Next Article in Journal
Recent Advances in Transition Metal-Catalyzed Ring-Opening Reaction of Aziridine
Previous Article in Journal
Vibrational Spectroscopies for Investigating Structural and Biochemical Modifications Induced in Hard Dental Tissues by Femtosecond Laser Ablation: A Brief Review
 
 
Font Type:
Arial Georgia Verdana
Font Size:
Aa Aa Aa
Line Spacing:
Column Width:
Background:
Review

Unlocking the Potential of Hydroxycinnamic Acid Bioconjugates: Tailored Derivatives for Biomedical, Cosmetic, and Food Applications

by
José C. J. M. D. S. Menezes
1,* and
Vinícius R. Campos
2
1
Research and Development Centre, Esteem Industries Pvt. Ltd., Bicholim-Goa 403529, India
2
Department of Organic Chemistry, Institute of Chemistry, Fluminense Federal University, Campus do Valonguinho, Niterói 24020-141, Rio de Janeiro, Brazil
*
Author to whom correspondence should be addressed.
Compounds 2024, 4(4), 604-625; https://doi.org/10.3390/compounds4040037
Submission received: 1 August 2024 / Revised: 26 September 2024 / Accepted: 27 September 2024 / Published: 10 October 2024

Abstract

This review discusses the development and applications of bioconjugates derived from natural hydroxycinnamic acids (HCA), such as coumaric, sinapic, ferulic, and caffeic acids, combined with various biomaterials. These bioconjugates offer a range of benefits including antioxidant properties, UV protection, customized hydrophilic–lipophilic balance, improved safety, solubility, emolliency, biocompatibility, biodegradability, and targeted delivery for biomedical, cosmetic, and food applications. The increasing demand for natural products in the biomedical, cosmetic, and food industries has led to the exploration of these hydroxycinnamic acids and their derivatives. We discuss the synthesis and modification of hydroxycinnamic acids with biomaterials such as ω-hydroxy fatty acids, castor and lesquerella oils, glycerol, isosorbides, and synthetic polyethylene glycol to form functional phenolipids for biomedical, sunscreen, and skincare applications. Encapsulation techniques with β-cyclodextrins and modification of polymeric supports like polysaccharides and starch are discussed for enhancing bioavailability and solubility and targeted delivery. The fine-tuned development of bioconjugates from hydroxycinnamic acids using glycerol to modify the hydrophilic–lipophilic balance, substitution by water-soluble carboxylic acid groups, vegetable oil-based phenolipids, polysaccharides, and PEGylation provide enhanced dual functionalities and offer a promising avenue for creating effective products across various applications.

1. Introduction

Natural hydroxycinnamic acids like caffeic, ferulic, p-coumaric, and sinapic acids are derived from the shikimic acid pathway (Figure 1) [1]. The recent advances in chemical and green synthesis of the starting hydroxycinnamic acids from agricultural feedstock and bioproduction using engineered microorganisms has been discussed [2,3,4]. The esterified form has a basic structure comprising of a phenyl (C6), decorated with mono or poly-hydroxy and/or methoxy groups in positions 2-, 3-, 4-, 5-, and 6 and connected to a C3 propenoic acid side chain esterified with saturated aliphatic alcohol of variable length reported from various plants [5]. These hydroxycinnamic esters are responsible for several different bioactivities like anticancer, antioxidant, anti-Alzheimer’s, antiviral, antimicrobial, and so on [6,7,8,9,10].
In this review, we have explored the different applications of modified hydroxycinnamates in a comprehensive approach in one place. The sections are devoted to discussion on the various applications based on the modified hydroxycinnamyl esters, with ω-hydroxy fatty acids, vegetable oils, glycerol, polysaccharide-based polyols, and PEGylation, and encapsulation techniques such as β-cyclodextrin for drug delivery are discussed. Furthermore, the modification of polysaccharide supports such as starch or amylose with HCA for food-related applications are discussed in line with the innovative use of these natural resources. For ease of understanding and simplicity, Table 1 shows the representative structure of the review. The detailed structures of hydroxycinnamyl ester bioconjugates are depicted in Figures 2–10 and denoted by bold numbers or names in the text wherever applicable.

2. The General Perspectives of Modified HCA Bioconjugates for Various Applications

The alkyl hydroxyl cinnamyl esters and amides have shown great potential for different biological activities [9]. Naturally occurring caffeic, ferulic, p-coumaric, and sinapic acids form part of an abundant and renewable source of phenolic compounds. Their structural diversity and modification can result in high-value applications. The current trend of evolving industrial processes and providing new custom-made molecules with antioxidants, UV protection, and dual benefits such as hydrophilic, emollient, or lipophilic solubility and targeted delivery among many prompted us to highlight these interesting examples.

2.1. ω-hydroxycinnamoyloxy Fatty Acids and Derivatives for Biomedical Applications

More often, in nature, p-hydroxycinnamic acid derivatives such as sinapoyl-L-malate and sinapine (Figure 2) are readily soluble in water due to their free carboxylic acids and ammonium moieties [36,37]. Sinapoyl-L-malate, well-known for its UV light filter/absorbing properties in plants, has been the subject of multiple studies to understand its chemistry and applications [38,39,40].
Based on these reports of isolation and observed biological activity of sinapoyl-L-malate as an example of a free carboxylic acid group, we identified a few examples having the modified ester side chain with the ω-hydroxyl group of fatty acids with the potential for water-based biomedical applications. These molecules belong to the group of ω-hydroxycinnamoyloxy fatty acids derived from suberin tissues [5]. The ferulic acid ester, 6-feruloyloxyhexanoic acid 1, was isolated (~5 mg) for the first time from the concentrated water extract of Rhodiola wallichiana var. cholaensis roots. Recently, this has also been identified in the Rhodiola rosea root crude extract by UPLC-MS analysis [41]. The organic phenolic acids like syringic, vanillic, and protocatechuic acid, along with the flavonoid-rich fractions, have been identified in extracts from Rhodiola wallichiana var. cholaensis plant roots and have been developed for cardiovascular disease therapy [11]. The applied concentration of 25 μg/mL 6-feruloyloxyhexanoic acid 1 showed protective effects against H2O2-induced myocardial cell injury in cultured H9c2 cells (approximately 65% cell viability compared with control). Furthermore, the protective effects of 1 were extended to cultured H9c2 cells under oxygen–glucose deprivation/reperfusion (OGD/R) tests by increasing the SOD activity and reducing the LDH and MDA levels at increasing concentration (0.1–1.0 μM) [11]. Similarly, a related molecule 1-[11-(ferulyloxy)undecanoyl)]glycerol 2 was isolated from the roots and rhizomes of Veratrum dahuricum (Turcz.) Loes, a traditional medicinal plant in China, and grains of Echinochloa utilis (Baynard millet) [42,43]. Naturally colored cotton fibers with a green hue resulted in the isolation of 22-O-caffeoyl-22-hydroxydocosanoic acid and 22-O-caffeoyl-22-hydroxydocosanoic acid glycerol ester (3 and 4), both having DPPH radical-scavenging activity [12]. Such natural cotton fibers containing caffeic esters can be useful for making antioxidant based wound-healing patches for biomedical applications [13].
These examples indicated that free carboxylic acid on one end of the esterified alkanol chain or further esterification with glycerol can give rise to additional water solubility. This may be essential for the localization of such modified antioxidants at the water–oil interface and for providing auto-oxidation protection. This idea was targeted by Peyrot et al. using malate or tartarate as the solubility group [39]. Considering the acid fragment structural similarity of 6-feruloyloxyhexanoic acid group with GABA and the observed activity of long-chain ferulates [44,45], such hydrophilic–lipophilic molecules may provide brain uptake and GABA mimetic modulatory activity for the development of safe anxiolytic alternatives.
The monoacylglycerol (1-[11-(ferulyloxy) undecanoyl)] glycerol) 2 (isolated from roots and rhizomes of Veratrum dahuricum; see Figure 2) was designed and synthesized via the chemo-enzymatic approach using immobilized Candida Antarctica lipase as a biocatalyst via the intermediate products (11-feruloyloxyundecanoic acid) 5 and 6. The final product 2 obtained after the deprotection step showed good antioxidant activity in the DPPH assay compared with BHT with increasing concentrations (the highest free radical scavenging observed at 2 M concentration was 72.67% vs. 48.3%). The oxidation of soybean oil was inhibited and determined by measuring the oxidative onset temperature (OT) by differential scanning calorimetry compared with α-tocopherol as standard. Moderate antimicrobial activity was seen against three Gram-positive and three Gram-negative bacterial strains while the unbound lipid fraction and ferulic acid as such had no activity. The highest activity with a MIC value of 18.75 µg/mL was seen against Escherichia coli but was lower in comparison to that of streptomycin (MIC—4.68 µg/mL). The cytotoxic studies of the synthetic lipid showed promising activity (<10 µM) against the A549 and HeLa cancer cell lines with the least activity against the non-cancerous HEK cell line [46]. Solketal is industrially produced for blending in biodiesel and, as such, is soluble in water, providing a non-toxic, renewable source of origin; hence, it could valorize the production of solketal-based ferulic or sinapic acid esters [47]. The unhydrolyzed solketal ester of 11-(ferulyloxy) undecanoic acid 6 reported in Johny et al. 2019 (Figure 2) may have similar potential to the sinapic acid solketal ester 7, which had the best photostability compared to octinoxate [48]. Moreover, the 11-(ferulyloxy) undecanoic acid 5 may have a similar potential compared to the activity of the 6-feruloyloxyhexanoic acid 1 derivatives [11].
In continuation of their exploits, Gandhi and Johny et al. prepared novel monoacylglycerol (MAG)-based phenolic lipids for food and cosmeceutical applications starting from the same 11-bromoundecanoic acid, phenolic acids, like 4-hydroxy benzoic, vanillic, syringic, cinnamic, p-coumaric, sinapic, 4-fluoro cinnamic, 4-hydroxyphenyl acetic acid, 3-(4-hydroxyphenyl) propanoic, and dihydrocaffeic acids and coupled these with solketal. The MAG-phenolic lipids were characterized by spectroscopic techniques and evaluated for antioxidant, antimicrobial, and cytotoxic activities. The sinapyl MAG derivative 8 exhibited the best antioxidant activity in both DPPH and inhibition of lipid oxidation assay (90.1% vs. BHT 90.3% at 1mM; 79% vs. BHT 37.79% at 1 mM). Similarly, the p-coumaryl MAG derivative 9 showed good antimicrobial activity with a MIC value of 6.25 µm mL−1 against both Gram-positive (Streptococcus mutans and Bacillus subtilis) and Gram-negative (Escherichia coli and Salmonella typhi) bacterial strains compared with streptomycin (1.5 µm mL−1). Both these compounds also had cytotoxicity against B16 and DU145 (IC50 = 7.32–8.7 µM) compared to other derivatives [14].

