Mechanical Behavior of Fiber-Reinforced Soils under Undrained Triaxial Loading Conditions
Abstract
1. Introduction
- (a)
- The presentation of the results of 61 UU triaxial compression test series conducted on five types of soil reinforced with synthetic fibers of five different types, which serve to enrich and supplement the available information on the behavior and the design parameters of fiber-reinforced soils under undrained loading conditions.
- (b)
- The documentation of the effect of soil composition and fiber type, length and content on the strength and deformability parameters of fiber-reinforced soils.
- (c)
- The quantification of the improvement in the strength and deformability of soils with fiber reinforcement.
2. Materials and Experimental Procedures
3. Stress–Strain Relationship
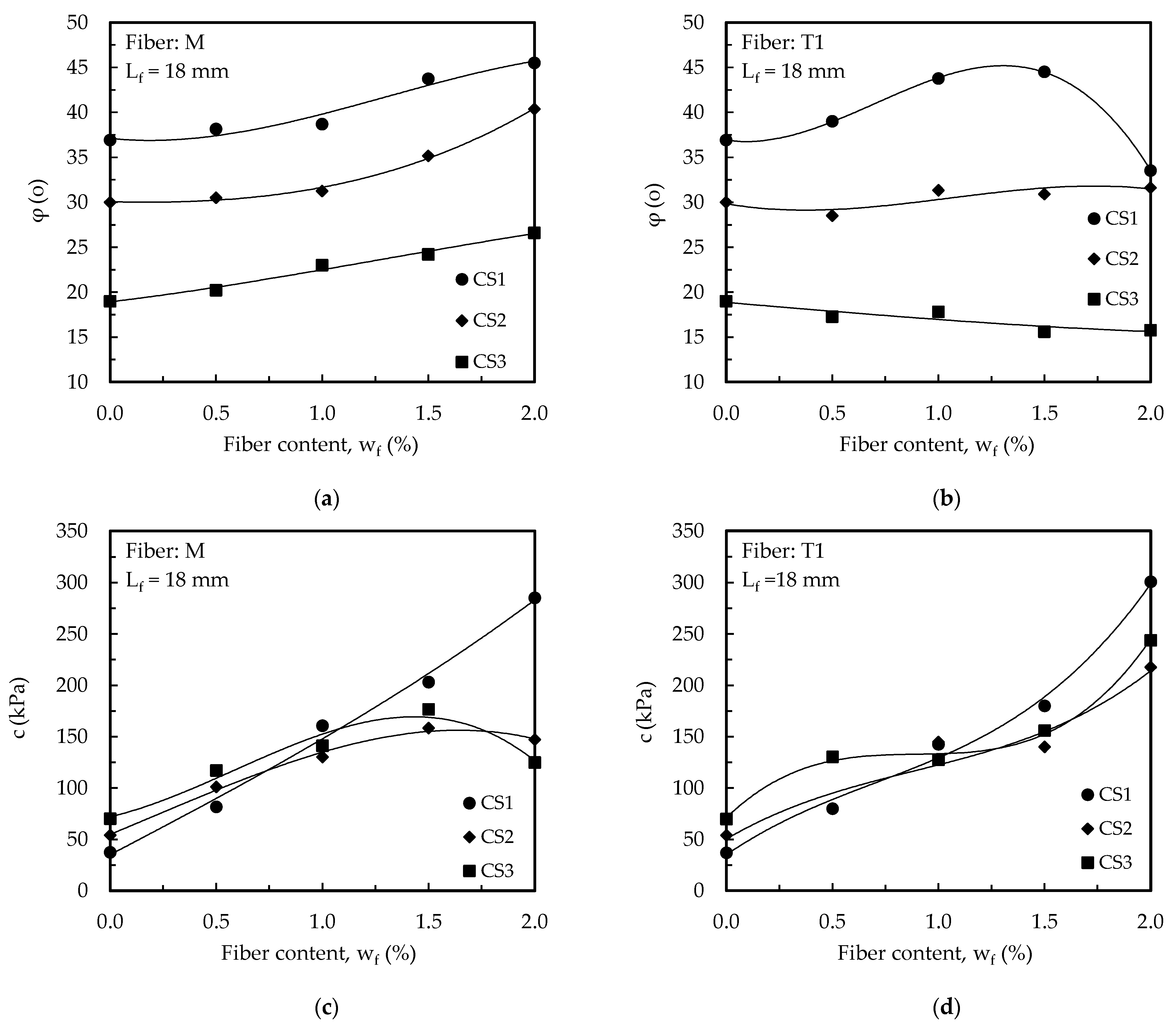
4. Shear Strength
5. Conclusions
- The stress–strain curves of soils reinforced with low contents of fibers of small length (9 mm) more often exhibit a strain-softening behavior. As the fiber length and content increase, the stress–strain behavior of fiber-reinforced soils becomes strain-hardening.
