Spatiotemporal Patterns of Human–Carnivore Encounters in a Seasonally Changing Landscape: A Case Study of the Fishing Cat in Hakaluki Haor, Bangladesh
Abstract
:1. Introduction
2. Materials and Methods
2.1. Study Area
2.2. Fishing Cat
2.3. Collection of Human–Fishing Cat Encounter Data
2.4. Environmental and Social Dataset
2.5. Data Analysis
3. Results
3.1. General Patterns of Encounters with Fishing Cats
3.2. Temporal Patterns of Encounters
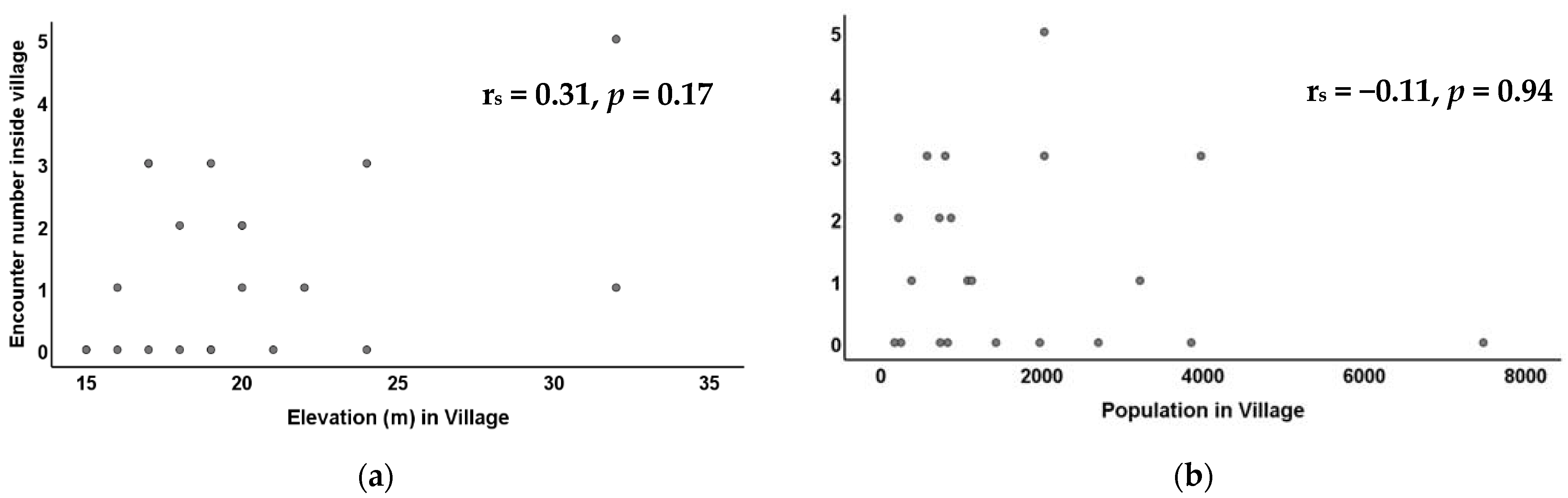
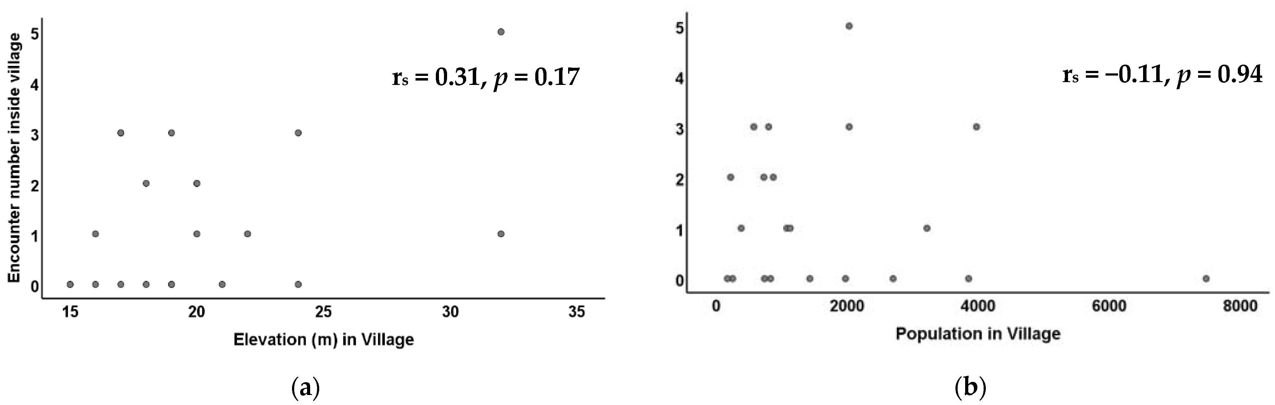
3.3. Spatial Patterns of Encounters
3.4. Seasonality in Encounters during Livelihood in the Haor and Village Areas
4. Discussion
Supplementary Materials
Author Contributions
Funding
Institutional Review Board Statement
Informed Consent Statement
Data Availability Statement
Acknowledgments
Conflicts of Interest
References
- Sillero-Zubiri, C.; Switzer, D. Crop Raiding Primates: Searching for Alternative, Humane Ways to Resolve Conflict with Farmers in Africa. People Wildl. 2001, 1–19. Available online: https://www.researchgate.net/publication/242200469_Crop_raiding_primates_Searching_for_alternative_humane_ways_to_resolve_conflict_with_farmers_in_Africa (accessed on 20 May 2022).
