MLens: Advancing the Real-Time Detection, Identification, and Counting of Pathogenic Microparasites Through a Web Interface
Abstract
1. Introduction
Background
2. Materials and Methods
2.1. Cnidaria: Myxozoa
2.2. Data Acquisition
2.3. Data Preprocessing
2.4. Labeling of Myxozoans
2.5. Quantitative Characteristics of the Dataset
2.6. Experimental Configuration
2.7. YOLOv5
2.8. Evaluation Metrics
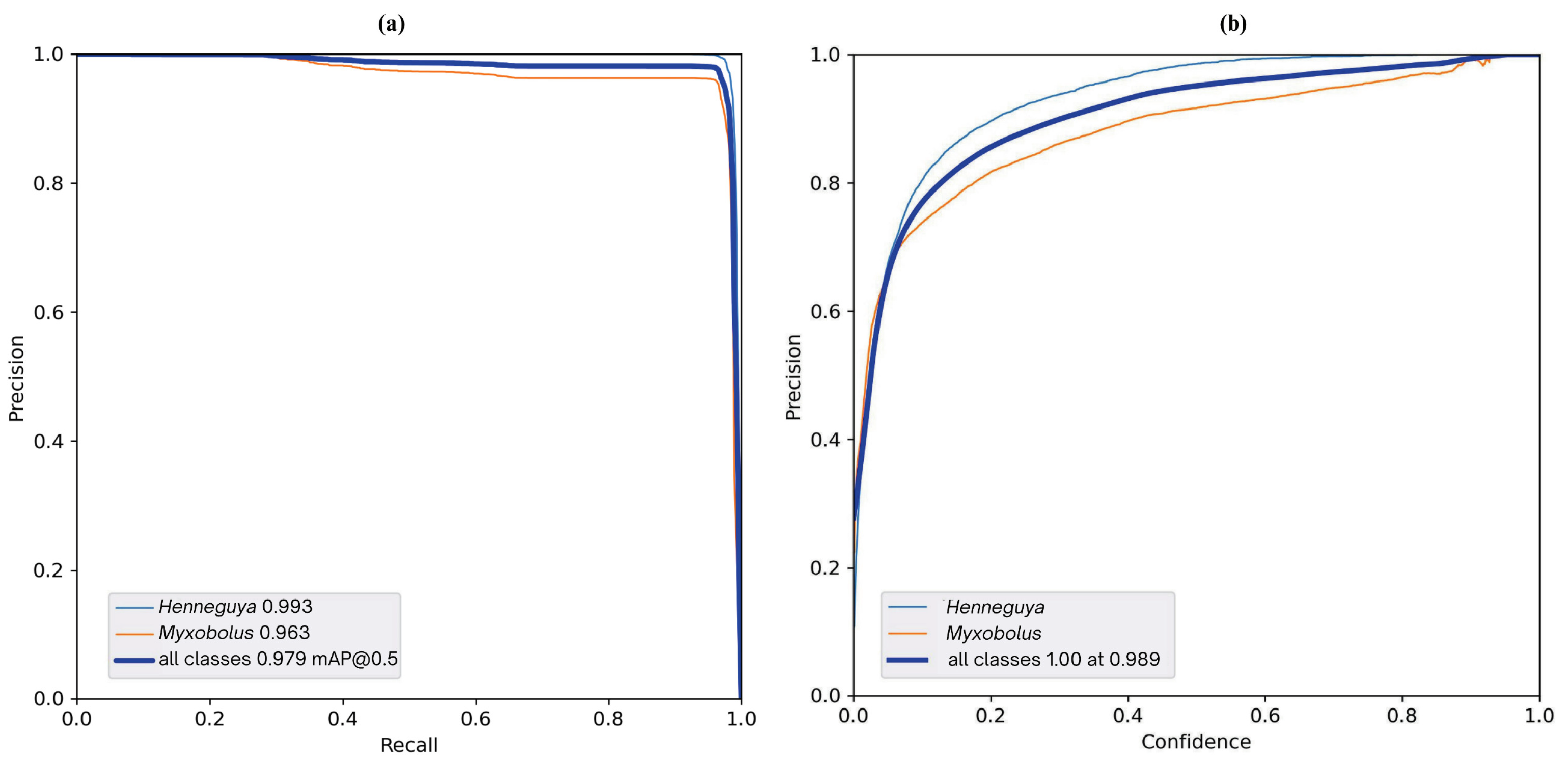
3. Results and Discussion
4. Conclusions
Author Contributions
Funding
Institutional Review Board Statement
Informed Consent Statement
Data Availability Statement
Conflicts of Interest
References
- Lom, J.; Dyková, I. Myxozoan genera: Definition and notes on taxonomy, life-cycle terminology and pathogenic species. Folia Parasitol. 2006, 53, 1–36. [Google Scholar] [CrossRef]
- Fiala, I.; Bartošová-Sojková, P.; Whipps, C.M. Classification and phylogenetics of Myxozoa. In Myxozoan Evolution, Ecology and Development; Okamura, B., Gruhl, A., Bartholomew, J.L., Eds.; Springer: Cham, Switzerland, 2015; pp. 85–110. [Google Scholar] [CrossRef]
- Jones, S.R.M.; Bartholomew, J.L.; Zhang, J.Y. Mitigating Myxozoan disease impacts on wild fish populations. In Myxozoan Evolution, Ecology and Development; Okamura, B., Gruhl, A., Bartholomew, J., Eds.; Springer: Cham, Switzerland, 2015. [Google Scholar] [CrossRef]
- Lom, J.; Arthur, J.R. A guideline for the preparation of species descriptions in Myxosporea. J. Fish Dis. 1989, 12, 151–156. [Google Scholar] [CrossRef]
- Carvalho, A.A.; Videira, M.N.; Bittencourt, L.S.; Araújo, P.G.; Ferreira, R.L.S.; Tavares, J.C.; Matos, E.R. Infection of Henneguya sp. on the gills of Metynnis lippincottianus from Curiaú River, in eastern Amazon region (Brazil). Braz. J. Vet. Parasitol. 2020, 29, 003320. [Google Scholar] [CrossRef] [PubMed]
- Zago, A.C.; Vieira, D.H.M.D.; Franceschini, L.; Silva, R.J. Morphological, ultrastructural, and molecular analysis of a new species of Myxobolus (Cnidaria, Myxosporea) parasitizing Apareiodon piracicabae (Characiformes, Parodontidae) from Brazil. Parasitol. Int. 2022, 88, 102556. [Google Scholar] [CrossRef] [PubMed]
- Okamura, B.; Gruhl, A.; Bartholomew, J.L. An Introduction to Myxozoan Evolution, Ecology and Development. In Myxozoan Evolution, Ecology and Development; Okamura, B., Gruhl, A., Bartholomew, J.L., Eds.; Springer: Cham, Switzerland, 2015. [Google Scholar] [CrossRef]
- Jerônimo, G.T.; da Cruz, M.G.; Bertaglia, E.d.A.; Furtado, W.E.; Martins, M.L. Fish parasites can reflect environmental quality in fish farms. Rev. Aquac. 2022, 14, 1558–1571. [Google Scholar] [CrossRef]
