Effect of Natural Fiber Characteristics on Properties of Cementitious Composites: A Comparison of Recycled Pulp from Beverage Cartons, Bamboo, and Eucalyptus Fibers
Abstract
1. Introduction
2. Materials and Methods
2.1. Materials
2.2. Methods
2.2.1. Fiber Preparation
2.2.2. Fiber Characterization
2.2.3. Specimen Forming
2.2.4. Assessment of Fiber Cement Composite Properties
2.2.5. Microstructure and Fracture Surface Analysis
3. Results and Discussion
3.1. Fiber Characteristics
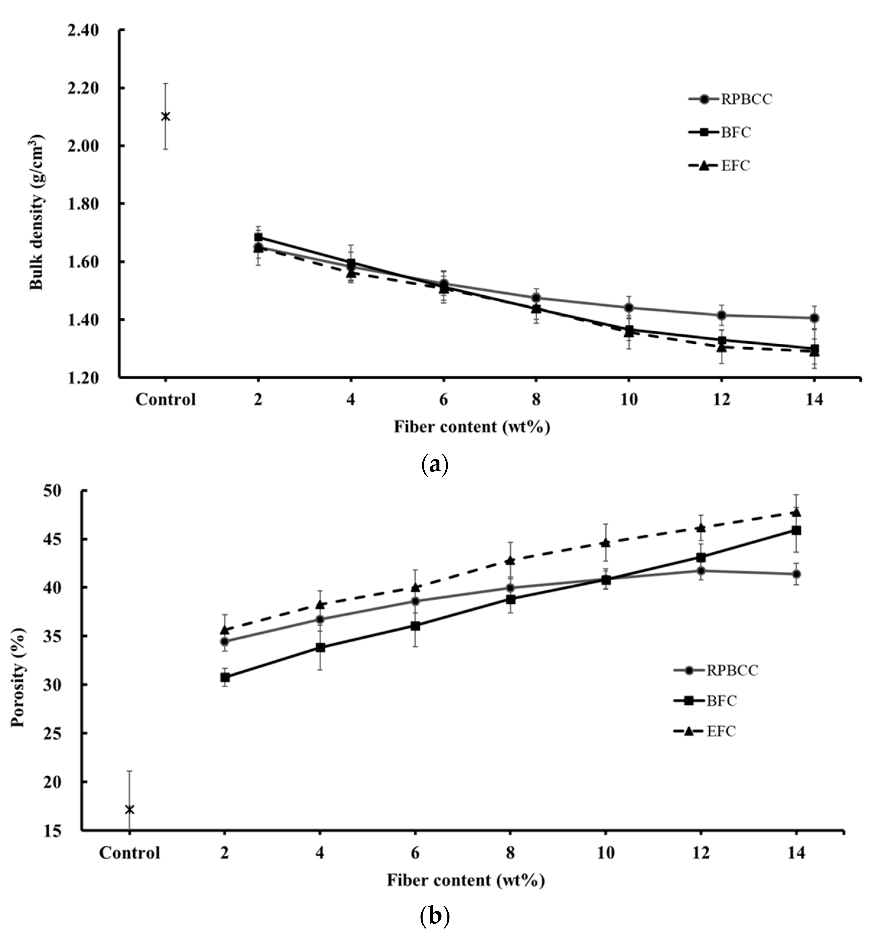
3.2. Physical Properties of Fiber Cement Composites
3.3. Mechanical Properties of Fiber Cement Composites
3.4. Fractured Surfaces of Fiber-Reinforced Composites
4. Conclusions
Author Contributions
Funding
Data Availability Statement
Acknowledgments
Conflicts of Interest
Abbreviations
| RPBC | Recycled pulp from beverage cartons |
| BF | Bamboo fiber |
| EF | Eucalyptus fiber |
| OPC | Ordinary Portland cement |
| RPBCC | RPBC-reinforced cementitious composite |
| BFC | BF-reinforced cementitious composite |
| EFC | EF-reinforced cementitious composite |
References
- Coutts, R.S.P.; Michell, A.J. Wood pulp fiber-cement composites. J. Appl. Polym. Sci. 1983, 37, 829–844. [Google Scholar]
- Coutts, R.S.P. A review of Australian research into natural fiber cement composites. Cement Concrete Comp. 2005, 27, 518–526. [Google Scholar] [CrossRef]
- Ardanuy, M.; Claramunt, J.; Toledo, F.R.D. Cellulosic fiber reinforced cement-based composites: A review of recent research Const. Build. Mater. 2015, 79, 115–128. [Google Scholar] [CrossRef]
- Giannasi, P.; Thébaud-Mony, A. Occupational exposures to asbestos in Brazil. Int. J. Occup. Env. Hael. 1997, 3, 150–157. [Google Scholar] [CrossRef]
- Bentur, A.; Mindess, S. Fiber Reinforced Cementitious Composites; Elsevier: London, UK, 2005; pp. 397–436. [Google Scholar]
- Xaysombath, P.; Soykeabkaew, N.; Wattanasiriwech, D.; Wattanasiriwech, S. Properties of cementitious composite reinforced with recycled pulp from beverage cartons. Chiang Mai J. Sci. 2024, 51, e2024063. [Google Scholar] [CrossRef]
- Ahmad, W.; Khan, M.; Smarzewski, P. Effect of short fiber reinforcements on fracture performance of cement-based materials: A systematic review approach. Materials 2021, 14, 1745. [Google Scholar] [CrossRef]
- Pacheco-Torgal, F.; Jalali, S. Cementitious building materials reinforced with vegetable fibres: A review. Const. Build. Mater. 2011, 25, 575–581. [Google Scholar] [CrossRef]
- Hasan, K.M.F.; Horváth, P.G.; Alpár, T. Lignocellulosic fiber cement compatibility: A state of the art review. J. Natur. Fibers 2021, 19, 5409–5434. [Google Scholar] [CrossRef]
- Kurpińska, M.; Pawelska-Mazur, M.; Gu, Y.; Kurpiński, F. The impact of natural fibers’ characteristics on mechanical properties of the cement composites. Sci. Rep. 2022, 12, 20565. [Google Scholar] [CrossRef]
- Choi, H.; Choi, Y.C. Setting characteristics of natural cellulose fiber reinforced cement composite. Const. Build. Mater. 2021, 271, 121910. [Google Scholar] [CrossRef]
