contributor(s) and not of MDPI and/or the editor(s). MDPI and/or the editor(s) disclaim responsibility for any injury to people or property resulting from any ideas, methods, instructions or products referred to in the content. |
© 2024 by the authors. Licensee MDPI, Basel, Switzerland. This article is an open access article distributed under the terms and conditions of the Creative Commons Attribution (CC BY) license (https://creativecommons.org/licenses/by/4.0/).
Share and Cite
Klinkhammer, K.; Hohenbild, H.; Hoque, M.T.; Elze, L.; Teshay, H.; Mahltig, B. Functionalization of Technical Textiles with Chitosan. Textiles 2024, 4, 70-90. https://doi.org/10.3390/textiles4010006
Klinkhammer K, Hohenbild H, Hoque MT, Elze L, Teshay H, Mahltig B. Functionalization of Technical Textiles with Chitosan. Textiles. 2024; 4(1):70-90. https://doi.org/10.3390/textiles4010006
Chicago/Turabian StyleKlinkhammer, Kristina, Hanna Hohenbild, Mohammad Toufiqul Hoque, Laura Elze, Helen Teshay, and Boris Mahltig. 2024. "Functionalization of Technical Textiles with Chitosan" Textiles 4, no. 1: 70-90. https://doi.org/10.3390/textiles4010006
APA StyleKlinkhammer, K., Hohenbild, H., Hoque, M. T., Elze, L., Teshay, H., & Mahltig, B. (2024). Functionalization of Technical Textiles with Chitosan. Textiles, 4(1), 70-90. https://doi.org/10.3390/textiles4010006



