Physiological and Biochemical Analysis of Coffea arabica Cultivars in the Early Stage of Development Subjected to Water Stress for the Selection of Cultivars Adapted to Drought
Abstract
1. Introduction
2. Results
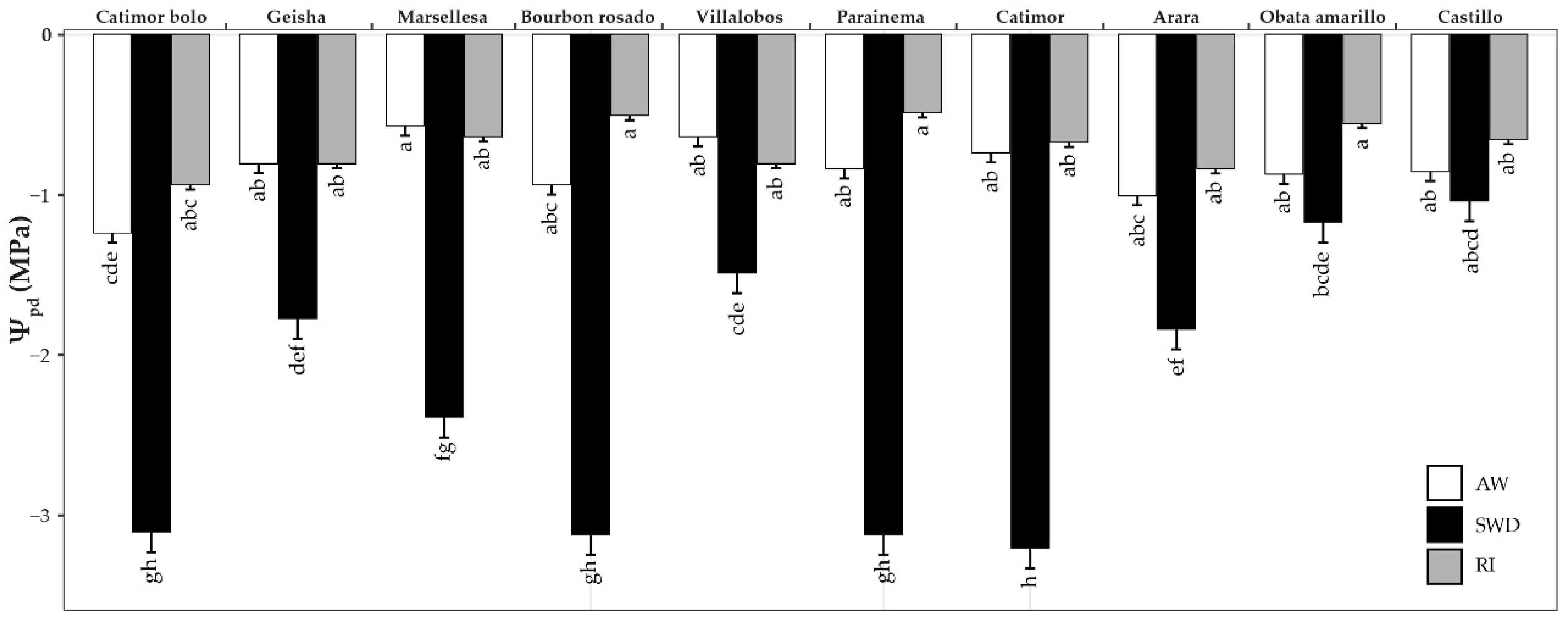
2.1. Foliar Water Potential
2.2. Gas Exchange
2.3. Stomatal Density and Stomatal Index
2.4. Elemental Análisis
2.5. Proline Content
2.6. Lipid Peroxidation and Hydrogen Peroxide
2.7. Principal Component Analysis
2.8. Correlation Analysis
3. Discussion
4. Materials and Methods
4.1. Plant Material and Experimental Conditions
4.2. Monitoring of Foliar Water Potential
4.3. Measurement of Gas Exchange
4.4. Stomatal Features
4.5. Elemental Analysis of Leaves
4.6. Analysis of Oxidative Stress Markers
4.6.1. Colorimetric Quantification of Proline Content
4.6.2. Quantification of Lipid Peroxidation
4.6.3. Spectrophotometric Quantification of Hydrogen Peroxide Content
4.7. Experimental Design and Statistical Analysis
5. Conclusions
Supplementary Materials
Author Contributions
Funding
Institutional Review Board Statement
Informed Consent Statement
Data Availability Statement
Acknowledgments
Conflicts of Interest
Abbreviations
| AW | Adequate irrigation |
| SWD | Severe water deficit |
| RI | Rehydration |
| VPD | vapor pressure deficit |
| Ψpd | Pre-dawn leaf water potential |
| gs | Stomatal conductance |
| A | net photosynthetic rate |
| E | Transpiration rate |
| WUE | Instantaneous water use efficiency |
| SD | Stomatal density |
| SI | Stomatal index |
| MDA | Malondialdehyde |
| H2O2 | Hydrogen peroxide |
| ROS | Reactive oxygen species |
| FW | Fresh weight |
| DW | Dry weight |
References
- Naik, B.J.; Kim, S.C.; Seenaiah, R.; Basha, P.A.; Song, E.Y. Coffee Cultivation Techniques, Impact of Climate Change on Coffee Production, Role of Nanoparticles and Molecular Markers in Coffee Crop Improvement, and Challenges. J. Plant Biotechnol. 2021, 48, 207–222. [Google Scholar] [CrossRef]
- de Oliveira Fernandes, M.A.; Baêta, B.E.L.; Adarme, O.F.H.; Fonseca, A. LCA-Based Carbon Footprint Analysis of Anaerobic Digestion of Coffee Husk Waste. Renew. Sustain. Energy Rev. 2025, 207, 114993. [Google Scholar] [CrossRef]
- MIDAGRI (Ministerio de Desarrollo y Riego). Observatorio de Commodities: Cafe. Reporte trimestral 2024. Available online: https://www.gob.pe/institucion/midagri/informes-publicaciones/5316298-commodities-trimestral-2024 (accessed on 5 August 2025).
- Delgado, D. Peru’s Coffee Production Falls 9.65% in 2024, Exports Total 4.004 Million Bags: National Coffee Board. Available online: https://www.stonex.com/en/market-intelligence/peru%E2%80%99s-coffee-production-falls-9-65pct-in-2024,-exports-total-4-004-million-bags-national-coffee-board-1547526/ (accessed on 5 December 2025).
- Raza, A.; Razzaq, A.; Mehmood, S.S.; Zou, X.; Zhang, X.; Lv, Y.; Xu, J. Impact of Climate Change on Crops Adaptation and Strategies to Tackle Its Outcome: A Review. Plants 2019, 8, 34. [Google Scholar] [CrossRef]
