Abstract
While it is generally recognized that prolonged sitting periods at work can harm the locomotor system, little attention has been paid to the impact of sitting behavior on muscle stiffness. This study investigated the effect of sitting posture and postural activity on lower back muscle stiffness in a controlled experiment in which participants sat at a desk for 4.5 h. Lower back muscle stiffness was measured before and after the sitting period. In addition, continuous recording of kinematic data of the lower back using an eight-camera motion analysis system was applied to quantify sitting posture and the level of postural activity. The results show that the prolonged sitting period led to a significant increase in muscle stiffness. Further, all participants spent a substantial amount of time in a slumped sitting posture, and the level of postural activity varied significantly throughout the 4.5 h sitting period. Those results suggest that the increase in lumbar muscle stiffness is presumably related to the often-preferred slump sitting posture and may help to understand how prolonged sitting periods can increase susceptibility to common pathological conditions such as low back pain. However, the results also leave some uncertainties that need further investigation.
1. Introduction
Sedentary behavior is a growing public health concern worldwide. Particularly in developed nations, people sit 8.3 h a day on average on their way to work, at the office, or at home [1,2,3]. Professional drivers are even more vulnerable to prolonged and uninterrupted sedentary behavior. Most truck drivers in Europe use the maximum non-stop driving time of 4.5 h to remain competitive. After a break of 45 min required by law, they often drive non-stop for another 4.5 h [4,5]. Research has shown that long sitting periods can cause increased muscle stiffness and fatigue [6,7,8], discomfort [9,10,11], and, at worst, low back pain (LBP) [12,13,14]. In this regard, a much-debated question is whether these negative consequences of long sitting periods can be associated with a low level of postural activity [15] and an unfavorable sitting posture [1,16]. To date, most of the research on sitting behavior has been descriptive or limited to relatively short examination periods [9,17,18,19]. Experimental studies that quantify sitting behavior for several hours to examine how it affects the locomotor system and how it may affect the back’s vulnerability to injury are largely missing.
It is well-established that sedentary behavior has adverse effects on health. Besides an increased risk of premature mortality [20] and related cardiovascular and metabolic abnormalities [2,21], a growing body of literature recognizes sedentary behavior as an independent risk factor for musculoskeletal discomfort [9,10,11]. Moreover, prolonged sitting is associated with an increased risk of LBP [12,13,14]. Surveys among office workers indicate an annual prevalence for LBP of 34% [22]. Professional drivers are even more vulnerable to LBP, showing a monthly prevalence of up to 50% [23]. Thus, sitting-related LBP is becoming a tremendous socio-economic burden [1,24,25].
Etiologically, LBP is caused by several independent factors [25]. One line of research concerning prolonged sitting recognizes the critical role of an often preferred slumped sitting posture and its adverse effects on the stabilizing muscles of the spine [17,18,26,27]. Slumped sitting is characterized by an excessive posterior tilt of the pelvis and decreased lordosis of the lumbar spine [17,27]. It is proposed that this posture relies mainly on the passive lumbopelvic structures (e.g., spinal ligaments) to maintain a resting sitting position. This results in a diminished requirement for muscle activity [28,29]. Paradoxically, it seems reasonable to hypothesize that relaxation of the spinal muscle can increase the muscle’s stiffness (contraction state). Residual passive tissue deformation (i.e., viscoelastic creep) can occur during prolonged slumped sitting, when the passive tissues are continuously loaded [30,31]. Such viscoelastic behavior implies reduced passive support of the spine. Maintaining spinal stability seems to require a compensatory adaptation of the neuromuscular system’s active component—namely, the spinal muscles [18,32]. In line with this argument, another study indicates that viscoelastic changes are often accompanied by spasms and reflexive hyperexcitability of the spinal muscles [33]. These neuromuscular adaptations can restrict microcirculation in muscle tissue, which, in turn, appear to trigger a reactive imbalance in the muscle cell [34,35]. An imbalance in the muscle cell can again promote the spontaneous formation of weak but long-lasting cross-bridges between myosin heads and actin filaments [36]. Subsequently, the passive muscle stiffness increases [37]. A recent study supports this theoretical framework. It found that back muscle stiffness increased after a 4.5 h sitting period [8]. However, the research did not consider sitting posture as a contributing factor to increased muscle stiffness. Therefore, there is still no systematic understanding of how sitting posture, particularly slumped sitting, contributes to back muscle stiffness.
Besides sitting posture, the literature generally recognizes that regular postural activity during long periods of sitting may prevent the manifestation of musculoskeletal disorders [15,38,39]. It has been argued that a high level of postural activity, i.e., regular changes of sitting posture, reduces the harmful effects of slumped sitting on spinal muscles [15,40]. There is some evidence that postural activity may affect muscle activity [41,42,43] and, consequently, microcirculation of the tissue [44]. However, evidence for these relationships remains inconclusive. Up to now, there have been few quantitative analyses of the effect of postural activity during prolonged sitting periods on back muscle stiffness.
In light of these uncertainties, this study intended to examine whether sitting posture, particularly slumped sitting, affected muscle stiffness during prolonged sitting. Further, we aimed to investigate whether an increase in muscle stiffness could be related to a lack of postural activity. By recording kinematic data of the lower back over a sitting period of 4.5 h and performing measurements of lower back muscle stiffness, we tested two hypotheses. First, we hypothesized that the increase in back muscle stiffness correlated with the time spent in a slumped sitting posture. Second, we hypothesized that the change in back muscle stiffness correlated with the level of postural activity.