- The deformability parameters of fiber-reinforced soils exhibit a wide range of values and are not consistently affected by the factors examined in the present study. The failure deformation values range from 3.52% to 15.00% and the values of the initial and the secant modulus of elasticity range from 6.2 MPa to 89.0 MPa and from 6.1 MPa to 86.7 MPa, respectively.
- Fiber reinforcement reduces the stiffness and increases the deformability of the soil. The fiber-reinforced soil exhibits a more ductile behavior in comparison with the unreinforced soil.
- The stiffness of the fiber-reinforced soil is generally superior in the initial part of the stress–strain curve but, in several cases, it remains invariable up to the point where the deviator stress is equal to 50% of its maximum value.
- A Mohr–Coulomb type linear failure criterion satisfactorily describes the shear strength behavior of fiber-reinforced soils, in total stress terms, as obtained through UU triaxial compression tests. The cohesion values of the fiber-reinforced soils obtained in the present study range between 61 kPa and 301 kPa and the values of their angle of internal friction range between 10° and 46.5°.
- The angle of internal friction of fiber-reinforced soils is not significantly affected by the factors examined in the present study. Although increases in the angle of internal friction reaching 40% were observed in some cases, the variations of the angle of internal friction of soils due to fiber reinforcement are generally limited to ±25%.
- Fiber reinforcement contributes to the shear strength improvement in soils by adding cohesion ranging between 84 kPa and 124 kPa to the clean sand and by increasing the cohesion of cohesive soils up to seven times. The cohesion improvement due to fiber reinforcement is increased with increasing fiber content and fiber length up to 30 mm, is increased when monofilament (M) and tape 1 (T1) fibers are used and is inversely proportional to the fine-grained fraction and the cohesion of the unreinforced soil.
Author Contributions
Funding
Data Availability Statement
Acknowledgments
Conflicts of Interest
References
- Hoover, J.; Moeller, D.; Pitt, J.; Smith, S.; Wainaina, N. Performance of Randomly Oriented Fiber Reinforced Roadway Soils; Lowa DOT Project-HR-211; Department of Transportation, Highway Division, Lowa State University: Ames, IA, USA, 1982. [Google Scholar]
- Majundar, A. Prospects of fiber reinforcements in civil engineering materials. In Proceedings of the Conference at Shirley Institute of Fibers in Civil Engineering, Manchester, UK, 18 June 1974. [Google Scholar]
- Shukla, S.K. Fundamentals of Fibre-Reinforced Soil Engineering; Springer Nature: Singapore, 2017. [Google Scholar]
- Hoare, D. Laboratory study of granular soils reinforced with randomly oriented discrete fibers. In Proceedings of the International Conference on Soil Reinforcement, Paris, France, 20–22 March 1979; pp. 47–52. [Google Scholar]
- Gray, D.H.; Al-Refeai, T. Behavior of fabric-versus fiber-reinforced sand. J. Geotech. Eng. 1986, 112, 804–820. [Google Scholar] [CrossRef]
- Al-Refeai, T.O. Behavior of granular soils reinforced with discrete randomly oriented inclusions. Geotext. Geomembr. 1991, 10, 319–333. [Google Scholar] [CrossRef]