- Della Peruta, R.; Mereu, V.; Spano, D.; Marras, S.; Vezy, R.; Trabucco, A. Projecting Trends of Arabica Coffee Yield under Climate Change: A Process-Based Modelling Study at Continental Scale. Agric. Syst. 2025, 227, 104353. [Google Scholar] [CrossRef]
- Bracken, P.; Burgess, P.J.; Girkin, N.T. Opportunities for Enhancing the Climate Resilience of Coffee Production through Improved Crop, Soil and Water Management. Agroecol. Sustain. Food Syst. 2023, 47, 1125–1157. [Google Scholar] [CrossRef]
- Salvador, H.P.; Berilli, A.P.C.G.; Rodrigues, W.P.; Mazzafera, P.; Partelli, F.L. A Climate Change Perspective on the Selection, Development, and Management of Coffea Canephora Genotypes. In Advances in Botanical Research; Academic Press: Cambridge, MA, USA, 2025; Volume 114, pp. 283–315. [Google Scholar]
- Jeena, G.S.; Phukan, U.J.; Shukla, R.K. Drought-Tolerant Plants. In Current Developments in Biotechnology and Bioengineering; Elsevier: Amsterdam, The Netherlands, 2017; pp. 101–123. [Google Scholar]
- Hassan, M.U.; Chattha, M.U.; Khan, I.; Chattha, M.B.; Barbanti, L.; Aamer, M.; Iqbal, M.M.; Nawaz, M.; Mahmood, A.; Ali, A.; et al. Heat Stress in Cultivated Plants: Nature, Impact, Mechanisms, and Mitigation Strategies—A Review. Plant Biosyst. Int. J. Deal. Asp. Plant Biol. 2021, 155, 211–234. [Google Scholar] [CrossRef]
- dos Santos, C.S.; de Freitas, A.F.; da Silva, G.H.B.; Pennacchi, J.P.; Figueiredo de Carvalho, M.A.; Santos, M.d.O.; Junqueira de Moraes, T.S.; de Rezende Abrahão, J.C.; Pereira, A.A.; Carvalho, G.R.; et al. Phenotypic Plasticity Index as a Strategy for Selecting Water-Stress-Adapted Coffee Genotypes. Plants 2023, 12, 4029. [Google Scholar] [CrossRef]
- de Andrade, L.I.F.; Linhares, P.C.A.; da Fonseca, T.M.; da Silva, A.A.; dos Santos, J.P.; Pereira, M.P.; Silva, V.A.; Marchiori, P.E.R. Photosynthetic Efficiency and Root Plasticity Promote Drought Tolerance in Coffee Genotypes. Acta Physiol. Plant. 2022, 44, 109. [Google Scholar] [CrossRef]
- Torres, G.A.L.; Mistro, J.C.; de Almeida, J.A.S. General Scenario of the Use of Geoclimatic, Morphological and Physiological Factors in the Analysis of Coffee Genotypes with Tolerance to the Impact of Drought: A Review. Euphytica 2024, 220, 170. [Google Scholar] [CrossRef]
- Haghpanah, M.; Hashemipetroudi, S.; Arzani, A.; Araniti, F. Drought Tolerance in Plants: Physiological and Molecular Responses. Plants 2024, 13, 2962. [Google Scholar] [CrossRef] [PubMed]
- Silva, P.C.d.; Junior, W.Q.R.; Ramos, M.L.G.; Rocha, O.C.; Veiga, A.D.; Silva, N.H.; Brasileiro, L.d.O.; Santana, C.C.; Soares, G.F.; Malaquias, J.V.; et al. Physiological Changes of Arabica Coffee under Different Intensities and Durations of Water Stress in the Brazilian Cerrado. Plants 2022, 11, 2198. [Google Scholar] [CrossRef]
- dos Santos, T.B.; Ribas, A.F.; de Souza, S.G.H.; Budzinski, I.G.F.; Domingues, D.S. Physiological Responses to Drought, Salinity, and Heat Stress in Plants: A Review. Stresses 2022, 2, 113–135. [Google Scholar] [CrossRef]
