Urban Trade of Non-Timber Forest Products (NTFPs) in Kolwezi, DR Congo: Diversity, Livelihoods, and Sustainability Changes
Abstract
1. Introduction
2. Materials and Methods
2.1. Study Area
2.2. Methods
2.2.1. Market Selection and Population Sampling
2.2.2. Data Collection
2.2.3. Data Analysis
3. Results
3.1. Socio-Demographic Profile of NTFP Sellers in Kolwezi
3.2. Taxonomic Diversity and Uses of Non-Timber Forest Products Sold in Kolwezi Markets
3.3. Supply Areas and Marketing Channels for NTFPs in Kolwezi, DRC
3.4. Market Value of NTFPs and Their Contribution to Sellers’ Income in Kolwezi, DRC
3.5. Constraints in the NTFP Trade in Kolwezi and Suggestions for Improvement
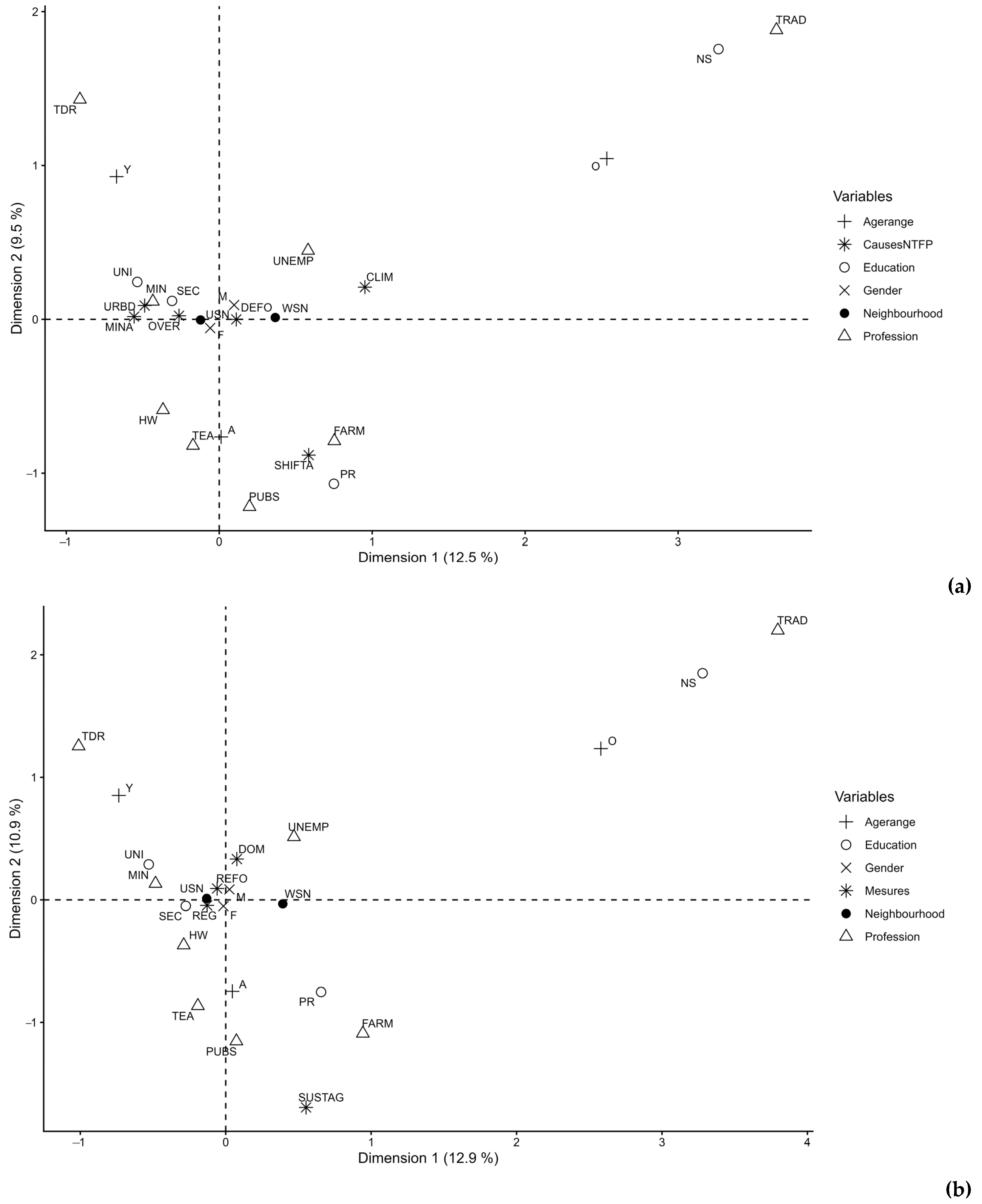
3.6. Socio-Demographic Determinants of Constraint Perception and Improvement Strategies in Kolwezi’s Urban NTFP Trade
3.7. Non-Timber Forest Products Commonly Used by the Population of Kolwezi
3.8. Perceived Causes of Declining NTFP Availability in Kolwezi Markets and Proposed Measures for Resource Restoration
3.9. Socio-Demographic Analysis of Perceived Causes of Declining NTFP Availability in Kolwezi Markets and Preferred Sustainable Management Measures Among Urban Consumers
4. Discussion
4.1. Methodological Considerations and Remaining Uncertainties
4.2. Socio-Demographic Characteristics of NTFP Sellers: Gender, Age Structure and Professionalisation
4.3. Species and Functional Diversity of NTFPs Sold in the Kolwezi Market: Multiple Uses and Sustainability Issues
4.4. Marketing Channels of NTFPs and Supply to the Urban Market in Kolwezi
4.5. Socio-Economic Value, Constraints, and Sustainable Prospects of the NTFP Trade in Kolwezi
4.6. From Abundance to Scarcity: Household Dependence on Miombo NTFPs, Perceived Causes of Declining Abundance on the Market, and Pathways for Sustainable Restoration
4.7. Socio-Demographic Determinants of Perceived Causes of Declining NTFP Availability in Markets and Sustainable Management Strategies in a Rapidly Changing Urban Context
5. Conclusions
Supplementary Materials
Author Contributions
Funding
Institutional Review Board Statement
Informed Consent Statement
Data Availability Statement
Acknowledgments
Conflicts of Interest
Appendix A
Appendix A.1. List of Non-Timber Forest Products (NTFPs) Sold in the Markets of Kolwezi, DR Congo
| Species | Family | Local Name | Markets, F (%) | Organs Sold | Uses | |||
|---|---|---|---|---|---|---|---|---|
| Manika (n = 20) | Kasulo (n = 15) | Manika | Kasulo | Manika | Kasulo | |||
| Plant-based NTFPs | ||||||||
| Acacia polyacantha Wild. | Fabaceae | Kiombwe (1) | 30.0 | 20.0 | Ba, Ro | Ba | Tm | Tm |
| Aframomum melegueta K.Schum. | Zingiberaceae | Mondongo (2) | 10.0 | - | Fr | - | Mt | - |
| Albizia adianthifolia (Schumach.) W.Wight | Fabaceae | Kapetansofu (1), Kikolo (4) | 60.0 | 73.3 | Ba, Ro, St | Ba, Ro, St | Tm, Ha, Co | Tm, Ha, Co |
| Albizia antunesiana Harms | Fabaceae | Mukoso (1), Musase (4), Muyeye (3) | 95.0 | 66.7 | Ro, St | Ro | Tm, Co, Ha | Tm, Ha |
| Albizia versicolor Welw. ex Oliv. | Fabaceae | Mubamba Ngoma (3), Ifumangoma (1) | 25.0 | 13.3 | Ro, St | Ro | Tm, Ha | Tm, Ha |
| Anisophyllea boehmii Engl. | Anisophilleaceae | Nfungo (4), Mufungo (1) | 5.0 | 33.3 | Ba, Fr | Ba, Fr | Fo, Tm | Fo, Tm |
| Annona senegalensis Pers. | Annonaceae | Mulolo (3) | 5.0 | 20.0 | St | Fr, St | Ha | Fo, Ha |
| Bobgunnia madagascariensis (Desv.) J.H.Kirkbr. & Wiersama | Fabaceae | Ndale (1), Kapwipu ou Mpampi (3) | 55.0 | 20.0 | Ba, Ro, St | Ro, St | Tm, Tr, Ha | Tm, Co, Ha |
| Brachycorythis spp. | Orchidaceae | Kikanda (1) | 5.0 | 13.3 | Tu | Tu | Fo | Fo |
| Brachystegia boehmii Taub. | Fabaceae | Ngasa (Musamba) (1), Musamba (3) | 25.0 | 20.0 | Ba, St | St | Tm, Co, Ha | Co |
| Brachystegia spiciformis Benth. | Fabaceae | Muputu ou Kaputu (3) | 45.0 | 13.3 | Ro, St | Ra, St | Tm, Co | Tm, Co |
| Canarium schweinfurthii Engl. | Burseraceae | Mpafu (3) | 50.0 | 13.3 | Fr, Re, Se | Re, Se | Fo, Tm, Tr | Tm, Tr |
| Cassia abbreviata Oliv. | Fabaceae | Mukalafya (1), Mulandankamba (3) | 5.0 | - | Ba, Ro | - | Tm | - |
| Combretum molle (Klotzsch) Engl. & Diels | Combretaceae | Montamfumu (1) | 30.0 | 13.3 | Ro | Ro | Tm | Tm |
| Crossopteryx febrifuga (Afzel. ex. G.Don) Benth. | Rubiaceae | Mutoshi/Kimami (3) | 30.0 | 20.0 | Ba | Ba | Tm | Tm |
| Cussonia corbisieri De Wild. | Araliaceae | Ntambo mutshi (3), Pudriko (5) | 40.0 | 40.0 | Ro | Ro | Tm | Tm, Tr |
| Cymbopogon densiflorus (Steud.) Stapf | Paoceae | Kyasubila (3), Tshikota (6) | 35.0 | 40.0 | Fl, Se | Fl, Se | Tm, Fo | Tm, Fo |
| Diospyros mespiliformis Hochst. ex A.DC. | Ebenaceae | Muchenja (1), Mutshi Mufita (3) | 5.0 | - | Ro | - | Tm | - |
| Diplorhynchus condylocarpon (Müll.Arg.) Pichon | Apocynaceae | Mwenge (1) & (3) | 50.0 | 20.0 | Ro | Ro | Tm | Tm |
| Dracaena mannii Baker | Asparagaceae | Mungonda/Mulengelenge (1), Lubondo (3) | 5.0 | 33.3 | Fl | Fl | Fo | Fo |
| Ekebergia benguelensis Welw. ex C.DC. | Meliaceae | Kalayi (1), Kalaya (3) | 25.0 | 40.0 | Ba, Ro | Fr, Ba, Ro | Tm | Tm |
| Gardenia ternifolia subsp. jovis-tonantis (Welw.) Verdc. | Rubiaceae | Kapanga nzevu (1) | 40.0 | 20.0 | Ro, St | Ro, St | Tm, Ha | Tm, Ha |
| Hymenocardia acida Tul. | Phyllanthaceae | Kapempe (1) | 25.0 | - | Ro | - | Tm | - |
| Ipomoea aquatica Forssk. | Convolvulaceae | Mulapalala (6) | 20.0 | 13.3 | Le | Le | Fo | Fo |
| Julbernardia paniculata (Benth.) Troupin | Fabaceae | Mutondo (1) & (3) | 40.0 | 40.0 | Ro, St | St | Tm, Co | Co |
| Lippia multiflora Moldenke | Verbenaceae | Nyemba lukuitshi (6), Bulukutu (2) | 10.0 | - | Le | - | Fo, Tm | - |
| Ocimum basilicum L. | Lamiceae | Tshilwabwenu (6) | 15.0 | - | Le | - | Fo, Tm | - |
| Parinari curatellifolia Planch. ex Benth. | Chrysobalanaceae | Kifulu muti (2), Mpundu (1) | 50.0 | 53.3 | Ro | Ro | Tm | Tm |
| Phyllanthus muellerianus (Kuntze) Exell | Euphorbiaceae | Lulembalemba (3), Mulembalemba (1) | 50.0 | 40.0 | Ro | Ro | Tm | Tm |