2.2. Monoglyceryl, Diglyceryl, and Glycerol Fatty Acid Esters of Hydroxycinnamic Acids for Cosmetic and Other Applications

The human epidermis can be damaged by exposure to UV radiation (~290 nm–400 nm). Common causes of sunburn may be attributed to brief exposure to UVB radiation (290–320 nm), while longer exposures to UVA radiation (320–400 nm) can cause premature aging of the skin (e.g., formation of wrinkles, loss of elasticity, and changes in pigment levels) and melanoma (skin cancer). Currently, several cinnamic-acid-derived UV filters or sunscreens are commercially used at 3–20% dosage in formulations [49]. The limited range of UV absorption of each compound used in these topical formulations can be a disadvantage considering the protection required against the full UV range. The availability of technical knowledge to modify the currently available cinnamic-acid-based molecules or engineer new molecules with the required properties (solubility, physical appearance, water resistance, UV range, and molar absorption) is the advantage of these UV filtering molecules [48,50,51].
The skin protection application of hydroxycinnamic acids derivatives as sunscreen is important from several viewpoints—protection from UV radiation and prevention of skin cancer, derived from natural products and, therefore, safe and biodegradable without further harm to the environment. These important considerations towards safety, economic, and environmental concerns have prompted the utilization of natural resources for industrial and other allied applications. The hydroxycinnamic acids and lipids can provide benefits like natural origin, safety, proper utilization of natural resources, and easy biodegradability. Moreover, a significant demand for inexpensive, and effective sunscreens can be met using these structured lipids with specific UV-absorbing properties. Ferulic acid has been described for use in cosmetic compositions as a skin lightener, a sunscreen, a skin anti-wrinkling agent, and an anti-oxidant [52,53]. Ferulic acid and its esters absorb in the UV region at λmax~320 nm with molar absorption values of ~16,000 M−1 cm−1 in a 1:1 methanol/water mixture [54]. Ferulic acid is soluble in water at neutral or alkaline pH (i.e., pH 7 and above), but this solution can discolor on storage. At an acidic pH, ferulic acid can precipitate in the formulations and, therefore, can become ineffective for topical skin applications. Thus, the incorporation of ferulic acid into an aqueous phase of cosmetic compositions is problematic. For example, the commercial product Ferulan Active [55] consists of 10% ferulic acid in an emulsified mixture of ethoxydiglycol, glycerin, PEG-40 hydrogenated castor oil, and rice bran (Oryza Sativa) oil.
The water-based application of cinnamic acids is limited due to their very low solubility in water. The development of esterified hydroxycinnamic acids like ferulic acid with glycerol or vegetable-oil-based lipids can reduce the components in the formulation and provide emulsion stability for eco-friendly and effective sunscreen molecules. These modified lipids can have dual roles, as emollients and moisturizers having UV filters/protection. Glycerol is a naturally available triol, obtained as the by-product after the saponification of vegetable oils from the oleochemical industry. This important feedstock biomaterial can be employed for the synthesis of feruloyl glycerol (FG, hydrophilic ester of ferulic acid), which has a high solubility in water and a strong ability to resist ultraviolet (UV) radiation. FG 10 and 1,3-diferuloyl glycerol (DFG) 11 (Figure 3) can easily supplement and reduce the use of additional co-solvents in cosmetic formulations like Ferulan Active. The utilization of natural resources like glycerol to improve the solubility and application of ferulic acid from rice bran led to esterification attempts using commercially available enzyme preparation, such as Pectinase PL ‘‘Amano’’ from Aspergillus niger, which has ferulic acid esterase for the catalysis. The enzyme was immobilized on Chitopearl BCW3003 and gave the highest activity among tested immobilization resins at the optimal temperature of 50 °C without activity loss even after 5 cycles [56]. FG 10 was also effective as a neuroprotective agent by being directly involved in the inhibition of Aβ aggregation in the mice brain [15].
Similarly, hydroxycinnamic acid (HCA) glycerol esters such as 1-sinapoyl glycerol (1-SG) 12 and 1-p-coumaroylglycerol (1-CG) 13 (Figure 3) were designed and synthesized through a direct esterification reaction using a type A feruloyl esterase from Aspergillus niger. The esterification provided 6- and 11-times higher water solubilities at room temperature for 1-SG and 1-CG esters (2.0 mg/mL and 6.3 mg/mL) compared with sinapic and coumaric acid. The solubilities improved on boiling the solutions. These 1-SG and 1-CG esters showed UV absorbing capacity (λmax of 328 and 312 nm) with molar absorption coefficients (16,700 and 17,400 M−1 cm−1) and antioxidant activity that was similar to the parent hydroxycinnamic acids with potential application in the cosmetic field [17].
Compton et al. designed and synthesized natural plant components, 1-feruloyl glycerol (FG) 10 and 1,3-diferuloyl glycerol (DFG) 11 using Novozym 435 enzymatic esterification of glycerol and soybean oil mono- and diacylglycerols with ethyl ferulate. The FG rapidly (<5 min) reduced 50% DPPH radical in the ethanol solution compared with DFG and ferulic acid activity rates (50% reduction of DPPH radical in 5–30 min). The FG, DFG, and ethyl ferulate inhibited peroxyl radical oxidation of surfactant emulsified γ-linolenic acid. They also observed that the formation of secondary lipid oxidation products was considerably suppressed by a slight excess (which was not mentioned) of feruloyl groups [16]. Recently, Compton et al. have provided an improved method for the transesterification synthesis of FG and DFG using ethyl ferulate and enova oil (a soy-based vegetable oil containing 80–85% diacylglycerol) as substrates and Novozym 435 catalyst at 60 °C [57]. The important aspect of FG and DFG (10 and 11) noted by Compton et al. was that their UV assessment gave λmax~328 nm in ethanol, and the molar absorption was ~19,200 and 40,000 M−1 cm−1, respectively. This value for DFG is much higher than the octinoxate value (~22,000–24,000 M−1 cm−1 at 309 nm), and therefore, such mixtures of FG and DFG or other hydroxycinnamic acid derivatives could replace octinoxate in commercial UVB sunscreens or be formulated with commercial UV absorbers to enhance the overall activity [57].
The cosmetic application of small functional polyphenolic molecules can be increased by their incorporation into vesicles. Therefore, the 1,2-dioleoyl-sn-glycero-3-phosphocholine (DOPC) vesicles model allows to study the bilayer lipid membranes for such applications. The feruloyl glycerol 10 and diferuloyl glycerol 11 prepared by Evans et al. were incorporated into the bilayer, and their antioxidant activity was evaluated. It was observed by the n-octanol/water partition method that FG was able to partition in both aqueous and solvent phases; therefore, it would orient at the hydrophobic and hydrophilic sites within the bilayer, while F2G would orient more toward the hydrophobic sites in the bilayer. In terms of antioxidant activity by lipid peroxidation assay, it was seen that 10 was able to have a higher relative antioxidant activity (at a Trolox concentration of 50 µM) at all tested concentrations compared to 11. The incorporation of 10 and 11 within the vesicles resulted in more stability than the unloaded vesicles [58].
Feruloyl glycerol 10 was synthesized in 98% yield using solid acid cation exchange resin A-35 as a novel economical catalyst, and ferulic acid was used as a cheap substrate. FG had UV absorption at 280–350 nm, which can be used in sunscreen formulation with UVA (320–400 nm) and UVB (290–320 nm) protection. The photostability of FG was 85% and 93% under UV and incandescent lamps for 96h. These properties may enable the use of FG as a potential antioxidant and UV absorber in food and sunscreen products [59]. The high antioxidant activity of caffeic acid and low solubility in nonpolar media can limit its applications. Therefore, 1-caffeoyl glycerol 14 (Figure 3) was synthesized by Novozym 435 catalyzed transesterification of methyl caffeate in a solvent-free system with a yield of 90%. The antioxidant capacity was 2.5- and 10-fold lower (IC50 = 10.86 and 3.99 μM) than BHA (IC50 = 26.3 and 46.93 μM) by DPPH and β-carotene-linoleic acid assays [18]. Eudes et al. used engineered yeast microbes Saccharomyces cerevisiae co-expressing 4CL5 and OsHCT4 (4-coumarate:CoA ligase 5 and hydroxycinnamoyl-CoA:glycerol transferase from rice, Oryza sativa) for synthesis of glycerol hydroxycinnamates 10, 13, and 14 [60].
As we have seen in the previous discussion, the water solubility of hydroxycinnamic acids can be improved by modifications using glycerol-based or fatty-acid-based phenolipids. For oil-based applications, the hydrophilic–lipophilic balance can be changed by conjugating these phenolic acids with fatty alcohols of different carbon chains or different triacylglycerols (TAG). This can produce novel compounds with different HLB numbers because each HLB number varies according to the chain length of fatty alcohol or fatty acid species on the backbone of TAG [61].
The development of safe cosmetic sunscreens prompted Freitas et al. to evaluate two glyceryl esters, namely, 1,3-dipalmitoyl-2-p-methoxycinnamoyl-1,2,3-propanetriol 15 and 1,3-dioctanoyl-2-pmethoxycinnamoyl-1,2,3-propanetriol 16 (Figure 4), prepared from palmitic and octanoic acid and conjugated with p-methoxy cinnamic acid. These glyceryl esters were evaluated for their stability towards lipase enzyme hydrolysis. The hydrolysis rate using a commercial lipase from Rhizomucor miehei showed that 1,3-dipalmitoyl-2-p-methoxycinnamoyl-1,2,3-propanetriol 15 was hydrolyzed 2.8 times lower by lipase compared to octinoxate. The hydrolysis rate was similar to standard tributyrin (butyric acid triglyceride, 0.46 µM fatty acid/min) and comparable with triolein (0.32 µM fatty acid/min) while the di-octanoyl glyceryl ester was similar to Octinoxate (1.2 and 1.3 µM fatty acid/min, respectively). Therefore, they concluded that synthetic glyceryl esters can increase the residence time on the skin (in the stratum corneum) and decrease the undesirable effects of commercial sunscreens. Secondly, the UV λmax of these glyceryl esters was unchanged after fatty acid addition (λmax = 311 nm and ε~23,300 M−1 cm−1 similar to octinoxate values) [19].
Monoolein (or glycerol mono-oleate) is widely used as a permeation enhancer for the outermost skin layer, the stratum corneum. Ferulic acid is heat sensitive and can degrade under the high temperatures used for chemical synthesis. Therefore, enzymatic synthesis of novel ferulic phenolipids can provide reasonable yields and pure samples for biomedical applications. Compton et al. have used lipase enzyme methods to generate feruloyl monooleins (FMO) 18 and 19 and feruloyl diolein (FDO) 17 (Figure 4) from the reaction of ethyl ferulate and triolein. These modified compounds can be directly employed for cosmetic or biomedical applications [20]. The skin esterase hydrolyzing efficiency of feruloyl diolein 17 formulated with taurodeoxycholic acid microemulsion was evaluated by Laszlo et al., who found that it was stable in hydrolysis using ex vivo porcine skin extracts. Similarly, when 17 was applied to porcine skin within liposomal formulation, it was recovered intact after a 4h contact period. This study also identified that octadecyl ferulate 20 and feruloyl glycerol 10 were resistant to hydrolysis by the skin extract due to the absence of feruloyl esterases and can be formulated for skin application [62].
Ferulic acid was esterified with oleic acid, mono oleoyl glycerol, and dioleoyl glycerol to obtain oleoyl ferulic acid (FO), feruloyl mono oleoyl glycerol (FMOG) 21, and feruloyl dioleoyl glycerol (FDOG) 22 (Figure 4) esters, respectively. A 90-ppm ester composition within a powdered AIN93G diet was fed to male Wistar rats, and the results showed that rats in the 21 and 22 fed groups weighed less compared to the control groups. The free hydroxyl group in ferulic acid esters was important for activity, along with lipophilicity [63]. The physiological antioxidant activity of feruloyl dioleoylglycerol (FDOG) in membrane phospholipid vesicles was evaluated using single-lamellar vesicles of 1,2-dioleoyl-sn-glycero-3-phosphocholine. It was seen by conformational and modeling analysis, along with fluorescence data, that the FDOG molecule was dispersed evenly within the dioleoyl phosphatidylcholine membrane. The ferulic acid part was oriented towards the hydrophilic interface to counter the incoming radical flux while the oleyl groups were penetrating the bilayer. Such a positioning was able to serve as an effective lipophilic–hydrophilic antioxidant to protect lipid peroxidation with 0.94 and 0.74 (at 1 mol % and 5 mol %) relative to Trolox (1.0 and 1.04) [64]. As many of the diacylglycerols can form reverse micelles, the FDOG may assume a similar reverse micelle orientation in bulk oils and provide an antioxidant activity that needs to be explored [65].
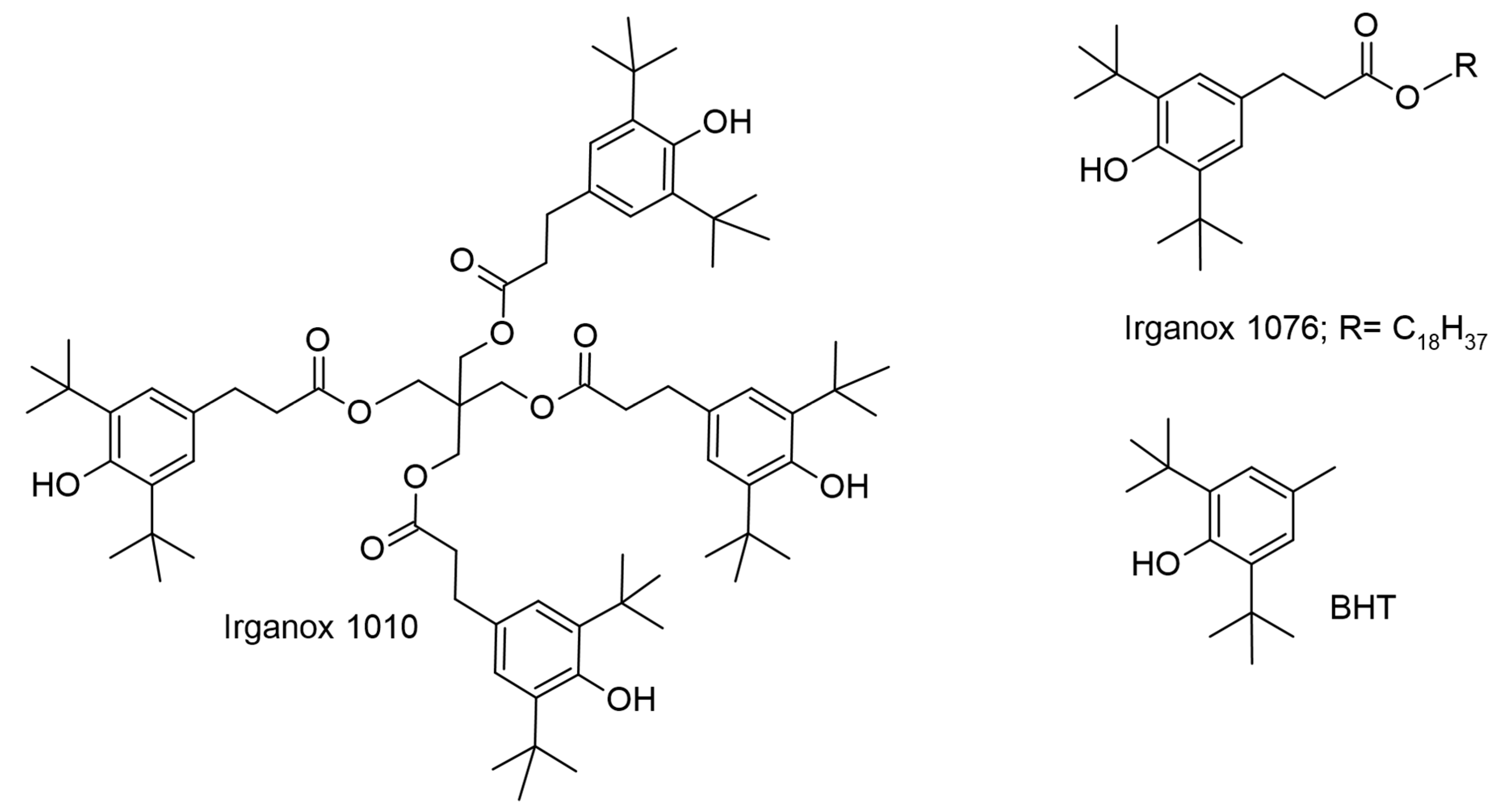
Another interesting strategy to combine glycerol with ferulic acid and vegetable-origin fatty acids like lauric (C12), palmitic (C16), and stearic (C18) acid resulted in the formation of 1,3-diferuloyl glycerol substituted at the 2-position with the fatty acids (2325, Figure 4). These novel phenolipids had lower antioxidant activity (EC50 = 4.81 nM, 5.38 nM, and 4.6 nM) comparable with Irganox 1010 (Figure 5; EC50 = 2.52 nM) but higher than Irganox 1076 (Figure 5; EC50 = 11.48 nM) [21].