- Chekol, H.; Warkineh, B.; Shimber, T.; Mierek-Adamska, A.; Dąbrowska, G.B.; Degu, A. Drought Stress Responses in Arabica Coffee Genotypes: Physiological and Metabolic Insights. Plants 2024, 13, 828. [Google Scholar] [CrossRef]
- He, J.; Ng, K.; Qin, L.; Shen, Y.; Rahardjo, H.; Wang, C.; Kew, H.; Chua, Y.; Poh, C.; Ghosh, S. Photosynthetic Gas Exchange, Plant Water Relations and Osmotic Adjustment of Three Tropical Perennials during Drought Stress and Re-Watering. PLoS ONE 2024, 19, e0298908. [Google Scholar] [CrossRef] [PubMed]
- Choat, B.; Brodribb, T.J.; Brodersen, C.R.; Duursma, R.A.; López, R.; Medlyn, B.E. Triggers of Tree Mortality under Drought. Nature 2018, 558, 531–539. [Google Scholar] [CrossRef] [PubMed]
- Ke, X.; Yao, J.; Jiang, Z.; Gu, X.; Xu, P. Recover and Surpass: The Mechanisms of Plants Transition upon Rehydration from Drought. Plant Stress 2025, 15, 100782. [Google Scholar] [CrossRef]
- Pinheiro, H.A.; DaMatta, F.M.; Chaves, A.R.M.; Fontes, E.P.B.; Loureiro, M.E. Drought Tolerance in Relation to Protection against Oxidative Stress in Clones of Coffea Canephora Subjected to Long-Term Drought. Plant Sci. 2004, 167, 1307–1314. [Google Scholar] [CrossRef]
- Brito, C.; Dinis, L.-T.; Moutinho-Pereira, J.; Correia, C.M. Drought Stress Effects and Olive Tree Acclimation under a Changing Climate. Plants 2019, 8, 232. [Google Scholar] [CrossRef]
- Yang, X.; Lu, M.; Wang, Y.; Wang, Y.; Liu, Z.; Chen, S. Response Mechanism of Plants to Drought Stress. Horticulturae 2021, 7, 50. [Google Scholar] [CrossRef]
- DaMatta, F.M.; Ramalho, J.D.C. Impacts of Drought and Temperature Stress on Coffee Physiology and Production: A Review. Braz. J. Plant Physiol. 2006, 18, 55–81. [Google Scholar] [CrossRef]
- Tardieu, F. Any Trait or Trait-Related Allele Can Confer Drought Tolerance: Just Design the Right Drought Scenario. J. Exp. Bot. 2012, 63, 25–31. [Google Scholar] [CrossRef] [PubMed]
- Silva, V.A.; Abrahão, J.C.d.R.; Reis, A.M.; Santos, M.d.O.; Pereira, A.A.; Botelho, C.E.; Carvalho, G.R.; de Castro, E.M.; Barbosa, J.P.R.A.D.; Botega, G.P.; et al. Strategy for Selection of Drought-Tolerant Arabica Coffee Genotypes in Brazil. Agronomy 2022, 12, 2167. [Google Scholar] [CrossRef]
- Dubberstein, D.; Lidon, F.C.; Rodrigues, A.P.; Semedo, J.N.; Marques, I.; Rodrigues, W.P.; Gouveia, D.; Armengaud, J.; Semedo, M.C.; Martins, S.; et al. Resilient and Sensitive Key Points of the Photosynthetic Machinery of Coffea Spp. to the Single and Superimposed Exposure to Severe Drought and Heat Stresses. Front. Plant Sci. 2020, 11, 1049. [Google Scholar] [CrossRef] [PubMed]
- Flexas, J.; Medrano, H. Drought-inhibition of Photosynthesis in C3 Plants: Stomatal and Non-stomatal Limitations Revisited. Ann. Bot. 2002, 89, 183–189. [Google Scholar] [CrossRef]
- Semedo, J.N.; Rodrigues, A.P.; Lidon, F.C.; Pais, I.P.; Marques, I.; Gouveia, D.; Armengaud, J.; Silva, M.J.; Martins, S.; Semedo, M.C.; et al. Intrinsic Non-Stomatal Resilience to Drought of the Photosynthetic Apparatus in Coffea Spp. Is Strengthened by Elevated Air [CO2]. Tree Physiol. 2021, 41, 708–727. [Google Scholar] [CrossRef] [PubMed]