- Jarabo, R.; Fuente, E.; Monte, M.C.; Savastano, H.; Mutjé, P., Jr.; Negro, C. Use of cellulose fibers from hemp core in fiber-cement production. Effect on flocculation, retention, drainage and product properties. Ind. Crops Prod. 2012, 39, 89–96. [Google Scholar] [CrossRef]
- Xie, X.; Zhou, Z.; Jiang, M.; Xu, X.; Wang, Z.; Hui, D. Cellulosic fibers from rice straw and bamboo used as reinforcement of cement-based composites for remarkably improving mechanical properties. Comp. Part B 2015, 78, 153–161. [Google Scholar] [CrossRef]
- Li, Z.; Wang, L.; Wang, X. Cement Composites Reinforced with Surface Modified Coir Fibers. Fiber Polym. 2006, 7, 286–294. [Google Scholar] [CrossRef]
- Correia, V.C.; Santos, S.F.; Marmol, G.; Aprigio, A.; Curvelo, S.; Savastano, H., Jr. Potential of bamboo organosolv pulp as a reinforcing element in fiber–cement materials. Const. Build. Mater. 2014, 72, 65–71. [Google Scholar] [CrossRef]
- Ban, Y.; Zhi, W.; Fei, M.; Liu, W.; Yu, D.; Fu, T.; Qui, R. Preparation and performance of cement mortar reinforced by modified bamboo fibers. Polymers 2020, 12, 2650. [Google Scholar] [CrossRef] [PubMed]
- Bentchikou, M.; Guidoum, A.; Scrivener, K.; Silhadi, K.; Hanini, S. Effect of recycled cellulose fibres on the properties of lightweight cement composite matrix. Const. Build. Mater. 2012, 34, 451–456. [Google Scholar] [CrossRef]
- Osorio, L.; Trujillo, E.; van Vuure, V.; Verpoest, I. Morphological aspects and mechanical properties of single bamboo fibers and flexural characterization of bamboo/epoxy composites. J. Reinf. Plast. Compos. 2011, 30, 396–408. [Google Scholar] [CrossRef]
- Martínez-Barrera, G.; Barrera-Díaz, C.E.; Cuevas-Yañez, E.; Varela-Guerrero, V.; Vigueras-Santiago, E.; Ávila-Córdoba, L.; Martínez-López, M. Waste cellulose from tetra pak packages as reinforcement of cement concrete. Adv. Mater. Sci. Eng. 2015, 2015, 682926. [Google Scholar] [CrossRef]
- Yu, Y.; Tian, G.; Wang, H. Mechanical characterization of single bamboo fibers with nanoindentation and microtensile technique. Holzforschung 2011, 65, 113–119. [Google Scholar] [CrossRef]
- Khorami, M.; Ganjian, E.; Srivastav, A. Feasibility study on production of fiber cement board using waste kraft pulp in cooperation with polypropylene and acrylic fibers. Adv. Func. Mater. 2016, 3, 376–380. [Google Scholar] [CrossRef]
- Gorzelańczyk, T.; Schabowicz, K.; Szymków, M. Tests of fiber cement materials containing recycled cellulose fibers. Materials 2020, 13, 2758. [Google Scholar] [CrossRef]
- Hospodarova, V.; Stevulova, N.; Briancin, J.; Kostelanska, K. Investigation of waste paper cellulosic fibers utilization into cement based building materials. Buildings 2018, 8, 43. [Google Scholar] [CrossRef]
- Soroushian, P.; Shah, Z.F.; Won, J.P. Optimization of wastepaper fiber-cement composites. ACI Mater. J. 1995, 92, 82–89. [Google Scholar] [CrossRef]
- ASTM C1186-02; Standard Specification for Flat Non-Asbestos Fiber-Cement Sheets. American Society for Testing and Materials: West Conshohocken, PA, USA, 2002.