- Lauringson, M.; Kahar, S.; Veevo, T.; Silm, M.; Philpott, D.; Svirgsden, R.; Rohtla, M.; Päkk, P.; Gross, R.; Kaart, T.; et al. Spatial and intrahost distribution of myxozoan parasite Tetracapsuloides bryosalmonae among Baltic sea trout (Salmo trutta). J. Fish Dis. 2023, 46, 1073–1083. [Google Scholar] [CrossRef] [PubMed]
- De Moraes, A.L.Z.; Barbosa, L.V.F.; Del Grossi, V.C.D. Artificial Intelligence and Human Rights: Contributions to a Regulatory Framework in Brazil; Editora Dialética: São Paulo, Brazil, 2022; ISBN 9786525253725. [Google Scholar]
- Siqueira-Batista, R.; Vitorino, R.R.; Gomes, A.P.; Oliveira, A.D.P.; Ferreira, R.D.S.; Esperidião-Antonio, V.; Santana, L.A.; Cerqueira, F.R. Artificial neural networks and medical education. Rev. Bras. De Educ. Médica 2014, 38, 548–556. [Google Scholar] [CrossRef]
- Chen, L.; Li, S.; Bai, Q.; Yang, J.; Jiang, S.; Miao, Y. Review of image classification algorithms based on convolutional neural networks. Remote Sens. 2021, 13, 4712. [Google Scholar] [CrossRef]
- Yonck, R. Heart of the Machine: Our Future in a World of Artificial Emotional Intelligence; Arcade: New York, NY, USA, 2020; ISBN 9781628727374. [Google Scholar]
- Rahimzadeh, M.; Attar, A. A modified deep convolutional neural network for detecting COVID-19 and pneumonia from chest X-ray images based on the concatenation of Xception and ResNet50v2. Inform. Med. Unlocked 2020, 19, 100360. [Google Scholar] [CrossRef] [PubMed]
- Yaacoub, J.P.; Noura, H.; Salman, O.; Chealb, A. Security analysis of drones systems: Attacks, limitations, and recommendations. Internet Things 2020, 11, 100218. [Google Scholar] [CrossRef] [PubMed]
- Noever, D.; Noever, S.E.; Miller, M. Hunting with machine vision. arXiv 2021. [Google Scholar] [CrossRef]
- Carvalho, A.C.P. Inteligência artificial: Riscos, benefícios e uso responsável. Estud. Avançados 2021, 35, 21–36. [Google Scholar] [CrossRef]
- Candiotto, K.B.B.; Karasinski, M. Inteligência artificial e os riscos existenciais reais: Uma análise das limitações humanas de controle. Filos. Unisinos 2022, 23, e23307. [Google Scholar] [CrossRef]
- Keszthelyi, S.; Pónya, Z.; Csóka, A.; Bázar, G.; Morschhauser, T.; Donkó, T. Non-destructive imaging and spectroscopic techniques to investigate the hidden-lifestyle arthropod pests: A review. J. Plant Dis. Prot. 2020, 127, 283–295. [Google Scholar] [CrossRef]
- Zhao, Z.; Tang, J.; Zhang, Z.; Li, L.; Ding, Y. When self-supervised learning meets scene classification: Remote sensing scene classification based on a multitask learning framework. Remote Sens. 2020, 12, 3276. [Google Scholar] [CrossRef]