- Madden, F. Creating Coexistence between Humans and Wildlife: Global Perspectives on Local Efforts to Address Human–Wildlife Conflict. Hum. Dimens. Wildl. 2004, 9, 247–257. [Google Scholar] [CrossRef]
- Quigley, H.; Herrero, S. Characterization and Prevention of Attacks on Humans. People Wildl. 2009, 27–48. [Google Scholar] [CrossRef]
- Oriol-Cotterill, A.; Macdonald, D.W.; Valeix, M.; Ekwanga, S.; Frank, L.G. Spatiotemporal Patterns of Lion Space Use in a Human-Dominated Landscape. Anim. Behav. 2015, 101, 27–39. [Google Scholar] [CrossRef]
- Broekhuis, F.; Cushman, S.A.; Elliot, N.B. Identification of Human–Carnivore Conflict Hotspots to Prioritize Mitigation Efforts. Ecol. Evol. 2017, 7, 10630–10639. [Google Scholar] [CrossRef]
- Naha, D.; Dash, S.K.; Kupferman, C.; Beasley, J.C.; Sathyakumar, S. Movement Behavior of a Solitary Large Carnivore within a Hotspot of Human-Wildlife Conflicts in India. Sci. Rep. 2021, 11, 1–14. [Google Scholar] [CrossRef]
- Elliot, N.B.; Cushman, S.A.; Macdonald, D.W.; Loveridge, A.J. The Devil Is in the Dispersers: Predictions of Landscape Connectivity Change with Demography. J. Appl. Ecol. 2014, 51, 1169–1178. [Google Scholar] [CrossRef]
- Loveridge, A.J.; Kuiper, T.; Parry, R.H.; Sibanda, L.; Hunt, J.H.; Stapelkamp, B.; Sebele, L.; Macdonald, D.W. Bells, Bomas and Beefsteak: Complex Patterns of Human-Predator Conflict at the Wildlife-Agropastoral Interface in Zimbabwe. PeerJ 2017, 2017, 1–24. [Google Scholar] [CrossRef]
- Naha, D.; Sathyakumar, S.; Rawat, G.S. Understanding Drivers of Human-Leopard Conflicts in the Indian Himalayan Region: Spatio-Temporal Patterns of Conflicts and Perception of Local Communities towards Conserving Large Carnivores. PLoS ONE 2018, 13, e204528. [Google Scholar] [CrossRef] [Green Version]
- Sharma, P.; Chettri, N.; Uddin, K.; Wangchuk, K.; Joshi, R.; Tandin, T.; Pandey, A.; Gaira, K.S.; Basnet, K.; Wangdi, S.; et al. Mapping Human—Wildlife Conflict Hotspots in a Transboundary Landscape, Eastern Himalaya. Glob. Ecol. Conserv. 2020, 24, e01284. [Google Scholar] [CrossRef]
- Marchini, S. Who’s in Conflict with Whom? Human Dimensions of the Conflicts Involving Wildlife. In Applied Ecology and Human Dimensions in Biological Conservation; Springer: Berlin/Heidelberg, Germany, 2014; pp. 189–209. [Google Scholar] [CrossRef]
- Alvarenga, G.C.; Chiaverini, L.; Cushman, S.A.; Dröge, E.; Macdonald, D.W.; Kantek, D.L.Z.; Morato, R.G.; Thompson, J.J.; Oscar, R.B.L.M.; Abade, L.; et al. Multi-Scale Path-Level Analysis of Jaguar Habitat Use in the Pantanal Ecosystem. Biol. Conserv. 2021, 253. [Google Scholar] [CrossRef]
- Patterson, B.D.; Kasiki, S.M.; Selempo, E.; Kays, R.W. Livestock Predation by Lions (Panthera Leo) and Other Carnivores on Ranches Neighboring Tsavo National Parks, Kenya. Biol. Conserv. 2004, 119, 507–516. [Google Scholar] [CrossRef]