- TAPPI T 227 OM-99; Freeness of Pulp (Canadian Standard Method). Technical Association of the Pulp and Paper Industry: Peachtree Corners, GA, USA, 1999.
- TAPPI T 231 CM-96; Zero-Span Breaking Strength of Pulp. Technical Association of the Pulp and Paper Industry: Peachtree Corners, GA, USA, 1996.
- TAPPI T 205 SP-02; Forming Hand Sheets for Physical Tests of Pulp. Technical Association of the Pulp and Paper Industry: Peachtree Corners, GA, USA, 2006.
- TAPPI T 494 OM-01; Tensile Properties of Paper and Paperboard. Technical Association of the Pulp and Paper Industry: Peachtree Corners, GA, USA, 2006.
- ASTM C1185-08; Standard Test Methods for Sampling and Testing Non-Asbestos Fiber-Cement Flat Sheet, Roofing and Siding Shingles, and Clapboards. American Society for Testing and Materials: West Conshohocken, PA, USA, 1999.
- Savastano, H., Jr.; Warden, P.G.; Coutts, R.S.P. Brazilian waste fibres as reinforcement for cement-based composites. Cement Concrete Comp. 2000, 22, 379–384. [Google Scholar] [CrossRef]
- ASTM C 20-00; Standard Test Methods for Apparent Porosity, Water Absorption, Apparent Specific Gravity, and Bulk Density of Burned Refractory Brick and Shapes by Boiling Water. American Society for Testing and Materials: West Conshohocken, PA, USA, 2010.
- Coutts, R.S.P. Autoclaved beaten wood fibre reinforced cement composites. Composites 1984, 15, 139–143. [Google Scholar] [CrossRef]
- Yang, X.; Berglund, L.A. Recycling without fiber degradation-strong paper structures for 3D forming based on nanostructurally tailored wood holocellulose fibers. ACS Sustain. Chem. Eng. 2020, 8, 1146–1154. [Google Scholar] [CrossRef]
- Danielewicz, D.; Surma-Ślusarska, B. Properties of bleached pulps from low and high kappa number old corrugated containers (OCC). Fibres Text. East. Eur. 2015, 23, 129–135. [Google Scholar] [CrossRef]
- Ali, I. Study of the Mechanical Behavior of Recycled Fibers. Ph.D. Thesis, Université Grenoble Alpes, Grenoble, France, 11 October 2013. [Google Scholar]
- Kamthai, S. Comparison of AS-AQ pulping of sweet bamboo (Dendrocalamus asper Backer) and pulping by conventional kraft process. Chiang Mai J. Sci. 2007, 34, 97–107. [Google Scholar]
- Achour, A.; Ghomar, F.; Belayachi, N. Properties of cementitious mortars reinforced with natural fibers. J. Adhes. Sci. Technol. 2017, 31, 1938–1962. [Google Scholar] [CrossRef]
- Xie, X.; Zhou, Z.; Yan, Y. Flexural properties and impact behavior analysis of bamboo cellulosic fibers filled cement based composites. Const. Build. Mater. 2019, 220, 403–414. [Google Scholar] [CrossRef]
- Khorami, M.; Ganjian, E. Comparing flexural behavior of fibre-cement composites reinforced bagasse: Wheat and eucalyptus. Const. Build. Mater. 2011, 25, 3661–3667. [Google Scholar] [CrossRef]
- Ahmad, W.; Farooq, S.H.; Usman, M.; Khan, M.; Ahmad, A.; Aslam, F.; Al Yousef, R.; Al Abduljabbar, H.; Sufian, M. Effect of coconut fiber length and content on properties of high strength concrete. Materials 2020, 13, 1075. [Google Scholar] [CrossRef]
- Claramunt, J.; Ardanuy, M.; Parés, F.; Ventura, H. Mechanical performance of cement mortar composites reinforced with cellulose fibres. In 9th International Conference on Composite Science and Technology; Meo, M., Ed.; DEStech Publications: Lancaster, PA, USA, 2013; pp. 477–484. [Google Scholar]
- Tonoli, G.H.D.; Savastano, H., Jr.; Fuente, E.; Negro, C.; Blanco, A.; Rocco Lahr, F.A. Eucalyptus pulp fibres as alternative reinforcement to engineered cement-based composites. Indus. Crops Prod. 2010, 31, 225–232. [Google Scholar] [CrossRef]