- Li, R. Artificial Intelligence Revolution: How AI Will Change Our Society, Economy, and Culture; Skyhorse Publishing: New York, NY, USA, 2020; ISBN 9781510753006. [Google Scholar]
- Zendehdel, N.; Chen, H.; Leu, M.C. Real-time tool detection in smart manufacturing using you-only-look-once (YOLO) v5. Manuf. Lett. 2023, 35, 1052–1059. [Google Scholar] [CrossRef]
- Sichman, J.S. Artificial intelligence and society: Advances and risks. Estud. Avançados 2021, 35, 37–50. [Google Scholar] [CrossRef]
- Lee, K.W. Augmenting or Automating? Breathing Life into the Uncertain Promise of Artificial Intelligence. Ph.D. Thesis, New York University, New York, NY, USA, 2022. [Google Scholar]
- Okamura, B.; Hartigan, A.; Naldoni, J. Extensive uncharted biodiversity: The parasite dimension. Integr. Comp. Biol. 2018, 58, 1132–1145. [Google Scholar] [CrossRef] [PubMed]
- Eiras, J.C.; Barman, G.D.; Chanda, S.; Panigrahi, A.K. An update of the species of Myxosporea (Cnidaria, Myxozoa) described from Indian fish. J. Parasit. Dis. 2023, 47, 12–36. [Google Scholar] [CrossRef] [PubMed]
- Elshahawy, M.; Elnemr, A.; Oproescu, M.; Schiopu, A.G.; Elgarayhi, A.; Elmogy, M.M. Early melanoma detection based on a hybrid YOLOv5 and ResNet technique. Diagnostics 2023, 13, 2804. [Google Scholar] [CrossRef]
- Shen, L.; Lang, B.; Song, Z. Ca-YOLO: Model optimization for remote sensing image object detection. IEEE Access 2023, 11, 26438–26450. [Google Scholar] [CrossRef]
- Wang, J.; Chen, Y.; Dong, Z.; Gao, M. Improved YOLOv5 network for real-time multiscale traffic sign detection. Neural Comput. Appl. 2023, 35, 7853–7865. [Google Scholar] [CrossRef]
- Du, J. Understanding of object detection based on CNN family and YOLO. J. Phys. Conf. Ser. 2018, 1004, 012029. [Google Scholar] [CrossRef]
- Kumar, S.; Arif, T.; Ahamad, G.; Chaudhary, A.A.; Khan, S.; Ali, M.A.M. An efficient and effective framework for intestinal parasite egg detection using YOLOv5. Diagnostics 2023, 13, 2978. [Google Scholar] [CrossRef] [PubMed]
- Giribet, G.; Edgecombe, G. The Invertebrate Tree of Life; JSTOR: New York, NY, USA, 2020. [Google Scholar] [CrossRef]
- Zatti, S.A.; Marinho, A.M.R.; Adriano, E.A.; Maia, A.A.M. Integrative taxonomy reveals a panmictic population of Henneguya longisporoplasma n. sp. (Cnidaria: Myxozoa) in the Amazon Basin. Acta Parasitol. 2022, 67, 1644–1656. [Google Scholar] [CrossRef]