- Kolowski, J.M.; Holekamp, K.E. Spatial, Temporal, and Physical Characteristics of Livestock Depredations by Large Carnivores along a Kenyan Reserve Border. Biol. Conserv. 2006, 128, 529–541. [Google Scholar] [CrossRef]
- Acharya, K.P.; Paudel, P.K.; Neupane, P.R.; Köhl, M. Human-Wildlife Conflicts in Nepal: Patterns of Human Fatalities and Injuries Caused by Large Mammals. PLoS ONE 2016, 11, e161717. [Google Scholar] [CrossRef]
- David Mech, L.; Harper, E.K.; Meier, T.J.; Paul, W.J. Assessing Factors That May Predispose Minnesota Farms to Wolf Depredations on Cattle. Wildl. Soc. Bull. 2000, 28, 623–629. [Google Scholar]
- Ogada, M.O.; Woodroffe, R.; Oguge, N.O.; Frank, L.G. Limiting Depredation by African Carnivores: The Role of Livestock Husbandry; Limitando La Depredación de Carnívoros Africanos: El Papel de La Crianza de Ganado. Conserv. Biol. 2003, 17, 1521–1530. [Google Scholar] [CrossRef]
- Loveridge, A.J.; Valeix, M.; Elliot, N.B.; Macdonald, D.W. The Landscape of Anthropogenic Mortality: How African Lions Respond to Spatial Variation in Risk. J. Appl. Ecol. 2016, 54, 815–825. [Google Scholar] [CrossRef]
- Mukeka, J.M.; Ogutu, J.O.; Kanga, E.; Røskaft, E. Human-Wildlife Conflicts and Their Correlates in Narok County, Kenya. Glob. Ecol. Conserv. 2019, 18, e00620. [Google Scholar] [CrossRef]
- Klees van Bommel, J.; Badry, M.; Ford, A.T.; Golumbia, T.; Burton, A.C. Predicting Human-Carnivore Conflict at the Urban-Wildland Interface. Glob. Ecol. Conserv. 2020, 24, e01322. [Google Scholar] [CrossRef]
- Cavalcanti, S.M.C.; Gese, E.M. Spatial Ecologyand Social Interactions of Jaguars (Panthera Onca) in the Southern Pantanal, Brazil. J. Mammal. 2009, 90, 935–945. [Google Scholar] [CrossRef] [Green Version]
- Kamal, A.S.M.M.; Shamsudduha, M.; Ahmed, B.; Hassan, S.M.K.; Islam, M.S.; Kelman, I.; Fordham, M. Resilience to Flash Floods in Wetland Communities of Northeastern Bangladesh. Int. J. Disaster Risk Reduct. 2018, 31, 478–488. [Google Scholar] [CrossRef] [Green Version]
- Alho, C.J.R.; Silva, J.S.V. Effects of Severe Floods and Droughts on Wildlife of the Pantanal Wetland (Brazil)-a Review. Animals 2012, 2, 591–610. [Google Scholar] [CrossRef] [Green Version]
- Mukherjee, S.; Adhya, T.; Thatte, P.; Ramakrishnan, U. Survey of the Fishing Cat Prionailurus Viverrinus Bennett, 1833 (Carnivora: Felidae) and Some Aspects Impacting Its Conservation in India. J. Threat. Taxa 2012, 4, 3355–3361. [Google Scholar] [CrossRef]
- CBD. The Sixth National Report of Bangladesh to the Convention on Biological Diversity (CBD). 2019. Available online: https://www.cbd.int/doc/nr/nr-06/bd-nr-06-en.pdf (accessed on 20 May 2022).
