Predicting the Bearing Capacity of Shallow Foundations on Granular Soil Using Ensemble Machine Learning Models
Abstract
1. Introduction
2. Materials and Methods
2.1. Research Methodology
2.2. Ensemble ML Models Background
2.2.1. Adaptive Boosting
2.2.2. Gradient Boosting Regression Tree (GBRT)
2.2.3. Light Gradient Boosting Machine (LightGBM)
2.2.4. Extreme Gradient Boosting (XGBoost)
2.3. ML Model Development
2.4. Pearson’s Correlation Analysis
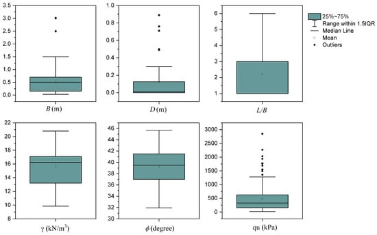
3. Database Used
4. Model Results
4.1. Optimal Model Results
4.2. Feature Importance Analysis
4.3. Comparing with Single Learner ML Models
4.4. Reliability Analysis
4.5. Developing a Web-Based Prediction Application
5. Limitations and Future Studies
6. Conclusions
- Research demonstrates the significant capability of ensemble techniques, particularly GBRT, LightGBM, XGBoost, and AdaBoost, to improve the precision of estimating shallow foundation bearing capacities. The GBRT algorithm exhibited the highest accuracy, with an value of 0.935 and an RMSE of 125.221 kPa in the training phase, as well as an of 0.849 with an RMSE of 133.401 kPa for testing. These results indicate that GBRT consistently outperforms the other models across multiple performance metrics. Such improvements can lead to enhanced reliability in geotechnical design calculations.
- The development of a web-based predictive application that utilizes the GBRT model with optimized hyperparameters marks significant progress in integrating complex ML models into regular design workflows. Available on a cloud platform, it eliminates computational and compatibility constraints, allowing engineers worldwide to make swift decisions via a universally accessible and user-friendly interface.
Author Contributions
Funding
Institutional Review Board Statement
Informed Consent Statement
Data Availability Statement
Conflicts of Interest
References
- Craig, R. Craig’s Soil Mechanics; CRC Press: Boca Raton, FL, USA, 2004. [Google Scholar]
- Zhang, R.; Xue, X. Determining ultimate bearing capacity of shallow foundations by using multi expression programming (MEP). Eng. Appl. Artif. Intell. 2022, 115, 105255. [Google Scholar] [CrossRef]
- Terzaghi, K. Theoretical Soil Mechanics; John Wiley & Sons, Inc.: Hoboken, NJ, USA, 1943. [Google Scholar]
- Bolton, M.; Lau, C. Vertical bearing capacity factors for circular and strip footings on Mohr–Coulomb soil. Can. Geotech. J. 1993, 30, 1024–1033. [Google Scholar] [CrossRef]
- Chen, W.F. Limit Analysis and Soil Plasticity; Elsevier: Amsterdam, The Netherlands, 2013. [Google Scholar]
- Hansen, J. A Revised and Extended Formula for Bearing Capacity. 1970. Available online: https://trid.trb.org/View/125129 (accessed on 12 August 2025).