2.3. Lesquerella and Castor-Oil-Based Phenolipids for Cosmetic and Other Applications

Lesquerella is a salt-tolerant member of the Brassicaceae family. The Lesquerella oil 26 profile is rich in hydroxyl fatty acids that can be used for making lubricants and waxes. Lesquerella fendleri has 60% lesquerolic acid (C20:1OH) and 1.5% densipolic acid (C18:2OH). This profile is similar to that of castor (Ricinus communis L.) without the highly toxic component ricin, and therefore, its oil could replace the role of castor oil for industrial purposes. The hydroxyl groups of the Lesquerella and castor oils provide excellent emolliency (soothe, soften, and increase moisture levels in the skin), lubricity, and non-comedogenicity (ingredients that prevent blockage in the pores of the skin) in the skin and personal-care products. Therefore, esterification of the lesquerella oil and castor oils with cinnamic acid (CA) and 4-methoxy cinnamic acid (MCA) gave 85% and 50% conversion, respectively, for the hydroxy oils (see structure 27 or 28, Figure 6). The observed blue-shifted UV absorbance of methoxy cinnamic oils with a broad absorption range from 250 to 345 nm and a λmax of 305 nm, was better compared to the cinnamic oils (absorption range 260 to 315 nm, with λmax of 270 nm). Therefore, based on the final emolliency and cosmetic requirements, only 50% of converted molecules with methoxy cinnamic esters can provide better UV-B absorption and may perform as a sunscreen active ingredient [22].
The potential choice of ferulic acid for use in cosmetic compositions and the presence of hydroxyl fatty acids in LO and CO prompted Compton et al. to esterify them with 4-acetoxy-3-methoxycinnamic acid, followed by the deprotection of the ferulic acid hydroxyl group to afford feruloylated LO and CO. A better incorporation into the lipid bilayer prompted the use of these natural hydroxyl fatty acids from LO and CO oils as the source of alkylation for esterification [64]. Based on previous studies, this esterification reaction provided ~45% conversion yields using tin (II) 2-ethylhexanoate as a catalyst, which prevented the acetoxy ferulic acid degradation. The final deacetylated feruloylated LO and CO absorb UV radiation between 280 and 360 nm with a λmax at 327 nm, comparable with commercially used octinoxate. The UV λmax of feruloylated LO at 327 nm was red-shifted at ~17 nm relative to the absorbance of octinoxate and blue-shifted at ~30 nm compared to avobenzone (357 nm), a commercial UVA absorber. These feruloylated LO and CO molecules can be used for the protection of lipid bilayers from ROS [23].
The use of chemical methods in the above examples for the conversion of oils to feruloylated lipids uses solvents or high temperatures. Therefore, Sun et al. used the transesterification method to conjugate ethyl ferulate (EF) with castor oil in a solvent-free system catalyzed by Novozym 435, which provided higher conversion (53%) in comparison to other enzymes. The transesterification product consisted of 62.6% lipophilic feruloylated structured lipids (mono feruloylated castor oil and mono feruloylated-ricinoleic acid glycerol) and 37.3% hydrophilic feruloylated lipids(FG and DFG, 10 and 11) [66].
Ferulic and caffeic acids, being heat sensitive, can undergo degradation under the high temperatures used for chemical synthesis. To find cleaner and safer acyl donors, Sun et al. used FG to prepare FAG via the Novozym 435 catalyzed transesterification using ionic liquids (ILs). The solubility of feruloyl lipids in the [C18MIM]PF6-ionic liquid solvent gave the highest conversion yields of ~78% and 70% using distearin and diolein as acyl sources. The higher yields obtained with stearic acid were ascribed to the lower steric hindrance compared with oleic acid [67]. Similarly, caffeoyl-substituted lipids were prepared by using lipase transesterification of ethyl caffeate with castor oil. The hydrophilic caffeoyl glycerols (CG) and di-caffeoyl glycerols (DCG, <5%), along with caffeoyl mono- and di-acylglycerols (CMAG and CDAG combined yield of 78.11%), were formed in the transesterification process [68].
Castor-oil-based ricinoleic acid lipoconjugates with ferulic acid and vanillic acid, wherein the lipid part consists of methyl ricinoleate, and its saturated analogue, methyl-12-hydroxystearate, were evaluated for antioxidant and antifungal activity. Overall, the ricinoleate and stearate lipo-esters with ferulic acid (see 29 and 30, Figure 6) showed improved radical-scavenging activity (88.45% and 89.44% at 2 mM) compared to esters from vanillic acid (36.75% and 37.41%) and were comparable to BHT and α-tocopherol (88.5% and 84.9%), all at the same applied concentration (2 mM). Furthermore, in comparison, the antioxidant activity of the original acids (ferulic acid—96% and vanillic acid—53%, both at 2 mM concentration) was higher than the lipo-esters in both cases. Here, a subtle importance of the cinnamic double bond may be seen to stabilize the phenoxy radical [69]. The oxidation of linoleic acid was studied by DSC in the presence of these lipo-esters, and the results indicated that the stearate ester derivative was better at protecting the linoleic acid. A micellar assay with Tween 20 and linoleic acid with these lipo-esters showed that the orientation of these at the micellar interface compared to free phenolic acids provides auto-oxidation inhibition. At a fixed concentration (100 and 150 μg), the lipo-esters of ricinoleate 29 and stearate 30 showed reasonably better antifungal activity (Zone of inhibition 7–19 mm for 29 and 30) against all fungal strains [Candida albicans (MTCC 227), Candida rugosa (NCIM 3462), Saccharomyces cerevisiae (MTCC 36), Rhizopus oryzae (MTCC 262), Aspergillus niger (MTCC 282)] compared to those from vanillic acid (Zone of inhibition 0–14 mm). No antibacterial activity was noted against the tested bacterial strains [69].
Utilizing the bioisosteric principles, the hydroxy group in methyl ricinoleate was converted to the amino group and then converted to novel phenolipids. Methyl ricinoleate is derived from castor oil by transesterification with methanol. Amidation reactions by coupling Z-methyl-12-aminooctadec-9-enoate with substituted cinnamic and phenolic acids gave 9 compounds. The in vitro antioxidant activities of designed and synthesized compounds revealed caffeic (EC50 = 5.3, 4.8, and 9.4 µg/mL) 31 and trihydroxy benzoic/gallic acid (EC50 = 5.8, 5.1 and 10.2 µg/mL) 34 derivatives had the best results for DPPH, superoxide, and lipid peroxidation assays. These values were much lower than commercial BHT (EC50 = 28.1, 14.1, and 40.5 µg/mL) and comparable with α-tocopherol (EC50 = 11.5, 7.1, and 20.3 µg/mL) antioxidants. The anticancer evaluation for HCA derivatives (caffeic, sinapic, and p-coumaric based) and gallate derivative against four different cancer cell lines, namely, DU145, HePG2, SKOV3, and MDA-MB-231, was found to have IC50 values between 10 and 20 µM compared with doxorubicin (IC50 = 0.6–0.8 µM) [70].