- Rodrigues, A.P.; Pais, I.P.; Leitão, A.E.; Dubberstein, D.; Lidon, F.C.; Marques, I.; Semedo, J.N.; Rakocevic, M.; Scotti-Campos, P.; Campostrini, E.; et al. Uncovering the Wide Protective Responses in Coffea Spp. Leaves to Single and Superimposed Exposure of Warming and Severe Water Deficit. Front. Plant Sci. 2024, 14, 1320552. [Google Scholar] [CrossRef]
- Lawlor, D.W.; Cornic, G. Photosynthetic Carbon Assimilation and Associated Metabolism in Relation to Water Deficits in Higher Plants. Plant Cell Environ. 2002, 25, 275–294. [Google Scholar] [CrossRef]
- Tezara, W.; Loyaga, D.W.; Reynel Chila, V.H.; Herrera, A. Photosynthetic Limitations and Growth Traits of Four Arabica Coffee (Coffea arabica L.) Genotypes under Water Deficit. Agronomy 2024, 14, 1713. [Google Scholar] [CrossRef]
- Zhang, J.; Jiang, H.; Song, X.; Jin, J.; Zhang, X. The Responses of Plant Leaf CO2/H2O Exchange and Water Use Efficiency to Drought: A Meta-Analysis. Sustainability 2018, 10, 551. [Google Scholar] [CrossRef]
- Blum, A. Effective Use of Water (EUW) and Not Water-Use Efficiency (WUE) Is the Target of Crop Yield Improvement under Drought Stress. Field Crops Res. 2009, 112, 119–123. [Google Scholar] [CrossRef]
- Bertolino, L.T.; Caine, R.S.; Gray, J.E. Impact of Stomatal Density and Morphology on Water-Use Efficiency in a Changing World. Front. Plant Sci. 2019, 10, 225. [Google Scholar] [CrossRef] [PubMed]
- Faralli, M.; Matthews, J.; Lawson, T. Exploiting Natural Variation and Genetic Manipulation of Stomatal Conductance for Crop Improvement. Curr. Opin. Plant Biol. 2019, 49, 1–7. [Google Scholar] [CrossRef] [PubMed]
- Buckley, T.N.; John, G.P.; Scoffoni, C.; Sack, L. How Does Leaf Anatomy Influence Water Transport Outside the Xylem? Plant Physiol. 2015, 168, 1616–1635. [Google Scholar] [CrossRef]
- Lambers, H.; Cawthray, G.R.; Giavalisco, P.; Kuo, J.; Laliberté, E.; Pearse, S.J.; Scheible, W.-R.; Stitt, M.; Teste, F.; Turner, B.L. Proteaceae from Severely Phosphorus-Impoverished Soils Extensively Replace Phospholipids with Galactolipids and Sulfolipids during Leaf Development to Achieve a High Photosynthetic Phosphorus-Use-Efficiency. New Phytol. 2012, 196, 1098–1108. [Google Scholar] [CrossRef]
- Volaire, F. A Unified Framework of Plant Adaptive Strategies to Drought: Crossing Scales and Disciplines. Glob. Change Biol. 2018, 24, 2929–2938. [Google Scholar] [CrossRef]
- Ramírez-Builes, V.H.; Küsters, J. Calcium and Potassium Nutrition Increases the Water Use Efficiency in Coffee: A Promising Strategy to Adapt to Climate Change. Hydrology 2021, 8, 75. [Google Scholar] [CrossRef]
- Mostofa, M.G.; Rahman, M.M.; Ghosh, T.K.; Kabir, A.H.; Abdelrahman, M.; Khan, M.A.R.; Mochida, K.; Tran, L.P. Potassium in Plant Physiological Adaptation to Abiotic Stresses—ScienceDirect. Available online: https://www.sciencedirect.com/science/article/pii/S0981942822003229?via%3Dihub (accessed on 31 December 2025).