- Choudhury, G.A.; Nishat, A. Hydro-Meteorological Characteristics of Hakaluki Haor; IUCN Bangladesh: Dhaka, Bangladesh, 2005; pp. 1–94. ISBN 984-8574-23-9. [Google Scholar]
- Das, M.K.; Islam, A.K.M.S.; Karmakar, S.; Khan, M.J.U.; Mohammed, K.; Islam, G.M.T.; Bala, S.K.; Hopson, T.M. Synoptic Flow Patterns and Large-Scale Characteristics of Flash Flood-Producing Rainstorms over Northeast Bangladesh. Meteorol. Atmos. Phys. 2020, 132, 613–629. [Google Scholar] [CrossRef]
- Rahman, H.A. Mammal Biodiversity in the Northeast Forests, and the Distribution of Fishing Cats in Bangladesh. Master’s thesis, University of Delaware, Delaware, Newark, NJ, USA, 2017. [Google Scholar]
- Mukherjee, S.; Sanderson, J.; Duckworth, W.; Melisch, R.; Khan, J.; Wilting, A.; Sunarto, S.; Howard, J.G. Prionailurus Viverrinus, Fishing Cat. IUCN Red List 2016, 8235. [Google Scholar] [CrossRef]
- Bassi, N.; Kumar, M.D.; Sharma, A.; Pardha-Saradhi, P. Status of Wetlands in India: A Review of Extent, Ecosystem Benefits, Threats and Management Strategies. J. Hydrol. Reg. Stud. 2014, 2, 1–19. [Google Scholar] [CrossRef] [Green Version]
- Shankar, A.; Salaria, N.; Sanil, R.; Chackaravarthy, S.D.; Shameer, T.T. Spatio-Temporal Association of Fishing Cats with the Mammalian Assemblages in the East Godavari Mangrove Delta, India. Mammal Study 2020, 45, 303–313. [Google Scholar] [CrossRef]
- Mishra, R.; Gautam, B.; Kaspal, P.; Shah, S.K. Population Status and Threats to Fishing Cat Prionailurus Viverrinus (Bennett, 1833) in Koshi Tappu Wildlife Reserve, Eastern Nepal. Nepal. J. Zool. 2021, 5, 13–21. [Google Scholar] [CrossRef]
- Phosri, K.; Tantipisanuh, N.; Chutipong, W.; Gore, M.L.; Giordano, A.J.; Ngoprasert, D. Fishing Cats in an Anthropogenic Landscape: A Multi-Method Assessment of Local Population Status and Threats. Glob. Ecol. Conserv. 2021, 27. [Google Scholar] [CrossRef]
- Chowdhury, S.U.; Chowdhury, A.R.; Ahmed, S.; Muzaffar, S.B. Human-Fishing Cat Conflicts and Conservation Needs of Fishing Cats in Bangladesh. Cat News 2015, 62, 4–7. [Google Scholar]
- Sultana, M.N.; Suzuki, A.; Numata, S.; Aziz, M.A.; Palash, A. Irrational Killing of Perceived-Damage Causing Species: A Case Study of Fishing Cat Killing in Bangladesh. J. Threat. Taxa, 2022; under review. [Google Scholar]
- BBS. Population & Housing Census 2011. 2011. Available online: https://bbs.portal.gov.bd/sites/default/files/files/bbs.portal.gov.bd/page/7b7b171a_731a_4854_8e0a_f8f7dede4a4a/PHC2011PreliminaryReport.pdf (accessed on 20 May 2022).
- Ibbett, H.; Jones, J.P.G.; St John, F.A.V. Asking Sensitive Questions in Conservation Using Randomised Response Techniques. Biol. Conserv. 2021, 260, 109191. [Google Scholar] [CrossRef]
- Xu, H. A Study on Information Extraction of Waterbody with the Modified Normalized Difference Water Index (MNDWI). J. Remote Sens. 2005, 9, 589–595. [Google Scholar]
- Parvez, M.; Islam, M.R.; Dey, N.C. Household Food Insecurity after the Early Monsoon Flash Flood of 2017 among Wetland (Haor) Communities of Northeastern Bangladesh: A Cross-Sectional Study. Food Energy Secur. 2021, 1–14. [Google Scholar] [CrossRef]
- Mamede, S.B.; Alho, C.J.R. Response of Wild Mammals to Seasonal Shrinking-and-Expansion of Habitats Due to Flooding Regime of the Pantanal, Brazil. Brazilian J. Biol. 2006, 66, 991–998. [Google Scholar] [CrossRef] [Green Version]
- CEGIS, (Center for Environmental and Geographic Information Services). Master Plan of Haor Area. Volume 1, Summmary Report. 2012. Available online: https://climateportal.ccdbbd.org/wp-content/uploads/2021/06/Master-Plan-of-Haor-Areas-in-2012-Volume-1.pdf (accessed on 20 May 2022).