- Meyerhof, G. The ultimate bearing capacity of foundations. Geotechnique 1951, 2, 301–332. [Google Scholar] [CrossRef]
- Meyerhof, G. Some recent research on the bearing capacity of foundations. Can. Geotech. J. 1963, 1, 16–26. [Google Scholar] [CrossRef]
- Michalowski, R. An estimate of the influence of soil weight on bearing capacity using limit analysis. Soils Found. 1997, 37, 57–64. [Google Scholar] [CrossRef] [PubMed]
- Vesić, A. Analysis of ultimate loads of shallow foundations. J. Soil Mech. Found. Div. 1973, 99, 45–73. [Google Scholar] [CrossRef]
- Tang, L.; Na, S. Comparison of machine learning methods for ground settlement prediction with different tunneling datasets. J. Rock Mech. Geotech. Eng. 2021, 13, 1274–1289. [Google Scholar] [CrossRef]
- Swarnkar, D.C.; Singh, A.K.; Shubham, K. Application of ANN for prediction of settlement of ring foundation. Signal Image Video Process. 2024, 18, 7537–7554. [Google Scholar] [CrossRef]
- He, M.; Zhang, Z.; Ren, J.; Huan, J.; Li, G.; Chen, Y.; Li, N. Deep convolutional neural network for fast determination of the rock strength parameters using drilling data. Int. J. Rock Mech. Min. Sci. 2019, 123, 104084. [Google Scholar] [CrossRef]
- Ceryan, N. Application of support vector machines and relevance vector machines in predicting uniaxial compressive strength of volcanic rocks. J. Afr. Earth Sci. 2014, 100, 634–644. [Google Scholar] [CrossRef]
- Li, B.; Li, H. Prediction of tunnel face stability using a naive bayes classifier. Appl. Sci. 2019, 9, 4139. [Google Scholar] [CrossRef]
- Sun, S. Shield tunneling parameters matching based on support vector machine and improved particle swarm optimization. Sci. Program. 2022, 2022, 6782947. [Google Scholar] [CrossRef]
- Fang, Z.; Wang, Y.; Peng, L.; Hong, H. Integration of convolutional neural network and conventional machine learning classifiers for landslide susceptibility mapping. Comput. Geosci. 2020, 139, 104470. [Google Scholar] [CrossRef]
- Budimir, M.; Atkinson, P.; Lewis, H. A systematic review of landslide probability mapping using logistic regression. Landslides 2015, 12, 419–436. [Google Scholar] [CrossRef]
- Xue, X.; Yang, X. Seismic liquefaction potential assessed by support vector machines approaches. Bull. Eng. Geol. Environ. 2016, 75, 153–162. [Google Scholar] [CrossRef]
- Abbaszadeh Shahri, A. Assessment and prediction of liquefaction potential using different artificial neural network models: A case study. Geotech. Geol. Eng. 2016, 34, 807–815. [Google Scholar] [CrossRef]
- Meng, J.; Mattsson, H.; Laue, J. Three-dimensional slope stability predictions using artificial neural networks. Int. J. Numer. Anal. Methods Geomech. 2021, 45, 1988–2000. [Google Scholar] [CrossRef]
- Chakraborty, A.; Goswami, D. Prediction of slope stability using multiple linear regression (MLR) and artificial neural network (ANN). Arab. J. Geosci. 2017, 10, 385. [Google Scholar] [CrossRef]
- Zhou, Y.; Su, W.; Ding, L.; Luo, H.; Love, P.E. Predicting safety risks in deep foundation pits in subway infrastructure projects: Support vector machine approach. J. Comput. Civ. Eng. 2017, 31, 04017052. [Google Scholar] [CrossRef]
- Wang, Z.Z.; Goh, S.H.; Zhang, W. Reliability-based design in spatially variable soils using deep learning: An illustration using shallow foundation. Georisk Assess. Manag. Risk Eng. Syst. Geohazards 2023, 17, 423–437. [Google Scholar] [CrossRef]
- Alhakeem, Z.; Jebur, Y.; Henedy, S.; Imran, H.; Bernardo, L.; Hussein, H. Prediction of ecofriendly concrete compressive strength using gradient boosting regression tree combined with GridSearchCV hyperparameter-optimization techniques. Materials 2022, 15, 7432. [Google Scholar] [CrossRef]
- Al-Taai, S.; Azize, N.; Thoeny, Z.; Imran, H.; Bernardo, L.; Al-Khafaji, Z. XGBoost Prediction Model Optimized with Bayesian for the Compressive Strength of Eco-Friendly Concrete Containing Ground Granulated Blast Furnace Slag and Recycled Coarse Aggregate. Appl. Sci. 2023, 13, 8889. [Google Scholar] [CrossRef]