- Prabakar, J.; Sridhar, R. Effect of random inclusion of sisal fibre on strength behaviour of soil. Constr. Build. Mater. 2002, 16, 123–131. [Google Scholar] [CrossRef]
- Tutumluer, E.; Kim, I.T.; Santoni, R.L. Modulus anisotropy and shear stability of geofiber-stabilized sands. Transp. Res. Rec. 2004, 1874, 125–135. [Google Scholar] [CrossRef]
- Chandra, S.; Viladkar, M.; Nagrale, P.P. Mechanistic approach for fiber-reinforced flexible pavements. J. Transp. Eng. 2008, 134, 15–23. [Google Scholar] [CrossRef]
- Sivakumar Babu, G.; Vasudevan, A. Strength and stiffness response of coir fiber-reinforced tropical soil. J. Mater. Civ. Eng. 2008, 20, 571–577. [Google Scholar] [CrossRef]
- Plé, O.; Ngoc Hà Lê, T.; AbuAisha, M.S. Landfill Clay Barrier: Fibre Reinforcement Technique. Adv. Mater. Res. 2012, 378, 780–784. [Google Scholar] [CrossRef]
- Singh, H.; Bagra, M. Strength and stiffness response of Itanagar soil reinforced with jute fiber. Int. J. Innov. Res. Sci. Eng. Technol. 2013, 2, 4358–4367. [Google Scholar]
- Maheshwari, K.; Solanki, C.; Desai, A. Effect of polyester fibers on strength properties of clayey soil of high plasticity. Int. J. Sci. Eng. Res. 2013, 4, 486–491. [Google Scholar]
- Wu, Y.; Li, Y.; Niu, B. Assessment of the mechanical properties of sisal fiber-reinforced silty clay using triaxial shear tests. Sci. World J. 2014, 2014, 1–9. [Google Scholar] [CrossRef][Green Version]
- Muni, T.; Jeram, Y.; Padu, K.; Yachang, O.; Singh, H. Strength and stiffness response of itanagar soil reinforced with arecanut fiber. Int. J. Innov. Res. Sci. Eng. Technol. 2014, 3, 16659–16667. [Google Scholar] [CrossRef]
- Noorzad, R.; Zarinkolaei, S.T.G. Comparison of Mechanical Properties ofFiber-Reinforced Sand under Triaxial Compressionand Direct Shear. Open Geosci. 2015, 7, 547–558. [Google Scholar] [CrossRef]
- Botero, E.; Ossa, A.; Sherwell, G.; Ovando-Shelley, E. Stress–strain behavior of a silty soil reinforced with polyethylene terephthalate (PET). Geotext. Geomembr. 2015, 43, 363–369. [Google Scholar] [CrossRef]
- Abou Diab, A.; Sadek, S.; Najjar, S.; Abou Daya, M.H. Undrained shear strength characteristics of compacted clay reinforced with natural hemp fibers. Int. J. Geotech. Eng. 2016, 10, 263–270. [Google Scholar] [CrossRef]
- Abou Diab, A.; Najjar, S.S.; Sadek, S.; Taha, H.; Jaffal, H.; Alahmad, M. Effect of compaction method on the undrained strength of fiber-reinforced clay. Soils Found. 2018, 58, 462–480. [Google Scholar] [CrossRef]
- Ndepete, C.; Sert, S. Use of basalt fibers for soil improvement. Acta Phys. Pol. A 2016, 130, 355–356. [Google Scholar] [CrossRef]
- Kravchenko, E.; Liu, J.; Niu, W.; Zhang, S. Performance of clay soil reinforced with fibers subjected to freeze-thaw cycles. Cold Reg. Sci. Technol. 2018, 153, 18–24. [Google Scholar] [CrossRef]
- Zhao, Y.; Ling, X.; Gong, W.; Li, P.; Li, G.; Wang, L. Mechanical properties of fiber-reinforced soil under triaxial compression and parameter determination based on the Duncan-Chang model. Appl. Sci. 2020, 10, 9043. [Google Scholar] [CrossRef]
- Tanegonbadi, B.; Noorzad, R.; Shakery, P. Engineering properties of sand reinforced with plastic waste. Sci. Iran. 2021, 28, 1212–1222. [Google Scholar] [CrossRef]