2. Materials and Methods
2.1. Participants
The study included 16 participants (7 female, 9 male), ranging in age from 23 to 42 years (mean ± SD: 28.9 ± 4.8 years). The sample size was determined by a priori power analysis (alpha: 0.05, expected observed power: 0.95, effect size: 0.6) (G*Power 3.1.9.2, [45,46]) based on previously published data [8]. The average weight of the participants was 73.7 ± 10.4 kg, and the average height was 176.9 ± 10.0 cm. All participants had to be healthy, with no current injuries or conditions that would cause sitting abnormalities. Further, all participants had to cease moderate and high physical activities 24 h before the experiment to avoid possible muscle fatigue and altered muscle stiffness. Each participant was aware of the hypotheses and gave written informed consent to participate in the study. The study was approved by the faculty’s ethics committee (approval-number: V-370-17-FS-E.-Stimulation-07022020) and was conducted according to the Declaration of Helsinki.
2.2. Experimental Protocol
Beginning between 7:00 and 8:00 a.m., participants sat for 4.5 h at a desk on a height-adjustable chair to complete their regular office activities (e.g., reading and writing documents, laptop computer work) (Figure 1). Kinematic data were collected for periods of 15 min throughout the 4.5 h sitting period. Between the intervals, short breaks (<5 min) were allowed, e.g., to go to the restroom. Stiffness data were collected before and after the sitting period. One examiner, who had anatomy training for marker placement and probe positioning, collected all kinematic and stiffness data.
Figure 1.
The graphical abstract illustrates the key measurements of the experiment. Stiffness measurements of the lower back muscles (left-hand side) were collected before and after the sitting period using a custom-built indentometer device. The device was located at the level of the third lumbar vertebra. Motion data of the lower back (right-hand side) were captured using three retro-reflective skin markers, which were placed on the spinous processes of T10 (orange), L3 (green), and S2 (blue) vertebrae. All participants sat for 4.5 h at a desk on a height-adjustable chair to complete their regular office activities.
2.3. Stiffness Measurement
A custom-built indentometer device was used to measure the muscle’s resistance against deformation as a surrogate measure for muscle stiffness [47,48]. The handheld device had already been used in a previous study to investigate the mechanical properties of back muscles [8]. The device contains a load cell (Compression Load Cell FX1901, TE Connectivity, Schaffhausen, Switzerland) and a membrane potentiometer (ThinPot 10kOhm, Spectra Symbol, Salt Lake City, UT, USA) to measure the resistance force and displacement of a circular indentation probe (Ø 11.3 mm). The probe was placed on the muscles two centimeters alongside the lumbar spine (right side) while the participants lay down in a prone position (Figure 1). The probe placement was identical with a previous study [8] and chosen because it guarantees reliable stiffness measurements of lumbar back muscles. For each measurement, three consecutive compression-release cycles were performed, during which the tissue was compressed up to an indentation depth of 12 mm. The corresponding force of resistance was recorded to calculate the stiffness. A previous study by Wilke et al. (2018) indicated an excellent test–retest reliability (intraclass correlation coefficient: 0.84) for the indentometer device [48].
2.4. Acquisition and Analysis of Kinematic Data
Motion data were captured at 30 Hz using an eight-camera motion analysis system (Vicon Motion Systems Ltd., Oxford, UK). To quantify three-dimensional motions of the lower back, three retro-reflective skin markers (16.0 mm diameter) were placed on the spinous processes of the following vertebrae: T10 (thoracic spine), L3 (lumbar spine), and S2 (sacral spine) (Figure 1). The marker position was chosen in accordance with previous studies [17,49]. Particularly, we chose T10 as the upper boundary for the lumbar region, as Claus et al. 2009 argue that facet joint orientation and lumbar curvature can transition as proximally as T10 [17]. We modified the chair’s backrest and participants’ garment to guarantee continuous visibility of the markers: The chair’s back cushion was removed but the cushioned frame of the backrest remained, and all participants had to wear a long-sleeve T-shirt with a cut-out at the back exposing the spinal area (Figure 1). Data processing was performed using Vicon Nexus 2.8.1 (Vicon Motion Systems Ltd., Oxford, UK) and R Studio (R Foundation for Statistical Computing, Vienna, Austria). Motion capture data were downsampled to 1 Hz, and a recursive fourth-order Butterworth low-pass filter (5 Hz cutoff frequency) was used to process the kinematic data.
2.5. Spinal Kinematics (Sitting Posture and Postural Activity)
Sitting posture was evaluated by measuring the curvature of the lumbar spine. The curvature was calculated as the angle between two vectors (LU angle), where the first vector was bounded by markers T10 and L3, and the second vector was bounded by markers L3 and S2. At the beginning of the sitting period, participants were asked to maintain an upright flat sitting posture for 10 s, and the investigator controlled the upright position visually. The flat sitting posture was defined as the lumbar spine’s neutral position (LU angle = 0°). Based on this definition, positive angles (LU angle > 2°) were defined as kyphotic curvature, whereas negative angles (LU angle < −2°) were defined as lordotic curvature of the lumbar spine. Lumbar angles between −2° and 2° were defined as flat sitting posture. Notably, the terms kyphotic and lordotic curvatures relate to the flat sitting posture and therefore can be different from the anatomical definitions (i.e., the angle can be positive, but the lumbar curvature still be a lordotic curve, in anatomical terms).
