Next Article in Journal
The Decline of Common Birds Exemplified by the Western Jackdaw Warns on Strong Environmental Degradation
Previous Article in Journal
Landscape Characteristics Affecting Small Mammal Occurrence in Heterogeneous Olive Grove Agro-Ecosystems
 
 
Font Type:
Arial Georgia Verdana
Font Size:
Aa Aa Aa
Line Spacing:
Column Width:
Background:
Article

Heavy Metal Pollution Reduced the Potentiality of Pen Culture in the Wetland Aquaculture in an Urban Area of Bangladesh

1
Department of Fisheries Management, Bangabandhu Sheikh Mujibur Rahman Agricultural University, Gazipur 1706, Bangladesh
2
Department of Genetics and Fish Breeding, Bangabandhu Sheikh Mujibur Rahman Agricultural University, Gazipur 1706, Bangladesh
3
Department of Fisheries Technology, Bangabandhu Sheikh Mujibur Rahman Agricultural University, Gazipur 1706, Bangladesh
4
National Oceanographic and Maritime Institute (NOAMI), 10/8 Eastern Plaza, Sonargaon Road, Hatirpool, Dhaka 1219, Bangladesh
5
Department of Agroforestry and Environment, Bangabandhu Sheikh Mujibur Rahman Agricultural University, Gazipur 1706, Bangladesh
*
Author to whom correspondence should be addressed.
Conservation 2022, 2(1), 68-79; https://doi.org/10.3390/conservation2010006
Submission received: 6 December 2021 / Revised: 10 January 2022 / Accepted: 12 January 2022 / Published: 15 January 2022

Abstract

The Belai beel serves as an important aquatic resource for the livelihood of the local community of the Gazipur district in Bangladesh. However, water pollution in recent times, mainly from industrial wastes and sewage effluents, may disrupt its aquatic environment. Thus, the purpose of the present study was to assess the potential area of pen fish culture in the Belai beel. The study was performed in the Rajbagan (L1), Kamaria (L2) and Rewla (L3) areas of the Belai beel. Grass carp, silver carp, common carp, catla and rui of 20–30 cm in size were stocked at a rate of 15,000 fish/ha and reared for 150 days in pens installed in the L1, L2 and L3 areas, respectively. The fishes were fed with mustard oil cake and rice bran. Maximum fish production was found in Rewla (12.97 ton/ha/150 days) compared to Rajbagan (8.85 ton/ha/150 days) and Kamaria (10.67 ton/ha/150 days) due to it having comparatively good quality water. There were significant differences in metal ion concentrations (p < 0.05) among the three fish pens. In the Rajbagan area, concentrations of Cd and Cu in the water coming from the industrial effluent canal exceeded the acceptable limit. Results indicated that the Rewla area was better than Rajbagan and Kamaria due to it having relatively good quality water for pen fish culture.

1. Introduction

Bangladesh is considered among the foremost appropriate regions for having one of the most productive and dynamic fisheries sectors in the world, with immense wetland resources [1]. The wetland resources play a vital role by ensuring food, income and employment opportunities [2]. The vast fishery resources in Bangladesh are categorized into two subsectors: inland (culture and capture) and marine fisheries. The inland capture fisheries include 853,863 ha of river and estuary, 177,700 ha of Sundarbans, 114,161 ha of beel, 68,800 ha of Kaptai Lake and 2,695,529 ha of floodplain (hoar). The productivity of the beel fisheries is 875 kg/ha [3]. Therefore, inland capture fisheries are the prime source of total fish production, food security, employment opportunities and foreign earnings, but their contribution to national fish production has declined from 36.42% in 2001–2002 to 28.19% in 2018–2019 [3]. As a result, fish consumption from capture fisheries has declined [4]. As a consequence, there is no alternative way to increase the fish production of inland culture fisheries.
Pen culture is the new approach to fish culture in inland open waterbodies, which involves the raising of fish in a volume of water enclosed on all sides except the bottom and shows better growth and survival rates [5]. Its productivity is 22 kg/cubic meter and it contributed 0.24% and 0.28% to the total fish production in 2017–2018 and 2018–2019, respectively [2]. The method has the advantage of increasing the fish production of inland capture fisheries because the productivity per hectare of water area of inland waterbodies has not been attained at its optimum in Bangladesh yet. Due to the overgrowing population with increasing demand on land for residential, industrial and urban development, it is difficult to obtain land for the construction of ponds for raising fish seed and fish. In rural areas in developing countries, especially in Asia and South America, fish production has increased through the pen culture technique, and it acts as an important technique in the context of culture-based fisheries [6]. Through pen culture, culture-based fisheries also have added advantages over traditional forms of aquaculture due to it being less resource intensive, a high fish fry survivability rate, high fish production and profitability [7].
In Bangladesh, pen culture was practiced in a low-lying monsoon-flooded land covering an area of about 10 hectares in the Khilkhet area, Dhaka for seven months in 1999 [8]. In 2009–2010, a pen culture exhibition, held under the district fisheries development project [9], showed the inclusion of landowners and local people. The pen culture of fish provides facilities for the proper utilization of water space, keeps fish safe from predation, cultures various fish species, high fish production and allows for ease of harvest [10,11].
The Belai beel, situated in the Gazipur district, serves as an important source of small native fishes and aquatic fauna and is suitable for culture-based fishery development through pen culture due to it having many triangle-shaped fringes. This beel has free connection with the Shitalakhya River and Turag River. It carries floodwater from the Shitalakhya River and Turag River during the flood season. In recent years, urbanization and industrialization activities near the bank of the Turag River have created an industrial pollution problem in the water due to the majority of industries discharging their effluents directly or indirectly into the Turag River without any treatment, causing pollution of the water [12,13,14]. This complex mixture of organic and inorganic hazardous chemicals entering into the Belai beel deteriorates not only the water quality but also the sediment of this beel and makes its water unsuitable for recreation, agriculture and aquaculture. In recent years, anthropogenic activities have become major problems for wetland fish production, as they contain different metallic ions that are harmful for aquatic ecosystems [15]. Information with respect to the pen fish culture in beels is limited, though most of the information on fish species diversity and the livelihood status of beel fisheries is available in Bangladesh and around the world [10,15,16,17]. However, the culture of fish in the pen system considering metallic ion concentrations in the water has not been documented. For this reason, three locations were selected (very close to and far away from industrial effluent canals). Hence, the present study was undertaken to identify the proper location for pen fish farming, based on the water quality and metallic ions in the water, and compare the fish production and economic returns of the pen fish farmers of the Belai beel, Bangladesh.

