Next Article in Journal
A New Species of Cyphocaris Boeck, 1871 (Amphipoda: Lysianassoidea: Cyphocarididae): Found off the Rocas Atoll, Northeastern Brazil
Previous Article in Journal
Comparative Morphology, Phylogeny, Classification and Evolution of Interstitial Habits in Microcambevine Catfishes (Siluriformes: Trichomycteridae)
 
 
Font Type:
Arial Georgia Verdana
Font Size:
Aa Aa Aa
Line Spacing:
Column Width:
Background:
Article

Ceratozamia dominguezii (Zamiaceae): A New Cycad Species from Southeastern Mexico †

by
Miguel Angel Pérez-Farrera
1,2,*,
José Said Gutiérrez-Ortega
3,*,
Andrew P. Vovides
4,
Michael Calonje
5 and
Pedro Díaz-Jiménez
6
1
Laboratorio de Ecología Evolutiva, Herbario Eizi Matuda, Instituto de Ciencias Biológicas, Universidad de Ciencias y Artes de Chiapas, Tuxtla Gutiérrez 29039, Mexico
2
Facultad de Ciencias Naturales, Universidad Autónoma de Querétaro, Ave. De las Ciencias S/N, Santa Rosa Jáuregui 76230, Mexico
3
Institute for Excellence in Educational Innovation, Chiba University, Chiba 263-8522, Japan
4
Red de Biología Evolutiva, Instituto de Ecología, A.C., Xalapa 91073, Mexico
5
Montgomery Botanical Center, Coral Gables, FL 33156, USA
6
Centro de Investigaciones Tropicales, Universidad Veracruzana, Xalapa 91000, Mexico
*
Authors to whom correspondence should be addressed.
urn:lsid:ipni.org:names:77222683-1.
Taxonomy 2021, 1(4), 345-359; https://doi.org/10.3390/taxonomy1040026
Submission received: 14 October 2021 / Revised: 10 November 2021 / Accepted: 11 November 2021 / Published: 14 November 2021

Abstract

:
Ceratozamia dominguezii (Zamiaceae), a new species endemic to the lowland karstic tropical rainforests of southeastern Veracruz, Mexico, is described. The new species is part of the C. robusta species complex, a group of closely related species that share unique characteristics in the genus, such as robust trunks, large strobili, and long leaves. Compared with the other species in the complex (i.e., C. robusta, C. leptoceras, C. aurantiaca and C. subroseophylla), C. dominguezii has the longest rachides, and is characterized by having papyraceous leaflets, a unique caramel color in emerging leaves, and a dark-violet color in the central portion of distal faces of male and female sporophylls. Ceratozamia dominguezii occurs within the Uxpanapa floristic refuge, which is hypothesized to have sheltered a numerous group of tropical elements during the Neogene glaciations. The recognition of C. dominguezii contributes to clarifying the present diversity of cycads in the genus Ceratozamia, and adds discussion on the role of floristic refugia in the divergence of Neotropical plants in Mexico.