Sample entropy (SampEn), a time series regularity measure, was used to quantify the lower back’s postural activity. According to Richman and Moorman (2000), SampEn is the negative natural logarithm of the conditional probability that two sequences similar for m points remain similar at the next point [50]. Thus, a lower value of SampEn during a given sitting period indicates more self-similarity in the time series and a lower level of postural activity. According to previous postural control studies, m = 2 was utilized. Further, a tolerance r = 0.1 × SD was chosen [51,52].
2.6. Data Analysis and Statistics
To evaluate sitting posture, the percentage of time spent with a flat, kyphotic, or lordotic lumbar curvature over the course of 4.5 h was calculated for each participant. Further, SampEn was determined for five time series data sets (1: 0–60, 2: 61–120, 3: 121–180, 4: 181–240, and 5: 241–270 min). Means and standard deviations (mean ± SDs) were calculated, and a Shapiro–Wilk test of normality was performed for all variables.
Comparisons of lumbar muscle stiffness before and after the 4.5 h sitting period were performed using a paired t-test due to the data’s normal distribution. Comparisons of sitting posture were conducted using a Friedman test due to non-normally distributed data. When a significant main effect between conditions (flat, kyphotic, lordotic) was observed, a Bonferroni-adjusted post hoc analysis was performed. A one-way repeated measures ANOVA for normally distributed output parameters was used to analyze the impact of sitting time on postural variation (SampEn). When a significant main effect between conditions was observed, a Bonferroni-adjusted post hoc analysis was performed.
The Pearson product-moment correlation coefficient test was used to test the correlations between change in muscle stiffness and a kyphotic sitting posture and between change in muscle stiffness and postural activity level. Significance was set at α = 0.05 for all tests, using IBM SPSS Statistics, version 25 (IBM, Armonk, NY, USA).
3. Results
Analysis of the stiffness data showed that a sitting period of 4.5 h led to a significant increase in lower back muscle stiffness of 15.7% (pre: 2.48 ± 0.47 vs. post: 2.87 ± 0.51 N/mm) (p < 0.01, t-test for paired samples). Motion capture data were analyzed to assess sitting posture during the 4.5 h (270 min). On average, participants spent 76.6% (206.7 ± 31.1 min) with a kyphotic curvature of the lumbar spine. Another 11.2% (30.2 ± 18.7 min) and 2.6% (7.1 ± 2.9 min) were spent with a lordotic curvature of the lumbar spine and a flat sitting posture, respectively. As a result of missing markers, 9.9% (26.7 ± 26.8 min) of the recorded data were missing. The 4.5 h sitting period was interrupted 0.70 ± 0.78 times on average for a short break, e.g., to go to the restroom (average duration: 4.17 ± 1.27 min). The Friedman test revealed that time spent in a kyphotic posture was significantly greater than lordotic and flat postures (p < 0.01 and p < 0.01, respectively). No statistically significant difference was detected between the flat and lordotic postures (p = 0.23).
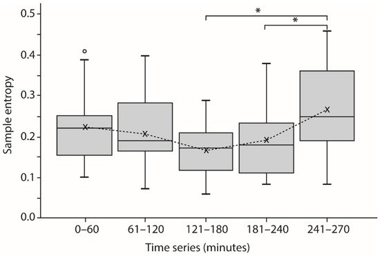
Concerning the level of postural activity, a one-way repeated measures ANOVA revealed significant differences between the five time series data sets (p < 0.01, one-way repeated measures ANOVA). According to the post hoc analysis, SampEn decreased gradually but not significantly by 7.2% between data sets 1 (0–60 min: 0.224 ± 0.096) and 2 (61–120 min: 0.208 ± 0.089) and by 25.8% between data sets 1 and 3 (121–180 min: 0.167 ± 0.07). In contrast, significant differences were found between data sets 4 (181–240 min: 0.191 ± 0.086) and 5 (241–270 min: 0.267 ± 0.118) (p = 0.02), as well as between data sets 3 and 5 (p = 0.02). In total, the SampEn increased by 60.6% between data sets 3 and 5. Figure 2 summarizes the results of the SampEn analysis.
Figure 2.
Sample entropy (SampEn) analysis during the 4.5 h (270 min) sitting period. SampEn decreased gradually but not significantly within the first three time series. Then, SampEn increased again. The statistical analysis revealed a significant difference (p < 0.05) between the third and fourth as well as third and fifth time series. An asterisk indicates statistical differences.
The correlation analyses revealed a rather unexpected result. No significant correlations were found between the change in muscle stiffness and a kyphotic sitting posture (r = 0.046, p = 0.866), or between the change in muscle stiffness and the level of postural activity (r = 0.211, p = 0.432) (Figure 3).
Figure 3.
Correlation analysis to test the effects of sitting posture and the level of postural activity on change in muscle stiffness. Dots represent single participants. Lines represent the regression slope. No significant correlations were found between the change in muscle stiffness and sitting posture (kyphotic sitting posture, black dots and line) or between the change in muscle stiffness and the level of postural activity (sample entropy, red dots and line).
4. Discussion
The present study tested the effect of sitting posture and postural activity on lower back muscle stiffness during prolonged sitting periods. We hypothesized that the increase in back muscle stiffness correlates with the time spent in a slumped sitting position. We further hypothesized that the change in back muscle stiffness is correlated with the level of postural activity. Our results indicate that prolonged sitting periods significantly increase low back muscle stiffness. As expected, slumped sitting was often the preferred sitting posture. However, we did not find any correlation between time spent in a slumped sitting posture and the increase in muscle stiffness. We also found no evidence that changes in muscle stiffness correlated with the level of postural activity. These findings shed new light on the impact of sitting behavior on the locomotor system and how sitting behavior may affect the back’s vulnerability to injury.