2. Materials and Methods

2.1. Study Area

This study was conducted at Belai beel, Gazipur, Bangladesh through installation of pen for fish farming in three locations, viz., Rajbagan (L1) (latitude: 23.993177; longitude: 90.448467), Kamaria (L2) (latitude: 23.980713; longitude: 90.506742) and Rewla (L3) (latitude: 23.935732; longitude: 90.543397) (Figure 1).
Rajbagan was connected to the industrial effluent canal (IEC), whereas Kamaria was one km away from the IEC, and Rewla was three km away from the IEC. This work was carried out for 150 days from June to October 2018.

2.2. Prestocking Management

Bamboo poles, bamboo slats, nylon ropes and mosquito nets were used for construction of a fish pen. Pens were constructed by joining together several bamboo banas (Figure 2). A bana is prepared using bamboo splits and joined together with nylon ropes. The size of each bana (approximately 2 m in height and 2.5 m in length) varied from pen to pen. Several banas were joined together to form pen frame on each side. The structural framework was prepared using 2.5 m long bamboo poles (fixed in the bottom mud vertically along the guide rope at 1 m intervals) with upper and middle bamboo bracing. The whole frame was supported on each side by long bamboo poles having gap of 25 m between two pens. The longevity of these types of pen frames varied from 1–1.5 years. The size of each bana varied from pen to pen. Cow dung and lime were applied at a rate of 2500 kg ha−1 yr−1 and 250 kg ha−1 yr−1, respectively, to accelerate plankton production and maintain good water quality condition in pen farming.

2.3. Stocking and Post Stocking Management

The species of fish such as grass carp (Ctenopharyngodon idella), silver carp (Hypophthalmichthys molitrix), common carp (Cyprinus carpio), catla (Catla catla) and rui (Labeo rohita) of 20–30 cm in length were stocked at a rate of 15,000 fish/ha. Stock distribution of grass carp, silver carp, common carp, catla and rui was 31%, 28%, 19%, 11% and 11%, respectively. Fish were fed with mustard oil cake and rice bran at a rate of 600 kg ha−1 yr−1 and 369 kg ha−1 yr−1, respectively, in the morning. Feeding was carried out by hand-feeding method. Wooden boat was used for distribution of feed in fish pen. The water quality parameters were measured monthly. Water samples were collected at selected depths (0–0.5 m, euphotic layer) using a 1.5 L water sampler (Wildco instruments, Wildlife supply company, Gene Lasserre Blvd., Yulee, FL 32097, USA). Water quality parameters such as water temperature, dissolved oxygen (DO) and pH were measured by using portable digital meter (HQ30d, HACH), DO meter (HQ30d, HACH) and pH meter (sensION+EC72), respectively. Nitrite, nitrate, ammonia and phosphate were determined [18] by spectrophotometer (HACH, DR-6000, Loveland, CO 80539 (USA), Made in Germany, S/N: 1824775) in the Coastal and Marine Dynamics Laboratory, Department of Fisheries Management, Bangabandhu Sheikh Mujibur Rahman Agricultural University (BSMRAU). Nitrite was analyzed by USEPA diazotization method, ammonia by USEPA Nessler method and phosphate by USEPA ascorbic acid method. One liter of water samples was filtered through a Whatman GF/F (0.45 μ) filter paper, and then a drop of HNO3 (65%) was added to make their pH < 2 for preservation. After that, the amount of water samples used in the determination of nitrate, nitrite, ammonia and phosphate contents was 25 mL, 20 mL, 25 mL and 20 mL, respectively. Additionally, 10 mL water samples were used to determine the metallic ions in water. Metal ion concentration was determined by NexION 1000 inductive coupled plasma mass spectrometry (ICP-MS) (PerkinElmer, Waltham, MA, USA) in the Department of Agroforestry and Environment Laboratory, Bangabandhu Sheikh Mujibur Rahman Agricultural University, Bangladesh.
Phytoplankton samples were collected by trawling 25 μm mesh size plankton net horizontally. The crude samples were transferred into 150 mL black colored plastic bottle and preserved using Lugol’s solution. Samples were stored in the dark and under refrigeration. Qualitative and quantitative analysis of phytoplankton samples were performed under a phase-contrast microscope (Carl Zeiss Microscopy GmbH, Primo Star, Axiocam, Germany) to enumerate the count up to lowest taxonomic rank [19]. Phytoplankton taxa were identified following [20]. Sedgwick-Rafter chamber was used for counting plankton cells. The phytoplankton per liter of original water was estimated applying the following formula [19].