1. Introduction

Over a century and a half after the Neotropical genus Ceratozamia Brongn. was first established [1], only 12 species were recognized [2]. However, the pace of species discovery within the genus has accelerated considerably in recent years, with the number of accepted species nearly tripling to 34 since the year 2000 [3]. This notable burst of species discovery has been achieved through the efforts of researchers surveying previously unexplored areas for cycads as well as the critical examination of herbarium specimens (e.g., [4,5,6,7,8]). The increase in species discovery in recent years is consistent with the prediction by Walters et al. [9], who suggested that the number of species in Ceratozamia will approximate 40 once the field explorations and the taxonomic determinations of known populations are completed. Identifying the entirety of the constituent species within Ceratozamia will contribute to a better understanding of its evolutionary history, and this in turn will allow for the identification of evolutionarily significant units [10] within the genus to aid in future conservation efforts.
Species of the genus Ceratozamia can be found in a wide range of elevations, from 0 to 2000 m a.s.l., mainly in tropical forests, oak forests and cloud forests in mountainous regions of Mexico, Guatemala, Belize and Honduras [11]. Most species (26 of 34) occur in the States of Oaxaca, Chiapas and Veracruz, in southeastern Mexico: An area that represents the richest floristic region in the country [12]. This high biodiversity can be explained by the high neo- and paleoendemism [13] originated by processes of diversification mainly influenced by climatic fluctuations which occurred between 5 and 20 million years ago [14,15]. Indeed, Wendt [16] identified the mountains of Uxpanapa, Veracruz and the “arc area” (a mountain chain that extends from Uxpanapa to northern Chiapas) as one of several regions that could have served as refugia for warm-tropical communities during the glaciation cycles that took place from 20 million years to 10,000 years ago. Recent studies on cycads have supported this hypothesis [15,17,18]; yet little is known about the influence of these refugia on the evolution of Ceratozamia.
In the year 2000, we started reviewing the taxonomy and distribution of the Ceratozamia robusta Miq. species complex, a group of closely related species characterized by having robust trunks, large strobili, and long leaves [19]. The complex occurs in the mountainous areas of Chiapas, Guerrero, Oaxaca and Veracruz, Mexico and ranges into adjacent Guatemala and Belize (Figure 1). It is currently comprised of C. robusta, C. subroseophylla Mart.-Domínguez and Nic.-Mor., C. aurantiaca Pérez-Farr., Gut. Ortega, J.L. Haynes and Vovides, and C. leptoceras Mart.-Domínguez, Nic.-Mor., D.W.Stev and Lorea-Hern., the latter occurring in the State of Guerrero [20], each species distinguished from the others by qualitative and quantitative traits such as the color of emerging leaves, size and color of strobili, or size and shape of leaves and leaflets [8]. In the process of reviewing specimens of the C. robusta complex, we located a few specimens deposited at HEM, XAL and MEXU herbaria (acronyms according to [21]) which were collected in the floristic refuge of Uxpanapa (Veracruz) and required closer scrutiny to ensure its taxonomic status. These plants, previously identified as C. robusta, were originally discovered and first collected in 1975 by Dr. Mario Vázquez Torres of the Institute of Biological Sciences of Universidad Veracruzana.
In mid-2019, we located populations of this Ceratozamia in the wild in order to better understand its variation and ecology and collect more specimens. At this time, we observed that the plants from Uxpanapa appeared to differ from the contemporary circumscription of C. robusta. For example, the leaves of these plants were larger than those of any other known species in the genus (Figure 2). Additionally, the distal sporophyll faces of mature seed and pollen strobili were a dark-violet color that fades to yellowish-brown at the margin, a distinct difference to the brownish margins found in C. robusta. These observations led us to consider the possibility that the plants from Uxpanapa could represent a new species. Previous studies of C. robusta sensu lato have led to the discovery of new species [7,8], so we tested whether this was also the case for populations from Uxpanapa, by evaluating their morphological variation and testing its delimitation as a species when compared to other species within the C. robusta species complex.