3. HCA-Polysaccharide-Based Polyols for Anti-UV and Cosmetic Applications

Polysaccharides are the most abundant natural polymers derived from biomass on Earth and are extracted from plants, microorganisms, fungi, marine organisms, and animals. These macromolecules are elements of vegetable structures (cellulose, alginate) and play an important role in energy storage (starch) for plants. The value-added synthesis of isosorbide from one pot conversion of cellulose starts from hydrolysis of starch to provide monosaccharides like glucose, which, on hydrogenation, forms sorbitol, and double cyclization provides polyols like isosorbide [71]. The bicyclic isosorbide is derived from two fused furans (oxygen-containing heterocycle) rings with diols (see Figure 7). This material is robust in functionality and structure and, hence, finds use for the synthesis of various polymers, providing them with improved properties [72]. Bioconjugates of ferulic acid dimers with isosorbide 35 have shown effective absorbance of UVB radiation at λmax 325 nm (range of 260–360 nm) and have high molar absorption coefficients (ε = 19,450 M−1 cm−1). Therefore, such molecules derived from cellulose materials providing biocompatibility and biodegradability can be employed for sunscreen formulations and reduce the use of dimethyl isosorbide, which finds use in personal care products and cosmetics as a solvent and emollient [24].
The same group further studied the inclusion of 4-methoxy and 3,4,5-tri methoxy cinnamic acids on the isosorbide nucleus to have a dual functional molecule with sunscreen and antioxidant properties. The molecules of isosorbide bis-4-methoxycinnamate 36 and isosorbide bis-3,4,5-trimethoxycinnamate 37 had high molar absorption coefficients (ε = 44,200 and 34,655 M−1 cm−1), respectively, with UVB radiation absorbers at λmax 312 and 304 nm. To improve the absorption of these isosorbide bioconjugates into the UVA region, the inclusion of the cyano group on the olefinic double bond provided isosorbide biscyanoferulate 38, which increased the λmax 374 and 453 nm with corresponding molar absorption coefficients (ε = 48,300 and 10,100 M−1 cm−1), respectively [73]. Additionally, slight changes to the structure of these molecules can affect the activity, and this was shown by modifying the cinnamic double bond to the saturated propanoic acid chain and increasing methoxy groups on the phenyl ring. The resultant isosorbide dihydroferulate (EC50 = 4.97 nmol) and isosorbide dihydrosinapate (EC50 = 2.98 nmol) were effective antioxidants comparable with Irganox 1010 (EC50 = 2.75 nmol), a commercial antioxidant derived from fossil fuel chemicals [74].

4. Polyethylene-Glycol-Based HCA Conjugates in Food, Blood–Brain Barrier (BBB) Transport, and Skin Applications

Polyethylene glycol (PEG) is relatively non-toxic to humans and does not have any effect on the body. Many fatty alcohols, fatty acids, and fatty amines are highly lipophilic and can be made water soluble by the inclusion of several moles of ethylene oxide to alter the final HLB of the surface-active molecules (or surfactants). Such surfactants can alter the rheological properties of wheat flour dough and influence the final properties of bread. Ferulic acid is an antioxidant molecule with varied bioactivity as seen in the earlier discussion. The bread made using a ferulic acid–surfactant combination can enhance the properties of bread because of the hydrophilic–lipophilic balance (HLB). Therefore, Nick et al. esterified ferulic acid with three different polyethylene glycols with average molecular weights of 200, 400, and 1000 g mol−1 and studied their effect in making bread (see structures 39–41, Figure 8). The dual benefit of esterification was that the phenolic part of FA was available for antioxidant activity, and the PEGylation provided the HLB for solubility and dispersion in the wheat flour dough. The calculated HLB for PFA200, PFA-400, and PFA-1000 was 11.7, 13.2, and 17.7, respectively, compared with commercial surfactants, diacetyl tartaric acid ester of mono- and diglycerides (HLB-9.2), and sodium stearoyl lactylate (HLB-20.9). The accelerated effects of 0.5% PFAs and FA on the breakdown and rheological properties of wheat flour dough were observed. However, after baking, the loaf volume reduction was observed when the dough was supplemented with ferulic acid, while it was reversed with PFAs. This volume decrease is directly related to the FA-induced inhibition of the active Saccharomyces cerevisae yeast. The addition of PFA-200 and PFA-1000 increased the loaf volume (5–6%) and had a crumb-softening effect [25].
Poor targeted delivery across the BBB and neuro-uptake for dietary antioxidants like CA and FA limit their application in neurodegenerative disease therapy. The PEGylation technology has been used to decrease immunogenicity, improve circulation time and bio-distribution profile, and improve drug solubility and stability. Based on this, Borges et al. designed and synthesized PEG-CA and PEG-FA conjugates (42 and 43, Figure 8). These PEG-CA and PEG-FA exhibited UV-vis λmax at 331 nm and 328 nm, respectively, indicating a slight change to a longer wavelength compared to the original CA and FA UV absorption profiles. PEG-FA and PEG-CA, abbreviated as PEGAntiOxs, were found to be stable in PBS over 6 days with 1.5% degradation observed for the PEG-FA conjugate. The antioxidant activity of PEG-CA 42 was higher than PEG-FA conjugate 43 and both were higher than their parent acids. Although the parent caffeic and ferulic acids at 50 and 100 μM, respectively, were found to be cytotoxic to hCMEC/D3 and differentiated human neuroblastoma (SH-SY5Y) cells, both the PEGAntiOxs were not cytotoxic at the tested concentrations in SH-SY5Y, Caco-2, and hCMEC/D3 cells. In the presence of oxidative stressors like hydrogen peroxide (H2O2), the PEG-CA was more effective than PEG-FA and CA, while both showed inhibition of P-glycoprotein in Caco-2 cells, an important aspect of BBB transport. Further model studies of the blood–brain barrier (BBB) endothelial membrane using hCMEC/D3 monolayer cells showed that PEG-CA at non-toxic concentrations of 50 and 100 µM can cross the BBB [26].
A triblock copolymer poloxamer 407 or Pluronic F127 consisting of a central block of hydrophobic polypropylene glycol flanked by two blocks of hydrophilic polyethylene glycol was selected by the Franz cell study to effectively control the diffusion of caffeic acid in nano gel for cutaneous administration. The thickening and spreadability of CA-loaded solid lipid nanoparticles made using Pluronic F68 and tristearin was improved after the addition of P407 along with an eight-fold slower diffusion compared to the aqueous solution. The nanoparticulate gel application could provide the antioxidant effect of caffeic acid by ex vivo evaluation on human skin explants exposed to cigarette smoke [75].

5. Encapsulation Approaches and Modification of Biopolymeric Solid Supports for Hydroxycinnamate-Based Bioconjugates

Polysaccharides such as cyclodextrin, amylose, and starch are biopolymers abundantly available in nature. These natural biopolymers are sought after because they have biocompatibility with the human body in terms of similarity with the extracellular matrix components and as the human body readily absorbs natural polymers. Their inherent bioactivity and biodegradability are essential aspects of biomedicine [76]. In this section, the conjugates or inclusion complexes of hydroxycinnamic acids with these biopolymers and their various application are discussed. The endeavor was to highlight the usefulness of such a strategy for the prevention of enzymatic degradation and improved solubility for biomedical and nutraceutical applications.

5.1. Hydroxycinnamate–Cyclodextrin-Inclusion Complex for Biological Applications

Cyclodextrins (CDs) are cyclic oligosaccharides consisting of 6, 7, or 8 dextrose units (α-1,4)-linked α-D-glucopyranose, labeled as α-, β-, and γ-CDs, respectively. In the commercial market, they are generally called parent cyclodextrins. These offer several benefits like improvement of water-solubility and bioavailability of medicinal products. From the point of safety, the European Medicinal Agency (EMA) has provided a detailed assessment of the use of various forms of CDs as excipients in pharmaceutical products via different routes of administration and, therefore, can be considered safe (or generally recognized as safe, GRAS list) depending on the allowed daily dosage [77]. β-cyclodextrins consisting of 7-glucose rings are used as water-soluble host/guest complexes providing solubilization and stability to the guest molecule. The β-cyclodextrin has a mid-size inner hydrophobic cavity of the parent cyclodextrins and a hydrophilic exterior for intermediate-sized molecules. Ethyl ferulate is derived from rice hulls and has inherent antioxidant, anti-inflammatory, and neuroprotective properties. The lipophilic nature of ethyl ferulate reduces its water solubility leading to low bioavailability during in vivo application. Therefore, the β-cyclodextrin inner core was used to form a 1:1 inclusion complex with ethyl ferulate (see structure 44 in Figure 9) on dry mixing, malaxing (physical mixing with the addition of ethanol/water solvent, 1:1 v/v and drying the paste at 48 °C), lyophilization, and spray drying. The increase in the phase solubility of ethyl ferulate was seen by 283% and showed higher anti-inflammatory activity in vivo using the carrageenan-induced paw edema model in rats [27].
Marques et al. studied the inclusion of bioactive isopentyl caffeate with β-CD which has shown promising results against Leishmania. To counter the limited aqueous solubility for clinical application, several methods of inclusion under varying molar proportions were tested. The 1:1 molar ratio of isopentyl caffeate with β-CD (see structure 45 in Figure 9) obtained by co-evaporation was used for testing the efficacy. The dissolution test for solubility of the IPC:β-CD complex was improved and showed ~70% release of IPC from the complex within 5 min and continued to approx. 100% in the total test time of 180 min, while the pure isopentyl caffeate showed less than 20% dissolution in the medium even after 180 min. Furthermore, this IPC:β-CD showed a comparable IC50 of 3.8 and 2.7 µg/mL against Leishmania amazonensis and Leishmania chagasi promastigotes [28].
The limited bioavailability of CAPE prompted several authors towards the synthesis of CAPA. The microencapsulation of CAPE and CAPA by inclusion in hydroxypropyl-β-cyclodextrin can provide the CAPE/CAPA-HP-β-CD inclusion complexes, which can be more efficient for drug delivery and stabilization. Garrido et al. prepared the CAPE/HP-β-CD 46 and CAPA/HP-β-CD inclusion complexes by mixing equal volumes and using a solvent to form a paste. After drying, the CAPE/CAPA-HP-β-CD inclusion complexes were formed in a molar ratio of 1:1. The improved solubility of both CAPE and CAPA was seen after the inclusion complexes’ formation [78]. An oral dosage of HP-β-CD was tolerated in the tested animal species (rats, mice, and dogs) with limited toxicity, while intravenous dosing showed histopathological changes that were reversible [77].
Han et al. covalently bonded ferulic acid with the primary hydroxyls of β-cyclodextrin (β-CD) to form an ester linkage for improved stability and application in food and medicine. They also prepared the 1:1 inclusion complex using an FA/β-CD mixture for comparison. The conjugated FA-β-CD 47 showed an amorphous nature but resulted in poor solubility in comparison to the inclusion complex, which improved the solubility of ferulic acid. Furthermore, the photo-stability of the FA-β-CD conjugate 47 was improved, even after prolonged exposure to a UVB lamp for 30h compared to the inclusion complex and FA (77%, 42%, and 33%). The in vitro cytotoxicity of the FA-β-CD conjugate 47 against HepG2 cell was IC50 = 1.29 μM/L, compared to 1.76 and 2.00 μM/L, observed for the FA/β-CD inclusion complex and FA. The negligible cytotoxicity of the samples in the normal hepatic cells, L02 after 24 h, indicated a safe and biocompatible FA-β-CD conjugate [79].
The preservation during storage and transportation of hairtail (Trichiurus lepturus) was key for the commercial success of this species. During storage, the specific spoilage bacteria can cause the decomposition of fish leading, to off flavors and ill health if consumed. To prevent such a scenario, it was desirable to encapsulate ferulic acid into a β-CD inclusion complex for application in the preservation of hairtail (Trichiurus lepturus). The identification of spoilage bacteria from hairtail after ten days of storage was performed before antibacterial testing. The four spoilage bacteria and six strains of foodborne spoilage bacteria isolated from hairtail were Pseudomonas fluorescens ATCC 17400; Shewanella putrefaciens ATCC 8071; Staphylococcus aureus ATCC 25923; Escherichia coli O157:H7 CICC 10907; Salmonella typhimurium ATCC 14028; and Vibrio anguillarum ATCC 19264). The cleaned fish parts were immersed in FCIC (FA-β-CD inclusion complex) solution and air dried. The three different FCICs (1:0.5, 1:1, and 1:2) showed variable efficiency of DPPH and H2O2 antioxidant activity based on the concentration of FA. The higher FA molar ratio sample (1:2) possessed significantly higher scavenging efficiency towards the DPPH and H2O2 radicals. During the antibacterial assessment, FCIC showed higher activity against the above bacteria in cold storage conditions (4 °C). The prolonged shelf life of 3–5 days was seen for the higher molar ratio sample of FCIC (ratio of 1:2) [80].
The previous theoretical work has shown that lipophilic molecule 3-methyl-4-hydroxycinnamic acid (Figure 9) may have improved targeted delivery capabilities to reach the brain by crossing the BBB. Therefore, this fat-soluble 3-methyl-4-hydroxycinnamic acid was prepared by substituting the methoxy group with the methyl group. A solid dispersion of FAD012 with γ-cyclodextrin (γCD) using a 3D-ball mill process was prepared to obtain the FAD012-γCD inclusion complex 48, and the solubility aspect was studied. After one hour, the solubility of the FAD012-γCD complex was improved 5-fold compared to FAD012 alone (656.7 μg/mL vs. 134.4 μg/mL) [81].