| Piliostigma thonningii (Schumach.) Milne-Redh. | Fabaceae | Kifumbe (1) | 20.0 | 13.3 | Ro | Ro | Tm | Tm |
| Piper guineense Schumach. & Thonn. | Piperaceae | Nketu (2) | 5.0 | - | Se | - | Tm | - |
| Piper umbellatum L. | Piperaceae | Dilombolombo (6) | 55.0 | 53.3 | Le | Le | Fo, Tm | Fo, Tm |
| Pteridium aquilinum (L.) Kuhn subsp. Centrali-africanum Hieron | Dennstaedtiaceae | Mushilu (1) | 20.0 | 33.3 | Fd | Fd | Fo | Fo |
| Pterocarpus angolensis DC. | Fabaceae | Mulombwa (1) | 45.0 | 13.3 | Ro, St | Ro, St | Tm, Co | Mt, Co |
| Pterocarpus tintorius Welw. | Fabaceae | Mukula/Kakula (1), N’golo (3) | 50.0 | - | Ba, St | - | Tm, Co | - |
| Rhynchosia insignis (O.Hoffm) R.E.Fr. | Fabaceae | Munkoyo (1) | 25.0 | 20.0 | Ro | Ro | Fo | Fo |
| Samanea leptophylla (Hams) Brenan & Brummitt | Caesalpiniaceae | Munyenze (3) | 45.0 | 20.0 | Ba | Ba | Tm | Tm |
| Sarcocephalus latifolius (Sm.) E.A.Bruce | Rubiaceae | Mujilanga (6) | 40.0 | 33.3 | Ba | Ba | Tm | Tm |
| Satyrium buchananii Schltr. | Orchidaceae | Kikanda (1) | 45.0 | 53.3 | Tu | Tu | Fo | Fo |
| Securidaca longipedunculata Fresen. | Polygalaceae | Mweyeye (Lupapi) | 45.0 | 46.7 | Ro | Ro | Tm, Tr | Tm, Tr |
| Senna petersiana (Bolle) Lock | Leguminisae | Kavungu mbele (3), Kafungunansha (1) | - | 13.3 | - | Ro | - | Tm |
| Solanum incanum L. | Solanaceae | Tuntunya (7) | 15.0 | - | Fr | - | Tm | - |
| Sterculia quinqueloba (Garcke) K.Schum. | Malvaceae | Kapombo (1), Mwabi (3) | 25.0 | 13.3 | Ba, Ro | Ba, Ro | Tm, Tr | Tm, Tr |
| Strychnos cocculoides Baker | Loganiaceae | Kasongole (1) & (4), Kisongole (5) | 40.0 | 53.3 | Fr, Ro | Fr | Fo, Tm | Fo |
| Strychnos spinosa Lam. | Loganiaceae | Sansa (1) | 10.0 | - | Fr | - | Fo | - |
| Sygygium guineense (Willd.) DC. | Myrtaceae | Musafwa (1), kibumbia (3) | 5.0 | - | Ro, Fr | - | Tm, Fo | - |
| Terminalia mollis M.A.Lawson | Combretaceae | Mbubu(3), Mubobo/Kibobo (1) & (7) | 85.0 | 66.7 | Ba, Ro | Ro, St | Co, Tm, Ha | Tm, Ha |
| Uapaca kirkiana Müll.Arg. | Phyllanthaceae | Masuku (1) | 10.0 | 13.3 | Ro, Fr | Ro, Fr | Tm, Fo | Tm, Fo |
| Zanthoxylum chalybeum Engl. | Fabaceae | Pupwekyulu (3), Pupwe/Chipupa (1) & (7) | 15.0 | 73.3 | Ro | Ro | Tm | Tm |
| Mushrooms | ||||||||
| Cantharellus afrocibarius Buyck & V.Hofst | Hydnaceae | Butondo (1) & (7) | 35.0 | - | Fb | - | Fo | - |
| Termitomyces microcarpus (Berk. & Broome) R.Heim | Lyophyllaceae | Wiskansik (8), Musangwa (7) & (9), Tande or Kasangwa (1) | 35.0 | 33.3 | Fb | Fb | Fo, Tm | Fo, Tm |
| Animal-based NTFPs | ||||||||
| Achatina fulica Bowdich, 1822 | Achatinidae | Kikalanyonga (3) | - | 13.3 | - | Ins | - | Fo |
| Apis mellifera subsp. adansoni Latreille, 1804 | Apidae | Nsali (5), Buki (3) | 15.0 | 33.3 | Bf | Bf | Fo | Fo |
| Burtoa nilotica (L.Pfeiffer, 1861) | Achatinidae | Kikolokofyo (1) & (7), Kikalanyonga (3) | 40.0 | 20.0 | Sh | Sh | Tm, Tr | Tm, Tr |
| Cricetomys gambianus Waterhouse, 1840 | Nesomyidae | Mamanambao (1), Nkumbi (4) | - | 13.3 | - | Wa | - | Fo |
| Cryptomys hottentotus (Lesson, 1826) | Batyergidae | Bombomfuko (1) | 15.0 | 20.0 | Wa | Wa | Fo | Fo |
| Elaphrodes lactea Gaede, 1932 | Notodontidae | Tunkubiu (1), Nkuyu (4) | 35.0 | 20.0 | - | Cat | Fo | Fo |
| Imbrasia epimethea Drury, 1773 | Saturniidae | Masese (4) | 30.0 | 20.0 | - | Cat | Fo | Fo |
| Lobobunaea saturnus Fabricius, 1793 | Saturniidae | Finkubala (1) | 10.0 | 20.0 | Cat | Cat | Fo | Fo |
| Macrotermes falciger (Gerstäcker, 1891) | Termitidae | Makalo (3) | 10.0 | 13.3 | Ins | Ins | Fo | Fo |
| Pelusios nanus Laurent, 1956 | Pelomedusidae | Bandakwe (3), Nkovu (4) | 30.0 | 13.3 | Ca | Ca | Tm, Tr | Tm, Tr |
| Potamochoerus porcus (Linnaeus, 1758) | Suidea | Ngulube wa mpanga (1) | 5.0 | 20.0 | Mp | Mp | Fo | Fo |
| Python sebae (Gmelin, 1789) | Pythonidae | Lusato (1) & (4), Nguma (3) & (9) | 20.0 | 20.0 | Mp, Oi | Mp, Oi | Fo, Tm, Tr | Fo, Tm, Tr |
| Sylvicapra grimmia (Linnaeus, 1758) | Bovidae | Kashia (5) | 30.0 | 13.3 | Mp | Mp | Fo | Fo |
| Syncerus caffer subsp. nanus (Sparrman, 1779) | Bovidae | Mboko (5) | 15.0 | 13.3 | Mp | Mp | Fo | Fo |
Appendix A.2. Straight-Line Distances Between Kolwezi and NTFP Supply Areas
| Province | Supply Entity | Straight-Line Distance (km) | Proportion of NTFP Supply (%) | |
|---|---|---|---|---|
| Lualaba | Kitate | 27.0 | 25.6 | 70.0 |
| Mushima | 51.6 | 21.7 | ||
| Kanzenze | 34.9 | 13.5 | ||
| Kasaji | 222.8 | 7.3 | ||
| Kawama | 45.8 | 6.9 | ||
| Kawayongo | 180.6 | 6.1 | ||
| Musumba | 404.0 | 4.0 | ||
| Sandoa | 304.9 | 3.6 | ||
| Kapanga | 407.9 | 3.2 | ||
| Dilolo | 341.3 | 1.9 | ||
| Tshimbalanga | 282.6 | 1.5 | ||
| Lubudi | 100.2 | 1.5 | ||
| Divuma | 269.5 | 1.3 | ||
| Mukabe | 120.5 | 0.9 | ||
| Buyofwe | 114.5 | 0.5 | ||
| Kayemba | 82.0 | 0.5 | ||
| Haut-Lomami | Malemba | 329.8 | 3.5 | 12.3 |
| Bukama | 171.9 | 3.0 | ||
| Luena | 144.6 | 2.0 | ||
| Butumba | 197.9 | 1.9 | ||
| Kamina | 223.9 | 1.9 | ||
| Kasaï Central | Kananga | 629.1 | 8.0 | 8.0 |
| Kasaï Oriental | Mbuji-Mayi | 547.5 | 5.0 | 5.0 |
| Lomami | Mweneditu | 464.6 | 1.3 | 2.0 |
| Ngandajika | 469.1 | 0.7 | ||
| Haut-Katanga | Kasumbalesa | 305.0 | 0.7 | 1.0 |
| Kasungeshi | 284.9 | 0.3 | ||
| Kasaï | Tshikapa | 699.1 | 0.8 | 0.8 |
| Kwilu | Kikwit | 962.5 | 0.5 | 0.5 |
| Kinshasa | Kinshasa | 1324.4 | 0.4 | 0.4 |
References
- Chamberlain, J.L.; Frey, G.E.; Ingram, C.D.; Jacobson, M.G.; Downes, C.M.S. Forest ecosystem services: Provisioning of non-timber forest products. In Trees at Work: Economic Accounting for Forest Ecosystem Services in the US South; Sills, E.O., Moore, S.E., Cubbage, F.W., McCarter, K.D., Holmes, T.P., Mercer, D.E., Eds.; Chapter 5; Gen. Tech. Rep. SRS-226; Southern Research Station: Asheville, NC, USA, 2017; Volume 226, pp. 65–93. [Google Scholar]