- Cakmak, I. The Role of Potassium in Alleviating Detrimental Effects of Abiotic Stresses in Plants. J. Plant Nutr. Soil Sci. 2005, 168, 521–530. [Google Scholar] [CrossRef]
- Ramírez-Builes, V.H.; Küsters, J.; de Souza, T.R.; Simmes, C. Calcium Nutrition in Coffee and Its Influence on Growth, Stress Tolerance, Cations Uptake, and Productivity. Front. Agron. 2020, 2, 590892. [Google Scholar] [CrossRef]
- Batistič, O.; Kudla, J. Analysis of Calcium Signaling Pathways in Plants. Biochim. Biophys. Acta BBA Gen. Subj. 2012, 1820, 1283–1293. [Google Scholar] [CrossRef]
- Kobayashi, T.; Nozoye, T.; Nishizawa, N.K. Iron Transport and Its Regulation in Plants. Free Radic. Biol. Med. 2019, 133, 11–20. [Google Scholar] [CrossRef] [PubMed]
- Da Silva, D.M.; de Souza, K.R.D.; Vilas Boas, L.V.; Alves, Y.S.; Alves, J.D. The Effect of Magnesium Nutrition on the Antioxidant Response of Coffee Seedlings under Heat Stress. Sci. Hortic. 2017, 224, 115–125. [Google Scholar] [CrossRef]
- Shaul, O. Magnesium Transport and Function in Plants: The Tip of the Iceberg. Biometals 2002, 15, 307–321. [Google Scholar] [CrossRef]
- Chen, Z.C.; Peng, W.T.; Li, J.; Liao, H. Functional Dissection and Transport Mechanism of Magnesium in Plants. Semin. Cell Dev. Biol. 2018, 74, 142–152. [Google Scholar] [CrossRef]
- Boudaoud, A. An Introduction to the Mechanics of Morphogenesis for Plant Biologists. Trends Plant Sci. 2010, 15, 353–360. [Google Scholar] [CrossRef]
- Hayat, S.; Hayat, Q.; Alyemeni, M.N.; Wani, A.S.; Pichtel, J.; Ahmad, A. Role of Proline under Changing Environments: A Review. Plant Signal. Behav. 2012, 7, 1456–1466. [Google Scholar] [CrossRef]
- Kishor, P.B.K.; Suravajhala, P.; Sreenivasulu, N. Intriguing Role of Proline in Redox Potential Conferring High Temperature Stress Tolerance. Front. Plant Sci. 2022, 13, 867531. [Google Scholar] [CrossRef]
- Hare, P.D.; Cress, W.A. Metabolic Implications of Stress-Induced Proline Accumulation in Plants. Plant Growth Regul. 1997, 21, 79–102. [Google Scholar] [CrossRef]
- Szabados, L.; Savouré, A. Proline: A Multifunctional Amino Acid. Trends Plant Sci. 2010, 15, 89–97. [Google Scholar] [CrossRef] [PubMed]
- Gill, S.S.; Tuteja, N. Reactive Oxygen Species and Antioxidant Machinery in Abiotic Stress Tolerance in Crop Plants. Plant Physiol. Biochem. 2010, 48, 909–930. [Google Scholar] [CrossRef] [PubMed]
- Mittler, R. ROS Are Good: Trends in Plant Science. Trends Plant Sci. 2017, 22, 11–19. [Google Scholar] [CrossRef]
- Hasanuzzaman, M.; Bhuyan, M.H.M.B.; Zulfiqar, F. Reactive Oxygen Species and Antioxidant Defense in Plants under Abiotic Stress: Revisiting the Crucial Role of a Universal Defense Regulator. Antioxidants 2020, 9, 681. [Google Scholar] [CrossRef] [PubMed]
- Baxter, A.; Mittler, R.; Suzuki, N. ROS as Key Players in Plant Stress Signalling. J. Exp. Bot. 2014, 65, 1229–1240. [Google Scholar] [CrossRef] [PubMed]
- Tetens, O. Über Einige Meteorologische Begriffe; Friedrich Vieweg & Sohn Akt.-Gesellschaft: Braunschweig, Germany, 1930. [Google Scholar]
- Taiz, L. Taiz & Zeiger Fisiologia e Desenvolvimento Vegetal. Available online: https://archive.org/details/taiz-zeiger-fisiologia-vegetal-6a-ed (accessed on 29 December 2025).