5.2. Nutraceutical Applications of HCA Polysaccharide Bioconjugates

Amylose is a linear polysaccharide consisting of α-1,4-linked glucose units with a few α-1,6-branching points derived from starch, while amylopectin is a complex structure having α-1,6-linking points in addition to the α-1,4-linked glucose units. Being a natural and abundant biomass source, it can be modified for improving the sensory properties and shelf life of food and for biomedical and cosmetic applications. Generally, amylose forms a V-shaped single helical ligand inclusion complex with a variety of fatty acids or phytochemicals. The V6 form is commonly encountered in starch consisting of six glucose units in one helical turn. The larger ligands may be included in larger V7 and V8 forms similar to CDs or may be entrapped in the double helical structures. One such application reported a poor V-shaped entrapment of ferulic acid, a well-known antioxidant, antibacterial, and UV-filter molecule, but was entrapped in the double helical amylose hydrophobic core structure. This led Kenar et al. to use the steam jet cooking method to fabricate the amylose–octadecyl ferulate inclusion complex using lipophilic derivative octadecyl ferulate 20 instead of the FA. They obtained a 51% overall yield of the inclusion complex, and an extraction assay showed that the complex was enriched with ~92% amylose, and ~71 mg/g of the complex contained the octadecyl ferulate. The XRD analysis indicated that the octadecyl fragment was included in the V6-single helical amylose inclusion complex [29].
Porous starches are made from native starch by enzymatic, chemical, or physical modifications, resulting in pores from the surface to the center of the starch granules. This modification increases the specific surface area and adsorption ability of starch. In attempts to provide synthetic antioxidant dietary fibers, porous starch (PS) was modified with ferulic acid (FA) by esterification. The resulting FA@PS had higher degrees of substitution (DS = 0.21FA@PS, 0.37FA@PS, and 0.43FA@PS, respectively) compared with the native starch (0.11FA@NS). The ester bonds were verified by simple FT-IR and 13C solid-state NMR. Furthermore, the XRD and morphological analysis indicated that these FA@PS had an irregular beehive-like and dense fibrous crystal structure departing from the regular V-type pattern of native starch. They suggested that the gelling of the starch may have occurred during the esterification process and subsequent recrystallization that provided this different structure. The in vitro antioxidant scavenging capacity assays (DPPH, FRAP) for FA@PS increased with the degree of substitution and concentration and were better compared to the regular starch inclusion complex. The β–carotene–linoleic acid assay showed that FA-modified PS esters had a higher antioxidant capacity than free FA [30].
Previously, the same group had studied the antioxidant capacity of four modified porous starches with cinnamic (CA), ferulic (FA), p-coumaric (p-CA), and sinapic (SA) acids, having different degrees of substitution. The ester linkage of cinnamic-acid-modified PS was confirmed by FT-IR, 1H NMR, and 13C solid-state NMR. They concluded that the porous nature of starch was maintained after the esterification step with an equivalent degree of substitution (three samples each for CA, FA, pCA, and SA@PS with DS ranges = 0.09–0.12, 0.30–0.38, and 0.51–0.78). The three in vitro antioxidant assays (DPPH, FRAP, and β-carotene–linoleic acid assay) indicated the higher order of antioxidant capacity for SA@PS > FA@PS > p-CA@PS > CA@PS. The presence of methoxy groups with donating abilities in SA and FA resulted in higher observed antioxidant activity [31].
Starch modified with ferulic acid (DS of 0.036 or 4.2%) showed high water holding capacity and can be delivered in the colon. A detailed study by Ou et al. showed that diastase, a complex enzyme composed of a mixture of α- and β-amylase, could only hydrolyze the ferulate-modified starch by 10%, and this passed the small intestines. Furthermore, the in vitro assessment by colonic microorganisms indicated that ferulic acid was released at much higher proportions compared with dietary fiber from wheat bran [32].
The prodrug strategy for colon delivery used galactomannan isolated from Leucaena leucocephala (LLG) and conjugated it with sinapic acid. The SA-LLG with 16.98 degrees of substitution was found to be suitable for the release of 81% sinapic acid after enzymatic hydrolysis using a combination of galactomannase and esterase enzymes in 24 h. It was observed that an optimal pH of 4.5 was required for the galactomannase enzyme reaction, while a pH of 8 was required for the esterase reaction. This fact was key to understanding that hydrolysis and drug delivery should happen in the colonic area in the presence of hydrolytic enzymes [33]. Ferulic acid conjugated with fructo-oligosaccharides gave 0.2206 degrees of substitution (corresponding to 20.9% w/w of FA) and was used for targeted delivery to the colon. These FA-fructo-oligosaccharides (FA-FOS) are self-assembled into disc-shaped microparticle structures with an average diameter of 2 μm. In simulated colonic fluids, the FA-FOS bioconjugates were stable for 48h. The anti-proliferative activity of FA-FOS was IC50 value of 0.127 and 0.11 µg/mL for HT29 and LoVo colon cancer cells compared to ferulic acid (IC50~0.2 µg/mL). The IC50 for normal colon fibroblast CCD18-Co was >5.9 µg/mL [82].
Cassava starch (CS), or tapioca (Manihot esculenta Crantz), is commonly consumed in tropical regions. The dry content of cassava roots is mainly 80% starch, which consists of about 20% amylose, and the remaining 80% is amylopectin. The higher digestibility of cassava starch due to the higher content of amylopectin leads to a high glycemic index (GI) and continued consumption of such high GI diets can induce diabetes and associated complications. Therefore, it was of interest to investigate the functional effect of hydroxycinnamic-acid-modified cassava starch for their digestibility, GI, and starch structure alterations. Xu et al. observed that once esterified, the cassava starch was more resistant to digestion and contained only 44% rapidly digestible starch. The swelling and solubility of esterified starch were also decreased compared to CS with increased DS and were lowest for FA-derived starch. The antioxidant activity (DPPH and FRAP) was highest for sinapic acid starch ester (SASE), followed by FASE (ferulic acid starch ester) and p-coumaric starch ester (p-CASE). The digestibility of SASE was found at 39% undigested material compared to FASE and p-CASE (32% and 25%, respectively). SASE also had the lowest hydrolysis rate at 61.04%. The lowest GI was observed for SASE at 47, while FASE was at 53 and p-coumaric acid at 58, significantly lower than native cassava starch at 81. They deduced that the increased particle size of esterified starch may have intermolecular hydrophobic interaction and form larger aggregates, reflecting the reduced digestibility. This strategy can provide functionalized starch to reduce postprandial blood glucose spikes and diabetes management [83].

5.3. Cinnamate-Grafted Cellulose Nanocrystals (CNC) for UV Applications

The inherent protection against UV radiation prompted Mendoza et al. to graft natural p-hydroxycinnamate esters and diesters on cellulose nanocrystals. The degree of substitutions (DS) for the CNC was found to depend on the structure of the phenolic ester grafted. The aqueous suspensions of the phenolic ester-grafted CNCs strongly absorbed in both the UVA and UVB regions and were stable for up to 6 months. The grafted phenolic esters-CNCs via the triazole linkage showed a hypsochromic or “blue” shift, probably resulting from the etherification of the phenol moieties and change in electronic density of the aromatic ring, but they also exhibited an average to very high photostability. The CNC-diethyl sinapate and the CNC-diethyl ferulate (Figure 10) retained approximately 80–90% of their original absorbance after 2h at 365 nm irradiation. Their large spectrum UV-absorbing properties and their stability upon exposure to UV were highly influenced by the structure of the phenolic ester, particularly by the extra ester group in p-hydroxycinnamate diesters [34].
The application of CNC-DES for practical purposes was demonstrated by using it in a water-based formulation. The colloidal stability of CNC-DES was improved after grafting as the CNC nanoparticles have the water-dispersibility function. Different glycerol dispersions containing 0.1 to 1.5 wt% of CNC-DES showed very high UV-blocking activity. Similarly, the facial cream blended with 1.5 wt% CNC-DES exhibits an SPF of 5.03, which is higher than a commercially available sunscreen (Neutrogena Oil-Free Moisture with Sun Protection Factor (SPF) of 3.84). Additionally, reasonable DPPH radical scavenging assay and non-cytotoxicity towards murine fibroblast cells after 24h of exposure indicated safety profiles for sensitive skin applications [35].
Similarly, diethyl ferulate was grafted on cellulose nanocrystals (CNCs) to provide CNC-diethyl ferulate (CNC-DEF), incorporated into polyvinyl alcohol (PVA) matrix at 20 wt % to produce transparent films (70−90% transmittance) with excellent photostability and UV-absorbing properties. An improved tensile strength after the addition of 20 wt% CNC-DEF into the PVA matrix was observed compared to neat PVA, translating to potential for industrial and packaging applications [84].

6. Conclusions and Perspectives

In this review, we have explored the development of customized hydrophobic molecules by combining natural hydroxycinnamic acids with biomaterials such as ω-hydroxy fatty acids, castor and lesquerella oils, glycerol, isosorbides, and synthetic polyethylene glycol to form functional phenolipids. Their application as antioxidants and UV protection, with added benefits such as emollient, hydrophilic, or lipophilic solubility and targeted delivery, were discussed. In the case of isosorbide bis-dihydroferulates and bis-dihydrosinapates, conversion from the cinnamic double bond to a saturated propanoic acid chain and increasing the methoxy groups or the glycerol-based dihydroferulates may also provide food-based antioxidants capable of replacing the use of current petroleum-based active molecules such as Irganox 1010, BHT, or BHA [21,74]. Glycerol with the trihydroxy groups is easily available from the oleochemical industry and can be functionalized as required to produce the right molecules with hydrophilic–lipophilic balance. Therefore, hydroxycinnamic acids coupled with glycerol can provide new antioxidant molecules with dual benefits for cosmetic applications [17,21,57,59].
It is also proposed that several of the vegetable-oil-based cinnamyl esters can be efficient molecules for commercial topical applications such as sunscreens or in skin cream formulations since the fatty glyceride part can function naturally as an emollient, and hence, such conjugated molecules can have dual functionality and reduce the functional components [19,22,23]. Many of the fatty alcohols, fatty acids, sinapic acid, and ferulic acid are listed in the International Nomenclature of Cosmetic Ingredients (INCI) directory or COSMILE databases, providing easy access to usage as cosmetic ingredients and regulations. Therefore, all these new conjugated molecules can be assessed for the regulatory requirements of toxicity, degradation, and endocrine effects concerning the use in skin applications such as sun protective components or sunscreens made from bio feedstock or natural oils. As most components will be of natural origin, such products can comply with the ISO 16128-1:2016, which provides guidelines on definitions for natural and organic cosmetic ingredients. Further stability studies concerning the loss of absorbance (LoA) on irradiation are required for assessment as naturally safe sunscreens for skincare and UV filter/sunscreen applications. The encapsulation of cinnamyl esters within CD or PEGylated esters makes value-added products with improved solubility. Among the bioconjugates, the sinapic-acid–starch conjugates had higher antioxidant capacity compared to ferulic and p-coumaric-acid-based conjugates [31,83]. Overall these bioconjugates are positioned to provide benefits like dual-functionality, sustainable materials, improved safety, slow-release, biodegradability, and antioxidant activity for biomedical, cosmetic, food, and nutraceutical applications.

Authorship Contributions

J.C.J.M.D.S.M.: conceptualization, data curation, writing—original draft preparation, reviewing and editing, figures—visualization, and drawing; V.R.C.: data curation, writing—reviewing and editing. J.C.J.M.D.S.M. and V.R.C.: final editing, and approval of the draft for submission. All authors have read and agreed to the published version of the manuscript.