- Nedeljković, J. Non-timber Forest Products (NTFPs). In Life on Land; Leal Filho, W., Azul, A.M., Brandli, L., Lange Salvia, A., Wall, T., Eds.; Encyclopedia of the UN Sustainable Development Goals; Springer: Cham, Switzarland, 2021; pp. 729–744. [Google Scholar] [CrossRef]
- Angelsen, A.; Jagger, P.; Babigumira, R.; Belcher, B.; Hogarth, N.J.; Bauch, S.; Börner, J.; Smith-Hall, C.; Wunder, S. Environmental Income and Rural Livelihoods: A Global-Comparative Analysis. World Dev. 2014, 64, S12–S28. [Google Scholar] [CrossRef] [PubMed]
- Shackleton, C.M.; Pandey, A.K. Positioning Non-timber Forest Products on the Development Agenda. For. Policy Econ. 2014, 38, 1–7. [Google Scholar] [CrossRef]
- Delgado, T.S.; McCall, M.K.; López-Binnqüist, C. Non-Timber Forest Products: Small Matters, Big Significance, and the Complexity of Reaching a Workable Definition for Sustainability. Small-Scale For. 2023, 22, 37–68. [Google Scholar] [CrossRef]
- Rosenfeld, T.; Pokorny, B.; Marcovitch, J.; Poschen, P. Bioeconomy based on Non-timber Forest Products for Development and Forest Conservation—Untapped potential or false hope? A systematic review for the BRAZILIAN amazon. For. Policy Econ. 2024, 163, 103228. [Google Scholar] [CrossRef]
- Boyapati, T.; Muthukumarappan, K. Non-timber Forest Products and the Bioeconomy: Linking livelihood security and biodiversity conservation (2015–2025 trends). Front. Sustain. Food Syst. 2025, 9, 1714576. [Google Scholar] [CrossRef]
- Tchatat, M.; Ndoye, O. Étude des produits forestiers non ligneux d’Afrique Centrale: Réalités et perspectives. Bois For. Trop. 2006, 289, 27–39. Available online: https://www.cifor-icraf.org/publications/pdf_files/articles/ANdoye0601.pdf (accessed on 23 December 2025). [CrossRef]
- Awono, A.; Ingram, V.; Schure, J.; Levang, P. Guide for Small and Medium Enterprises in the Sustainable Non-timber Forest Product Trade in Central Africa; CIFOR: Bogor, Indonesia, 2013; p. 36. [Google Scholar] [CrossRef]
- Belcher, B.; Ruíz-Pérez, M.; Achdiawan, R. Global patterns and trends in the use and management of commercial NTFPs: Implications for livelihoods and conservation. World Dev. 2005, 33, 1435–1452. [Google Scholar] [CrossRef]
- Shackleton, S.; Delang, C.O.; Angelsen, A. From subsistence to safety nets and cash income: Exploring the diverse values of non-timber forest products for livelihoods and poverty alleviation. In Non-Timber Forest Products in the Global Context; Shackleton, S., Shackleton, C., Shanley, P., Eds.; Tropical Forestry; Springer: Berlin/Heidelberg, Germany, 2011; Volume 7, pp. 55–81. [Google Scholar] [CrossRef]
- Amusa, T.O.; Avana-Tientcheu, M.L.; Awazi, N.P.; Chirwa, P.W. The Role of Non-Timber Forest Products for Sustainable Livelihoods in African Multifunctional Landscapes. In Trees in a Sub-Saharan Multi-Functional Landscape: Research, Management, and Policy; Chirwa, P.W., Syampungani, S., Mwamba, T.M., Eds.; Springer Nature: Cham, Switzerland, 2024; pp. 153–178. [Google Scholar] [CrossRef]
- Nghonda, D.-d.N.; Muteya, H.K.; Biloso, M.A.; Malaisse, F.; Useni, S.Y.; Kalenga, W.M.; Bogaert, J. Socio-Economic Value and Availability of Plant-Based Non-Timber Forest Products (NTFPs) within the Charcoal Production Basin of the City of Lubumbashi (DR Congo). Sustainability 2023, 15, 14943. [Google Scholar] [CrossRef]
- Campbell, B.M.; Angelsen, A.; Cunningham, A.; Katerere, Y.; Sitoe, A.; Wunder, S. Miombo Woodlands–Opportunities and Barriers to Sustainable Forest Management; CIFOR: Bogor, Indonesia, 2007; p. 37. [Google Scholar]
- Syampungani, S.; Chirwa, P.W.; Akinnifesi, F.K.; Sileshi, G.; Ajayi, O.C. The miombo woodlands at the cross roads: Potential threats, sustainable livelihoods, policy gaps and challenges. Nat. Resour. Forum 2009, 33, 150–159. [Google Scholar] [CrossRef]
- Malaisse, F. How to Live and Survive in Zambezian Open Forest (Miombo Ecoregion); Les Presses Agronomiques de Gembloux: Gembloux, Belgium, 2010; p. 424. [Google Scholar]
- Dewees, P.A.; Campbell, B.M.; Katerere, Y.; Sitoe, A.; Cunningham, A.B.; Angelsen, A.; Wunder, S. Managing the miombo woodlands of southern Africa: Policies, incentives and options for the rural poor. J. Nat. Resour. Policy Res. 2010, 2, 57–73. [Google Scholar] [CrossRef]
- Ryan, C.M.; Pritchard, R.; McNicol, I.; Owen, M.; Fisher, J.A.; Lehmann, C. Ecosystem Services from Southern African Woodlands and their Future under Global Change. Philos. Trans. R. Soc. B Biol. Sci. 2016, 371, 20150312. [Google Scholar] [CrossRef]
- Ribeiro, N.S.; Katerere, Y.; Chirwa, P.W.; Grundy, I.M. Miombo Woodlands in a Changing Environment: Securing the Resilience and Sustainability of People and Woodlands; Springer International Publishing: Cham, Switzerland, 2020; p. 269. [Google Scholar] [CrossRef]
- Chidumayo, E.N.; Gumbo, D.J. The Environmental Impacts of Charcoal Production in Tropical Ecosystems of the World: A Synthesis. Energy Sustain. Dev. 2013, 17, 86–94. [Google Scholar] [CrossRef]
- Syampungani, S.; Tigabu, M.; Matakala, N.; Handavu, F.; Oden, P.C. Coppicing Ability of Dry Miombo Woodland Species Harvested for Traditional Charcoal Production in Zambia: A win–win strategy for sustaining rural livelihoods and recovering a woodland ecosystem. J. For. Res. 2017, 28, 549–556. Available online: https://link.springer.com/article/10.1007/s11676-016-0307-1 (accessed on 23 December 2025). [CrossRef]
- Ruiz-Pérez, M.; Belcher, B.; Achdiawan, R.; Alexiades, M.; Aubertin, C.; Caballero, J.; Campbell, B.; Clement, C.; Cunningham, T.; Fantini, A.; et al. Markets drive the specialization strategies of forest peoples. Ecol. Soc. 2004, 9, 23. Available online: https://www.jstor.org/stable/26267665 (accessed on 23 December 2025). [CrossRef]
- Kilchling, P.; Hansmann, R.; Seeland, K. Demand for non-timber forest products: Surveys of urban consumers and sellers in Switzerland. For. Policy Econ. 2009, 11, 297–300. [Google Scholar] [CrossRef]