- Cutter, P. Fishing Cat Ecology: Food Habits, Home Ranges, Habitat Use and Mortality in a Human-Dominated Landscape around Khao Sam Roi Yot, Peninsular Thailand. 2015. Available online: https://conservancy.umn.edu/handle/11299/174755 (accessed on 20 May 2022).






| Occupations of Villagers Encountering Fishing Cat (s) | Haor | Village | ||||||||
|---|---|---|---|---|---|---|---|---|---|---|
| Times of Encounter | * Activity Engaged in during the Encounter | Times of Encounter | * Activity Engaged in during the Encounter | |||||||
| Dawn | Daylight | Dusk | Night | Dawn | Daylight | Dusk | Night | |||
| Farmer | 1 | 10 | 22 | - | a | 4 | 1 | 5 | 2 | c |
| Businessman | 3 | - | - | - | b | 1 | 4 | 2 | - | d |
| Fisherman | 7 | - | 5 | - | b | - | - | - | - | - |
| Gardener | - | - | - | - | - | - | 1 | - | 1 | e |
| Carpenter | - | - | - | - | - | - | 1 | - | 1 | f |
| Teacher | - | - | - | - | - | - | - | - | 1 | g |
| Housewife | - | - | - | - | - | 1 | - | - | 1 | h |
| Unemployed | - | - | - | - | - | - | 1 | - | - | i |
| Total | 11 | 10 | 27 | - | 6 | 8 | 7 | 6 | ||
| Area | Locations of Encounter | Season of the Use for Livelihood | Dry | Wet | Dry | |||||||||
|---|---|---|---|---|---|---|---|---|---|---|---|---|---|---|
| 1 | 2 | 3 | 4 | 5 | 6 | 7 | 8 | 9 | 10 | 11 | 12 | |||
| Haor | Cropping Field | Dry | X | X | X | X | X | |||||||
| Forest | Dry | X | X | X | ||||||||||
| Grassland | Dry | X | X | |||||||||||
| Waterbody | Both | X | X | X | X | |||||||||
| Village | Road | Both | X | X | X | X | X | |||||||
| Pond | Both | X | X | X | X | |||||||||
| Abandoned House | Occasionally | X | ||||||||||||
| Mosque | Both | X | X | |||||||||||
Publisher’s Note: MDPI stays neutral with regard to jurisdictional claims in published maps and institutional affiliations. |
© 2022 by the authors. Licensee MDPI, Basel, Switzerland. This article is an open access article distributed under the terms and conditions of the Creative Commons Attribution (CC BY) license (https://creativecommons.org/licenses/by/4.0/).
Share and Cite
Eva, A.N.; Suzuki, A.; Numata, S. Spatiotemporal Patterns of Human–Carnivore Encounters in a Seasonally Changing Landscape: A Case Study of the Fishing Cat in Hakaluki Haor, Bangladesh. Conservation 2022, 2, 402-413. https://doi.org/10.3390/conservation2030027
Eva AN, Suzuki A, Numata S. Spatiotemporal Patterns of Human–Carnivore Encounters in a Seasonally Changing Landscape: A Case Study of the Fishing Cat in Hakaluki Haor, Bangladesh. Conservation. 2022; 2(3):402-413. https://doi.org/10.3390/conservation2030027
Chicago/Turabian StyleEva, Afsana Nasreen, Ai Suzuki, and Shinya Numata. 2022. "Spatiotemporal Patterns of Human–Carnivore Encounters in a Seasonally Changing Landscape: A Case Study of the Fishing Cat in Hakaluki Haor, Bangladesh" Conservation 2, no. 3: 402-413. https://doi.org/10.3390/conservation2030027
APA StyleEva, A. N., Suzuki, A., & Numata, S. (2022). Spatiotemporal Patterns of Human–Carnivore Encounters in a Seasonally Changing Landscape: A Case Study of the Fishing Cat in Hakaluki Haor, Bangladesh. Conservation, 2(3), 402-413. https://doi.org/10.3390/conservation2030027