- Ramalho, J.C.; Rodrigues, A.P.; Semedo, J.N.; Pais, I.P.; Martins, L.D.; Simões-Costa, M.C.; Leitão, A.E.; Fortunato, A.S.; Batista-Santos, P.; Palos, I.M.; et al. Sustained Photosynthetic Performance of Coffea Spp. under Long-Term Enhanced [CO2]. PLoS ONE 2013, 8, e82712. [Google Scholar] [CrossRef]
- Schmitt, M.; Boras, S.; Tjoa, A.; Watanabe, T.; Jansen, S. Aluminium Accumulation and Intra-Tree Distribution Patterns in Three Arbor Aluminosa (Symplocos) Species from Central Sulawesi. PLoS ONE 2016, 11, e0149078. [Google Scholar] [CrossRef]
- Bates, L.S.; Waldren, R.P.; Teare, I.D. Rapid Determination of Free Proline for Water-Stress Studies. Plant Soil 1973, 39, 205–207. [Google Scholar] [CrossRef]
- Velikova, V.; Yordanov, I.; Edreva, A. Oxidative Stress and Some Antioxidant Systems in Acid Rain-Treated Bean Plants: Protective Role of Exogenous Polyamines. Plant Sci. 2000, 151, 59–66. [Google Scholar] [CrossRef]
- Wang, F.; Zeng, B.; Sun, Z.; Zhu, C. Relationship between Proline and Hg2+-Induced Oxidative Stress in a Tolerant Rice Mutant. Arch. Environ. Contam. Toxicol. 2009, 56, 723–731. [Google Scholar] [CrossRef]
- Loreto, F.; Velikova, V. Isoprene Produced by Leaves Protects the Photosynthetic Apparatus against Ozone Damage, Quenches Ozone Products, and Reduces Lipid Peroxidation of Cellular Membranes. Plant Physiol. 2001, 127, 1781–1787. [Google Scholar] [CrossRef] [PubMed]
- Lenth, R.V.; Piaskowski, J.; Banfai, B.; Bolker, B.; Buerkner, P.; Giné-Vázquez, I.; Hervé, M.; Jung, M.; Love, J.; Miguez, F.; et al. Emmeans: Estimated Marginal Means, Aka Least-Squares Means; R Foundation for Statistical Computing: Vienna, Austria, 2025. [Google Scholar]
- Graves, S.; Piepho, H.P.; Selzer, L.; Dorai-Raj, S. multcompView: Visualizations of Paired Comparisons, R package version 0.1-10; Comprehensive R Archive Network (CRAN): Online, 2024. Available online: https://cran.r-project.org/web/packages/multcompView/index.html (accessed on 7 September 2025).