- Mukul, S.A. Changing Consumption and Marketing pattern of Non-timber Forest Products in a Competitive World: Case Study from an Urban Area of North-eastern Bangladesh. Small-Scale For. 2011, 10, 273–286. [Google Scholar] [CrossRef]
- Vuola, M.; Bauch, S.C.; Sills, E.O. The regional market for non-timber forest products. Desenvolv. E Meio Ambient. 2018, 48, 498–511. [Google Scholar] [CrossRef]
- Okunlola, M.I.; Onyekwelu, J.C.; Oluwajuwon, T.V.; Olasuyi, E.; Ojo, D.O.; Israel, R. Marketing of non-timber forest products in Nigeria: A case of Akure metropolis. Env. Dev. Sustain. 2025, 27, 7595–7614. [Google Scholar] [CrossRef]
- Bomolo, O.; Niassy, S.; Chocha, A.; Longanza, B.; Bugeme, D.M.; Ekesi, S.; Tanga, C.M. Ecological Diversity of Edible Insects and their Potential Contribution to Household Food Security in Haut-Katanga Province, Democratic Republic of Congo. Afr. J. Ecol. 2017, 55, 640–653. [Google Scholar] [CrossRef]
- De Kesel, A.; Kasongo, B.; Degreef, J. Champignons Comestibles du Haut-Katanga (R.D. Congo); Royal Belgian Institute of Natural Sciences: Bruxelles, Belgium, 2017; p. 290. [Google Scholar]
- Mbuyi, K.S.; Kalunga, M.R.; Kalonda, M.E.; Cimanga, C.C.B.; Wa Ilunga, N.E.; Kahumba, B.J.; Lumbu, S.J.-B. Aperçu ethnobotanique de plantes réputées antipaludéennes utilisées dans la ville de Lubumbashi et ses environs, dans le Haut-Katanga en RD Congo. Ethnopharmacologia 2019, 61, 75–84. [Google Scholar]
- Kasongo, B.K.W.N.; De Kesel, A.; Mukala, E.K.; Bostoen, K.; Degreef, J. Edible Fungi Consumed by the Lamba and Bemba People of Haut-Katanga (DR Congo). Eur. J. Agric. Food Sci. 2021, 3, 41–46. [Google Scholar] [CrossRef]
- Ndaye, F.N.; Amuri, S.B.; Shakalenga, C.M.; Kalumbu, J.T.; Okwe, A.N.; Fyama, J.N.M.; Duez, P. Contribution à l’Analyse du Marché des Plantes Médicinales dans la Région de Lubumbashi, RD Congo: Acteurs et Enjeux Socio-Économiques. Eur. Sci. J. 2024, 20, 180. [Google Scholar] [CrossRef]
- Atibu, E.K.; Lacroix, P.; Sivalingam, P.; Ray, N.; Giuliani, G.; Mulaji, C.K.; Otamonga, J.-P.; Mpiana, P.T.; Slaveykova, V.I.; Poté, J. High Contamination in the Areas Surrounding Abandoned Mines and Mining Activities: An Impact Assessment of the Dilala, Luilu and Mpingiri Rivers, Democratic Republic of the Congo. Chemosphere 2018, 191, 1008–1020. [Google Scholar] [CrossRef] [PubMed]
- Kottek, M.; Grieser, J.; Beck, C.; Rudolf, B.; Rubel, F. World Map of the Koopeen-Geiger Climate classification updated. Meteorol. Z. 2016, 15, 259–263. [Google Scholar] [CrossRef]
- Malaisse, F. Phenology of the Zambezian woodland area with emphasis on the miombo ecosystem. In Phenology and Seasonality Modelling; Lieth, H., Ed.; Springer: Berlin/Heidelberg, Germany, 1974; Volume 8, pp. 269–286. [Google Scholar]
- Mukalay, M.H.J. Identification et Classification des Sols Sous les Nouvelles Normes et étude de Bio-Identification et Restauration des Unités Dégradées Dans la Zone Agricole du Haut-Katanga/R.D. Congo. Ph.D. Thesis, Université de Lubumbashi, Lubumbashi, Democratic Republic of the Congo, 2016; p. 255. [Google Scholar]
- Dupin, L.; Nkono, C.; Burlet, C.; Muhashi, F.; Vanbrabant, Y. Land Cover Fragmentation Using Multi-Temporal Remote Sensing on Major Mine Sites in Southern Katanga (Democratic Republic of Congo). Adv. Remote Sens. 2013, 2, 127–139. [Google Scholar] [CrossRef]
- Muteya, H.K.; Nghonda, D.-d.N.; Malaisse, F.; Waselin, S.; Sambiéni, K.R.; Kaleba, S.C.; Kankumbi, F.M.; Bastin, J.F.; Bogaert, J.; Useni, S.Y. Quantification and Simulation of Landscape Anthropization around the Mining Agglomerations of Southeastern Katanga (DR Congo) between 1979 and 2090. Land 2022, 11, 850. [Google Scholar] [CrossRef]
- World Population Prospects (2024 Revision)—United Nations Population Estimates and Projections. Available online: https://worldpopulationreview.com/cities/dr-congo/kolwezi (accessed on 28 March 2026).
- Brown, C.; Boyd, D.S.; Kara, S. Landscape Analysis of Cobalt Mining Activities from 2009 to 2021 Using Very High-Resolution Satellite Data (Democratic Republic of the Congo). Sustainability 2022, 14, 9545. [Google Scholar] [CrossRef]
- Agence Congolaise de Presse (ACP). Nouvelle Configuration de Kolwezi: 1.313 Kilomètres Carrés. Available online: https://acp.cd/province/nouvelle-configuration-de-kolwezi-1-313-kilometres-carres/ (accessed on 28 March 2026).
- Bazin, F.; Renard, O.; Katya, M. Filières Porteuses et Emploi des Jeunes au Katanga; Projet PAEJK/BIT; Bureau International du Travail: Genève, Switzerland, 2015; p. 69. [Google Scholar]
- Ngoie, E. Démembrement des provinces et nouvelle territorialisation en République démocratique du Congo: Logiques, attentes, contraintes et défis. In Proceedings of the CIST2016-Enquête de territoire(s)? Collège International des Sciences du Territoire (CIST): Grenoble, France, 2016; pp. 333–338. [Google Scholar]
- Johnston, L.G.; Sabin, K. Échantillonnage déterminé selon les répondants pour les populations difficiles à joindre. Methodol. Innov. Online 2010, 5, 38–48. [Google Scholar] [CrossRef]
- Fofana, F.; Bazeley, P.; Regnault, A. Applying a mixed methods design to test saturation for qualitative data in health outcomes research. PLoS ONE 2020, 15, e0234898. [Google Scholar] [CrossRef]
- Lohr, S.L. Sampling: Design and Analysis, 2nd ed.; Brooks/Cole: Boston, MA, USA; Arizona State University: Tempe, AZ, USA, 2010; p. 596. [Google Scholar]
- Bougma, S.; Hama-Ba, F.; Garanet, F.; Savadogo, A. Caractéristiques sociodémographiques des mères et pratiques d’alimentation de complément chez les enfants de 6 à 23 mois dans le Centre-Nord du Burkina Faso. Afr. J. Food Agric. Nutr. Dev. 2022, 33, 25. [Google Scholar] [CrossRef]
- Ngoyi, M.R.A.; Ilunga, K.C.; Ngoy, F.S. Habitude alimentaire des ménages en milieu rural (Cas des villages: Mweyi, Kyavie et Lwabo). Glob. Sci. J. 2023, 11, 13. Available online: https://www.globalscientificjournal.com/researchpaper/HABITUDE_ALIMENTAIRE_DES_MENAGES_EN_MILIEU_RURAL.pdf (accessed on 10 January 2026).