Funding

This research did not receive any specific grant from funding agencies in the public, commercial, or not-for-profit sectors.

Conflicts of Interest

The authors declare that they have no known competing financial interests or personal relationships that could have appeared to influence the work reported in this paper.

Abbreviations

AHCs: Alkyl hydroxycinnamates; BHT: butylated hydroxy toluene; BHA: butylated hydroxy anisole; DPPH-1,1-diphenyl-2-picrylhydrazyl; GABA: Gamma-aminobutyric acid; HCA: hydroxycinnamic acid; LoA: loss of absorbance; LDH: lactate dehydrogenase; MDA: malondialdehyde; MIC: minimum inhibitory concentration; MTT: 3-[4,5-dimethylthiazol-2-yl]-2,5 diphenyl tetrazolium bromide; OGD/R: oxygen-glucose deprivation/reperfusion; HLB: hydrophilic–lipophilic balance; IC50: half maximal inhibitory concentration; SOD: superoxide dismutase; WHO: World Health Organization.

References

  1. Dewick, P.M. The Shikimate Pathway: Aromatic Amino Acids and Phenylpropanoids. In Medicinal Natural Products; Wiley: Hoboken, NJ, USA, 2009; p. 131. [Google Scholar]
  2. Van Schijndel, J.; Canalle, L.A.; Molendijk, D.; Meuldijk, J. The green Knoevenagel condensation: Solvent-free condensation of benzaldehydes. Green Chem. Lett. Rev. 2017, 10, 404–411. [Google Scholar] [CrossRef]
  3. Flourat, A.L.; Combes, J.; Bailly-Maitre-Grand, C.; Magnien, K.; Haudrechy, A.; Renault, J.-H.; Allais, F. Accessing p-Hydroxycinnamic Acids: Chemical Synthesis, Biomass Recovery, or Engineered Microbial Production? ChemSusChem 2021, 14, 118–129. [Google Scholar] [CrossRef] [PubMed]
  4. Peyrot, C.; Peru, A.A.M.; Mouterde, L.M.M.; Allais, F. Proline-Mediated Knoevenagel–Doebner Condensation in Ethanol: A Sustainable Access to p-Hydroxycinnamic Acids. ACS Sustain. Chem. Eng. 2019, 7, 9422–9427. [Google Scholar] [CrossRef]
  5. Domergue, F.; Kosma, D.K. Occurrence and Biosynthesis of Alkyl Hydroxycinnamates in Plant Lipid Barriers. Plants 2017, 6, 25. [Google Scholar] [CrossRef]
  6. Menezes, J.C.J.M.D.S.; Edraki, N.; Kamat, S.P.; Khoshneviszadeh, M.; Kayani, Z.; Mirzaei, H.H.; Miri, R.; Erfani, N.; Nejati, M.; Cavaleiro, J.A.S.; et al. Long Chain Alkyl Esters of Hydroxycinnamic Acids as Promising Anticancer Agents: Selective Induction of Apoptosis in Cancer Cells. J. Agric. Food Chem. 2017, 65, 7228–7239. [Google Scholar] [CrossRef]
  7. Figueroa-Espinoza, M.C.; Bourlieu, C.; Durand, E.; Lecomte, J.; Villeneuve, P. Lipophilized Antioxidants. In Encyclopedia of Food Chemistry; Melton, L., Shahidi, F., Varelis, P., Eds.; Academic Press: Oxford, UK, 2019; pp. 193–201. [Google Scholar]
  8. Michels, B.; Zwaka, H.; Bartels, R.; Lushchak, O.; Franke, K.; Endres, T.; Fendt, M.; Song, I.; Bakr, M.; Budragchaa, T.; et al. Memory enhancement by ferulic acid ester across species. Sci. Adv. 2018, 4, eaat6994. [Google Scholar] [CrossRef]
  9. Menezes, J.C.J.M.D.S.; Campos, V.R. Bench to any side-Pharmacology and applications of Natural and Synthetic Alkylated Hydroxy Cinnamates and Cinnamides. SSRN 2024. [Google Scholar] [CrossRef]
  10. Menezes, J.C.J.M.D.S.; Kamat, S.P.; Cavaleiro, J.A.S.; Gaspar, A.; Garrido, J.; Borges, F. Synthesis and antioxidant activity of long chain alkyl hydroxycinnamates. Eur. J. Med. Chem. 2011, 46, 773–777. [Google Scholar] [CrossRef]
  11. Abiola, T.T.; Auckloo, N.; Woolley, J.M.; Corre, C.; Poigny, S.; Stavros, V.G. Unravelling the Photoprotection Properties of Garden Cress Sprout Extract. Molecules 2021, 26, 7631. [Google Scholar] [CrossRef]
  12. Nguyen, V.P.T.; Stewart, J.D.; Ioannou, I.; Allais, F. Sinapic Acid and Sinapate Esters in Brassica: Innate Accumulation, Biosynthesis, Accessibility via Chemical Synthesis or Recovery From Biomass, and Biological Activities. Front. Chem. 2021, 9, 664602. [Google Scholar] [CrossRef]
  13. Rioux, B.; Mouterde, L.M.M.; Alarcan, J.; Abiola, T.T.; Vink, M.J.A.; Woolley, J.M.; Peru, A.A.M.; Mention, M.M.; Brunissen, F.; Berden, G.; et al. An expeditive and green chemo-enzymatic route to diester sinapoyl-l-malate analogues: Sustainable bioinspired and biosourced UV filters and molecular heaters. Chem. Sci. 2023, 14, 13962–13978. [Google Scholar] [CrossRef] [PubMed]
  14. Peyrot, C.; Mention, M.M.; Fournier, R.; Brunissen, F.; Couvreur, J.; Balaguer, P.; Allais, F. Expeditious and sustainable two-step synthesis of sinapoyl-l-malate and analogues: Towards non-endocrine disruptive bio-based and water-soluble bioactive compounds. Green Chem. 2020, 22, 6510–6518. [Google Scholar] [CrossRef]
  15. Mention, M.M.; Flourat, A.L.; Peyrot, C.; Allais, F. Biomimetic regioselective and high-yielding Cu(i)-catalyzed dimerization of sinapate esters in green solvent Cyrene™: Towards sustainable antioxidant and anti-UV ingredients. Green Chem. 2020, 22, 2077–2085. [Google Scholar] [CrossRef]
  16. Michels, B.; Franke, K.; Weiglein, A.; Sultani, H.; Gerber, B.; Wessjohann, L.A. Rewarding compounds identified from the medicinal plant Rhodiola rosea. J. Exp. Biol. 2020, 223, jeb223982. [Google Scholar] [CrossRef] [PubMed]
  17. Song, Y.; Zhou, J.; Wang, X.; Xie, X.; Zhao, Y.; Ni, F.; Huang, W.; Wang, Z.; Xiao, W. A new ferulic acid ester from Rhodiola wallichiana var. cholaensis (Crassulaceae). Nat. Prod. Res. 2018, 32, 77–84. [Google Scholar] [CrossRef]
  18. Cong, Y.; Guo, J.-G.; Liu, J. Two New Chemical Constituents of Veratrum dahuricum (Turcz.) Loes. f. Helv. Chim. Acta 2013, 96, 345–349. [Google Scholar] [CrossRef]
  19. Woo, M.H.; Nguyen, D.H.; Zhao, B.T.; Seo, U.M.; Nguyen, T.T.; Jun, D.Y.; Kim, Y.H. Echinochlorins A-C from the grains of Echinochloa utilis (Barnyard Millet) and their anti-inflammatory activity. Planta Medica 2015, 81, PX66. [Google Scholar] [CrossRef]
  20. Ma, M.; Hussain, M.; Memon, H.; Zhou, W. Structure of pigment compositions and radical scavenging activity of naturally green-colored cotton fiber. Cellulose 2016, 23, 955–963. [Google Scholar] [CrossRef]
  21. Fadilah, N.I.M.; Phang, S.J.; Kamaruzaman, N.; Salleh, A.; Zawani, M.; Sanyal, A.; Maarof, M.; Fauzi, M.B. Antioxidant Biomaterials in Cutaneous Wound Healing and Tissue Regeneration: A Critical Review. Antioxidants 2023, 12, 787. [Google Scholar] [CrossRef]
  22. Sonar, V.P.; Fois, B.; Distinto, S.; Maccioni, E.; Meleddu, R.; Cottiglia, F.; Acquas, E.; Kasture, S.; Floris, C.; Colombo, D.; et al. Ferulic Acid Esters and Withanolides: In Search of Withania somnifera GABAA Receptor Modulators. J. Nat. Prod. 2019, 82, 1250–1257. [Google Scholar] [CrossRef]
  23. Maccioni, R.; Cottiglia, F.; Maccioni, E.; Talani, G.; Sanna, E.; Bassareo, V.; Kasture, S.B.; Acquas, E. The biologically active compound of Withania somnifera (L.) Dunal, docosanyl ferulate, is endowed with potent anxiolytic properties but devoid of typical benzodiazepine-like side effects. J. Psychopharmacol. 2021, 35, 1277–1284. [Google Scholar] [CrossRef] [PubMed]
  24. Johny, J.; Kontham, V.; Veeragoni, D.; Misra, S.; Kaki, S.S. Bioorganic synthesis, characterization and evaluation of a natural phenolic lipid. Biotechnol. Rep. 2019, 24, e00375. [Google Scholar] [CrossRef] [PubMed]
  25. Corrêa, I.; Faria, R.P.V.; Rodrigues, A.E. Continuous Valorization of Glycerol into Solketal: Recent Advances on Catalysts, Processes, and Industrial Perspectives. Sustain. Chem. 2021, 2, 286–324. [Google Scholar] [CrossRef]
  26. Peyrot, C.; Mention, M.M.; Brunissen, F.; Allais, F. Sinapic Acid Esters: Octinoxate Substitutes Combining Suitable UV Protection and Antioxidant Activity. Antioxidants 2020, 9, 782. [Google Scholar] [CrossRef]
  27. Gandhi, B.; Juliya, J.; Dileep, V.; Uma Rajeswari, B.; Misra, S.; Kaki, S.S. Antioxidant and Biological Activities of Novel Structured Monoacylglycerol Derivatives with Phenolic Acids. Eur. J. Lipid Sci. Technol. 2021, 123, 2100055. [Google Scholar] [CrossRef]
  28. Gunia-Krzyżak, A.; Słoczyńska, K.; Popiół, J.; Koczurkiewicz, P.; Marona, H.; Pękala, E. Cinnamic acid derivatives in cosmetics: Current use and future prospects. Int. J. Cosmet. Sci. 2018, 40, 356–366. [Google Scholar] [CrossRef]
  29. Monhaphol, T.; Albinsson, B.; Wanichwecharungruang, S.P. 2-Ethylhexyl-2,4,5-trimethoxycinnamate and di-(2-ethylhexyl)-2,4,5-trimethoxybenzalmalonate as novel UVA filters†. J. Pharm. Pharmacol. 2010, 59, 279–288. [Google Scholar] [CrossRef]
  30. Zambrano, D.; Millán, D.; Guevara-Pulido, J. In silico design, synthesis and evaluation of a less toxic octinoxate alternative with suitable photoprotection properties. Eur. J. Pharm. Sci. 2023, 180, 106332. [Google Scholar] [CrossRef]
  31. Taniguchi, H.; Nomura, E.; Tsuno, T.; Minami, S. Ferulic Acid Ester Antioxidant/UV Absorbent. European Patent EP0681825A2, 15 November 1995. [Google Scholar]
  32. Zhou, Y.; Lips, A.; Nanavaty, F.S.; Bartolone, J.B. Stabilization of Ferulic Acid in Cosmetic. Compositions. Patent WO 01/07004 A1, 1 February 2001. [Google Scholar]
  33. Kaeswurm, J.A.H.; Scharinger, A.; Teipel, J.; Buchweitz, M. Absorption Coefficients of Phenolic Structures in Different Solvents Routinely Used for Experiments. Molecules 2021, 26, 4656. [Google Scholar] [CrossRef]
  34. Ferulan Active. GfN & Selco. Available online: https://www.gfn-selco.de/en/Productsearch/ferulan-active (accessed on 19 August 2022).
  35. Matsuo, T.; Kobayashi, T.; Kimura, Y.; Tsuchiyama, M.; Oh, T.; Sakamoto, T.; Adachi, S. Synthesis of glyceryl ferulate by immobilized ferulic acid esterase. Biotechnol. Lett. 2008, 30, 2151–2156. [Google Scholar] [CrossRef]
  36. Kikugawa, M.; Tsutsuki, H.; Ida, T.; Nakajima, H.; Ihara, H.; Sakamoto, T. Water-soluble ferulic acid derivatives improve amyloid-β-induced neuronal cell death and dysmnesia through inhibition of amyloid-β aggregation. Biosci. Biotechnol. Biochem. 2016, 80, 547–553. [Google Scholar] [CrossRef] [PubMed]
  37. Tsuchiyama, M.; Sakamoto, T.; Tanimori, S.; Murata, S.; Kawasaki, H. Enzymatic Synthesis of Hydroxycinnamic Acid Glycerol Esters Using Type A Feruloyl Esterase from Aspergillus niger. Biosci. Biotechnol. Biochem. 2007, 71, 2606–2609. [Google Scholar] [CrossRef] [PubMed]
  38. Compton, D.L.; Laszlo, J.A.; Evans, K.O. Antioxidant properties of feruloyl glycerol derivatives. Ind. Crops Prod. 2012, 36, 217–221. [Google Scholar] [CrossRef]
  39. Compton, D.L.; Appell, M.; Kenar, J.A.; Evans, K.O. Enzymatic Synthesis and Flash Chromatography Separation of 1,3-Diferuloyl-sn-Glycerol and 1-Feruloyl-sn-Glycerol. Methods Protoc. 2020, 3, 8. [Google Scholar] [CrossRef] [PubMed]
  40. Evans, K.O.; Compton, D.L.; Laszlo, J.A.; Appell, M. Feruloyl glycerol and 1,3-diferuloyl glycerol antioxidant behavior in phospholipid vesicles. Chem. Phys. Lipids 2016, 195, 1–11. [Google Scholar] [CrossRef]
  41. Wang, X.; Chen, X.; Sun, S.; Xu, R. Enhancement of the hydrophilic feruloyl glycerol synthesis using A-35 as a catalyst and its functional characteristics. Food Funct. 2021, 12, 9763–9772. [Google Scholar] [CrossRef]
  42. Meng, X.-Y.; Xu, Y.; Wu, J.-X.; Zhu, C.-T.; Zhang, D.-Y.; Wu, G.-H.; Wu, F.-A.; Wang, J. Enzymatic Synthesis and Antioxidant Activity of 1-Caffeoylglycerol Prepared from Alkyl Caffeates and Glycerol. J. Am. Oil Chem. Soc. 2018, 95, 149–159. [Google Scholar] [CrossRef]
  43. Eudes, A.; Mouille, M.; Robinson, D.S.; Benites, V.T.; Wang, G.; Roux, L.; Tsai, Y.-L.; Baidoo, E.E.K.; Chiu, T.-Y.; Heazlewood, J.L.; et al. Exploiting members of the BAHD acyltransferase family to synthesize multiple hydroxycinnamate and benzoate conjugates in yeast. Microb. Cell Factories 2016, 15, 198. [Google Scholar] [CrossRef]
  44. Guo, X.; Rong, Z.; Ying, X. Calculation of hydrophile–lipophile balance for polyethoxylated surfactants by group contribution method. J. Colloid Interface Sci. 2006, 298, 441–450. [Google Scholar] [CrossRef]
  45. De Freitas, Z.M.F.; dos Santos, E.P.; da Rocha, J.F.; Dellamora-Ortiz, G.M.; Gonçalves, J.C.S. A new sunscreen of the cinnamate class: Synthesis and enzymatic hydrolysis evaluation of glyceryl esters of p-methoxycinnamic acid. Eur. J. Pharm. Sci. 2005, 25, 67–72. [Google Scholar] [CrossRef]
  46. Compton, D.L.; Laszlo, J.A.; Berhow, M.A. Lipase-catalyzed synthesis of ferulate esters. J. Am. Oil Chem. Soc. 2000, 77, 513–519. [Google Scholar] [CrossRef]
  47. Laszlo, J.A.; Smith, L.J.; Evans, K.O.; Compton, D.L. Phenol Esterase Activity of Porcine Skin. Eur. J. Pharm. Biopharm. 2015, 89, 175–181. [Google Scholar] [CrossRef]
  48. Totani, N.; Tateishi, S.; Takimoto, T.; Shinohara, R.; Sasaki, H. Ferulic Acid Esters and Weight-Loss Promoting Effects in Rats. J. Oleo Sci. 2012, 61, 331–336. [Google Scholar] [CrossRef] [PubMed][Green Version]
  49. Laszlo, J.A.; Evans, K.O.; Vermillion, K.E.; Appell, M. Feruloyl Dioleoylglycerol Antioxidant Capacity in Phospholipid Vesicles. J. Agric. Food Chem. 2010, 58, 5842–5850. [Google Scholar] [CrossRef] [PubMed]
  50. Villeneuve, P.; Bourlieu-Lacanal, C.; Durand, E.; Lecomte, J.; McClements, D.J.; Decker, E.A. Lipid oxidation in emulsions and bulk oils: A review of the importance of micelles. Crit. Rev. Food Sci. Nutr. 2023, 63, 4687–4727. [Google Scholar] [CrossRef] [PubMed]
  51. Hollande, L.; Domenek, S.; Allais, F. Chemo-Enzymatic Synthesis of Renewable Sterically-Hindered Phenolic Antioxidants with Tunable Polarity from Lignocellulose and Vegetal Oil Components. Int. J. Mol. Sci. 2018, 19, 3358. [Google Scholar] [CrossRef]