The most prominent finding to emerge from this study was that lower back muscle stiffness increased significantly during a sitting period of 4.5 h. This finding was consistent with our previous study [8]. According to the theoretical framework, the increase in muscle stiffness might be explained by residual deformations (i.e., creep) in the spine’s viscoelastic tissue [30,31], especially during prolonged slumped sitting posture. These deformations can trigger spasms and reflexive hyperexcitability of the spinal muscles [18,33]. The neuromuscular changes can then again restrict microcirculation in the muscle tissue [34,35]. Consequently, long-lasting cross-bridges between myosin heads and actin filaments are formed [36] and increase the passive muscle stiffness [37].
Consistent with the literature [49,51,53], this research found that participants spent a significant amount of the 4.5 h sitting period in a slumped sitting posture, evidenced by a kyphotic curvature of the lumbar spine. This result may be explained by almost inactive spinal muscles during slumped sitting posture. Related research has shown that muscle fatigue occurs when erect postures (such as upright sitting) are sustained for as little as 30 min, even if contractions are as low as 2% to 5% of the maximum voluntary contraction [7]. Thus, participants might have preferred a slumped sitting posture because it is perceived as less physically demanding [17,28,29]. However, on the downside, the lack of muscle contractions could further promote tissue creep and neuromuscular adaptations, e.g., spasms and hyperexcitability [18,32,33]. In line with this argument, our postural activity analysis showed that postural activity levels decreased in the first three hours but increased rapidly after that. It is reasonable to hypothesize that participants who spent an increasing amount of time in a slumped sitting posture felt discomfort (due to spasms or hyperexcitability). Therefore, the participants may have increased postural activity at the end of the sitting period to initiate muscle contractions, stimulate microcirculation of the muscle tissue, and compensate for the discomfort. This behavior has previously been described as a natural coping response [10,51]. Unfortunately, we did not measure the oxygen saturation of the muscle tissue. Therefore, caution must be applied and further testing is needed.
Surprisingly, the increase in lower back muscle stiffness did not correlate with the time spent in a slumped sitting posture. At first sight, this finding challenges our initial prediction that an increase in back muscle stiffness can be explained by the time spent in a slumped sitting posture. However, the missing link between muscle stiffness and sitting posture may be attributed to the significant time spent in a slumped sitting posture. In our study, participants sat in a slumped position for at least 135 min, but on average 207 min. In contrast, they spent only 30 min on average in a lordotic and 7 min in flat and sitting postures. Thus, most of the sitting time was likely dominated by very low or no activation of lumbar muscles [17,26,27]. The relatively short increase in muscle activation during erect postures might have been insufficient to compensate for the adverse effects of slumped sitting. Instead, the prolonged slumped sitting posture may have fostered residual deformation in the passive tissues of the low back [18,30]. Previous studies showed creep phenomena in passive tissues after slumped sitting periods of 60 min or less [18,30].
Another unexpected finding was the missing correlation between muscle stiffness and the level of postural activity. We expected a lower increase in muscle stiffness in participants with greater postural activity. However, our analysis revealed that individuals from both ends of the postural activity level showed a similar increase in muscle stiffness. It raises the question of why higher levels of postural activity, which involves more activity of the lumbar muscles, do not counter the increase in muscle stiffness. It is possible that the activity level of the lumbar muscles during postural activity is too low to trigger any microcirculation. Related research shows that a much-debated question is whether the measured electromyographic intensities and frequencies can cause an effect on lumbar back muscles [41,43,54]. A review by O’Sullivan et al. (2013) suggests that dynamic sitting and postural changes are ineffective in modifying muscle activation [40]. According to this review, significantly increased lumbar muscle activation for active sitting scenarios, such as sitting on a dynamic office chair [43] or unsupported sitting on an exercise ball [55,56], may be more related to the absence of a backrest rather than the dynamic sitting component. In our study, participants sat on a stable chair with a backrest. Thus, the active sitting component, i.e., the level of postural activity, was possibly insufficient to counter the increase in muscle stiffness in our experimental setup. Unfortunately, the study did not apply electromyographic (EMG) measurements to record the electrical activity produced by lumbar muscles. Further studies are needed to determine the frequency and intensity required to generate a lasting impact on lumbar muscles.
A limitation of this study is that we could not assess the stiffness of deep core muscles. Our stiffness measurements were restricted to superficial structures up to an indentation depth of 12 mm. Therefore, it remains unknown whether deep core muscles reflect the expected effects of slumped sitting posture and postural activity on muscle stiffness. It has been shown that deep core muscles play an important role in trunk stabilization during postural shifts [42]. Further, it seems plausible that muscles other than the spinal muscles might be affected by sitting posture and postural activity. Therefore, it would be of great interest to analyze the stiffness of deep core muscles of the spine and other muscles using ultrasound imaging, such as ultrasound shear-wave elastography [57,58] or tissue ultrasound palpation systems [59]. Ultrasound imaging may also strengthen confidence in the theoretical framework, which argues that increased muscle stiffness is initiated by residual deformation in the spine’s viscoelastic passive tissues. While first experimental evidence shows that the neuromuscular system adapts to viscoelastic changes in the trunk following a prolonged slumped sitting posture [18,32], considerably more work needs to be done. This study also lacks information about variation in muscle stiffness during the 4.5 h sitting period. Therefore, uncertainty remains about whether stiffness increased immediately after a few minutes or increased gradually throughout 4.5 h. In addition to that, the potential influence of hand preference on the participants’ posture and back muscle stiffness should be investigated in more detail. Back muscle stiffness of the left and right sides of the body could be significantly different for non-symmetric tasks such as when using the computer mouse. Another limitation of our study may be that it was not possible to confirm that the lumbar muscles were electrically silent during the stiffness measurement. Measurements of muscle stiffness using tissue compliance meters are highly influenced by the contraction state [48]. However, it is well-accepted that resting muscles are electrically silent in healthy participants in a prone position [27,60].