- Pilon, M.; Vignikin, K. Ménages et Familles en Afrique subsaharienne; Editions des Archives Contemporaines: Paris, France; Agence Universitaire de la Francophonie: Montréal, QC, Canada, 2006; p. 135. [Google Scholar]
- Traoré, L.; Hien, M.; Ouédraogo, I. Usages, disponibilité et stratégies endogènes de préservation de Canarium schweinfurthii (Engl.) (Burseraceae) dans la région des Cascades (Burkina Faso). Ethnobot. Res. Appl. 2021, 21, 1–17. [Google Scholar] [CrossRef]
- Dieng, K.; Kalandi, M.; Sow, A.; Millogo, V.; Ouedraogo, G.A.; Sawadogo, G.J. Profil socio-économique des acteurs de la chaine de valeur lait local à Kaolack au Sénégal. Rev. Afr. Santé Prod. Anim. 2014, 12, 161–168. [Google Scholar]
- Smith, P.; Allen, Q. Field Guide to the Trees and Shrubs of the Miombo Woodlands; Royal Botanic Gardens: Brussels, Belgium, 2004; p. 176. [Google Scholar]
- Badjaré, B.; Kokou, K.; Bigou-laré, N.; Koumantiga, D.; Akpakouma, A. Étude ethnobotanique d’espèces ligneuses des savanes sèches au Nord-Togo: Diversité, usages, importance et vulnérabilité. Biotechnol. Agron. Soc. Environ. 2018, 22, 152–171. [Google Scholar] [CrossRef]
- Tsobou, R.; Tiokeng, B.; Fonyikeh, L.C.; Guidawa, F.; Njiméli, S.P.; Nzetchou, N.S.M.; Neme, F.S.B.; Agyingi, A.L.; Mapongmetsem, P.-M. Etude ethnobotanique des produits forestiers non ligneux (PFNLs) d’origine végétale de la localité de Tonga, Ouest Cameroun. Int. J. Innov. Sci. Res. 2022, 63, 9–33. [Google Scholar]
- Dossou, M.E.; Houessou, G.L.; Lougbégnon, O.T.; Tenté, A.H.B.; Codjia, J.T.C. Étude ethnobotanique des ressources forestières ligneuses de la forêt marécageuse d’Agonvè et terroirs connexes au Bénin. Tropicultura 2012, 30, 41–48. [Google Scholar]
- Confais, J.; Grelet, Y.; Le Guen, M. La procédure FREQ de SAS. Tests d’indépendance et mesures d’association dans un tableau de contingence. La Rev. Modul. 2005, 33, 188–242, ⟨halshs-00287397⟩. [Google Scholar]
- Nowacki, A. Chi-Square and Fisher’s Exact Tests. Clevel. Clin. J. Med. 2017, 84, e20–e25. [Google Scholar] [CrossRef]
- Hoffman, B.; Gallaher, T. Importance Indices in Ethnobotany. Ethnobot. Res. Appl. 2007, 5, 201–218. [Google Scholar] [CrossRef]
- Kouakou, K. Disponibilité et Vulnérabilité des Espèces Sources de Produits Forestiers Non Ligneux D’origine Végétale de la forêt Classée du Haut-Sassandra et sa Périphérie Après la Décennie de Crise au Centre-Ouest de la Côte D’Ivoire. Ph.D. Thesis, Université de Jean Lorougnon Guede, Daloa, Côte d’Ivoire, 2019; p. 188. [Google Scholar]
- Piba, S.C.; Tra Bi, F.H.; Konan, D.; Bitignon, B.G.A.; Bakayoko, A. Inventaire et disponibilité des plantes médicinales dans la forêt classée de Yapo-Abbé, en Côte d’Ivoire. Eur. Sci. J. 2015, 11, 161–181. [Google Scholar]
- Mori, Y.; Kuroda, M.; Makino, N. Multiple Correspondence Analysis. In Nonlinear Principal Component Analysis and Its Applications; SpringerBriefs in Statistics; Springer: Singapore, 2016; pp. 21–28. [Google Scholar] [CrossRef]
- Kamalja, K.; Khangar, N. Multiple Correspondence Analysis and its applications. Electron. J. Appl. Stat. Anal. 2017, 10, 432–462. [Google Scholar] [CrossRef]
- Zeleke, A.A.; Naziyok, T.; Fritz, F.; Christianson, L.; Röhrig, R. Data Quality and Cost-effectiveness Analyses of Electronic and Paper-Based Interviewer-Administered Public Health Surveys: Systematic Review. J. Med. Internet Res. 2021, 23, e21382. [Google Scholar] [CrossRef] [PubMed]
- Dizon, T.J.R.; Saito, N.; Reñosa, M.D.C.; Bravo, T.A.P.; Silvestre, C.J.; Endoma, V.F.; Guevarra, J.R.B.; Quiambao, B.P.; Nishizono, A. Experiences in Using KoBo Collect and KoBoToolbox in a Cross-Sectional Dog Population and Rabies Knowledge and Practices Household Survey in the Philippines. In MEDINFO 2021: One World, One Health–Global Partnership for Digital Innovation; Otero, P., Scott, P., Martin, S.Z., Huersing, E., Eds.; IOS Press: Amsterdam, The Netherlands, 2022; pp. 1082–1083. Available online: https://ebooks.iospress.nl/doi/10.3233/SHTI220278 (accessed on 31 March 2026).
- Shackleton, S.; Shanley, P.; Ndoye, O. Invisible but viable: Recognising local markers for non-timber forest products. Int. For. Rev. 2007, 9, 697–712. [Google Scholar] [CrossRef]
- Mahonya, S.; Shackleton, C.M.; Schreckenberg, K. Non-timber Forest Product Use and Market Chains Along a Deforestation Gradient in Southwest Malawi. Front. For. Glob. Change 2019, 2, 12. [Google Scholar] [CrossRef]
- Nabaloum, A.; Sabo, P.; Goetze, D.; Sehoubo, Y.J.; Ouédraogo, A.; Thiombiano, A. Availability and Trade Values of Some Non-timber Forest Products in Local Markets: Implications for the Conservation of Savanna Ecosystems in Burkina Faso. Econ. Bot. 2025, 79, 79–99. [Google Scholar] [CrossRef]
- Angelsen, A.; Larsen, H.O.; Lund, J.F.; Smith-Hall, C.; Wunder, S. Measuring Livelihoods and Environmental Dependence: Methods for Research and Fieldwork; CIFOR: Bogor, Indonesia, 2011; p. 282. [Google Scholar]
- Zohrabi, M. Mixed method research: Instruments, validity, reliability and reporting findings. Theory Pract. Lang. Stud. 2013, 3, 254–262. [Google Scholar] [CrossRef]
- Donkoh, S.; Mensah, J. Application of triangulation in qualitative research. J. Appl. Biotechnol. Bioeng. 2023, 10, 6–9. [Google Scholar] [CrossRef]
- Obayelu, O.A.; Farinola, L.A. Gender and Returns to Marketing of Non-Timber Forest Products in Southwest Nigeria; AgEcon Search: Minneapolis, MN, USA, 2017; p. 11. [Google Scholar] [CrossRef]
- Namuene, K.S.; Mbella, M.F.; Ntsomboh-Ntsefong, G.; Waki, E.; Kiekeh, H. Conservation and trade dynamics of non-timber forest products in local markets in south western Cameroon. J. Biodiv. Environ. Sci. 2025, 27, 58–69. [Google Scholar] [CrossRef]
- Betti, J.L.; Ngankoué, C.M.; Dibong, S.D.; Singa, A.E. Etude ethnobotanique des plantes alimentaires spontanées vendues dans les marchés de Yaoundé, Cameroun. Int. J. Biol. Chem. Sci. 2016, 10, 1678–1693. [Google Scholar] [CrossRef]
- Tieguhong, J.C.; Ndoye, O.; Grouwels, S. Financial Status of Small and Medium Scale Enterprises based on Non-wood Forest Products (NWFP) in Central Africa. For. Policy Econ. 2012, 20, 112–119. [Google Scholar] [CrossRef]
- Tieguhong, J.C.; Ndoye, O.; Tchatat, M.; Chikamai, B. Processing and Marketing of Non-Wood Forest Products for Poverty Alleviation in Africa. Discov. Innov. 2009, 21, 60–65. [Google Scholar]
- Ruiz-Pérez, M.; Ndoye, O.; Eyebe, A.; Puntodewo, A. Spatial characterisation of non-timber forest products markets in the humid forest zone of Cameroon. Int. For. Rev. 2000, 2, 71–148. Available online: https://www.jstor.org/stable/42610109?seq=1 (accessed on 31 March 2026).
- Awono, A.; Ndoye, O.; Schreckenberg, K.; Tabuna, H.; Isseri, F.; Temple, L. Production and Marketing of Safou (Dacryodes edulis) in Cameroon and Internationally: Market Development Issues. For. Trees Livelihoods 2002, 12, 125–147. [Google Scholar] [CrossRef]
- Priso, R.J.; Nnanga, J.F.; Etame, J.; Ndongo, D.; Amougou, A. Les produits forestiers non ligneux d’origine végétale: Valeur et importance dans quelques marchés de la région du Littoral—Cameroun. J. Appl. Biosci. 2011, 40, 2715–2726. [Google Scholar]
- Matoumouene, G.A.M.; Leckoundzou, A.; Yoka, J.; Baba-Moussa Lamine, S. Floristic Diversity of Edible Non-Timber Forest Products (NTFPs) Sold on the Markets of Brazzaville. Sch. Acad. J. Biosci. 2021, 9, 238–247. [Google Scholar] [CrossRef]
- Zima, G.G.S.; Mialoundama, F.; Kossa, I. Use of Non-timber Forest Products of Plant Origin as Food and the Impact of Human Activities on Their Sustainability in the South West of the Central African Republic. Am. J. Plant Biol. 2019, 4, 96–104. [Google Scholar] [CrossRef]
- Kaoma, H.; Shackleton, C.M. The Direct Use Value of Urban Tree Non-timber Forest Products to Household Income in Poorer Suburbs in South African Towns. For. Policy Econ. 2015, 61, 104–112. [Google Scholar] [CrossRef]
- Shackleton, C.M.; Shackleton, S.E. The Importance of Non-timber Forest Products in Rural Livelihood Security and as Safety nets: A review of evidence from South Africa. S. Afr. J. Sci. 2004, 100, 658–664. Available online: https://hdl.handle.net/10520/EJC96169 (accessed on 31 March 2026).
- Angoni, H. Non-timber forest products and their contributions on the income of local residents in the Douala- Edea Wildlife Reserve of Cameroon. J. Ecol. Nat. Environ. 2025, 7, 263–270. [Google Scholar] [CrossRef]
- Dibong, S.D.; Mpondo Mpondo, E.; Ngoye, A.; Kwin, M.F. Inventory and identification of plants used in traditional medicine in Douala (Cameroun). J. Appl. Biosci. 2011, 37, 2496–2507. [Google Scholar]
- Cortés-Flores, J.; Cornejo-Tenorio, G.; Urrea-Galeano, L.A.; Andersen, E.; González-Rodríguez, A.; Ibarra-Manríquez, G. Phylogeny, fruit traits, and ecological correlates of fruiting phenology in a Neotropical dry forest. Oecologia 2019, 189, 159–169. [Google Scholar] [CrossRef]
- Degreef, J.; Kasongo, B.K.W.N.; Niyangabo, E.; De Kesel, A. Edible mushrooms, a vulnerable ecosystem service from African miombo woodlands. Biotechnol. Agron. Soc. Environ. 2020, 24, 70–80. [Google Scholar] [CrossRef]
- Ahmed, A.; Lazo, D.P.L.; Alatinga, K.A.; Gasparatos, A. From Ampesie to French fries: Systematising the characteristics, drivers and impacts of diet change in rapidly urbanising Accra. Sustain. Sci. 2022, 25. [Google Scholar] [CrossRef] [PubMed]
- Cunningham, A.B. Applied Ethnobotany: People, Wild Plant Use and Conservation; Routledge: London, UK, 2014; p. 320. [Google Scholar] [CrossRef]
- van Andel, T.; Croft, S.; van Loon, E.E.; Quiroz, D.; Towns, A.; Raes, N. Prioritizing West African Medicinal Plants for Conservation and Sustainable Extraction Studies based on Market Surveys and Species Distribution Models. Biol. Conserv. 2015, 181, 173–181. [Google Scholar] [CrossRef]
- FAO. Edible Insects-Future Prospects for Food and Feed Security; FAO: Rome, Italy, 2013; p. 224. [Google Scholar]
- FAO. The State of the World’s Forests: Forest Pathways to Sustainable Development; FAO: Rome, Italy, 2018; p. 139. [Google Scholar]
- Sardeshpande, M.; Shackleton, C. Wild Edible Fruits: A systematic review of an under-researched multifunctional NTFP (Non-timber Forest Product). Forests 2019, 10, 467. [Google Scholar] [CrossRef]
- Lake, F.K.; Emery, M.R.; Baumflek, M.J.; Friday, K.S.; Kamelamela, K.; Kruger, L.; Grewe, N.; Gilbert, J.; Reo, N.J. Cultural dimensions of nontimber products. In Assessment of Nontimber Forest Products in the United States Under Changing Conditions; Chamberlain, J.L., Emery, M.R., Patel-Weynand, T., Eds.; Gen. Tech. Rep. SRS–232, NC; US Department of Agriculture, Forest Service, Southern Research Station: Asheville, NC, USA, 2018; pp. 84–99. Available online: https://research.fs.usda.gov/treesearch/57298 (accessed on 31 March 2026).