  52. Compton, D.L.; Laszlo, A.; Isbell, T.A. Cinnamoyl esters of lesquerella and castor oil: Novel sunscreen active ingredients. J. Am. Oil Chem. Soc. 2004, 81, 945–951. [Google Scholar] [CrossRef]
  53. Compton, D.L.; Laszlo, J.A.; Evans, K.O. Phenylpropanoid esters of lesquerella and castor oil. Ind. Crops Prod. 2015, 63, 9–16. [Google Scholar] [CrossRef]
  54. Sun, S.; Zhu, S.; Bi, Y. Solvent-free enzymatic synthesis of feruloylated structured lipids by the transesterification of ethyl ferulate with castor oil. Food Chem. 2014, 158, 292–295. [Google Scholar] [CrossRef]
  55. Sun, S.; Chen, X.; Jiang, C. Enhanced synthesis of feruloylated acylglycerols by the lipase-catalyzed transesterification of glyceryl monoferulate with different acyl donors using ionic liquids as reaction solvents. J. Biotechnol. 2018, 280, 31–37. [Google Scholar] [CrossRef]
  56. Sun, S.; Wang, P.; Zhu, S. Enzymatic incorporation of caffeoyl into castor oil to prepare the novel castor oil-based caffeoyl structured lipids. J. Biotechnol. 2017, 249, 66–72. [Google Scholar] [CrossRef] [PubMed]
  57. Reddy, K.K.; Ravinder, T.; Kanjilal, S. Synthesis and evaluation of antioxidant and antifungal activities of novel ricinoleate-based lipoconjugates of phenolic acids. Food Chem. 2012, 134, 2201–2207. [Google Scholar] [CrossRef] [PubMed]
  58. Yarra, M.; Kaki, S.S.; Prasad, R.B.N.; Mallampalli, K.S.L.; Yedla, P.; Chityala, G.K. Synthesis of novel (Z)-methyl-12-aminooctadec-9-enoate-based phenolipids as potential antioxidants and chemotherapeutic agents. Eur. J. Lipid Sci. Technol. 2016, 118, 622–630. [Google Scholar] [CrossRef]
  59. Bonnin, I.; Mereau, R.; Tassaing, T.; De Oliveira Vigier, K. One-pot synthesis of isosorbide from cellulose or lignocellulosic biomass: A challenge? Beilstein J. Org. Chem. 2020, 16, 1713–1721. [Google Scholar] [CrossRef]
  60. Saxon, D.J.; Luke, A.M.; Sajjad, H.; Tolman, W.B.; Reineke, T.M. Next-generation polymers: Isosorbide as a renewable alternative. Prog. Polym. Sci. 2020, 101, 101196. [Google Scholar] [CrossRef]
  61. East, A.; Zhang, Y.; Jaffe, M. Ultraviolet Absorber for Cosmetics and Polymeric. Materials. Patent WO 2007/098022 A2, 30 August 2007. [Google Scholar]
  62. Feng, X. Synthesis of Corn-Derived Carbohydrate Derivatives as Effective Multifunctional Sunscreen. Master’s Thesis, New Jersey Institute of Technology, Newark, NJ, USA, 2008. [Google Scholar]
  63. Reano, A.F.; Chérubin, J.; Peru, A.M.M.; Wang, Q.; Clément, T.; Domenek, S.; Allais, F. Structure–Activity Relationships and Structural Design Optimization of a Series of p-Hydroxycinnamic Acids-Based Bis- and Trisphenols as Novel Sustainable Antiradical/Antioxidant Additives. ACS Sustain. Chem. Eng. 2015, 3, 3486–3496. [Google Scholar] [CrossRef]
  64. Nicks, F.; Richel, A.; Dubrowski, T.; Wathelet, B.; Wathelet, J.-P.; Blecker, C.; Paquot, M. Effect of new synthetic PEGylated ferulic acids in comparison with ferulic acid and commercial surfactants on the properties of wheat flour dough and bread. J. Sci. Food Agric. 2013, 93, 2415–2420. [Google Scholar] [CrossRef]
  65. Fernandes, C.; Pinto, M.; Martins, C.; Gomes, M.J.; Sarmento, B.; Oliveira, P.J.; Remião, F.; Borges, F. Development of a PEGylated-Based Platform for Efficient Delivery of Dietary Antioxidants Across the Blood–Brain Barrier. Bioconjugate Chem. 2018, 29, 1677–1689. [Google Scholar] [CrossRef]
  66. Sguizzato, M.; Mariani, P.; Ferrara, F.; Drechsler, M.; Hallan, S.S.; Huang, N.; Simelière, F.; Khunti, N.; Cortesi, R.; Marchetti, N.; et al. Nanoparticulate Gels for Cutaneous Administration of Caffeic Acid. Nanomaterials 2020, 10, 961. [Google Scholar] [CrossRef]
  67. Duceac, I.A.; Coseri, S. Biopolymers and their derivatives: Key components of advanced biomedical technologies. Biotechnol. Adv. 2022, 61, 108056. [Google Scholar] [CrossRef]
  68. EMA. Background Review for Cyclodextrins Used as Excipients; EMA/CHMP/333892/2013; EMA: London, UK, 2014. [Google Scholar]
  69. Cunha, F.V.M.; do Nascimento Caldas Trindade, G.; da Silva Azevedo, P.S.; Coêlho, A.G.; Braz, E.M.; Pereira de Sousa Neto, B.; de Rezende, D.C.; de Sousa, D.P.; de Assis Oliveira, F.; Nunes, L.C.C. Ethyl ferulate/β-cyclodextrin inclusion complex inhibits edema formation. Mater. Sci. Eng. C 2020, 115, 111057. [Google Scholar] [CrossRef] [PubMed]
  70. Marques, C.S.; Barreto, N.S.; Oliveira, S.S.D.; Santos, A.L.; Branquinha, M.H.; Sousa, D.P.D.; Castro, M.; Andrade, L.N.; Pereira, M.M.; Silva, C.F.D.; et al. β-Cyclodextrin/Isopentyl Caffeate Inclusion Complex: Synthesis, Characterization and Antileishmanial Activity. Molecules 2020, 25, 4181. [Google Scholar] [CrossRef] [PubMed]
  71. Garrido, E.M.P.J.; Cerqueira, A.S.; Chavarria, D.; Silva, T.; Borges, F.; Garrido, J.M.P.J. Microencapsulation of caffeic acid phenethyl ester and caffeic acid phenethyl amide by inclusion in hydroxypropyl-β-cyclodextrin. Food Chem. 2018, 254, 260–265. [Google Scholar] [CrossRef] [PubMed]
  72. Han, X.; Zhang, Z.; Shen, H.; Zheng, J.; Zhang, G. Comparison of structures, physicochemical properties and in vitro bioactivity between ferulic acid-β-cyclodextrin conjugate and the corresponding inclusion complex. Food Res. Int. 2019, 125, 108619. [Google Scholar] [CrossRef]
  73. Li, Y.; Yu, H.; Cai, Y.; Yuan, C.; Chen, S.; Ding, T.; Liu, D.; Hu, Y. Ferulic acid-β-cyclodextrin inclusion complexes: Application on the preservation of hairtail (Trichiurus lepturus). Int. J. Food Prop. 2020, 23, 282–296. [Google Scholar] [CrossRef]
  74. Ikeda, N.; Inoue, Y.; Ogata, Y.; Murata, I.; Meiyan, X.; Takayama, J.; Sakamoto, T.; Okazaki, M.; Kanamoto, I. Improvement of the Solubility and Evaluation of the Physical Properties of an Inclusion Complex Formed by a New Ferulic Acid Derivative and γ-Cyclodextrin. ACS Omega 2020, 5, 12073–12080. [Google Scholar] [CrossRef]
  75. Kenar, J.A.; Compton, D.L.; Little, J.A.; Peterson, S.C. Formation of inclusion complexes between high amylose starch and octadecyl ferulate via steam jet cooking. Carbohydr. Polym. 2016, 140, 246–252. [Google Scholar] [CrossRef]
  76. Zhang, S.; Li, H.; Li, M.; Chen, G.; Ma, Y.; Wang, Y.; Chen, J. Construction of ferulic acid modified porous starch esters for improving the antioxidant capacity. RSC Adv. 2022, 12, 4253–4262. [Google Scholar] [CrossRef]
  77. Li, H.; Ma, Y.; Gao, X.; Chen, G.; Wang, Z. Probing the structure-antioxidant activity relationships of four cinnamic acids porous starch esters. Carbohydr. Polym. 2021, 256, 117428. [Google Scholar] [CrossRef]
  78. Ou, S.; Yang, A.L.A. A study on synthesis of starch ferulate and its biological properties. Food Chem. 2001, 74, 91–95. [Google Scholar] [CrossRef]
  79. Kaur, J.; Mehta, V.; Kaur, G. Preparation, development and characterization of Leucaena leucocephala galactomannan (LLG) conjugated sinapic acid: A potential colon targeted prodrug. Int. J. Biol. Macromol. 2021, 178, 29–40. [Google Scholar] [CrossRef] [PubMed]
  80. Johnson, E.M.; Lee, H.; Jayabalan, R.; Suh, J.-W. Ferulic acid grafted self-assembled fructo-oligosaccharide micro particle for targeted delivery to colon. Carbohydr. Polym. 2020, 247, 116550. [Google Scholar] [CrossRef] [PubMed]
  81. Xu, T.; Zhong, Y.; Chen, Q.; Wu, L.; Ji, S.; Yang, B.; Zhang, Y.; Shen, J.; Lu, B. Modulating the digestibility of cassava starch by esterification with phenolic acids. Food Hydrocoll. 2022, 127, 107432. [Google Scholar] [CrossRef]
  82. Mendoza, D.J.; Mouterde, L.M.M.; Browne, C.; Raghuwanshi, V.S.; Simon, G.P.; Garnier, G.; Allais, F. Grafting Nature-Inspired and Bio-Based Phenolic Esters onto Cellulose Nanocrystals Gives Biomaterials with Photostable Anti-UV Properties. ChemSusChem 2020, 13, 6552–6561. [Google Scholar] [CrossRef] [PubMed]
  83. Mendoza, D.J.; Maliha, M.; Raghuwanshi, V.S.; Browne, C.; Mouterde, L.M.M.; Simon, G.P.; Allais, F.; Garnier, G. Diethyl sinapate-grafted cellulose nanocrystals as nature-inspired UV filters in cosmetic formulations. Mater. Today Bio 2021, 12, 100126. [Google Scholar] [CrossRef] [PubMed]
  84. Mendoza, D.J.; Browne, C.; Raghuwanshi, V.S.; Mouterde, L.M.M.; Simon, G.P.; Allais, F.; Garnier, G. Phenolic Ester-Decorated Cellulose Nanocrystals as UV-Absorbing Nanoreinforcements in Polyvinyl Alcohol Films. ACS Sustain. Chem. Eng. 2021, 9, 6427–6437. [Google Scholar] [CrossRef]
Figure 1. Biosynthesis of hydroxycinnamic acids from the shikimic acid pathway via precursors like phenylalanine or tyrosine by deamination, sequential hydroxylation, and methylation.
Figure 1. Biosynthesis of hydroxycinnamic acids from the shikimic acid pathway via precursors like phenylalanine or tyrosine by deamination, sequential hydroxylation, and methylation.
Compounds 04 00037 g001
Figure 2. Water-soluble ω-hydroxyl group of fatty acid esterified with hydroxycinnamates in biochemistry applications.
Figure 2. Water-soluble ω-hydroxyl group of fatty acid esterified with hydroxycinnamates in biochemistry applications.
Compounds 04 00037 g002
Figure 3. Glycerol-modified hydroxycinnamates.
Figure 3. Glycerol-modified hydroxycinnamates.
Compounds 04 00037 g003
Figure 4. 1,3-dipalmitoyl- and 1,3-dioctanoyl-2-p-methoxycinnamoyl-1,2,3-propanetriols; Ferulyl mono and diolein derivatives.
Figure 4. 1,3-dipalmitoyl- and 1,3-dioctanoyl-2-p-methoxycinnamoyl-1,2,3-propanetriols; Ferulyl mono and diolein derivatives.
Compounds 04 00037 g004
Figure 5. Irganox 1010 [(tetrakis(methylene-(3,5-di-t-butyl-p-hydroxy- hydrocinnamate))methane)]; Irganox 1076 [Octadecyl 3-(3,5-di-tert-butyl-4-hydroxyphenyl)propionate] and BHT (butylated hydroxy toluene) commercially used fossil-based antioxidant additives.
Figure 5. Irganox 1010 [(tetrakis(methylene-(3,5-di-t-butyl-p-hydroxy- hydrocinnamate))methane)]; Irganox 1076 [Octadecyl 3-(3,5-di-tert-butyl-4-hydroxyphenyl)propionate] and BHT (butylated hydroxy toluene) commercially used fossil-based antioxidant additives.
Compounds 04 00037 g005
Figure 6. Modified hydroxycinnamates based on vegetable oils for antioxidant activity, cosmetics, and anti-microbial activity.
Figure 6. Modified hydroxycinnamates based on vegetable oils for antioxidant activity, cosmetics, and anti-microbial activity.
Compounds 04 00037 g006
Figure 7. Isosorbide-based hydroxycinnamates for cosmetic applications.
Figure 7. Isosorbide-based hydroxycinnamates for cosmetic applications.
Compounds 04 00037 g007
Figure 8. Polyethylene glycol HCA conjugates for food, BBB transport, and skin applications.
Figure 8. Polyethylene glycol HCA conjugates for food, BBB transport, and skin applications.
Compounds 04 00037 g008
Figure 9. Different esters encapsulated in the β-cyclodextrin inner hydrophobic cavity. The turquoise color forms part of the schematic representation of the hydrophilic exterior of β-cyclodextrin molecule.
Figure 9. Different esters encapsulated in the β-cyclodextrin inner hydrophobic cavity. The turquoise color forms part of the schematic representation of the hydrophilic exterior of β-cyclodextrin molecule.
Compounds 04 00037 g009
Figure 10. CNC-hydroxycinnamates grafted materials for anti-UV applications.
Figure 10. CNC-hydroxycinnamates grafted materials for anti-UV applications.
Compounds 04 00037 g010
Table 1. Representative structure of the review showing the hydroxycinnamic acid, its conjugate or encapsulation material, the property, intended or known application, and the corresponding references.
Table 1. Representative structure of the review showing the hydroxycinnamic acid, its conjugate or encapsulation material, the property, intended or known application, and the corresponding references.
Hydroxycinnamic AcidConjugation or EncapsulationPropertyApplicationReference
Ferulic acidω-hydroxyl fatty acidAntioxidantProtective effects against H2O2-induced myocardial cell injury in cultured H9c2 cells[11]
Caffeic acidω-hydroxyl fatty acidAntioxidantBiomedical/antioxidant based wound-healing patches[12,13]
Sinapic acid; p-coumaric acidMono(ω-hydroxyl fatty acyl) glycerolAntioxidant, AntimicrobialCosmetic ingredients[14]
Ferulic acid GlycerolAntioxidant, UV filterCosmetics and neuroprotection[15,16]
Sinapic acid; p-coumaric acidGlycerolAntioxidant; UV filter; solubilityCosmetic ingredient[17]
Caffeic acidGlycerolAntioxidant; UV filterCosmetic ingredient[18]
p-methoxy cinnamic acid; Ferulic acidMono-acyl and Di-acyl glycerolUV filter, emollient, antioxidantCosmetic ingredient[19,20,21]
p-methoxy cinnamic acid;Lesquerella and castor oilsUV filter; emollientCosmetic ingredient[22,23]
Ferulic acidIsosorbideUV filterCosmetic ingredient[24]
Ferulic acid; caffeic acidPolyethylene glycolAntioxidantFood additive; Neuroprotection[25,26]
Ferulic acid esters; Caffeic acid esterβ-cyclodextrin encapsulationSolubilityanti-inflammatory activity; anti-Leishmanial[27,28]
Ferulic acid ester; Ferulic acid; Sinapic acidAmylose/porous starch encapsulationAntioxidantModified starches; targeted colon delivery[29,30,31,32,33]
Diethyl ferulate; diethyl sinapateCellulose nanofibersAntioxidant, UV filterCosmetic ingredient[34,35]
Disclaimer/Publisher’s Note: The statements, opinions and data contained in all publications are solely those of the individual author(s) and contributor(s) and not of MDPI and/or the editor(s). MDPI and/or the editor(s) disclaim responsibility for any injury to people or property resulting from any ideas, methods, instructions or products referred to in the content.