| Cultivars | P | Ca2+ | Na+ | K+ | Fe2+ | Mg2+ | Zn2+ | Cu2+ | Mn2+ |
|---|---|---|---|---|---|---|---|---|---|
| Catimor bolo | 242.1 ± 89.82 a | 9553.31 ± 195.59 a | 784.69 ± 29.57 h | 3943.7 ± 124.39 b | 123 ± 2.5 a | 1538.15 ± 106.11 a | 8.57 ± 0.37 g | 18.64 ± 0.79 c | 476.4 ± 55.91 a |
| Geisha | 1911.67 ± 27.48 c | 7807.62 ± 126.86 b | 1107.19 ± 22.81 a | 4470.02 ± 221.8 a | 79.28 ± 3.81 c | 1365.31 ± 65.15 b | 6.99 ± 0.32 g | 12.91 ± 0.53 e | 301.68 ± 17.33 d |
| Marsellesa | 1772.7 ± 14.72 c | 6608.18 ± 169.25 b | 954.04 ± 9.13 e | 3811.13 ± 146.81 b | 87.28 ± 1.18 b | 1257.34 ± 79.05 b | 6.92 ± 0.38 g | 24.93 ± 1.24 a | 192 ± 5.73 f |
| Bourbon rosado | 1930.49 ± 39.37 c | 6423.03 ± 177.08 c | 1037.9 ± 11.51 b | 3693.67 ± 37.69 b | 77.85 ± 2.48 c | 1253.96 ± 77.22 b | 14.01 ± 0.45 c | 19.81 ± 0.58 b | 254.37 ± 29.37 e |
| Villalobos | 1817.27 ± 41.96 c | 9621.61 ± 74.87 a | 974.67 ± 23.42 d | 3973.75 ± 294.8 a | 59.53 ± 2.71 e | 1550.7 ± 120.34 a | 16.71 ± 0.52 a | 15.63 ± 0.69 d | 323.87 ± 20.12 c |
| Parainema | 1726.61 ± 29.47 d | 7361.06 ± 146.5 b | 870.66 ± 17.38 f | 3635.24 ± 87.97 b | 27.63 ± 2.76 g | 1050.92 ± 36.17 c | 8.99 ± 0.54 f | 18.18 ± 1.06 c | 140.15 ± 13.91 g |
| Catimor | 1952.17 ± 68.49 c | 7381.77 ± 180.2 b | 789.53 ± 24.8 h | 2764.86 ± 124.17 d | 35.72 ± 2.19 g | 1274.51 ± 74.86 b | 14.27 ± 0.61 b | 9.27 ± 0.08 f | 186.65 ± 16.58 f |
| Arará | 1892.45 ± 36.95 c | 8323.66 ± 186.51 b | 850.58 ± 48.95 g | 4267.62 ± 250.63 a | 67.68 ± 1.29 d | 1624.73 ± 71.95 a | 7.89 ± 0.49 g | 12.42 ± 0.62 e | 351.84 ± 10.18 b |
| Obatá amarillo | 1873.69 ± 22.57 c | 6855.02 ± 173.09 b | 1052.81 ± 36.55 b | 3104.92 ± 126.8 c | 55.43 ± 2.03 f | 1340.2 ± 72.82 b | 11.86 ± 0.41 d | 8.96 ± 0.53 f | 234.55 ± 26.38 e |
| Castillo | 2004.06 ± 56.16 b | 8206.39 ± 197.46 b | 985.69 ± 16.79 c | 4272.86 ± 67.16 a | 67.74 ± 1.79 d | 1556.19 ± 75.17 a | 10.86 ± 0.33 e | 19.54 ± 1.12 c | 274.05 ± 22.89 d |
| p-valor | <0.001 | 0.0012 | <0.001 | <0.001 | <0.001 | 0.0012 | <0.001 | <0.001 | <0.001 |
| CV (%) | 10.1% | 14.2% | 12.2% | 14.9% | 38.5% | 15.2% | 31.3% | 31.6% | 36.7% |
| Cultivars | Period | MDA (nmol g−1 FW) | H2O2 (nmol g−1 FW) |
|---|---|---|---|
| Catimor bolo | AW | 4.060 ± 0.344 d–j | 313.432 ± 16.578 bcd |
| SWD | 5.215 ± 0.224 b–g | 466.803 ± 39.970 ab | |
| RI | 6.718 ± 0.357 b | 416.231 ± 25.459 ab | |
| Geisha | AW | 3.504 ± 0.344 f–j | 280.419 ± 16.578 bcd |
| SWD | 3.929 ± 0.224 e–j | 252.493 ± 39.970 bcd | |
| RI | 5.844 ± 0.357 b–d | 346.224 ± 25.459 bcd | |
| Marsellesa | AW | 2.921 ± 0.344 j | 233.988 ± 16.578 cd |
| SWD | 4.716 ± 0.224 c–i | 411.526 ± 39.970 abc | |
| RI | 5.437 ± 0.357 b–f | 342.569 ± 25.459 bcd | |
| Bourbon rosado | AW | 2.346 ± 0.344 j | 301.032 ± 16.578 bcd |
| SWD | 4.688 ± 0.224 c–i | 415.834 ± 39.970 abc | |
| RI | 5.567 ± 0.357 b–e | 330.352 ± 25.459 bcd | |
| Villalobos | AW | 3.429 ± 0.344 f–j | 294.902 ± 16.578 bcd |
| SWD | 4.903 ± 0.224 c–h | 425.724 ± 39.970 ab | |
| RI | 6.306 ± 0.357 bc | 360.469 ± 25.459 bc | |
| Parainema | AW | 2.652 ± 0.344 j | 255.278 ± 16.578 bcd |
| SWD | 5.576 ± 0.224 b–d | 468.444 ± 39.970 ab | |