- Ingram, V.J. Win-Win in Forest Product Value Chains? How Governance Impacts the Sustainability of Livelihoods Based on Non-Timber Forest Products from Cameroon. Ph.D. Thesis, University of Amsterdam, Amsterdam, The Netherlands, 2014; p. 389. [Google Scholar]
- Savadogo, S.; Ouoba, P.A.; Dapola, E.C.D. Extraction des PFNL et menace sur les espèces pourvoyeuses au Burkina Faso: Cas de Kokologho et Tenado dans la région du centre-ouest. Rev. Ivoir. Sci. Technol. 2019, 33, 240–258. [Google Scholar]
- Phumee, P.; Pagdee, A. From subsistence to market-driven: The role of non-timber forest products at community forests in Northeast Thailand. For. Trees Livelihoods 2021, 30, 151–168. [Google Scholar] [CrossRef]
- Mwitwa, J.; German, L.; Muimba-Kankolongo, A.; Puntondewo, A. Governance and sustainability challenges in landscape shaped by mining: Miningforestry linkages and impacts in the copper belt of Zambia and the DR Congo. For. Policy Econ. 2012, 25, 19–30. [Google Scholar] [CrossRef]
- Siqueira-Gay, J.; Sonter, L.J.; Sánchez, L.E. Exploring potential impacts of mining on forest loss and fragmentation within a biodiverse region of Brazil’s northeastern Amazon. Resour. Policy 2020, 67, 101662. [Google Scholar] [CrossRef]
- Morley, J.; Buchanan, G.; Mitchard, E.T.; Keane, A. Quasi-experimental analysis of new mining developments as a driver of deforestation in Zambia. Sci. Rep. 2022, 12, 18252. [Google Scholar] [CrossRef]
- Zhang, W.; Jiang, Z.; Dai, H.; Lin, G.; Liu, K.; Yan, R.; Zhu, Y. Modelling Multi-Scenario Ecological Network Patterns and Dynamic Spatial Conservation Priorities in Mining Areas. Land 2024, 13, 1065. [Google Scholar] [CrossRef]
- Chai, A.; Stepanova, E.; Moneta, A. Quantifying expenditure hierarchies and the expansion of global consumption diversity. J. Econ. Behav. Organ. 2023, 214, 860–886. [Google Scholar] [CrossRef]
- Aikman, S. Hidden, scattered and reconstructed: Indigenous lifeways, knowledges and intergenerational learning. Comp. Educ. 2023, 55, 11–28. [Google Scholar] [CrossRef]
- Useni, S.Y.; Mukenza, M.M.; Kikuni, T.J.; Kabamb, K.D.; Malaisse, F.; Bogaert, J. Hierarchical Analysis of Miombo Woodland Spatial Dynamics in Lualaba Province (Democratic Republic of the Congo), 1990–2024: Integrating Remote Sensing and Landscape Ecology Techniques. Remote Sens. 2024, 16, 3903. [Google Scholar] [CrossRef]
- Toirambe, B. Analyse de l’état des lieux du secteur des produits forestiers non ligneux et évaluation de leur contribution à la sécurité alimentaire en République Démocratique du Congo. In Renforcement de la Sécurité Alimentaire en Afrique Centrale à Travers la Gestion et L’utilisation Durable des Produits Forestiers non Ligneux; FAO: Rome, Italy, 2007; p. 76. [Google Scholar]
- Biloso, A.; Lejoly, J. Etude de l’exploitation et du marché des produits forestiers non ligneux à Kinshasa. Tropicultura 2006, 24, 183–188. [Google Scholar]
- Loubelo, E. Impact des Produits Forestiers non Ligneux (PFNL) sur L’économie des Ménages et la Sécurité Alimentaire: Cas de la République du Congo. Ph.D. Thesis, Université Rennes 2, Rennes, France, 2012; p. 260. [Google Scholar]
- Ingram, V.; Schure, J. Review of Non-Timber Forest Products (NTFPs) in Central Africa: Cameroon; CIFOR: Yaounde, Cameroon, 2010; p. 176. [Google Scholar]
- Vermeulen, C.; Schippers, C.; Julve, C.; Ntoune, M.; Bracke, C.; Doucet, J.-L. Enjeux méthodologiques autour des produits forestiers non ligneux dans le cadre de la certification en Afrique Centrale. Bois For. Trop. 2009, 300, 69–78. [Google Scholar] [CrossRef]
- Shackleton, C.M.; Shackleton, S.; Shanley, P. Building a Holistic Picture: An Integrative Analysis of Current and Future Prospects for Non-timber Forest Products in a Changing World. In Non-Timber Forest Products in the Global Context; Shackleton, S., Shackleton, C., Shanley, P., Eds.; Tropical Forestry; Springer: Berlin/Heidelberg, Germany, 2011; Volume 7, pp. 255–280. [Google Scholar] [CrossRef]
- UICN-Burkina Faso. Certification des PFNL au Burkina Faso: Manuel Simplifié à L’usage des Organisations Communautaires de Base (OCB); UICN: Ouagadougou, Burkina Faso, 2015; p. 32. [Google Scholar]
- Noubissie, E.; Tieguhong, J.C.; Ndoye, O. Analyse des Aspects Socio-Économiques des Produits Forestiers non Ligneux (PFNL) en Afrique Centrale; FAO: Rome, Italy, 2008; p. 58. [Google Scholar]
- Tabouna, H. Commerce Sous Régional et International des Produits Forestiers non Ligneux Alimentaires et des Produits Agricoles Traditionnels en Afrique Centrale: Etat des Lieux et Stratégie de Développement; FAO: Rome, Italy, 2007; p. 139. [Google Scholar]
- Delang, C.O. Not just minor forest products: The economic rationale for the consumption of wild food plants by subsistence farmers. Ecol. Econ. 2006, 59, 64–73. [Google Scholar] [CrossRef]
- Maxwell, S.; Fuller, R.; Brooks, T.; Watson, J.E.M. Biodiversity: The ravages of guns, nets and bulldozers. Nature 2016, 536, 143–145. [Google Scholar] [CrossRef]
- Torrance, A.W.; Tomlinson, B. Overharvesting: The Why of Biodiversity Loss. Tex. A&M J. Prop. Law 2025, 11, 615–642. [Google Scholar] [CrossRef]
- Meinhold, K.; Darr, D. The Processing of Non-Timber Forest Products through Small and Medium Enterprises—A Review of Enabling and Constraining Factors. Forests 2019, 10, 1026. [Google Scholar] [CrossRef]
- Ticktin, T. The ecological implications of harvesting non-timber forest products. J. Appl. Ecol. 2004, 41, 11–21. [Google Scholar] [CrossRef]
- Warsame, A.O.; Mohamed, J.A.; Abdulle, A.Y.; Ahmed, A.A. Overcoming structural barriers: Understanding the multi-dimensional barriers to women’s entrepreneurship in Somalia. Cogent. Bus. Manag. 2025, 12, 2593090. [Google Scholar] [CrossRef]
- Capsa, R.G.; Tchouamo, I.R.; Mweru, M.J.-P.; Mbang, A. Marketing Ricinodendron heudelotii Kernels and Gnetum spp. Leaves Around Lobeke National Park, East Cameroon. Tropicultura 2018, 36, 565–577. [Google Scholar]
- Ketchatang, T.P.; Zapfack, L.; Kabelong Banoho, L.P.R.; Endamana, D. Disponibilité des produits forestiers non ligneux fondamentaux à la périphérie du Parc national de Lobeke. VertigO 2017, 17. [Google Scholar] [CrossRef]
- Lykke, A.M.; Kristensen, M.K.; Ganaba, S. Valuation of the local dynamics of 56 woody species in the Sahel. Biodivers. Conserv. 2004, 13, 1961–1990. [Google Scholar] [CrossRef]
- Lougbegnon, T.O.; Tente, B.A.H.; Amontcha, M.; Codjia, J.T.C. Importance culturelle et valeur d’usage des ressources végétales de la réserve forestière marécageuse de la vallée de Sitatunga et zones connexes. Bull. Rech. Agron. Bénin 2011, 70, 35–46. [Google Scholar]