2. Materials and Methods

The morphological variation among species in the C. robusta species complex and the new putative taxon (Table 1, Figure 1) was first evaluated through the observation of qualitative diagnostic characters related to the trunk, leaves and leaflet shape and texture (Table 2), as they were effective in distinguishing the different taxa in the complex [8]. Additionally, we measured seven leaf and leaflet traits commonly used as diagnostic characters in Ceratozamia [7,8] and compared them among species (Table 3). For this, we measured the seven traits on 15 adult plants from one population from Uxpanapa, and added it to the dataset used in Pérez-Farrera et al. [8], which included data for the species C. robusta, C. subroseophylla and the recently described species C. aurantiaca.
We performed the following statistic tests as implemented in PAST v.3.4 [22] to determine whether the morphometric variation can distinguish between species. For the univariate analyses, the Welch’s ANOVA was used to test whether the means of the trait variation across species was significantly different. Additionally, for each trait, the Tukey’s Q of pairwise differentiation between species was calculated to distinguish which traits significantly differ in one species with respect to the others. For multivariate analyses, a linear discriminant analysis (LDA) was conducted to test the whether the overall variation among species can distinguish the four species determined a priori; namely the putative new species from Uxpanapa, and the three species in the C. robusta species complex. The pairwise Mahalanobis distances were calculated to test whether the four species are significantly separated, which would imply morphological differentiation completely sorted among species. The information of three more traits (H: Height of trunk; I: Diameter of trunk; J: Number of leaves) were added to the dataset because we noticed in preliminary runs that they improved to separate the groups in the LDA and other multivariate analyses. However, we had information of these traits for C. robusta and C. aurantiaca, and we were unable to obtain data for these traits in the other species.