- Xu, J.; Wu, Z.; Chen, H.; Shao, L.; Zhou, X.; Wang, S. Study on Strength Behavior of Basalt Fiber-Reinforced Loess by Digital Image Technology (DIT) and Scanning Electron Microscope (SEM). Arab. J. Sci. Eng. 2021, 46, 11319–11338. [Google Scholar] [CrossRef]
- Xu, J.; Wu, Z.; Chen, H.; Shao, L.; Zhou, X.; Wang, S. Triaxial Shear Behavior of Basalt Fiber-Reinforced Loess Based on Digital Image Technology. KSCE J. Civ. Eng. 2021, 25, 3714–3726. [Google Scholar] [CrossRef]
- Ayothiraman, R.; Sahu, R.; Bhuyan, P. Strength and Deformation Behavior of Fine-Grained Soils Reinforced with Hair Fibers and Its Application in Pavement Design. J. Nat. Fibers 2022, 19, 7646–7663. [Google Scholar] [CrossRef]
- O’Kelly, B.C.; Soltani, A. Comments on ‘Strength and Deformation Behavior of Fine-Grained Soils Reinforced with Hair Fibers and Its Application in Pavement Design’ by Ayothiraman et al. J. Nat. Fibers 2022, 19, 15846–15850. [Google Scholar] [CrossRef]
- Vafaei, A.; Choobbasti, A.J.; Koutenaei, R.Y.; Vafaei, A.; Afrakoti, M.P.; Kutanaei, S.S. Experimental investigation of the mechanical behavior and engineering properties of sand reinforced with hemp fiber. Arab. J. Geosci. 2022, 15, 1679. [Google Scholar] [CrossRef]
- Yang, H.; Li, P.; Yang, E.; Jiang, X.; Chen, J. The strength law of coir fiber-reinforced soil based on modified Duncan-Chang model. Front. Earth Sci. 2023, 10, 1–10. [Google Scholar] [CrossRef]
- Wijaya, M.; Leong, E. Swelling and collapse of unsaturated soils due to inundation under one-dimensional loading. Indian Geotech. J. 2016, 46, 239–251. [Google Scholar] [CrossRef]
- Wijaya, M.; Leong, E. Performance of high-capacity tensiometer in constant water content oedometer test. Int. J. Geo-Eng. 2016, 7, 1–15. [Google Scholar] [CrossRef]
- Wijaya, M.; Leong, E.C.; Abuel-Naga, H. Shrinkage curves for powder and granular bentonites. E3S Web Conf. 2019, 92, 07009. [Google Scholar] [CrossRef]
- Leong, E.C.; Wijaya, M.; Tong, W.; Lu, Y. Examining the contact filter paper method in the low suction range. Geotech. Test. J. 2020, 43, 1567–1573. [Google Scholar] [CrossRef]
- Satyanaga, A.; Rahardjo, H. Unsaturated shear strength of soil with bimodal soil-water characteristic curve. Géotechnique 2019, 69, 828–832. [Google Scholar] [CrossRef]
- Satyanaga, A.; Bairakhmetov, N.; Kim, J.R.; Moon, S.-W. Role of bimodal water retention curve on the unsaturated shear strength. Appl. Sci. 2022, 12, 1266. [Google Scholar] [CrossRef]
- Satyanaga, A.; Rahardjo, H.; Hua, C.J. Numerical simulation of capillary barrier system under rainfall infiltration in Singapore. ISSMGE Int. J. Geoengin. Case Hist. 2019, 5, 43–54. [Google Scholar] [CrossRef]
- Standard D2487-06; Standard Practice for Classification of Soils for Engineering Purposes (Unified Soil Classification System). ASTM: West Conshohocken, PA, USA, 2010.
- M 145-91; Classification of Soils and Soil-Aggregate Mixtures for Highway Construction Purposes. AASHTO: Washington, DC, USA, 2004.
- M 57; Standard Specification for Materials for Embankments and Subgrades. AASHTO: Washington, DC, USA, 2004.
- Standard D698-07; Standard Test Method for Laboratory Compaction Characteristics of Soil Using Standard Effort. ASTM: West Conshohocken, PA, USA, 2017.