Notwithstanding these limitations, our findings suggest that prolonged sitting periods cause an increase in lumbar muscle stiffness. The increase in lumbar muscle stiffness is presumably related to the often-preferred slumped sitting posture. Furthermore, it reveals that postural activity seems inadequate to compensate for the harmful effects of a predominant slumped sitting posture. While the underlying mechanisms of increased muscle stiffness remain inconclusive, the increase in muscle stiffness may contribute to low back pain and associated spinal problems [58]. For example, it may explain why most patients with low back pain report that static sitting postures worsened their pain [53,61], while dynamic tasks, such as walking, seem to relieve it [62]. Nonetheless, considerably more work needs to be done to fully understand the importance of back muscle activation during prolonged sitting for muscle stiffness and overall health. Future studies need to explore the electromyographic frequency and intensity required to stimulate lumbar muscles sufficiently. Indeed, previous research shows that regular active breaks or follow-up exercises, e.g., roller massage, are sufficient to compensate for the adverse effects of prolonged sitting on lumbar muscle stiffness [8,15]. However, regular activity breaks are not always possible. Professional drivers, orchestral musicians, or people with disabilities and handicaps are often forced to undergo long-lasting and uninterrupted sitting periods. Some occasions during office work can also lead to the advent of sustained sitting periods. Therefore, there is a need for intervention strategies to improve muscle activation during sitting, including passive massage interventions or electrical muscle stimulation.
Author Contributions
Conceptualization, A.R.K., T.L.M. and F.S.; methodology, A.R.K., T.L.M. and F.S.; software, F.S.; validation, A.R.K. and F.S.; formal analysis, A.R.K. and F.S.; investigation, A.R.K. and F.S.; data curation, A.R.K. and F.S.; writing—original draft preparation, A.R.K. and F.S.; writing—review and editing, A.R.K., T.L.M. and F.S.; visualization, A.R.K. and F.S.; supervision, T.L.M. and F.S. All authors have read and agreed to the published version of the manuscript.
Funding
The publication of this article was funded by Chemnitz University of Technology.
Institutional Review Board Statement
The study was conducted according to the guidelines of the Declaration of Helsinki and approved by the Institutional Ethics Committee of the Faculty of Behavioral and Social Sciences at Chemnitz University of Technology (approval number: V-370-17-FS-E.-Stimulation-07022020 on 7 February 2020).
Informed Consent Statement
Informed consent was obtained from all subjects involved in the study.
Data Availability Statement
The data presented in this study are available on request from the corresponding author.
Acknowledgments
The authors would like to thank Lisa Peterson for proofreading, Philipp Drescher for his help with the illustration, and Siegfried Rothe for his assistance in the study planning process.
Conflicts of Interest
A.R.K. received his salary from Mercedes-Benz AG. However, Mercedes-Benz AG had no role in the design of the study; in the collection, analyses, or interpretation of data; in the writing of the manuscript; or in the decision to publish the results. F.S. and T.L.M. declare no potential conflicts of interest.
References
- Lis, A.M.; Black, K.M.; Korn, H.; Nordin, M. Association between sitting and occupational LBP. Eur. Spine J. 2006, 16, 283–298. [Google Scholar] [CrossRef]
- Healy, G.N.; Matthews, C.; Dunstan, D.; Winkler, E.A.; Owen, N. Sedentary time and cardio-metabolic biomarkers in US adults: NHANES 2003–06. Eur. Hear. J. 2011, 32, 590–597. [Google Scholar] [CrossRef]
- Clemes, S.; Patel, R.; Mahon, C.; Griffiths, P.L. Sitting time and step counts in office workers. Occup. Med. 2014, 64, 188–192. [Google Scholar] [CrossRef]
- Nolle, T. Mobile Berufe—Eine Untersuchung der Arbeitsbedingungen Mobile Berufe—Eine Untersuchung der Arbeitsbedingungen und der Ernährung im Hinblick auf Die Gesundheit. Ph.D. Dissertation, Technische Universität Dortmund, Dortmund, Germany, 2005. [Google Scholar]
- Schmücker, U.; Seifert, J.; Haasper, C.; Lob, G.; Matthes, G.; Stengel, D.; Ottersbach, C.; Frank, M.; Hinz, P.; Ekkernkamp, A.; et al. Unfälle, Erkrankungen und Verletzungen im Güterkraftverkehr. Unfallchirurg 2011, 115, 1022–1030. [Google Scholar] [CrossRef]