- Bernardo, D.; Bernardo, L.; Imran, H.; Ribeiro, T. Torsional Capacity Prediction of Reinforced Concrete Beams Using Machine Learning Techniques Based on Ensembles of Trees. Appl. Sci. 2023, 13, 1385. [Google Scholar] [CrossRef]
- Nguyen, H.; Cao, M.T.; Tran, X.L.; Tran, T.H.; Hoang, N.D. A novel whale optimization algorithm optimized XGBoost regression for estimating bearing capacity of concrete piles. Neural Comput. Appl. 2023, 35, 3825–3852. [Google Scholar] [CrossRef]
- Huong Ngo, T.T.; Tran, V.Q. Predicting and evaluating settlement of shallow foundation using machine learning approach. Sci. Prog. 2024, 107, 00368504241302972. [Google Scholar] [CrossRef] [PubMed]
- Han, X.; Yi, J.; Li, X.; Li, S.; Tang, H.; Wang, Z.; Ran, J. Application of extreme gradient boosting for predicting standard penetration test N-values from cone penetration test data. Bull. Eng. Geol. Environ. 2025, 84, 196. [Google Scholar] [CrossRef]
- Díaz, E.; Spagnoli, G. Gradient boosting trees with Bayesian optimization to predict activity from other geotechnical parameters. Mar. Georesources Geotechnol. 2024, 42, 1075–1085. [Google Scholar] [CrossRef]
- Diaz, E.; Spagnoli, G. A super-learner machine learning model for a global prediction of compression index in clays. Appl. Clay Sci. 2024, 249, 107239. [Google Scholar] [CrossRef]
- Roy, N.; Shree, K. Machine Learning Prediction Tool for Seismic Bearing Capacity of Strip Footings in Rock Mass. Transp. Infrastruct. Geotechnol. 2023, 11, 900–919. [Google Scholar] [CrossRef]
- Dutta, R.K.; Gnananandarao, T.; Sharma, A. Application of random forest regression in the prediction of ultimate bearing capacity of strip footing resting on dense sand overlying loose sand deposit. J. Soft Comput. Civ. Eng. 2019, 3, 28–40. [Google Scholar]
- Feng, Y.; Wang, D. Shear behaviors and peak friction angle predictions of three critical geomembrane–soil interfaces. Acta Geotech. 2024, 19, 3139–3160. [Google Scholar] [CrossRef]
- Khatti, J.; Grover, K.; Kim, H.J.; Mawuntu, K.; Park, T.W. Prediction of ultimate bearing capacity of shallow foundations on cohesionless soil using hybrid LSTM and RVM approaches: An extended investigation of multicollinearity. Comput. Geotech. 2024, 165, 105912. [Google Scholar] [CrossRef]
- Sadrossadat, E.; Soltani, F.; Mousavi, S.M.; Marandi, S.M.; Alavi, A.H. A new design equation for prediction of ultimate bearing capacity of shallow foundation on granular soils. J. Civ. Eng. Manag. 2013, 19, S78–S90. [Google Scholar] [CrossRef]
- Shahnazari, H.; Tutunchian, M.A. Prediction of ultimate bearing capacity of shallow foundations on cohesionless soils: An evolutionary approach. KSCE J. Civ. Eng. 2012, 16, 950–957. [Google Scholar] [CrossRef]
- Tsai, H.C.; Tyan, Y.Y.; Wu, Y.W.; Lin, Y.H. Determining ultimate bearing capacity of shallow foundations using a genetic programming system. Neural Comput. Appl. 2013, 23, 2073–2084. [Google Scholar] [CrossRef]
- Omar, M.; Hamad, K.; Al Suwaidi, M.; Shanableh, A. Developing artificial neural network models to predict allowable bearing capacity and elastic settlement of shallow foundation in Sharjah, United Arab Emirates. Arab. J. Geosci. 2018, 11, 464. [Google Scholar] [CrossRef]
- Bagińska, M.; Srokosz, P.E. The optimal ANN Model for predicting bearing capacity of shallow foundations trained on scarce data. KSCE J. Civ. Eng. 2019, 23, 130–137. [Google Scholar] [CrossRef]
- Marto, A.; Hajihassani, M.; Momeni, E. Bearing capacity of shallow foundation’s prediction through hybrid artificial neural networks. Appl. Mech. Mater. 2014, 567, 681–686. [Google Scholar] [CrossRef]
- Kalinli, A.; Acar, M.C.; Gündüz, Z. New approaches to determine the ultimate bearing capacity of shallow foundations based on artificial neural networks and ant colony optimization. Eng. Geol. 2011, 117, 29–38. [Google Scholar] [CrossRef]