- Evangelou, E.D.; Markou, I.N.; Christoforou, A.S. Compaction Characteristics of Fiber-Reinforced Soils. Int. J. Geosynth. Ground Eng. 2022, 8, 1–11. [Google Scholar] [CrossRef]
- Standard D2850-15; Standard Test Method for Uncosnolidated-Undrained Triaxial Compression Test on Cohesive Soils. ASTM: West Conshohocken, PA, USA, 2017.














| Ref. | Soil Type | Fiber Type | Lf (opt) (mm) | wf (opt) (%) | σ3 (kPa) | Failure Envelope | Cohesion | Friction Angle | Failure Strain | Modulus of Elasticity |
|---|---|---|---|---|---|---|---|---|---|---|
| [4] | sandy gravel | pp, nylon tape | 66 | 0.09–0.25 | - | - | - | i | i | Ei: d |
| [5] | sand | reed, glass mf | 13, 38 | 0.21–2.00 | 49–392 | b | i | i | i | i |
| [6] | sand | pp mf/mesh, glass mf | 2–100 (75) | 0.50 | 49–294 | l, b | - | i | i | E50: d, i |
| [7] | clay, CL | sisal leaves mf | 10–25 (20) | 0.25–1.00 (0.75) | 69–207 | - | i | mi-ns | i | i |
| [8] | sand | pp mf/fibr/tape | 51 | 1.00 | 21–138 | - | - | i, d | - | - |
| [9] | clay, CL silt, ML sand, SM | coir mf | Ar: 50–100 | 0.75–3.0 | 40 | - | - | - | i | Ei: i |
| [10] | sand | coir mf | 10–30 | 0.50–2.50 (1.5–2.0) | 50–150 | - | i | d, i | i | Ei: i |
| [11] | clay | pp mf | 12 | 0.30, 060 | 50–200 | - | d | i | - | i |
| [12] | silty sand | jute mf | 30 | 0.25–1.00 | 50–150 | l | i | i | - | i |
| [13] | clay, CH | polyester mf-tr | 12 | 0.25–1.50 (0.50) | 50–150 | l | i | i | - | - |
| [14] | silty clay | sisal mf | 5–15 (10) | 0.50–1.50 | 100–400 | l | i | mi | - | - |
| [15] | silty sand | arecanut mf | 20, (30) | 0.25-(1.00) | 50–200 | l | i | i-mi | - | i |
| [16] | sand, SP | pp mf | 6–18 | 0.25–1.00 | 50–400 | l | i | i | i | i |
| [17] | silt, MH | PET mf-cr | 50 | 0.10–1.00 | 62–186 | l | mi | d | - | Ei: d |
| [18,19] | clay, CL | hemp mf | 40 | 0.50–1.50 (1.25) | - | b | - | - | i | E50: d |
| [20] | silt, ML | basalt mf | 6-(24) | 1.0–2.0 (1.50) | 100–400 | - | increase in major pr. stress at failure | - | - | |
| [21] | clay | pp, basalt mf | 12 | 0.25–1.00 | 300–500 | - | i | i | - | - |
| [22] | sand | pp mf Ysection | 3–18 (12) | 0.10–0.30 (0.20) | 100–700 | - | i | d | - | Ei: i |
| [23] | sand, SP | PET mf, pp tape | 5–15 (10) 15 | 0.25–1.00 | 50–200 | l | i | i | i | E50: i |
| [24,25] | loess | basalt mf | 6–18 (12) | 0.30–1.00 (0.60) | 50–200 | l | i | i-mi | - | Ei: i |
| [26,27] | silt, SM clay, CL | human hair mf | 20–50 | 2.00 | 25, 75 | - | - | - | i | Ei, E50: i |
| [28] | sand, SP | hemp mf | 6–14 | 0.30–0.90 | 50–200 | l | i | i | i | E50: i |
| [29] | red clay | coir mf | 10–40 (30) | 0.10–0.40 (0.30) | 50–200 | - | - | - | - | i, d |
| Soil Designation | Mixing Proportions (%) SP-CL | Atterberg Limits LL-PL | Soil Classification USCS (AASHTO) | Unconsolidated Undrained Triaxial Compression Test Results | ||||
|---|---|---|---|---|---|---|---|---|