2.4. Estimation of Fish Growth and Production

Monthly growth measurements of fish species were carried out by randomly sampling at least 15% of species. The weight was measured by portable balance. The following formulae were used to evaluate the production of stocked fishes:
Gross weight (kg) = Number of fingerlings × average final weight (kg)
Gross production (ton/ha/150 days) = Gross weight (kg) ÷ 1000.

2.5. Economic Analysis

A simple economic analysis was conducted to compare net returns of pen culture practices in the three different locations.
Net return = Total output (income) − Total input (cost).

2.6. Statistical Analysis

Data were analyzed by R package (version 4.0.3) [21] and Statistical Package for Social Sciences (SPSS) 18.00. The Kruskal–Wallis test was employed to determine the significant difference of physico-chemical parameters among locations (Figure 3). Differences were considered significant at p level of <0.05.

3. Results

3.1. Water Quality

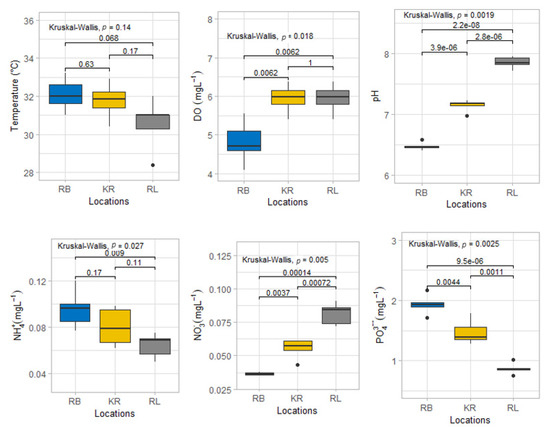
For raising fish in a pen, water quality parameters are an important consideration. Water quality parameters are the most important factors that directly influence the aquatic production of safe food. Suitable water quality parameters are a pre-requisite for a sound aquatic environment. The variations in physico-chemical parameters of water at different locations of the Belai beel during the study period are presented in Figure 4. The recorded water temperature ranged from 31 to 33.2 °C, 27.6 to 32.9 °C and 28.4 to 32 °C in L1, L2 and L3, respectively.
The observed DO levels were 4.80 ± 0.49 mg L−1, 5.94 ± 0.33 mg L−1 and 7.81 ± 0.19 mg L−1 in L1, L2 and L3, respectively. The observed pH levels in L1 (6.48 ± 0.06), L2 (7.14 ± 0.09) and L3 (7.83 ± 0.09) were within the acceptable limit for sustaining aquatic life. The recorded ammonia levels were 0.096 ± 0.015 mg L−1, 0.080 ± 0.014 mg L−1 and 0.064 ± 0.009 mg L−1 in L1, L2 and L3, respectively. In the present study, the nitrite level of the water in the fish pens in the different locations ranged between 0.001 and 0.018 mg L−1. The monthly variation of nitrate in the pens ranged from 0.028 to 0.091 mg L−1. The phosphate level of the water ranged between 0.75 and 2.17 mg L−1 among the three locations of the Belai beel. There were significant differences in water quality parameters, except temperature (p < 0.05), among locations L1, L2 and L3 (Table 1).

3.2. Phytoplankton Community

The phytoplankton consisted of twenty-seven genera in the Belai beel in four broad groups, viz., Chlorophyceae, Bacillariophyceae, Cyanophyceae and Euglenophyceae. Bacillariophyceae included various species belonging to genera Achnanthes sp., Amphora sp., Cyclotella sp., Fragilaria sp., Gomphonema sp., Navicula sp., Nitzschia sp., Pinnularia sp., Suriella sp., Synedra sp., Oocystis sp., Pediastrum sp., Scenedesmus sp., Spirogyra sp., Ulothrix sp. and Zygnema sp. Cyanophyceae included the genera of Anabaena sp., Chroococcus sp. and Oscillatoria sp. Chlorophyceae was comprised of genera such as Ankistrodesmus sp., Botrycoccus sp., Characium sp., Chlorella sp., Chlorococcum sp., Cladophora sp., Closterium sp. and Cosmarium sp. Euglenophyceae included only the genera of Phacus. An abundance of phytoplankton was recorded as 30.18 × 103 cells L−1, 38.98 × 103 cells L−1 and 48.57 × 103 cells L−1 in L1, L2 and L3, respectively (Figure 5).