- Camou-Guerrero, A.; Reyes-García, V.; Martínez-Ramos, M.; Casas, A. Knowledge and use value of plant species in a Rarámuri community: A gender perspective for conservation. Hum. Ecol. 2008, 36, 259–272. [Google Scholar]
- Belcher, B.; Schreckenberg, K. Commercialisation of Non-timber Forest Products: A Reality Check. Dev. Policy Rev. 2007, 25, 355–377. [Google Scholar] [CrossRef]
- Leakey, R.R.B.; Weber, J.C.; Page, T.; Cornelius, J.P.; Akinnifesi, F.K.; Roshetko, J.M.; Tchoundjeu, Z.; Jamnadass, R. Tree Domestication in Agroforestry: Progress in the Second Decade (2003–2012). In Agroforestry—The Future of Global Land Use; Nair, P., Garrity, D., Eds.; Advances in Agroforestry; Springer: Dordrecht, The Netherlands; Gainesville, FL, USA, 2012; Volume 9, pp. 145–173. [Google Scholar] [CrossRef]
- Tchoundjeu, Z.; Degrande, A.; Leakey, R.R.; Nimino, G.; Kemajou, E.; Asaah, E.; Facheux, C.; Mbile, P.; Mbosso, C.; Sado, T.; et al. Impacts of participatory tree domestication on farmer livelihoods in West and Central Africa. For. Trees Livelihoods 2010, 19, 217–234. [Google Scholar] [CrossRef]
- Ferraton, N.; Touzard, I. Comprendre L’agriculture Familiale. Diagnostic des Systèmes de Production; Presse Agronomiques de Gembloux: Gembloux, Belgium, 2009; p. 132. [Google Scholar] [CrossRef]
- Yu, S.; Kilduff, G.J. Knowing where others stand: Accuracy and performance effects of individuals’ perceived status hierarchies. J. Pers. Soc. Psychol. 2020, 119, 159–184. [Google Scholar] [CrossRef]
- Sakata, G. Code Forestier Congolais et ses Mesures D’application: Commentaire Pratique; Académia-EME: Louvain-la-Neuve, Belgium, 2010; p. 180. [Google Scholar]








| Neighbourhoods | Street | Total Number of Households | Sample Size | Gender (%) | |
|---|---|---|---|---|---|
| Woman | Male | ||||
| Kasulo | Kimbangu | 356 | 130 | 65.4 | 34.6 |
| Moïse Tshombe * | Masengo | 189 | 57 | 68.4 | 31.6 |
| Mununka | Likasi | 423 | 158 | 57.6 | 42.4 |
| Mutoshi * | Masengo | 127 | 39 | 61.5 | 38.5 |
| Total | 1095 | 384 | 62.5 | 37.8 | |
| Profile of Sellers | Markets | Average Percentage (%) | p | |
|---|---|---|---|---|
| Manika (n = 20) | Kasulo (n= 15) | |||
| Gender (%) | ||||
| Woman | 85.0 | 73.3 | 79.1 | 0.001 * |
| Male | 15.0 | 26.7 | 20.9 | |
| Age range (%) | ||||
| Young (18–35 years) | 35.0 | 26.7 | 30.9 | 0.000 * |
| Adult (36–60 years) | 60.0 | 73.3 | 66.7 | |
| Old (>60 years) | 5.0 | - | 2.5 | |
| Education level (%) | ||||
| Uneducated | 5.0 | - | 2.5 | 0.000 * |
| Primary school | 30.0 | 13.3 | 21.7 | |
| Secondary school | 55.0 | 66.7 | 60.9 | |
| University level | 10.0 | 20.0 | 15.0 | |
| Species | Markets (F %) | Organ/Part or Object Sold | Selling Price (USD/kg) | Quantity Sold Per Month (kg) | Monthly Gross Income (USD) | |
|---|---|---|---|---|---|---|
| Manika (n = 20) | Kasulo (n = 15) | |||||
| Food use | ||||||
| A. boehmii * | 40.0 | 33.3 | Fruit | 2.8 | 40.0 ± 2.1 | 112.0 ± 5.8 |
| A. fulica ** | - | 13.3 | Snail | 4.4 | 9.1 ± 0.2 | 40.0 ± 0.8 |
| A. senegalensis * | - | 20.0 | Fruit | 1.0 | 19.0 ± 1.0 | 19.0 ± 1.0 |
| C. afrocibarius *** | 35.0 | - | Cap + Stipe | 4.0 | 19.8 ± 0.5 | 79.2 ± 0.2 |
| C. gambianus ** | - | 13.3 | Whole animal | 22.2 | 7.0 ± 1.1 | 155.4 ± 24.4 |
| C. hottentotus ** | - | 20.0 | Whole animal | 28.6 | 6.5 ± 1.5 | 185.9 ± 42.9 |
| E. benguelensis * | - | 13.3 | Fruit | 4.0 | 7.0 ± 0.2 | 28.0 ± 0.8 |
| E. lactea ** | - | 20.0 | Caterpillar | 20.0 | 15.3 ± 0.5 | 306.0 ± 10.0 |
| I. epimethea ** | - | 20.0 | Caterpillar | 18.0 | 10.5 ± 0.5 | 189.0 ± 9.0 |
| M. falciger ** | - | 13.3 | Termite | 6.7 | 10.8 ± 0.2 | 73.4 ± 1.3 |
| A. mellifera ** | - | 33.3 | Bottle | 6.8 | 19.6 ± 0.9 | 133.3 ± 6.12 |
| P. aquilinum * | - | 33.3 | Frond | 0.9 | 19.4 ± 0.2 | 17.5 ± 0.18 |
| P. umbellatum * | 50.0 | 53.3 | Leaf | 4.0 | 60.5 ± 0.4 | 242.0 ± 1.6 |
| P. porcus ** | - | 13.3 | Meat portion | 21.1 | 4.7 ± 1.0 | 99.2 ± 21.1 |
| P. sebae ** | - | 13.3 | Meat portion | 57.4 | 2.3 ± 0.2 | 132.0 ± 11.5 |
| R. insignis * | 25.0 | 20.0 | Root | 1.8 | 19.8 ± 0.9 | 35.64 ± 1.6 |
| S. buchananii * | 40.0 | 53.3 | Tuber | 8.0 | 15.6 ± 0.2 | 124.8 ± 1.6 |
| S. cocculoides * | 40.0 | 53.3 | Fruit | 1.4 | 9.1 ± 0.6 | 12.7 ± 0.8 |
| S. grimmia ** | 30.0 | - | Meat portion | 40.5 | 10.6 ± 1.1 | 429.3 ± 44.55 |
| T. microcarpus *** | 35.0 | 33.3 | Cap + stipe | 5.7 | 16.8 ± 2.3 | 95.8 ± 13.1 |
| U. kirkiana * | - | 13.3 | Fruit | 1.0 | 50.8 ± 3.5 | 50.8 ± 3.5 |
| Use in traditional medicine | ||||||
| A. adianthifolia * | 60.0 | 73.3 | Bark or root | 10.4 | 6.5 ± 0.3 | 67.6 ± 3.1 |
| A. antunesiana * | 95.0 | 66.7 | Root | 3.0 | 86.4 ± 1.4 | 259.2 ± 4.2 |
| B. madagascariensis * | 55.0 | - | Root or bark | 5.0 | 56.8 ± 0.1 | 284.0 ± 0.5 |
| C. schweinfurthii * | 50.0 | 46.7 | Resin | 4.0 | 36.3 ± 0.5 | 145.2 ± 2.0 |
| C. corbisieri * | - | 40.0 | Root (powdered) | 16.0 | 2.5 ± 0.1 | 40.0 ± 1.6 |
| D. condylocarpon * | 50.0 | - | Root | 4.0 | 21.9 ± 1.0 | 87.6 ± 4.0 |
| P. curatellifolia * | 50.0 | 53.3 | Root | 10.0 | 6.1 ± 1.3 | 61.0 ± 13.0 |
| P. muellerianus * | 50.0 | 40.0 | Root | 8.0 | 5.4 ± 0.6 | 43.2 ± 4.8 |
| S. longipedunculata * | 45.0 | 40.0 | Root | 12.0 | 12.9 ± 2.0 | 154.8 ± 24.0 |
| T. mollis * | 85.0 | 53.3 | Root or bark | 10.0 | 25.4 ± 1.2 | 254.0 ± 12.0 |
| Z. chalybeum * | - | 46.7 | Root | 10.0 | 6.4 ± 2.4 | 64.0 ± 24.0 |
| Use in traditional rituals | ||||||
| B. nilotica ** | 35.0 | - | Shell | 32.7 | 2.8 ± 0.1 | 91.6 ± 3.3 |
| C. schweinfurthii * | 35.0 | 46.7 | Resin/Seed | 4.0/160.0 | 36.3 ± 0.5/0.8 ± 0.0 | 145.2 ± 2.0/128.0 ± 0.3 |
| P. nanus ** | 30.0 | 13.3 | Carapace | 102.0 | 0.4 ± 0.0 | 40.8 ± 0.2 |
| P. sebae ** | 25.0 | 6.7 | Meat portion or Oil | 31.9 | 1.5 ± 0.1 | 47.9 ± 3.2 |
| S. longipedunculata * | 40.0 | 40.0 | Root | 12.0 | 12.9 ± 3.5 | 154.8 ± 42.0 |
| S. quinqueloba * | 45.0 | 20.0 | Bark or root | 9.3 | 6.6 ± 1.0 | 61.4 ± 9.3 |
| Handicraft use | ||||||
| A. adianthifolia * | 35.0 | 33.3 | Pestle/Mortar | 1.7/0.92 | 10.8 ± 0.3/110.4 ± 1.5 | 18.4 ± 0.5/101.6 ± 1.4 |
| A. antunesiana * | 45.0 | 40.0 | Pestle/Blender | 1.7/3.0 | 9.1 ± 0.5/3.5 ± 0.1 | 15.5 ± 0.9/10.5 ± 0.3 |
| A. versicolor * | 25.0 | 13.3 | Handle/Blender | 3.2/3.0 | 3.9 ± 0.2/3.0 ± 0.1 | 12.5 ± 0.6/9.0 ± 0.3 |
| A. senegalensis * | 5.0 | 20.0 | Handle | 3.2 | 6.2 ± 2.5 | 20.0 ± 8.0 |