- Callaghan, J.P.; McGill, S.M. Low back joint loading and kinematics during standing and unsupported sitting. Ergonomics 2001, 44, 280–294. [Google Scholar] [CrossRef]
- van Dieën, J.H.; der Putten, E.P.W.-V.; Kingma, I.; de Looze, M.P. Low-level activity of the trunk extensor muscles causes electromyographic manifestations of fatigue in absence of decreased oxygenation. J. Electromyogr. Kinesiol. 2009, 19, 398–406. [Google Scholar] [CrossRef]
- Kett, A.R.; Sichting, F. Sedentary behaviour at work increases muscle stiffness of the back: Why roller massage has potential as an active break intervention. Appl. Ergon. 2020, 82, 102947. [Google Scholar] [CrossRef] [PubMed]
- Sammonds, G.M.; Fray, M.; Mansfield, N.J. Effect of long term driving on driver discomfort and its relationship with seat fidgets and movements (SFMs). Appl. Ergon. 2017, 58, 119–127. [Google Scholar] [CrossRef] [PubMed]
- Cardoso, M.; McKinnon, C.; Viggiani, D.; Johnson, M.J.; Callaghan, J.P.; Albert, W.J. Biomechanical investigation of prolonged driving in an ergonomically designed truck seat prototype. Ergonomics 2017, 61, 367–380. [Google Scholar] [CrossRef] [PubMed]
- Waongenngarm, P.; van der Beek, A.J.; Akkarakittichoke, N.; Janwantanakul, P. Perceived musculoskeletal discomfort and its association with postural shifts during 4-h prolonged sitting in office workers. Appl. Ergon. 2020, 89, 103225. [Google Scholar] [CrossRef]
- Porter, J.M.; Gyi, D.E. The prevalence of musculoskeletal troubles among car drivers. Occup. Med. 2002, 52, 4–12. [Google Scholar] [CrossRef]
- Gupta, N.; Christiansen, C.S.; Hallman, D.M.; Korshøj, M.; Carneiro, I.G.; Holtermann, A. Is Objectively Measured Sitting Time Associated with Low Back Pain? A Cross-Sectional Investigation in the NOMAD study. PLoS ONE 2015, 10, e0121159. [Google Scholar] [CrossRef] [PubMed]
- Lunde, L.-K.; Koch, M.; Knardahl, S.; Veiersted, K.B. Associations of objectively measured sitting and standing with low-back pain intensity: A 6-month follow-up of construction and healthcare workers. Scand. J. Work. Environ. Health 2017, 43, 269–278. [Google Scholar] [CrossRef] [PubMed]
- Waongenngarm, P.; Areerak, K.; Janwantanakul, P. The effects of breaks on low back pain, discomfort, and work productivity in office workers: A systematic review of randomized and non-randomized controlled trials. Appl. Ergon. 2018, 68, 230–239. [Google Scholar] [CrossRef] [PubMed]
- Waongenngarm, P.; Rajaratnam, B.; Janwantanakul, P. Perceived body discomfort and trunk muscle activity in three prolonged sitting postures. J. Phys. Ther. Sci. 2015, 27, 2183–2187. [Google Scholar] [CrossRef] [PubMed]
- Claus, A.P.; Hides, J.; Moseley, L.; Hodges, P. Different Ways to Balance the Spine. Spine 2009, 34, E208–E214. [Google Scholar] [CrossRef]
- Hendershot, B.; Bazrgari, B.; Muslim, K.; Toosizadeh, N.; Nussbaum, M.; Madigan, M. Disturbance and recovery of trunk stiffness and reflexive muscle responses following prolonged trunk flexion: Influences of flexion angle and duration. Clin. Biomech. 2011, 26, 250–256. [Google Scholar] [CrossRef]
- Korakakis, V.; O’Sullivan, K.; O’Sullivan, P.B.; Evagelinou, V.; Sotiralis, Y.; Sideris, A.; Sakellariou, K.; Karanasios, S.; Giakas, G. Physiotherapist perceptions of optimal sitting and standing posture. Musculoskelet. Sci. Pract. 2019, 39, 24–31. [Google Scholar] [CrossRef] [PubMed]
- Chau, J.Y.; Grunseit, A.; Chey, T.; Stamatakis, E.; Brown, W.J.; Matthews, C.; Bauman, A.E.; van der Ploeg, H. Daily Sitting Time and All-Cause Mortality: A Meta-Analysis. PLoS ONE 2013, 8, e80000. [Google Scholar] [CrossRef]
- Hamilton, M.T.; Hamilton, D.G.; Zderic, T.W. Role of Low Energy Expenditure and Sitting in Obesity, Metabolic Syndrome, Type 2 Diabetes, and Cardiovascular Disease. Diabetes 2007, 56, 2655–2667. [Google Scholar] [CrossRef] [PubMed]
- Janwantanakul, P.; Pensri, P.; Jiamjarasrangsri, V.; Sinsongsook, T. Prevalence of self-reported musculoskeletal symptoms among office workers. Occup. Med. 2008, 58, 436–438. [Google Scholar] [CrossRef] [PubMed]
- Miyamoto, M.; Shirai, Y.; Nakayama, Y.; Gembun, Y.; Kaneda, K. An Epidemiologic Study of Occupational Low Back Pain in Truck Drivers. J. Nippon. Med. Sch. 2000, 67, 186–190. [Google Scholar] [CrossRef] [PubMed]
- Manchikanti, L.; Singh, V.; Datta, S.; Cohen, S.P.; Hirsch, J.A. Comprehensive review of epidemiology, scope, and impact of spinal pain. Pain Physician 2009, 12, 35–70. [Google Scholar] [CrossRef] [PubMed]