- Padmini, D.; Ilamparuthi, K.; Sudheer, K.P. Ultimate bearing capacity prediction of shallow foundations on cohesionless soils using neurofuzzy models. Comput. Geotech. 2008, 35, 33–46. [Google Scholar] [CrossRef]
- Lawal, A.I.; Kwon, S. Development of mathematically motivated hybrid soft computing models for improved predictions of ultimate bearing capacity of shallow foundations. J. Rock Mech. Geotech. Eng. 2023, 15, 747–759. [Google Scholar] [CrossRef]
- Khorrami, R.; Derakhshani, A.; Moayedi, H. New explicit formulation for ultimate bearing capacity of shallow foundations on granular soil using M5’ model tree. Measurement 2020, 163, 108032. [Google Scholar] [CrossRef]
- Ahmad, M.; Ahmad, F.; Wróblewski, P.; Al-Mansob, R.A.; Olczak, P.; Kamiński, P.; Safdar, M.; Rai, P. Prediction of ultimate bearing capacity of shallow foundations on cohesionless soils: A gaussian process regression approach. Appl. Sci. 2021, 11, 10317. [Google Scholar] [CrossRef]
- Kohestani, V.R.; Vosoghi, M.; Hassanlourad, M.; Fallahnia, M. Bearing capacity of shallow foundations on cohesionless soils: A random forest based approach. Civ. Eng. Infrastructures J. 2017, 50, 35–49. [Google Scholar]
- Barari, A.; Behnia, M.; Najafi, T. Determination of the ultimate limit states of shallow foundations using gene expression programming (GEP) approach. Soils Found. 2015, 55, 650–659. [Google Scholar] [CrossRef]
- Xue, X.; Chen, X. Determination of ultimate bearing capacity of shallow foundations using LSSVM algorithm. J. Civ. Eng. Manag. 2019, 25, 451–459. [Google Scholar] [CrossRef]
- Freund, Y.; Schapire, R.E. A decision-theoretic generalization of on-line learning and an application to boosting. J. Comput. Syst. Sci. 1997, 55, 119–139. [Google Scholar] [CrossRef]
- Xiao, L.; Dong, Y.; Dong, Y. An improved combination approach based on Adaboost algorithm for wind speed time series forecasting. Energy Convers. Manag. 2018, 160, 273–288. [Google Scholar] [CrossRef]
- Friedman, J.H. Greedy function approximation: A gradient boosting machine. Ann. Stat. 2001, 29, 1189–1232. [Google Scholar] [CrossRef]
- Ke, G.; Meng, Q.; Finley, T.; Wang, T.; Chen, W.; Ma, W.; Ye, Q.; Liu, T.Y. Lightgbm: A highly efficient gradient boosting decision tree. Adv. Neural Inf. Process. Syst. 2017, 30. [Google Scholar]
- Imran, M.; Raza, A.; Touqeer, M. Prediction of compressive strength of high-performance concrete (HPC) using machine learning algorithms. Multiscale Multidiscip. Model. Exp. Des. 2024, 7, 1881–1894. [Google Scholar] [CrossRef]
- Abood, E.A.; Al-Kamal, M.K.; Muhodir, S.H.; Al-Abdaly, N.M.; Bernardo, L.F.A.; De Domenico, D.; Imran, H. Coupling Beams’ Shear Capacity Prediction by Hybrid Support Vector Regression and Particle Swarm Optimization. Buildings 2025, 15, 191. [Google Scholar] [CrossRef]
- Golder, H.Q.; Fellenius, W.; Kogler, F.; Meischeider, H.; Krey, H.; Prandtl, L. The ultimate bearing pressure of rectangular footings. J. Inst. Civ. Eng. 1941, 17, 161–174. [Google Scholar] [CrossRef]
- Cerato, A.B.; Lutenegger, A.J. Scale effects of shallow foundation bearing capacity on granular material. J. Geotech. Geoenviron. Eng. 2007, 133, 1192–1202. [Google Scholar] [CrossRef]
- Eastwood, W. A comparison of the bearing power of footings on dry and inundated sand. Struct. Eng. 1951, 29, 1–11. [Google Scholar]
- Akbas, S.O.; Kulhawy, F.H. Axial compression of footings in cohesionless soils. II: Bearing capacity. J. Geotech. Geoenviron. Eng. 2009, 135, 1575–1582. [Google Scholar] [CrossRef]
- Muhs, H.; Weiß, K. Ntersuchung von Grenztragfaehigkeit und Setzungsverhalten Flachgegruendeter Einzelfundamente in Ungleichfoermingen Nichtbindigen Boeden. 1971. Available online: http://pascal-francis.inist.fr/vibad/index.php?action=getRecordDetail&idt=PASCALGEODEBRGM73226734 (accessed on 12 August 2025).