| B. madagascariensis * | 40.0 | 26.7 | Handle/Mortar | 3.2/1.7 | 3.1 ± 1.6/25.0 ± 1.2 | 9.9 ± 5.1/42.5 ± 2.0 |
| B. nilotica ** | 5.0 | - | Carapace | 32.7 | 2.8 ± 0.5 | 91.6 ± 16.4 |
| Use in hut construction | ||||||
| A. adianthifolia * | 5.0 | 20.0 | Stem | 1.0 | 31.5 ± 2.3 | 31.5 ± 2.3 |
| B. boehmii * | 25.0 | 33.3 | Stem | 1.0 | 23.3 ± 4.1 | 23.3 ± 4.1 |
| B. spiciformis * | 15.0 | 40.0 | Stem | 1.0 | 25.0 ± 1.6 | 25.0 ± 1.6 |
| J. paniculata * | 40.0 | 46.7 | Stem | 1.5 | 60.6 ± 3.8 | 90.9 ± 5.7 |
| P. angolensis * | 45.0 | 13.3 | Stem | 2.0 | 37.5 ± 0.8 | 75.0 ± 1.6 |
| P. tintorius * | 5.0 | - | Stem | 2.0 | 26.1 ± 2.5 | 52.2 ± 5.0 |
| Constraints | Markets (F%) | Average Percentage (%) | |
|---|---|---|---|
| Manika (n = 20) | Kasulo (n = 15) | ||
| Remoteness from supply areas | 35.0 | 33.3 | 34.2 |
| Seasonality | 25.0 | 26.7 | 25.8 |
| Lack of processed by-products | 10.0 | 6.7 | 8.3 |
| Scarcity | 10.0 | 6.7 | 8.3 |
| Limited access to finance | - | 13.3 | 6.7 |
| Consumer preference for imported products | 10.0 | - | 5.0 |
| Poor packaging of NTFPs by intermediary sellers | - | 6.7 | 3.4 |
| High taxation | - | 6.7 | 3.4 |
| Limited consumer knowledge of NTFP properties | 5.0 | - | 2.5 |
| Short shelf life of NTFPs | 5.0 | - | 2.5 |
| Recommendations | Markets (F%) | Average Percentage (%) | |
|---|---|---|---|
| Manika (n = 20) | Kasulo (n = 15) | ||
| Establish NTFP processing chains | 30.0 | 40.0 | 35.0 |
| Promote the cultivation of NTFP source species | 35.0 | 26.6 | 30.8 |
| Raise awareness among the population about the benefits of local NTFPs | 20.0 | 6.7 | 13.4 |
| Rehabilitating rural access roads | - | 20.0 | 10.0 |
| Standardize NTFP sales units | 5.0 | 6.7 | 5.9 |
| Reduce taxes | 10.0 | - | 5.0 |
| Perception | Gender | Age Range | Education Level |
|---|---|---|---|
| Constraints | |||
| Remoteness from supply areas | 0.115 | 0.193 | 1.000 |
| Seasonality | 0.027 * | 0.130 | 0.019 * |
| Lack of processed by-products | 0.392 | 0.004 * | 0.172 |
| Scarcity | 0.019 * | 0.000 * | 0.018 * |
| Limited access to finance | 0.064 | 0.019 * | 0.064 |
| Consumer preference for imported products | 0.964 | 0.139 | 0.020 * |
| Poor packaging of NTFPs by intermediary sellers | 0.743 | 0.089 | 0.742 |
| High taxation | 0.398 | 0.658 | 0.398 |
| Limited consumer knowledge of NTFP properties | 0.743 | 0.089 | 0.743 |
| Short shelf life of NTFPs | 0.064 | 0.009 * | 0.063 |
| Suggestions | |||
| Establish NTFP processing chains | 0.689 | 0.557 | 0.184 |
| Promote the cultivation of NTFP source species | 0.200 | 0.398 | 0.089 |
| Raise awareness among the population about the benefits of local NTFPs | 0.079 | 0.059 | 0.032 * |
| Rehabilitating rural access roads | 0.562 | 1.000 | 0.046 * |
| Standardize NTFP sales units | 1.000 | 0.046 * | 0.089 |
| Reduce taxes | 1.000 | 0.089 | 0.266 |
| Species | Uses/Parts and Organs Used | UF (%), n = 384 | Average Quantity Purchased Per Month (kg) | UV | Availability | ||||
|---|---|---|---|---|---|---|---|---|---|
| Fo. | Med. | Ri. | Ha. | Co. | |||||
| B. madagascariensis * | - | Ro, Ba | Ro, Ba | St | St | 43.2 | 2.8 ± 0.2 | 2.4 | Frequent |
| C. schweinfurthii * | Fr | Re | Re, Se | - | - | 60.9 | 1.4 ± 0.1 | 2.3 | Infrequent |
| T. mollis * | - | Ro, Ba | - | St | St | 45.1 | 3.1 ± 0.0 | 2.2 | Frequent |
| G. ternifolia * | - | Ro | - | St | - | 36.9 | 1.8 ± 0.1 | 2.2 | rare |
| A. antunesiana * | - | Ro, Ba | - | St | St | 76.6 | 4.3 ± 0.1 | 2.1 | Frequent |
| C. corbisieri * | - | Ro | Ro | - | - | 41.1 | 0.5 ± 0.0 | 2.0 | Infrequent |
| P. sebae ** | Me | Oil | Oil | - | - | 43.2 | 1.2 ± 0.2 | 2.0 | Infrequent |
| Z. chalybeum * | - | Ro | - | St | - | 48.2 | 3.0 ± 0.1 | 2.0 | rare |
| S. cocculoides * | Fr | Ro | - | - | - | 63.8 | 2.7 ± 0.0 | 1.2 | Infrequent |
| P. umbellatum * | Le | Le | - | - | - | 72.4 | 3.6 ± 0.1 | 1.1 | Frequent |
| A. boehmii * | Fr | Ro | - | - | St | 57.0 | 2.5 ± 0.2 | 1.0 | Infrequent |
| S. latifolius * | - | Ro | - | - | - | 53.1 | 0.6 ± 0.1 | 1.0 | Frequent |
| E. lactea ** | Cat | - | - | - | - | 33.3 | 1.9 ± 0.0 | 1.0 | Infrequent |
| D. reflexa * | Fl | - | - | - | - | 34.1 | 1.9 ± 0.1 | 1.0 | Frequent |
| U. kirkiana * | Fr | Ro | - | - | - | 47.1 | 3.5 ± 0.4 | 1.0 | Infrequent |
| I. epimethea ** | Cat | - | - | - | - | 41.1 | 2.7 ± 0.0 | 1.0 | Frequent |
| C. afrocibarius *** | Fb | - | - | - | - | 45.1 | 4.0 ± 0.0 | 1.0 | Frequent |
Disclaimer/Publisher’s Note: The statements, opinions and data contained in all publications are solely those of the individual author(s) and contributor(s) and not of MDPI and/or the editor(s). MDPI and/or the editor(s) disclaim responsibility for any injury to people or property resulting from any ideas, methods, instructions or products referred to in the content. |
© 2026 by the authors. Licensee MDPI, Basel, Switzerland. This article is an open access article distributed under the terms and conditions of the Creative Commons Attribution (CC BY) license.
Share and Cite
Kikuni Tchowa, J.; Mpanda Mukenza, M.; Nghonda, D.-d.N.; Malaisse, F.; Bastin, J.-F.; Useni Sikuzani, Y.; Sambieni, K.R.; Kazadi, A.T.; Moyene, A.B.; Bogaert, J. Urban Trade of Non-Timber Forest Products (NTFPs) in Kolwezi, DR Congo: Diversity, Livelihoods, and Sustainability Changes. Conservation 2026, 6, 48. https://doi.org/10.3390/conservation6020048
Kikuni Tchowa J, Mpanda Mukenza M, Nghonda D-dN, Malaisse F, Bastin J-F, Useni Sikuzani Y, Sambieni KR, Kazadi AT, Moyene AB, Bogaert J. Urban Trade of Non-Timber Forest Products (NTFPs) in Kolwezi, DR Congo: Diversity, Livelihoods, and Sustainability Changes. Conservation. 2026; 6(2):48. https://doi.org/10.3390/conservation6020048
Chicago/Turabian StyleKikuni Tchowa, John, Médard Mpanda Mukenza, Dieu-donné N’tambwe Nghonda, François Malaisse, Jean-François Bastin, Yannick Useni Sikuzani, Kouagou Raoul Sambieni, Audry Tshibangu Kazadi, Apollinaire Biloso Moyene, and Jan Bogaert. 2026. "Urban Trade of Non-Timber Forest Products (NTFPs) in Kolwezi, DR Congo: Diversity, Livelihoods, and Sustainability Changes" Conservation 6, no. 2: 48. https://doi.org/10.3390/conservation6020048
APA StyleKikuni Tchowa, J., Mpanda Mukenza, M., Nghonda, D.-d. N., Malaisse, F., Bastin, J.-F., Useni Sikuzani, Y., Sambieni, K. R., Kazadi, A. T., Moyene, A. B., & Bogaert, J. (2026). Urban Trade of Non-Timber Forest Products (NTFPs) in Kolwezi, DR Congo: Diversity, Livelihoods, and Sustainability Changes. Conservation, 6(2), 48. https://doi.org/10.3390/conservation6020048