- Hartvigsen, J.; Hancock, M.; Kongsted, A.; Louw, Q.; Ferreira, M.L.; Genevay, S.; Hoy, D.; Karppinen, J.; Pransky, G.; Sieper, J.; et al. What low back pain is and why we need to pay attention. Lancet 2018, 391, 2356–2367. [Google Scholar] [CrossRef]
- Mörl, F.; Bradl, I. Lumbar posture and muscular activity while sitting during office work. J. Electromyogr. Kinesiol. 2013, 23, 362–368. [Google Scholar] [CrossRef]
- Nairn, B.C.; Chisholm, S.R.; Drake, J.D. What is slumped sitting? A kinematic and electromyographical evaluation. Man. Ther. 2013, 18, 498–505. [Google Scholar] [CrossRef] [PubMed]
- Callaghan, J.P.; Dunk, N.M. Examination of the flexion relaxation phenomenon in erector spinae muscles during short duration slumped sitting. Clin. Biomech. 2002, 17, 353–360. [Google Scholar] [CrossRef]
- O’Sullivan, P.; Dankaerts, W.; Burnett, A.; Chen, D.; Booth, R.; Carlsen, C.; Schultz, A. Evaluation of the Flexion Relaxation Phenomenon of the Trunk Muscles in Sitting. Spine 2006, 31, 2009–2016. [Google Scholar] [CrossRef]
- Sánchez-Zuriaga, D.; Adams, M.; Dolan, P. Is Activation of the Back Muscles Impaired by Creep or Muscle Fatigue? Spine 2010, 35, 517–525. [Google Scholar] [CrossRef]
- Howarth, S.J.; Kingston, D.; Brown, S.; Graham, R.B. Viscoelastic creep induced by repetitive spine flexion and its relationship to dynamic spine stability. J. Electromyogr. Kinesiol. 2013, 23, 794–800. [Google Scholar] [CrossRef]
- Abboud, J.; Nougarou, F.; Descarreaux, M. Muscle Activity Adaptations to Spinal Tissue Creep in the Presence of Muscle Fatigue. PLoS ONE 2016, 11, e0149076. [Google Scholar] [CrossRef] [PubMed]
- Solomonow, M. Neuromuscular manifestations of viscoelastic tissue degradation following high and low risk repetitive lumbar flexion. J. Electromyogr. Kinesiol. 2012, 22, 155–175. [Google Scholar] [CrossRef] [PubMed]
- McGill, S.M.; Hughson, R.L.; Parks, K. Lumbar erector spinae oxygenation during prolonged contractions: Implications for prolonged work. Ergonomics 2000, 43, 486–493. [Google Scholar] [CrossRef] [PubMed]
- Kell, R.T.; Bhambhani, Y. Relationship between erector spinae muscle oxygenation via in vivo near infrared spectroscopy and static endurance time in healthy males. Eur. J. Appl. Physiol. 2008, 102, 243–250. [Google Scholar] [CrossRef]
- Hill, D.K. Tension due to interaction between the sliding filaments in resting striated muscle the effect of stimulation. J. Physiol. 1968, 199, 637–684. [Google Scholar] [CrossRef]
- Proske, U.; Morgan, D.L. Do cross-bridges contribute to the tension during stretch of passive muscle? J. Muscle Res. Cell Motil. 1999, 20, 433–442. [Google Scholar] [CrossRef]
- Fenety, A.; Walker, J.M. Short-Term Effects of Workstation Exercises on Musculoskeletal Discomfort and Postural Changes in Seated Video Display Unit Workers. Phys. Ther. 2002, 82, 578–589. [Google Scholar] [CrossRef]
- Thorp, A.A.; Kingwell, B.A.; Owen, N.; Dunstan, D. Breaking up workplace sitting time with intermittent standing bouts improves fatigue and musculoskeletal discomfort in overweight/obese office workers. Occup. Environ. Med. 2014, 71, 765–771. [Google Scholar] [CrossRef]
- O’Sullivan, K.; O’Sullivan, L.; O’Sullivan, P.; Dankaerts, W. Investigating the effect of real-time spinal postural biofeedback on seated discomfort in people with non-specific chronic low back pain. Ergonomics 2013, 56, 1315–1325. [Google Scholar] [CrossRef]
- Van Dieën, J.H.; De Looze, M.P.; Hermans, V. Effects of dynamic office chairs on trunk kinematics, trunk extensor EMG and spinal shrinkage. Ergonomics 2001, 44, 739–750. [Google Scholar] [CrossRef]
- Wang, H.; Weiss, K.J.; Haggerty, M.C.; Heath, J.E. The effect of active sitting on trunk motion. J. Sport Health Sci. 2014, 3, 333–337. [Google Scholar] [CrossRef]
- Kuster, R.P.; Bauer, C.M.; Baumgartner, D. Is active sitting on a dynamic office chair controlled by the trunk muscles? PLoS ONE 2020, 15, e0242854. [Google Scholar] [CrossRef] [PubMed]
- Reenalda, J.; Van Geffen, P.; Nederhand, M.; Jannink, M.; Ijzerman, M.; Rietman, H. Analysis of healthy sitting behavior: Interface pressure distribution and subcutaneous tissue oxygenation. J. Rehabil. Res. Dev. 2009, 46, 577. [Google Scholar] [CrossRef]
- Faul, F.; Erdfelder, E.; Lang, A.-G.; Buchner, A. G*Power 3: A flexible statistical power analysis program for the social, behavioral, and biomedical sciences. Behav. Res. Methods 2007, 39, 175–191. [Google Scholar] [CrossRef]