- Muhs, H.; Weiss, K. Inclined load tests on shallow strip footings. In Proceedings of the 8th International Conference on Soil Mechanics and Foundation Engineering, Moscow, Russia, 6–11 August 1974. [Google Scholar]
- Subrahmanyam, G. The Effect of Roughness of Footings on Bearing Capacity. 1967. Available online: https://trid.trb.org/View/119545 (accessed on 12 August 2025).
- Muhs, H.; Elmiger, R.; Weiß, K. Sohlreibung und Grenztragfähigkeit unter lotrecht und schräg belasteten Einzelfundamenten; mit 128 Bildern und 13 Zahlentafeln; Ernst: London, UK, 1969. [Google Scholar]
- Gandhi, G. Study of Bearing Capacity Factors Developed from Lab. Experiments on Shallow Footings on Cohesionless Soils. Ph.D. Thesis, Shri GS Institute of Tech and Science, Indore, India, 2003. [Google Scholar]
- Weiß, K. Der Einfluß der Fundamentform auf die Grenztragfähigkeit flachgegründeter Fundamente, Untersuchungen ausgef.... von Klaus Weiß: Mit 14 Zahlentaf; Ernst: London, UK, 1970. [Google Scholar]
- Briaud, J.L.; Gibbens, R. Large-Scale Load Tests and Data Base of Spread Footings on Sand; Technical Report; Federal Highway Administration: Washington, DC, USA, 1997. [Google Scholar]
- Briaud, J.L.; Gibbens, R. Behavior of five large spread footings in sand. J. Geotech. Geoenviron. Eng. 1999, 125, 787–796. [Google Scholar] [CrossRef]
- Taylor, K.E. Summarizing multiple aspects of model performance in a single diagram. J. Geophys. Res. Atmos. 2001, 106, 7183–7192. [Google Scholar] [CrossRef]
- Li, D.; Jiang, Z.; Tian, K.; Ji, R. Prediction of hydraulic conductivity of sodium bentonite GCLs by machine learning approaches. Environ. Geotech. 2025, 12, 154–173. [Google Scholar] [CrossRef]
- Gupta, P.R.; Collins, M.P. Evaluation of shear design procedures for reinforced concrete members under axial compression. Struct. J. 2001, 98, 537–547. [Google Scholar]
- Whitlow, R. Basic Soil Mechanics; Pearson: London, UK, 1990. [Google Scholar]
- Tomlinson, M.J.; Boorman, R. Foundation Design and Construction; Pearson Education: London, UK, 2001. [Google Scholar]










| Models | Hyperparameters | ||
|---|---|---|---|
| Max Depth | Learning Rate | Number of Estimators | |
| XGBoost | 3.0 | 0.01 | 500 |
| Adaboost | Not applicable | 0.50 | 50 |
| LightGBM | Not applicable | 0.20 | 600 |
| GBRT | 3.0 | 0.01 | 600 |
| Statistical Parameter | Target Variable | Input Predictors | ||||
|---|---|---|---|---|---|---|
| (kPa) | (m) | (m) | (kN/m3) | (Degree) | ||
| Minimum | 14.00 | 1.000 | 0.000 | 0.030 | 9.850 | 31.950 |
| Maximum | 2847.00 | 6.000 | 0.890 | 3.016 | 20.800 | 45.700 |
| Mean | 481.53 | 2.217 | 0.119 | 0.532 | 15.637 | 39.208 |
| Criteria | Phase | LightGBM | GBRT | XGBoost | AdaBoost |
|---|---|---|---|---|---|
| MAE (kPa) | Training | 73.256 | 60.162 | 66.166 | 126.794 |
| RMSE (kPa) | Training | 140.162 | 125.221 | 129.731 | 172.402 |
| R2 | Training | 0.918 | 0.935 | 0.931 | 0.880 |