3.3. Concentration of Metal Ions

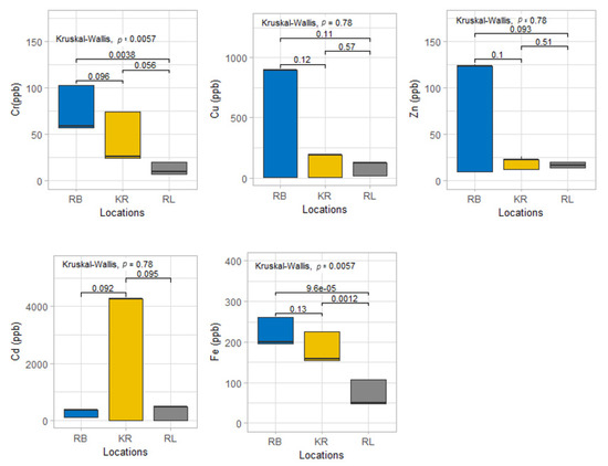
Comparatively higher and lower concentrations of iron (Fe), zinc (Zn), copper (Cu), cadmium (Cd) and chromium (Cr) were observed in locations L1 and L3, respectively. The concentrations were found to increase in the sequence of Cd > Cu > Fe > Zn > Cr, Cd > Cu > Fe > Zn > Cr and Cd > Cu > Fe >Zn> Cr in locations L3, L2 and L1, respectively. The measured concentrations of the elements (ppb) in the water among the three locations in the Belai beel are presented in Figure 6.
In Rajbagan, the concentrations of Cd and Cu in the water exceeded the limit [22] (Table 2). Cd showed the highest concentration and Zn showed the lowest concentration at all locations. The metal concentrations, such as Cd, Cr, Zn, Cu and Fe, of the water samples from the Belai beel ranged from 468.09 to 173,960.19 ppb, 7.53 to 56.96 ppb, 1.92 to 21.81 ppb, 125.01 to 897.61 ppb and 47.24 to 196.60 ppb, respectively. The water from the Rewla fish farm pen showed suitable ranges for all of the investigated metal ions (Fe, Zn, Cd, Cu and Cr). However, the metal ion concentrations of the water from Rajbagan and Kamaria exceeded the standard limits.

3.4. Growth and Production of Stocked Fish

The monthly variations of the average weight (g) of grass carp, silver carp, common carp, rui and catla in the different locations during the experimental period are presented in Figure 7. The initial mean weights of grass carp, silver carp, common carp, rui and catla were 219.3 g, 147.5 g, 189 g, 79 g and 139 g, respectively.
The highest growth was recorded in L3, and the lowest growth was recorded in L1. Grass carp reached an average weight of 1518 g in L1, 1653 g in L2 and 1857 g in L3. The harvesting weight of silver carp was varied; the highest weight gain (1168 g) and the lowest weight gain (881 g) were observed in L3 and L1, respectively. Common carp reached an average weight of 1050 g, 1250 g and 1458 g in L1, L2 and L3, respectively. Catla reached an average weight of 780 g in location L1, 885 g in L2 and 1037 g in L3. The final weights of rui were 419 g, 493 g and 573 g at the different locations. The highest yield of silver carp, 3.11 ton/ha/150 days, was found in location L3, and the lowest yield was in L1 (2.05 ton/ha/150 days). The highest yield of rui, 0.58 ton/ha/150 days, was observed in location L3. The gross production of fish species was 8.85 ton/ha/150 days in location L1, followed by 10.67 ton/ha/150 days in location L2 and 12.97 ton/ha/150 days in location L3 (Table 3).

3.5. Net Return

Variable costs are expenses that are actually paid and vary with the quantity of fish produced, such as fingerlings, feed, labor and transportation costs. Fixed costs are independent of the operation, such as the depreciation of pens, equipment and land use. Both were the major cost components. The total costs were BDT 285,245.00, 285,300.00 and 285,350.00 ha−1 150 days−1 in locations L1, L2 and L3, respectively. The total income was BDT 409,759.00, 452,759.00 and 482,759.00 ha−1 150 days−1 in locations L1, L2 and L3, respectively. The highest net return (BDT 197,409.00 ha−1 150 days−1) and the lowest net return (BDT 124,514.00 ha−1 150 days−1) were obtained from Rewla and Rajbagan, respectively (Table 2).