- Faul, F.; Erdfelder, E.; Buchner, A.; Lang, A.-G. Statistical power analyses using G*Power 3.1: Tests for correlation and regression analyses. Behav. Res. Methods 2009, 41, 1149–1160. [Google Scholar] [CrossRef] [PubMed]
- Simons, G.D.; Mense, S. Understanding and measurement of muscle tone as related to clinical muscle pain. Pain 1998, 75, 1–17. [Google Scholar] [CrossRef]
- Wilke, J.; Vogt, L.; Pfarr, T.; Banzer, W. Reliability and validity of a semi-electronic tissue compliance meter to assess muscle stiffness. J. Back Musculoskelet. Rehabil. 2018, 31, 991–997. [Google Scholar] [CrossRef]
- Korakakis, V.; Sideris, V.; Giakas, G. Sitting bodily configuration: A study investigating the intra-tester reliability of positioning subjects into a predetermined sitting posture. Man. Ther. 2014, 19, 197–202. [Google Scholar] [CrossRef]
- Richman, J.S.; Moorman, J.R. Physiological time-series analysis using approximate entropy and sample entropy. Am. J. Physiol. Circ. Physiol. 2000, 278, H2039–H2049. [Google Scholar] [CrossRef]
- Søndergaard, K.H.; Olesen, C.G.; Søndergaard, E.K.; de Zee, M.; Madeleine, P. The variability and complexity of sitting postural control are associated with discomfort. J. Biomech. 2010, 43, 1997–2001. [Google Scholar] [CrossRef]
- Lubetzky, A.V.; Harel, D.; Lubetzky, E. On the effects of signal processing on sample entropy for postural control. PLoS ONE 2018, 13, e0193460. [Google Scholar] [CrossRef]
- Akkarakittichoke, N.; Janwantanakul, P. Seat Pressure Distribution Characteristics during 1 Hour Sitting in Office Workers With and Without Chronic Low Back Pain. Saf. Health Work 2017, 8, 212–219. [Google Scholar] [CrossRef] [PubMed]
- Crenshaw, A.; Djupsjöbacka, M.; Svedmark, A. Oxygenation, EMG and position sense during computer mouse work. Impact of active versus passive pauses. Eur. J. Appl. Physiol. 2006, 97, 59–67. [Google Scholar] [CrossRef]
- Gregory, D.E.; Dunk, N.M.; Callaghan, J.P. Stability Ball Versus Office Chair: Comparison of Muscle Activation and Lumbar Spine Posture During Prolonged Sitting. Hum. Factors J. Hum. Factors Ergon. Soc. 2006, 48, 142–153. [Google Scholar] [CrossRef] [PubMed]
- Kingma, I.; van Dieen, J. Static and dynamic postural loadings during computer work in females: Sitting on an office chair versus sitting on an exercise ball. Appl. Ergon. 2009, 40, 199–205. [Google Scholar] [CrossRef]
- Creze, M.; Timoh, K.N.; Gagey, O.; Rocher, L.; Bellin, M.-F.; Soubeyrand, M. Feasibility assessment of shear wave elastography to lumbar back muscles. Clin. Anat. 2017, 30, 774–780. [Google Scholar] [CrossRef]
- Masaki, M.; Aoyama, T.; Murakami, T.; Yanase, K.; Ji, X.; Tateuchi, H.; Ichihashi, N. Association of low back pain with muscle stiffness and muscle mass of the lumbar back muscles, and sagittal spinal alignment in young and middle-aged medical workers. Clin. Biomech. 2017, 49, 128–133. [Google Scholar] [CrossRef]
- Chan, S.-T.; Fung, P.-K.; Ng, N.-Y.; Ngan, T.-L.; Chong, M.-Y.; Tang, C.-N.; He, J.-F.; Zheng, Y.-P. Dynamic changes of elasticity, cross-sectional area, and fat infiltration of multifidus at different postures in men with chronic low back pain. Spine J. 2012, 12, 381–388. [Google Scholar] [CrossRef]
- Crommert, M.E.; Lacourpaille, L.; Heales, L.J.; Tucker, K.; Hug, F. Massage induces an immediate, albeit short-term, reduction in muscle stiffness. Scand. J. Med. Sci. Sports 2014, 25, e490–e496. [Google Scholar] [CrossRef] [PubMed]
- Van Deursen, L.L.; Patijn, J.; Durinck, J.R.; Brouwer, R.; Van Erven-Sommers, J.R.; Vortman, B.J. Sitting and low back pain: The positive effect of rotatory dynamic stimuli during prolonged sitting. Eur. Spine J. 1999, 8, 187–193. [Google Scholar] [CrossRef] [PubMed]
- Sihawong, R.; Janwantanakul, P.; Jiamjarasrangsi, W. A prospective, cluster-randomized controlled trial of exercise program to prevent low back pain in office workers. Eur. Spine J. 2014, 23, 786–793. [Google Scholar] [CrossRef] [PubMed]
Publisher’s Note: MDPI stays neutral with regard to jurisdictional claims in published maps and institutional affiliations. |
© 2021 by the authors. Licensee MDPI, Basel, Switzerland. This article is an open access article distributed under the terms and conditions of the Creative Commons Attribution (CC BY) license (https://creativecommons.org/licenses/by/4.0/).