| MAE (kPa) | Testing | 90.635 | 78.938 | 87.868 | 115.820 |
| RMSE (kPa) | Testing | 148.496 | 133.401 | 138.515 | 151.685 |
| R2 | Testing | 0.817 | 0.849 | 0.834 | 0.817 |
| MAE (kPa) | All | 75.930 | 63.050 | 69.505 | 125.106 |
| RMSE (kPa) | All | 141.476 | 126.514 | 131.121 | 169.380 |
| R2 | All | 0.910 | 0.928 | 0.923 | 0.876 |
| Model | RMSE (kPa) | |
|---|---|---|
| GBRT | 126.514 | 0.928 |
| KNN | 133.36 | 0.9104 |
| SVR | 363.59 | 0.404 |
| Classification | Ratio Range (/) | Demerit Points |
|---|---|---|
| Extremely Conservative | <0.50 | 2 |
| Conservative | 1 | |
| Appropriate and Safe | 0 | |
| Dangerous | 5 | |
| Extremely Dangerous | ≥2.00 | 10 |
| Model | Sum of Penalty Points | Ratio ≥ 2 | 1.15 ≤ Ratio < 2 | 0.85 ≤ Ratio < 1.15 | 0.5 ≤ Ratio < 0.85 | Ratio < 0.5 |
|---|---|---|---|---|---|---|
| GBRT | 217 | 4 | 30 | 112 | 19 | 4 |
| LightGBM | 241 | 7 | 31 | 117 | 12 | 2 |
| XGBoost | 272 | 7 | 36 | 106 | 18 | 2 |
| Shahnazari and Tutunchian [38] | 288 | 4 | 27 | 52 | 59 | 27 |
| Sadrossadat et al. [37] | 314 | 4 | 44 | 76 | 36 | 9 |
| Zhang and Xue [2] | 319 | 1 | 48 | 64 | 43 | 13 |
| Adaboost | 577 | 27 | 55 | 55 | 32 | 0 |
Disclaimer/Publisher’s Note: The statements, opinions and data contained in all publications are solely those of the individual author(s) and contributor(s) and not of MDPI and/or the editor(s). MDPI and/or the editor(s) disclaim responsibility for any injury to people or property resulting from any ideas, methods, instructions or products referred to in the content. |
© 2025 by the authors. Licensee MDPI, Basel, Switzerland. This article is an open access article distributed under the terms and conditions of the Creative Commons Attribution (CC BY) license (https://creativecommons.org/licenses/by/4.0/).
Share and Cite
Zeini, H.A.; Seno, M.E.; Shehab, E.Q.; Abood, E.A.; Imran, H.; Bernardo, L.F.A.; Ribeiro, T.P. Predicting the Bearing Capacity of Shallow Foundations on Granular Soil Using Ensemble Machine Learning Models. Geotechnics 2025, 5, 57. https://doi.org/10.3390/geotechnics5030057
Zeini HA, Seno ME, Shehab EQ, Abood EA, Imran H, Bernardo LFA, Ribeiro TP. Predicting the Bearing Capacity of Shallow Foundations on Granular Soil Using Ensemble Machine Learning Models. Geotechnics. 2025; 5(3):57. https://doi.org/10.3390/geotechnics5030057
Chicago/Turabian StyleZeini, Husein Ali, Mohammed E. Seno, Esraa Q. Shehab, Emad A. Abood, Hamza Imran, Luís Filipe Almeida Bernardo, and Tiago Pinto Ribeiro. 2025. "Predicting the Bearing Capacity of Shallow Foundations on Granular Soil Using Ensemble Machine Learning Models" Geotechnics 5, no. 3: 57. https://doi.org/10.3390/geotechnics5030057
APA StyleZeini, H. A., Seno, M. E., Shehab, E. Q., Abood, E. A., Imran, H., Bernardo, L. F. A., & Ribeiro, T. P. (2025). Predicting the Bearing Capacity of Shallow Foundations on Granular Soil Using Ensemble Machine Learning Models. Geotechnics, 5(3), 57. https://doi.org/10.3390/geotechnics5030057