4. Discussion

Except for temperature, there was significant variance (p < 0.05) in the water quality parameters among three locations of the Belai beel. The water temperature, which ranged from 27.6 to 33.2 °C, was suitable for fish farming in a pen. The water temperature ranged from 25 to 27 °C under a pen culture in the Chatol beel floodplain [10]. The observed DO (4.5 ± 0.39 mg L−1) level in L1 was not optimal for supporting good fish production and caused slow growth of the fish due to stress. This reduction may be due to the high discharge of industrial effluents and sewage from the connected canal. Fish can survive when DO is less than 5 but grow slowly according to [23]. Always maintain a DO level above 5 ppm for the proper growth of fish [24]. A pH ranging from 6.5 to 8.5 is ideal for biological productivity, as fishes can become stressed in water that is not suitable for fishes, such as water with a low pH value ranging from 4.0 to 6.5 and a high value from 9.0 to 11.0 [25]. The results of this study show consistency with the previous study, except for Rajbagan. Fish showed a slow growth rate in Rajbagan, where the pH level was 6.48 ± 0.06. Applying lime in a fish pond maintains the optimal pH level, prevents fish diseases, increases the DO level and transparency in the water and decreases the amount of toxic gases from water [26]. In addition, cow dung also accelerates the growth of the primary food organisms in the water [27]. However, the use of excessive amounts of organic fertilizers can cause oxygen depletion, fish death and the use of raw cow dung creates harmful bacteria in the water [28]. The optimal concentration of ammonia for aquatic organisms is 0.1 mg L−1 according to [29,30]. The ammonia at each sampling time was found within a suitable range for fish production. The recorded nitrite, nitrate and phosphate were within the optimal range suitable for fish culture [29,31]. Concentrations of phosphate are ascribed to the discharge of municipal wastewater from houses into the Belai beel, in addition to the inflow of nitrogen fertilizer. The highest quantity of phytoplankton was obtained in location L3 (48.57 × 103 cells L−1) and the lowest was obtained in L1 (30.18 × 103 cells L−1). The availability of phytoplankton was lower in Rajbagan due to the introduction of waste effluent from the surrounding canal to the pen, which deteriorated the water quality and hampered sunlight penetration into the water body.
Among the three locations, higher concentrations of metal ions were found in Rajbagan and lower in Rewla (L3). In Rajbagan, the concentration of Cu in the water exceeded the standard limit. Among the elements, the concentration of Cd was higher, and the concentration of Zinc (Zn) was lower in the water. In our study, the higher concentrations of Cd in the water of the Belai beel might be due to the activities of mining, use of phosphate fertilizers, metal refining, burning of fossil fuel in several industries and waste being released into the water without proper treatment. In addition, the use of fertilizer containing cadmium, agricultural chemicals, pesticides and sewage sludge in farmland is also responsible for the contamination of water in the Belai beel. Cd causes several human diseases such as proteinuria, glucosuria, osteomalacia, aminoaciduria, emphysema [32]. In the Belai beel, the concentration of metallic ions in the water indicates that the input of pollutants comes from the various sources (industrial effluents, agricultural runoff, domestic and municipal sewage). The results of this study indicate industrial pollutants (discharge of industrial effluent, discharge of municipal wastewater and sewage, population explosion, disposal of solid and domestic waste, sewage and industrial waste) contribute to the contamination of the water quality in the Belai beel and alter its water quality. The threshold values for Fe, Zn, Cu, Cd and Cr in the water are listed in Table 3 [22].
Certain metal ions such as iron (Fe), zinc (Zn), chromium (Cr), cadmium (Cd) and copper (Cu) are necessary for the metabolic activities of the animals, but their exceeding limits can also be detrimental to health [33]. Bioaccumulation and oxidative stress are affected by metal ions in the water. Bioaccumulation is the process by which toxic substances accumulate in all the vital organs a fish’s body, mainly the liver, kidneys and gills [33,34]. The accumulation of metal ions in fish can cause structural damage and physiological changes in the fish’s body. Aquatic animals such as fishes cannot avoid the side effects of metal ions. The imbalanced conditions between the production of reactive oxygen species (ROS) and antioxidant defenses of the fishes are responsible for oxidative stresses in fish. An increase in the level of ROS can cause the breakdown of lipids, proteins and changes in gene expression, and heavy metals can produce free radicals [35]. All fish species showed better growth in Rewla than other locations, and the lowest growth rate was observed in Rajbagan. This might be due to the introduction of waste effluent from the surrounding canals, which deteriorates the water quality. The gross production of fish was higher in Rewla than Rajbagan and Kamaria. The growth of fish was faster in Rewla, and the area being located three km away from the industrial effluents canal ensured a good environment for the fish to have an optimal level of DO, pH and a higher abundance of phytoplankton. On the other hand, the growth of fish was significantly lower in Rajbagan, which was connected to the industrial effluents canal and as a result a higher amount of heavy metal entered into the pen after passing through canal. Both the total income and net return were higher in location L3 than the other locations, L2 and L1, due to the highest production of fish being in L3. The Belai beel is a potential aquatic resource in Gazipur and many local people depend on this beel directly or indirectly for their livelihood. Among the three locations, Rewla was ideal, but the Rajbagan area was being polluted. In the Rajabagan area, fish survive but showed slow growth and heavy metals may deposit in the fish’s bodies. So, the heavy metal concentrations in fish bodies should be determined in the future to better understand how good the fish are for human consumption. Based on the current research, the authors suggest new measures for conserving fish diversity by minimizing the threats to these Belai beel wetlands. The reduction or minimization of the impacts of industrial activities [17,36], minimizing the uses of harmful insecticides and pesticides in agricultural crops, the proper application of fishing laws, education of fishermen communities [37] and raising public awareness can be effective for the conservation of existing fishery resources, and national strategies are being formulated for policymaking, monitoring and implementation in the Belai beel wetlands of Bangladesh [17,38,39,40]. Determining the appropriate strategies with updated status information is also essential for conservation management and such data would help to focus the overall status of freshwater fish in the Belai beel, Bangladesh [40]. Due to a lack of funding, the current study contains several minor drawbacks, especially regarding the collection of sediment and fish samples to determine the metal ions in the Belai beel. Therefore, a more in-depth study is required in the future for more specific information in order to develop better management strategies for the Belai beel wetlands in Bangladesh. Additionally, the nutrients that come from cow dung are possibly not being properly utilized, as it is an open water system, and these nutrients may be dispersing throughout the water body (within or around the pen). Furthermore, if the fishes are grown in a polluted environment, especially an area contaminated by metal ions, there is chance of human health risk during consumption.

5. Conclusions

Optimal fish production is totally dependent on the physical, chemical and biological characteristics of the water. Findings have revealed that the proper utilization of seasonal wetlands as pens for fish farming provides financial and employment opportunities for fishermen. The water quality parameters of Rewla were within suitable ranges for fish pen culture during the whole study period. The observed DO level in Rajbagan was not optimal to support good fish production. However, among the three locations, higher concentrations of metallic ions were found in Rajbagan and lower in Rewla. The growth of fishes was faster in Rewla, which was located 3 km away from the IEC, and the growth of fish was lower in Rajbagan, which was connected to the IEC. From the economic estimation, it was found that the highest and the lowest net return were obtained from Rewla and Rajbagan pen fish farming, respectively. The highest net return was obtained from Rewla pen fish farming due to it having the highest production of fish as a result of good water quality. Finally, this study showed that Rewla is more suitable for pen fish culture compared with Rajbagan and Kamaria. This study represents the first reference report on pen fish farming, determination of water quality and metallic ions of the water of the Belai beel. Further studies should be carried out to determine the metallic ion concentrations of the fish and sediments of the Belai beel to better understand the features of the Belai beel ecosystem. These findings might be helpful for policymaking decisions for the sustainable management of the wetland resources of Bangladesh.