Share and Cite

MDPI and ACS Style

Menezes, J.C.J.M.D.S.; Campos, V.R. Unlocking the Potential of Hydroxycinnamic Acid Bioconjugates: Tailored Derivatives for Biomedical, Cosmetic, and Food Applications. Compounds 2024, 4, 604-625. https://doi.org/10.3390/compounds4040037

AMA Style

Menezes JCJMDS, Campos VR. Unlocking the Potential of Hydroxycinnamic Acid Bioconjugates: Tailored Derivatives for Biomedical, Cosmetic, and Food Applications. Compounds. 2024; 4(4):604-625. https://doi.org/10.3390/compounds4040037

Chicago/Turabian Style

Menezes, José C. J. M. D. S., and Vinícius R. Campos. 2024. "Unlocking the Potential of Hydroxycinnamic Acid Bioconjugates: Tailored Derivatives for Biomedical, Cosmetic, and Food Applications" Compounds 4, no. 4: 604-625. https://doi.org/10.3390/compounds4040037

APA Style

Menezes, J. C. J. M. D. S., & Campos, V. R. (2024). Unlocking the Potential of Hydroxycinnamic Acid Bioconjugates: Tailored Derivatives for Biomedical, Cosmetic, and Food Applications. Compounds, 4(4), 604-625. https://doi.org/10.3390/compounds4040037

Article Metrics

Back to TopTop