| φ (ο) | c (kPa) | εf (%) | Ei (MPa) | E50 (MPa) | ||||
| SP | 100–0 | - | SP (A-1-b) | 42.2 | 0 | 4.6–7.9 | 24.5–96.1 | 17.1–71.7 |
| CL * | 0–100 | 46–21 | CL (A-7-6) | - | - | - | - | - |
| CS1 | 85–15 | 26–17 | SC (A-2-4) | 36.9 | 37.1 | 2.5–5.0 | 39.9–107.6 | 31.3–102.9 |
| CS2 | 70–30 | 29–17 | SC (A-2-6) | 30.1 | 54.2 | 2.6–12.4 | 14.5–91.7 | 14.3–88.4 |
| CS3 | 50–50 | 37–19 | SC (A-6) | 19.0 | 70.1 | 4.4–12.0 | 30.2–56.1 | 27.9–33.2 |
| CS4 | 25–75 | 45–20 | CL (A-7-6) | 12.9 | 109.9 | 6.9–13.7 | 16.6–47.7 | 14.1–22.8 |
| Fiber Type | Designation | Diameter/Thickness (μm) | Width (mm) | Length (mm) | Tensile Stress at Failure (N/mm2) | Elongation at Failure (%) |
|---|---|---|---|---|---|---|
| Monofilament | M | 35 | - | 9, 18, 30, 50 | 570 | 20.2 |
| Tape 1 | T1 | 43 | 1.13 | 9, 18, 30, 50 | 541 | 23.3 |
| Tape 2 | T2 | 38 | 2.78 | 18 | 556 | 27.0 |
| Hollow | H | 45 | - | 18 | 513 | 54.2 |
| Fibrillated | F | 42 | 2.78 | 30 | 416 | 12.1 |
| Soil Type | Fiber Type | Fiber Content wf (%) | Fiber Length Lf (mm) | Examined Parameter |
|---|---|---|---|---|
| SP, CS1, CS2, CS3, CS4 | M, T1, T2, H, F | 1.0 | 18 or 30 * | Soil type, Fiber type |
| CS1, CS2, CS3 | M, T1 | 0.5 | 9, 18, 30, 50 | Fiber length |
| CS1, CS2, CS3 | M, T1 | 1.5, 2.0 | 18 | Fiber content |
Disclaimer/Publisher’s Note: The statements, opinions and data contained in all publications are solely those of the individual author(s) and contributor(s) and not of MDPI and/or the editor(s). MDPI and/or the editor(s) disclaim responsibility for any injury to people or property resulting from any ideas, methods, instructions or products referred to in the content. |
© 2023 by the authors. Licensee MDPI, Basel, Switzerland. This article is an open access article distributed under the terms and conditions of the Creative Commons Attribution (CC BY) license (https://creativecommons.org/licenses/by/4.0/).
Share and Cite
Evangelou, E.D.; Markou, I.N.; Verykaki, S.E.; Bantralexis, K.E. Mechanical Behavior of Fiber-Reinforced Soils under Undrained Triaxial Loading Conditions. Geotechnics 2023, 3, 874-893. https://doi.org/10.3390/geotechnics3030047
Evangelou ED, Markou IN, Verykaki SE, Bantralexis KE. Mechanical Behavior of Fiber-Reinforced Soils under Undrained Triaxial Loading Conditions. Geotechnics. 2023; 3(3):874-893. https://doi.org/10.3390/geotechnics3030047
Chicago/Turabian StyleEvangelou, Evangelos D., Ioannis N. Markou, Sofia E. Verykaki, and Konstantinos E. Bantralexis. 2023. "Mechanical Behavior of Fiber-Reinforced Soils under Undrained Triaxial Loading Conditions" Geotechnics 3, no. 3: 874-893. https://doi.org/10.3390/geotechnics3030047
APA StyleEvangelou, E. D., Markou, I. N., Verykaki, S. E., & Bantralexis, K. E. (2023). Mechanical Behavior of Fiber-Reinforced Soils under Undrained Triaxial Loading Conditions. Geotechnics, 3(3), 874-893. https://doi.org/10.3390/geotechnics3030047