- Okamura, B.; Gruhl, A. Myxozoa + Polypodium: A common route to endoparasitism. Trends Parasitol. 2016, 32, 268–271. [Google Scholar] [CrossRef] [PubMed]
- Bydder, M.; Rahal, A.; Fullerton, G.D.; Cooper, T.G. The magic angle effect: A source of artifacts, a determinant of image contrast, and a technique for imaging. J. Magn. Reson. Imaging Off. J. Int. Soc. Magn. Reson. Med. 2007, 25, 290–300. [Google Scholar] [CrossRef]
- Ghose, P.; Ghose, A.; Sadhukhan, D.; Pal, S.; Mitra, M. Improved polyp detection from colonoscopy images using finetuned YOLO-v5. Multimed. Tools Appl. 2024, 83, 42929–42954. [Google Scholar] [CrossRef]
- Ray, S.; Alshouiliy, K.; Agrawal, D.P. Dimensionality reduction for human activity recognition using Google Colab. Information 2020, 12, 6. [Google Scholar] [CrossRef]
- Liu, Q.; Zhang, Y.; Yang, G. Small unopened cotton boll counting by detection with MRF-YOLO in the wild. Comput. Electron. Agric. 2023, 204, 107576. [Google Scholar] [CrossRef]
- Xu, X.; Zhang, X.; Zhang, T. Lite-YOLOv5: A lightweight deep learning detector for on-board ship detection in large-scene Sentinel-1 SAR images. Remote Sens. 2022, 14, 1018. [Google Scholar] [CrossRef]
- Zhang, J.; Chen, Z.; Yan, G.; Wang, Y.; Hu, B. Faster and lightweight: An improved YOLOv5 object detector for remote sensing images. Remote Sens. 2023, 15, 4974. [Google Scholar] [CrossRef]
- Badgujar, C.M.; Poulose, A.; Gan, H. Agricultural object detection with You Only Look Once (YOLO) algorithm: A bibliometric and systematic literature review. Comput. Electron. Agric. 2024, 223, 109090. [Google Scholar] [CrossRef]
- Wu, D.; Jiang, S.; Zhao, E.; Liu, Y.; Zhu, H.; Wang, W.; Wang, R. Detection of Camellia oleifera fruit in complex scenes via YOLOv7 and data augmentation. Appl. Sci. 2022, 12, 11318. [Google Scholar] [CrossRef]
- Zhang, Y.; Wang, H.; Xu, R.; Yang, X.; Wang, Y.; Liu, Y. High-precision seedling detection model based on a multiactivation layer and depth-separable convolution using images acquired by drones. Drones 2022, 6, 152. [Google Scholar] [CrossRef]
- Isa, I.S.; Rosli, M.S.A.; Yusof, U.K.; Maruzuki, M.I.F.; Sulaiman, S.N. Optimizing the hyperparameter tuning of YOLOv5 for underwater detection. IEEE Access 2022, 10, 52818–52831. [Google Scholar] [CrossRef]
- Benjumea, A.; Aduen, I.; Cuzzolin, F.; Bradley, A. YOLO-Z: Improving small object detection in YOLOv5 for autonomous vehicles. arXiv 2021. [Google Scholar] [CrossRef]
- Wang, A.; Peng, T.; Cao, H.; Xu, Y.; Wei, X.; Cui, B. Tia-YOLOv5: An improved YOLOv5 network for real-time detection of crop and weed in the field. Front. Plant Sci. 2022, 13, 1091655. [Google Scholar] [CrossRef] [PubMed]