- Yousuf, S.; Shafigh, P.; Ibrahim, Z. The pH of cement-based materials: A Review. J. Wuhan Uni. Tech-Mater. Sci. 2020, 35, 908–924. [Google Scholar] [CrossRef]
- Wei, J.; Mayer, C. Degradation mechanisms of natural fiber in the matrix of cement composites. Cement Concrete Res. 2015, 73, 1–16. [Google Scholar] [CrossRef]
- Zhao, L.; Ding, Y.; Li, S.; Song, Y.; Gong, H.; Zhang, Y. Silane treatment for sisal fibers to improve the degradation resistance and interface with cement matrix. Const. Build. Mater. 2024, 429, 136435. [Google Scholar] [CrossRef]
- Tonoli, G.H.D.; Rodrigues Filho, U.P.; Savastano, H., Jr.; Bras, J.; Belgacem, M.N.; Rocco Lahr, F.A. Cellulose modified fibres in cement based composites. Comp. Part A 2009, 40, 2046–2053. [Google Scholar] [CrossRef]











| Chemical Compositions | OPC (wt.%) | Silica Sand (wt.%) |
|---|---|---|
| Al2O3 | 2.11 | 0.89 |
| CaO | 77.72 | 0.58 |
| Fe2O3 | 5.06 | - |
| K2O | 0.69 | - |
| MnO | 0.24 | - |
| SO3 | 2.89 | 1.13 |
| SiO2 | 10.70 | 97.14 |
| SrO | 0.20 | - |
| TiO2 | 0.35 | - |
| Parameters | RPBC | BF | EF |
|---|---|---|---|
| Average width (µm) | 32 ± 13 | 20 ± 8 | 40 ± 17 |
| Average length (mm) | 1.58 ± 0.1 | 2.07 ± 0.8 | 2.65 ± 1.1 |
| Average aspect ratio | 49.38 ± 20 | 103 ± 57 | 66.2 ± 39 |
| CSF freeness (ml) | 550 ± 16 | 738 ± 8 | 716 ± 6 |
| Zero span tensile strength index (N·m/g) | 20.18 ± 2.55 | 19.62 ± 4.08 | 21.23 ± 5.57 |
Disclaimer/Publisher’s Note: The statements, opinions and data contained in all publications are solely those of the individual author(s) and contributor(s) and not of MDPI and/or the editor(s). MDPI and/or the editor(s) disclaim responsibility for any injury to people or property resulting from any ideas, methods, instructions or products referred to in the content. |
© 2025 by the authors. Licensee MDPI, Basel, Switzerland. This article is an open access article distributed under the terms and conditions of the Creative Commons Attribution (CC BY) license (https://creativecommons.org/licenses/by/4.0/).
Share and Cite
Xaysombath, P.; Soykeabkaew, N.; Wattanasiriwech, D.; Wattanasiriwech, S. Effect of Natural Fiber Characteristics on Properties of Cementitious Composites: A Comparison of Recycled Pulp from Beverage Cartons, Bamboo, and Eucalyptus Fibers. Constr. Mater. 2025, 5, 50. https://doi.org/10.3390/constrmater5030050
Xaysombath P, Soykeabkaew N, Wattanasiriwech D, Wattanasiriwech S. Effect of Natural Fiber Characteristics on Properties of Cementitious Composites: A Comparison of Recycled Pulp from Beverage Cartons, Bamboo, and Eucalyptus Fibers. Construction Materials. 2025; 5(3):50. https://doi.org/10.3390/constrmater5030050
Chicago/Turabian StyleXaysombath, Phouthanouthong, Nattakan Soykeabkaew, Darunee Wattanasiriwech, and Suthee Wattanasiriwech. 2025. "Effect of Natural Fiber Characteristics on Properties of Cementitious Composites: A Comparison of Recycled Pulp from Beverage Cartons, Bamboo, and Eucalyptus Fibers" Construction Materials 5, no. 3: 50. https://doi.org/10.3390/constrmater5030050
APA StyleXaysombath, P., Soykeabkaew, N., Wattanasiriwech, D., & Wattanasiriwech, S. (2025). Effect of Natural Fiber Characteristics on Properties of Cementitious Composites: A Comparison of Recycled Pulp from Beverage Cartons, Bamboo, and Eucalyptus Fibers. Construction Materials, 5(3), 50. https://doi.org/10.3390/constrmater5030050