Author Contributions

Conceptualization, D.C.S.; data curation, N.I. and J.H.; formal analysis, N.I. and D.C.S.; investigation, N.I.; methodology, N.I., M.A. and D.C.S.; resources, D.C.S.; visualization, M.K.; writing—original draft, N.I. and J.H.; writing—review and editing, M.H.A.A., M.A.S., S.R.K., M.A. and D.C.S. All authors have read and agreed to the published version of the manuscript.

Funding

This research was financially supported by the Ministry of Science and Technology, Bangladesh, to conduct this research in the fiscal year 2017-18 (Project No. BS-469, Biological Science).

Institutional Review Board Statement

Not applicable.

Informed Consent Statement

Not applicable.

Data Availability Statement

The datasets used and analyzed during the current study will be provided on request to the corresponding author.

Acknowledgments

The authors are thankful to the Department of Fisheries Management, Bangabandhu Sheikh Mujibur Rahman Agricultural University, Gazipur, for providing laboratory facilities and to the fishing community of the Belai beel for their co-operation in collecting the data.

Conflicts of Interest

All the data were collected according to legal provisions only. The authors declare that they have no conflict of interest.

References

  1. Shamsuzzaman, M.M.; Islam, M.M.; Tania, N.J.; Al-Mamun, M.A.; Barman, P.P.; Xu, X. Fisheries resources of Bangladesh: Present status and future direction. Aquac. Fish. 2017, 2, 145–156. [Google Scholar] [CrossRef]
  2. Shamsuzzaman, M.M.; Mozumder, M.M.H.; Mitu, S.J.; Ahamad, A.F.; Bhuuian, M.S. The economic contribution of fish and fish trade in Bangladesh. Aquac. Fish. 2020, 5, 174–181. [Google Scholar] [CrossRef]
  3. DoF. Yearbook of Fisheries Statistics of Bangladesh, 2018–2019; Fisheries Resources Survey System (FRSS); Department of Fisheries, Ministry of Fisheries and Livestock: Dhaka, Bangladesh, 2019; p. 135. [Google Scholar]
  4. Belton, B.; van Asseldonk, I.J.M.; Thilsted, S.H. Faltering fisheries and ascendant aquaculture: Implications for food and nutrition security in Bangladesh. Food Policy 2014, 44, 77–87. [Google Scholar] [CrossRef]
  5. Aparna, R.; Hassan, M.A. Adoption of pen culture technology in the wetlands of West Bengal. Fish. Technolol. 2013, 50, 342–346. [Google Scholar]
  6. Welcomme, R.L.; Bartley, D.M. Current approaches to the enhancement of fisheries. Fish. Manag. Ecol. 1998, 5, 351–382. [Google Scholar] [CrossRef]
  7. Felsing, M.; Haylor, G.S.; Dutta, G.; Kumar, B.; Shweta, S.; Natarajan, A.; Singh, V. Carp Production in Seasonal Water Bodies in Eastern India; Network of Aquaculture Centres in Asia-Pacific (NACA): Bangkok, Thailand, 2003. [Google Scholar]
  8. Haque, W.; Sharmin, S.; Sufi, G.B. Feasibility study of fish culture in pen in a flood plain area in Dhaka. Bangladesh J. Zool. 2006, 34, 249. [Google Scholar]
  9. Quadir, A. Pen Culture Fish Farming Proves Lucrative in Faridpur Region; Dhaka Tribune: Dhaka, Bangladesh, 2014. [Google Scholar]
  10. Samanta, C.S.; Roy, N.C.; Chowdhury, A. Observation of fish production and availability of aquatic inhabitants under pen culture in Chatol beel floodplain. Int. J. Fish. Aquat. Res. 2017, 3, 61–68. [Google Scholar]
  11. Dutra, F.M.; Moretto, Y.; Portz, L.; Ballester, E.L.C. Pen culture of Macrobrachium amazonicum: Use of artificial diet and impact on benthic community. Aquac. Res. 2016, 47, 266–275. [Google Scholar] [CrossRef]
  12. Banu, Z.; Chowdhury, M.S.A.; Hossain, M.D.; Nakagami, K.I. Contamination and ecological risk assessment of heavy metal in the sediment of Turag River, Bangladesh: An index analysis approach. J. Water Resour. Prot. 2013, 5, 28446. [Google Scholar] [CrossRef]
  13. Mohiuddin, K.M.; Islam, M.S.; Basak, S.; Abdullah, H.M.; Ahmed, I. Status of heavy metal in sediments of the Turag river in Bangladesh. Progress. Agric. 2016, 27, 78–85. [Google Scholar] [CrossRef]
  14. Hafizur, R.M.; Nuralam, H.M.; Rumainul, I.M. Investigation of physicochemical parameter, heavy metal in Turag river water and adjacent industrial effluent in Bangladesh. J. Sci. Technol. Environ. Inform. 2017, 5, 347–360. [Google Scholar] [CrossRef]
  15. Yengkokpam, S.; Debnath, D.; Bhattacharjya, B.K.; Sarkar, U.K.; Medhi, K.; Gogoi, K.; Das, B.K. Exploring polyculture of small indigenous fishes with major carps in pens as a climate-resilient adaptation strategy for northeastern wetlands of India. Mitig. Adapt. Strateg. Glob. Chang. 2021, 27, 3. [Google Scholar] [CrossRef]
  16. Alam, A.; Joshi, K.D.; Das, S.C.S.; Jha, D.N.; Srivastava, K.; Kumar, V.; Bhattacharjya, B.K. Enhancing fish productivity through pen culture: A case study in Sareni wetland of Uttar Pradesh. Indian J. Fish. 2017, 64, 8–13. [Google Scholar] [CrossRef][Green Version]
  17. Jahan, M.I.; Alam, M.S.; Karim, M.S.; Sultana, N.; Masum, M.; Rafiquzzaman, S.M. Assessment of fish diversity and socio-economic condition of fishermen in Bangladesh. Asian J. Med. Biol. Res. 2018, 4, 69–76. [Google Scholar] [CrossRef][Green Version]
  18. HACH Company. Water Analysis Handbook, 1st ed.; HACH Company: Loveland, CO, USA, 2013. [Google Scholar]
  19. Stirling, H.P. Chemical and Biological Methods of Water Analysis for Aquaculturalists; Institute of Aquaculture, University of Stirling: Stirling, UK, 1985. [Google Scholar]
  20. Ahmed, K.K.U.; Ahmed, S.U.; Hossain, M.R.A.; Ahmed, T.; Rahman, S. Quantitative and qualitative assessment of plankton: Some ecological aspect and water quality parameters of the river Meghna, Bangladesh. Bangladesh J. Fish Res. 2003, 7, 131–140. [Google Scholar]
  21. Galili, T.; Callaghan, A.; Sidi, J.; Sievert, C. Heatmaply: An R package for creating interactive cluster heatmaps for online publishing. Bioinformatics 2018, 34, 1600–1602. [Google Scholar] [CrossRef]
  22. Ahmed, M.; Matsumoto, M.; Ozaki, A.; Thinh, N.V.; Kurosawa, K. Heavy metal contamination of irrigation water, soil, and vegetables and the difference between dry and wet seasons near a multi-industry zone in Bangladesh. Water 2019, 11, 583. [Google Scholar] [CrossRef]