- Hasan, H.; Saad, F.; Ahmed, S.; Mohammed, N.; Farook, T.H.; Dudley, J. Experimental validation of computer-vision methods for the successful detection of endodontic treatment obturation and progression from noisy radiographs. Oral Radiol. 2023, 39, 683–698. [Google Scholar] [CrossRef]
- Huang, R.; Pedoeem, J.; Chen, C. YOLO-LITE: A real-time object detection algorithm optimized for non-GPU computers. In Proceedings of the 2018 IEEE International Conference on Big Data (Big Data), Seattle, WA, USA, 10–13 December 2018; pp. 2503–2510. [Google Scholar] [CrossRef]
- Redmon, J. YOLO: Real-Time Object Detection. Available online: http://pjreddie.com/yolo/ (accessed on 1 November 2024).
- Tong, K.; Wu, Y. Deep learning-based detection from the perspective of small or tiny objects: A survey. Image Vis. Comput. 2022, 123, 104471. [Google Scholar] [CrossRef]
- Fu, X.; Wei, G.; Yuan, X.; Liang, Y.; Bo, Y. Efficient YOLOv7-Drone: An enhanced object detection approach for drone aerial imagery. Drones 2023, 7, 616. [Google Scholar] [CrossRef]
- Cai, H.; Shangguan, H.; Wang, L. PC-Yolo: Enhanced YOLOv5-based defect detection system with improved partial convolution for ham sausage inspection. In Proceedings of the Fourth International Conference on Computer Vision and Pattern Analysis (ICCPA 2024), Anshan, China, 17–19 May 2024; pp. 451–459. [Google Scholar] [CrossRef]
- Ma, S.; Lu, H.; Liu, J.; Zhu, Y.; Sang, P. LAYN: Lightweight Multi-Scale Attention YOLOv8 Network for Small Object Detection. IEEE Access 2024, 12, 29294–29307. [Google Scholar] [CrossRef]
- Geng, X.; Su, Y.; Cao, X.; Li, H.; Liu, L. YOLOFM: An improved fire and smoke object detection algorithm based on YOLOv5n. Sci. Rep. 2024, 14, 4543. [Google Scholar] [CrossRef] [PubMed]
- Xiong, C.; Zayed, T.; Abdelkader, E.M. A novel YOLOv8-GAMWise-IoU model for automated detection of bridge surface cracks. Constr. Build. Mater. 2024, 414, 135025. [Google Scholar] [CrossRef]












| Genera | X | Y | W | H |
|---|---|---|---|---|
| 1 | 0.72500000 | 0.69609375 | 0.11718750 | 0.79609375 |
| 1 | 0.83125000 | 0.78437500 | 0.07343750 | 0.48437500 |
| 0 | 0.44140625 | 0.64765625 | 0.10625000 | 0.74765625 |
| Category Information Genera Labeled for YOLOv5 | ||||
|---|---|---|---|---|
| Henneguya | 0 | Myxobolus | 1 | |
| Model | Genus | Images | Parasites | Precision | Recall | mAP:50 | mAP:50–95 |
|---|---|---|---|---|---|---|---|
| YOLOv5l | All | 2000 | 12,386 | 0.974 | 0.967 | 0.980 | 0.892 |
| Henneguya | 2000 | 5396 | 0.994 | 0.970 | 0.993 | 0.905 | |