| RI | 5.416 ± 0.357 b–g | 376.148 ± 25.459 bc | |
| Catimor | AW | 3.386 ± 0.344 g–j | 282.47 ± 16.5780 bcd |
| SWD | 9.492 ± 0.224 a | 643.006 ± 39.970 a | |
| RI | 4.197 ± 0.357 d–j | 316.155 ± 25.459 bcd | |
| Arará | AW | 2.455 ± 0.344 j | 350.954 ± 16.578 bcd |
| SWD | 3.354 ± 0.224 h–j | 439.803 ± 39.970 ab | |
| RI | 3.611 ± 0.357 e–j | 287.908 ± 25.459 bcd | |
| Obatá amarillo | AW | 2.292 ± 0.344 j | 204.316 ± 16.578 d |
| SWD | 4.034 ± 0.224 e–j | 311.193 ± 39.970 bcd | |
| RI | 3.044 ± 0.357 ij | 228.989 ± 25.459 cd | |
| Castillo | AW | 2.504 ± 0.344 j | 208.516 ± 16.578 d |
| SWD | 3.361 ± 0.224 h–j | 360.013 ± 39.970 bcd | |
| RI | 3.179 ± 0.357 h–j | 193.829 ± 25.459 d | |
| CV % | 13.85% | 8.18% | |
| Namber | Trade Name | Crossing |
|---|---|---|
| 1 | Marsellesa | Hybrid Timor 832/2 × Villa Sarchi CIFC 971/10 |
| 2 | Geisha | Ethiopian landrace |
| 3 | Catimor | Timor Hybrid 1343 × Caturra |
| 4 | Parainema | Selection of T5296 |
| 5 | Arará | Natural cross between Obatá and Catuaí amarillo |
| 6 | Obatá amarillo | Hybrid Timor 832/2 × Villa Sarchi CIFC 971/10 |
| 7 | Castillo | Timor Hybrid 832/2 × Caturra |
| 8 | Bourbon rosado | Bourbon genetic background |
| 9 | Catimor bolo | Local cultivate |
| 10 | Villalobos | Local cultivate |
Disclaimer/Publisher’s Note: The statements, opinions and data contained in all publications are solely those of the individual author(s) and contributor(s) and not of MDPI and/or the editor(s). MDPI and/or the editor(s) disclaim responsibility for any injury to people or property resulting from any ideas, methods, instructions or products referred to in the content. |
© 2026 by the authors. Licensee MDPI, Basel, Switzerland. This article is an open access article distributed under the terms and conditions of the Creative Commons Attribution (CC BY) license.
Share and Cite
Lopez-Merino, J.E.; Huaman, E.; Condori-Apfata, J.A.; Oliva-Cruz, M. Physiological and Biochemical Analysis of Coffea arabica Cultivars in the Early Stage of Development Subjected to Water Stress for the Selection of Cultivars Adapted to Drought. Stresses 2026, 6, 2. https://doi.org/10.3390/stresses6010002
Lopez-Merino JE, Huaman E, Condori-Apfata JA, Oliva-Cruz M. Physiological and Biochemical Analysis of Coffea arabica Cultivars in the Early Stage of Development Subjected to Water Stress for the Selection of Cultivars Adapted to Drought. Stresses. 2026; 6(1):2. https://doi.org/10.3390/stresses6010002
Chicago/Turabian StyleLopez-Merino, Jhon Edler, Eyner Huaman, Jorge Alberto Condori-Apfata, and Manuel Oliva-Cruz. 2026. "Physiological and Biochemical Analysis of Coffea arabica Cultivars in the Early Stage of Development Subjected to Water Stress for the Selection of Cultivars Adapted to Drought" Stresses 6, no. 1: 2. https://doi.org/10.3390/stresses6010002
APA StyleLopez-Merino, J. E., Huaman, E., Condori-Apfata, J. A., & Oliva-Cruz, M. (2026). Physiological and Biochemical Analysis of Coffea arabica Cultivars in the Early Stage of Development Subjected to Water Stress for the Selection of Cultivars Adapted to Drought. Stresses, 6(1), 2. https://doi.org/10.3390/stresses6010002