  23. Bhatnagar, A.; Jana, S.N.; Garg, S.K.; Patra, B.C.; Singh, G.; Barman, U.K. Water quality management in aquaculture. Course Manual of summer school on development of sustainable aquaculture technology in fresh and saline waters. CCS Haryana Agric. Hisar 2004, 3, 203–210. [Google Scholar]
  24. Bhatnagar, A.; Singh, G. Culture fisheries in village ponds: A multi-location study in Haryana, India. Agric. Biol. J. N. Am. 2010, 1, 961–968. [Google Scholar] [CrossRef]
  25. Ekubo, A.A.; Abowei, J.F.N. Review of some water quality management principles in culture fisheries. Res. J. Appl. Sci. Eng. Technol. 2011, 3, 1342–1357. [Google Scholar]
  26. Rashid, I.; Mithun, M.H. Guidelines for freshwater pond management in Bangladesh. Bangladesh J. Multidiscip. Sci. Res. 2020, 2, 1–9. [Google Scholar] [CrossRef]
  27. Buschiel, A.L. Lehrenaus tropischer teichwirts chaft. Z. Fisch. 1983, 35, 181. [Google Scholar]
  28. Banrie. Fertilizing Fish Ponds. 2019. Available online: https://thefishsite.com/articlea/fertilizing-fish-ponds (accessed on 16 September 2019).
  29. Santhosh, B.; Singh, N.P. Guidelines for Water Quality Management for Fish Culture in Tripura; ICAR Research Complex for NEH Region: Lembucherra, India, 2007. [Google Scholar]
  30. Meade, J.W. Allowable ammonia for fish culture. Progress. Fish-Cult. 1985, 47, 135–145. [Google Scholar] [CrossRef]
  31. Bisht, S.; Ali, G.; Rawat, D.S. Physico-chemical behavior of three different water bodies of subtropical Himalayan Region of India. J. Ecol. Nat. Environ. 2013, 5, 387–395. [Google Scholar]
  32. Mahurpawar, M. Effects of heavy metals on human health. Int. J. Res. 2015, 3, 1–7. [Google Scholar]
  33. Javed, M.; Usmani, N. Accumulaation of heavy metals in fishes: A human health concern. Int. J. Environ. Sci. 2011, 2, 659–670. [Google Scholar]
  34. Javed, M. Effects of Anthropogenic Activities on Water Quality and Fish Fauna; Lambert Academic Publishing: Saarbrucken, Germany, 2006. [Google Scholar]
  35. Lushchak, V.I. Environmentally induced oxidative stress in aquatic animals. Aquat. Toxicol. 2011, 1, 13–30. [Google Scholar] [CrossRef]
  36. Pandit, D.; Saha, S.; Kundu, M.; Harun Al Rashid, A. Indigenous freshwater ichthyofauna in the Dhanu River and surrounding wetlands of Bangladesh: Species diversity, availability and conservation perspective. Conservation 2021, 1, 241–257. [Google Scholar] [CrossRef]
  37. Tikadar, K.K.; Kunda, M.; Mazumder, S.K. Diversity of fishery resources and catch efficiency of fishing gears in Gorai River, Bangladesh. Heliyon 2021, 7, e08478. [Google Scholar] [CrossRef]
  38. Salam, M.A.; Alam, M.A.; Paul, S.I.; Islam, F.; Shaha, D.C.; Rahman, M.M.; Khan, M.A.R.; Rahman, M.M.; Islam, A.K.M.A.; Ahamed, T.; et al. Assessment of Heavy Metals in the Sediments of Chalan Beel Wetland Area in Bangladesh. Processes 2021, 9, 410. [Google Scholar] [CrossRef]
  39. Hasan, J.; Lima, R.A.; Shaha, D.C. Fisheries resources of Bangladesh: A review. Int. J. Fish. Aquat. Stud. 2021, 9, 131–138. [Google Scholar] [CrossRef]
  40. Hu, M.; Wang, C.; Liu, Y.; Zhang, X.; Jian, S. Fish species composition, distribution and community structure in the lower reaches of Ganjiang River, Jiangxi, China. Sci. Rep. 2019, 9, 10100. [Google Scholar] [CrossRef] [PubMed]
Figure 1. Location of study and sampling areas in the Belai beel: Rajbagan (L1), Kamaria (L2) and Rewla (L3).
Figure 1. Location of study and sampling areas in the Belai beel: Rajbagan (L1), Kamaria (L2) and Rewla (L3).
Conservation 02 00006 g001
Figure 2. Culture of different fish species in pen system.
Figure 2. Culture of different fish species in pen system.
Conservation 02 00006 g002
Figure 3. Flow chart illustrating the steps of the methodology.
Figure 3. Flow chart illustrating the steps of the methodology.
Conservation 02 00006 g003
Figure 4. Spatial variation of physico-chemical water quality parameters of three pen culture areas in Belai beel during the study period. RB = Rajbagan; KR = Kamaria; RL = Rewla.
Figure 4. Spatial variation of physico-chemical water quality parameters of three pen culture areas in Belai beel during the study period. RB = Rajbagan; KR = Kamaria; RL = Rewla.
Conservation 02 00006 g004
Figure 5. Abundance of phytoplankton (cells L−1) in Belai beel among three locations.
Figure 5. Abundance of phytoplankton (cells L−1) in Belai beel among three locations.
Conservation 02 00006 g005
Figure 6. Concentrations of Fe, Zn, Cu, Cd and Cr (ppb) in water among three locations in Belai beel. RB = Rajbagan; KR = Kamaria; RL = Rewla.
Figure 6. Concentrations of Fe, Zn, Cu, Cd and Cr (ppb) in water among three locations in Belai beel. RB = Rajbagan; KR = Kamaria; RL = Rewla.
Conservation 02 00006 g006
Figure 7. Comparisons of the growth of different fish species under the pen culture system in Belai beel (mean ± SD).
Figure 7. Comparisons of the growth of different fish species under the pen culture system in Belai beel (mean ± SD).
Conservation 02 00006 g007
Table 1. Kruskal–Wallis test for the difference of ecologically important water quality parameters among sampling locations.
Table 1. Kruskal–Wallis test for the difference of ecologically important water quality parameters among sampling locations.
VarisablesLocations
Chi-SquareAsymp. Sig
Temperature (°C)3.1860.203
DO (mg L−1)12.0200.002
pH12.5000.002
Ammonia (mg L−1)7.2200.027
Nitrite (mg L−1)12.6350.002
Nitrate (mg L−1)12.5220.002
Phosphate (mg L−1)12.0200.002
Table 2. Gross production and net return of pen fish cultures in three locations.
Table 2. Gross production and net return of pen fish cultures in three locations.
LocationsGross Production
(ton ha−1 150 Days−1)
Net Return
(×104 BDT ha−1 150 Days−1)
Rajbagan (L1)8.8512.45
Kamaria (L2)10.6716.75
Rewla (L3)12.9719.74
Table 3. The threshold values for metal ions in water [22].
Table 3. The threshold values for metal ions in water [22].
Heavy MetalThreshold Value (ppb)
Zn2000
Cd10
Cr100
Cu200
Fe2000
Publisher’s Note: MDPI stays neutral with regard to jurisdictional claims in published maps and institutional affiliations.