| Myxobolus | 2000 | 6990 | 0.954 | 0.965 | 0.966 | 0.879 | |
| YOLOv5m | All | 2000 | 12,386 | 0.972 | 0.957 | 0.976 | 0.860 |
| Henneguya | 2000 | 5396 | 0.995 | 0.951 | 0.990 | 0.876 | |
| Myxobolus | 2000 | 6990 | 0.949 | 0.962 | 0.962 | 0.844 | |
| YOLOv5n | All | 2000 | 12,386 | 0.928 | 0.895 | 0.943 | 0.727 |
| Henneguya | 2000 | 5396 | 0.976 | 0.852 | 0.947 | 0.74 | |
| Myxobolus | 2000 | 6990 | 0.880 | 0.938 | 0.939 | 0.713 | |
| YOLOv5s | All | 2000 | 12,386 | 0.948 | 0.935 | 0.964 | 0.954 |
| Henneguya | 2000 | 5396 | 0.985 | 0.915 | 0.974 | 0.815 | |
| Myxobolus | 2000 | 6990 | 0.911 | 0.954 | 0.954 | 0.780 |
Disclaimer/Publisher’s Note: The statements, opinions and data contained in all publications are solely those of the individual author(s) and contributor(s) and not of MDPI and/or the editor(s). MDPI and/or the editor(s) disclaim responsibility for any injury to people or property resulting from any ideas, methods, instructions or products referred to in the content. |
© 2025 by the authors. Licensee MDPI, Basel, Switzerland. This article is an open access article distributed under the terms and conditions of the Creative Commons Attribution (CC BY) license (https://creativecommons.org/licenses/by/4.0/).
Share and Cite
Carneiro, G.S.; Xavier, K.C.; Sindeaux-Neto, J.L.; Lima da Silva, A.d.S.; Oliveira da Silva, M.V. MLens: Advancing the Real-Time Detection, Identification, and Counting of Pathogenic Microparasites Through a Web Interface. Parasitologia 2025, 5, 50. https://doi.org/10.3390/parasitologia5040050
Carneiro GS, Xavier KC, Sindeaux-Neto JL, Lima da Silva AdS, Oliveira da Silva MV. MLens: Advancing the Real-Time Detection, Identification, and Counting of Pathogenic Microparasites Through a Web Interface. Parasitologia. 2025; 5(4):50. https://doi.org/10.3390/parasitologia5040050
Chicago/Turabian StyleCarneiro, Gustavo Souza, Karoliny Caldas Xavier, José Ledamir Sindeaux-Neto, Alanna do Socorro Lima da Silva, and Michele Velasco Oliveira da Silva. 2025. "MLens: Advancing the Real-Time Detection, Identification, and Counting of Pathogenic Microparasites Through a Web Interface" Parasitologia 5, no. 4: 50. https://doi.org/10.3390/parasitologia5040050
APA StyleCarneiro, G. S., Xavier, K. C., Sindeaux-Neto, J. L., Lima da Silva, A. d. S., & Oliveira da Silva, M. V. (2025). MLens: Advancing the Real-Time Detection, Identification, and Counting of Pathogenic Microparasites Through a Web Interface. Parasitologia, 5(4), 50. https://doi.org/10.3390/parasitologia5040050