Share and Cite

MDPI and ACS Style

Islam, N.; Shaha, D.C.; Hasan, J.; Asad, M.H.A.; Salam, M.A.; Khan, M.; Kundu, S.R.; Ahmed, M. Heavy Metal Pollution Reduced the Potentiality of Pen Culture in the Wetland Aquaculture in an Urban Area of Bangladesh. Conservation 2022, 2, 68-79. https://doi.org/10.3390/conservation2010006

AMA Style

Islam N, Shaha DC, Hasan J, Asad MHA, Salam MA, Khan M, Kundu SR, Ahmed M. Heavy Metal Pollution Reduced the Potentiality of Pen Culture in the Wetland Aquaculture in an Urban Area of Bangladesh. Conservation. 2022; 2(1):68-79. https://doi.org/10.3390/conservation2010006

Chicago/Turabian Style

Islam, Nahida, Dinesh Chandra Shaha, Jahid Hasan, Md. Hafij Al Asad, Mohammad Abdus Salam, Murshida Khan, Sampa Rani Kundu, and Minhaz Ahmed. 2022. "Heavy Metal Pollution Reduced the Potentiality of Pen Culture in the Wetland Aquaculture in an Urban Area of Bangladesh" Conservation 2, no. 1: 68-79. https://doi.org/10.3390/conservation2010006

APA Style

Islam, N., Shaha, D. C., Hasan, J., Asad, M. H. A., Salam, M. A., Khan, M., Kundu, S. R., & Ahmed, M. (2022). Heavy Metal Pollution Reduced the Potentiality of Pen Culture in the Wetland Aquaculture in an Urban Area of Bangladesh. Conservation, 2(1), 68-79. https://doi.org/10.3390/conservation2010006

Article Metrics

Back to TopTop