3. Results

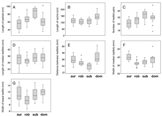
The putative new species from Uxpanapa can be distinguished from each of the three compared species utilizing different qualitative traits (Table 2). Most remarkable is the unique caramel color (similar to light-brown) of the emerging leaves, which are orange in C. aurantiaca, yellowish-brown in C. subroseophylla, reddish-brown in C. robusta and green to copper-green in C. leptoceras. Likewise, the measurements of morphometric traits were informative to understand general differences between the putative new species in respect to three closely related species in the C. robusta species complex (Table 3, Figure 3). The plants from Uxpanapa have the longest rachides (mean = 172.83 ± 35.30 cm), longer distances between median leaflets (mean = 40.05 ± 10.53 mm), and widest basal leaflets (mean = 11.77 ± 1.47 mm) among the examined species. C. subroseophylla presents the longest petioles (mean = 84.46 ± 11.93 cm), the most leaflet pairs (34.9 ± 5.3) and the longest median leaflets (mean = 34.70 ± 4.45 cm). C. aurantiaca has the widest median leaflets (mean = 40.11 ± 3.85 mm). Surprisingly, C. robusta, although it has been historically considered as the largest sized species (due to its long leaves and robust trunks) in the genus [23], did not rank first in any of the examined traits.
The ANOVA test demonstrated that six of the seven quantitative traits have significantly different mean values among the four compared species (Table 4). The length of median leaflets showed no significant differentiation (p = 0.1908), suggesting that this trait has little diagnostic utility within the C. robusta species complex. The Tukey’s Q values of pairwise differentiation gave more detailed information on how the examined species can be distinguished (Table 5). Concordant with our prior observations, the plants from Uxpanapa were found to have significantly longer rachides than the other species (Figure 2 and Figure 3B, Table 5). In addition, the plants from Uxpanapa have significantly longer rachides than C. aurantiaca (p < 0.005), significantly longer distance between median leaflets than C. robusta (p < 0.005) and C. subroseophylla (p < 0.001), and significantly narrower median leaflets (p < 0.05) and wider basal leaflets than C. robusta (p < 0.005).
The LDA summarized the total variation among species in three axes, each representing 68.97% (axis 1), 22.35% (axis 2) and 8.683% (axis 3) of the total variation. Axis 1 clearly separates C. subroseophylla from C. robusta, C. aurantiaca and the plants from Uxpanapa (Figure 4A). The longest biplots B and E suggest that the length of rachis and the distance between median leaflets were the main traits that dispersed the four groups. Axes 2 and 3 do not improve the segregation, showing that a few individuals from Uxpanapa overlap with the convex hulls of C. aurantiaca (Figure 4B). The confusion matrix obtained from LDA (Table 6) confirmed that only two individuals from Uxpanapa may be confused with either C. aurantiaca (1 individual) or C. robusta (1 individual). Additionally, one individual of C. aurantiaca may be confused as the putative species from Uxpanapa. However, the squared Mahalanobis distances were significantly high in all pairwise comparisons, suggesting that the overall morphometric variation is completely sorted among the examined taxa, confirming that the population from Uxpanapa represents a different species (Table 7).
In summary, the presented evidence suggests that the plants from Uxpanapa, Veracruz, have the longest leaves within the C. robusta species complex, when compared to the type population of each species. Additionally, overall, plants look similar to C aurantiaca but have leaflets with a papyraceous (vs. coriaceous) texture, and emergent leaves that are of a unique caramel color not found in other members of the group. Additionally, the central portion of distal faces of the sporophylls of both the pollen and seed cones of the Uxpanapa plants are dark-violet that fades to yellowish-brown towards the margins, a unique trait within the genus. Because this suite of characters distinguishes these plants from the rest in the genus, we propose that the Ceratozamia populations from Uxpanapa should be recognized as a new species, and we name it as Ceratozamia dominguezii sp. nov.
New species description:
Ceratozamia dominguezii Pérez-Farr. and Gut.-Ortega sp. nov. (Figure 5, Figure 6, Figure 7, Figure 8 and Figure 9).
Holotype:—MEXICO. Veracruz, Uxpanapa, 130 m a.s.l. Pérez-Farrera M.A, 29 May 2021, 4013 ♂, (HEM). Isotypes: (XAL; MEXU).
Ceratozamia dominguezii can be distinguished by having long rachides with very separated median leaflets, emergent leaves of caramel color, papyraceous leaflets, and distal faces of mega- and microsporophylls with a dark-violet color that fades to yellowish-brown at the margin.
Additional specimens examined:—MEXICO. Veracruz: Uxpanapa, 16 January 1975, Mario Vázquez 1760 (MEXU, XAL, MO); Jesús Carranza, 12 April 1982, Mario Vázquez et al., 2430 (MEXU); Jesús Carranza, 19 February 2009, David Jimeno DJS1045 (MEXU, UV); Uxpanapa, 8 May 2019, Miguel A. Pérez Farrera, Michael Calonje and Cesar Daniel Coutiño Ovando 3763 (HEM); 4 November 2019, Miguel A. Pérez Farrera and Hector Gómez Domínguez 3800 (HEM); 23 October 2020, Miguel A. Pérez Farrera and Héctor Gómez Domínguez 3868 (HEM); 4 September 2021 Miguel A. Pérez Farrera and Pedro Díaz Jiménez 4064 ♀ (HEM).
Plant rupicolous, arborescent, unbranching. Stem cylindrical, erect, sometimes decumbent with age, covered with persistent leaf bases, 32–132 cm tall, 20.69–30 cm in diameter. Cataphylls persistent, brown and densely tomentose at emergence, triangular apex acuminate. Leaves pinnate, 22–43 per crown, forming a semi-open crown, erect, ascending, olive green, keeled lightly in the basal part of leaves, 165.5–316.0 cm long, 50.4–68.4 cm wide, caramel color at emergence, turning green at maturity. Petiole terete, 35–103 cm long, densely armed with thick prickles. Rachis green, terete, 102–248 cm long, erect, with sparse prickles diminishing into the distal end of the rachis. Leaflets 15–37 pairs, papyraceous, subopposite to alternate in the basal part of the leaf, opposite to subopposite in the median part, linear, subfalcate to falcate, margin entire, apex acute to acuminate, asymmetric; base broad attenuate, articulation green adaxially, light green abaxially 0.85–1.4 cm wide, veins 30–33, parallel, inconspicuous, slightly translucent; median leaflets 25–43 cm long, 2.7–4.5 cm wide, spaced 2.7–6.2 cm between leaflets. Microstrobilus solitary, conical, erect, orange tomentose when emerging, 34–50 cm long, 5–6 cm diameter, peduncle densely tomentose, 8–9 cm long, 3 cm diameter. Microsporophyll cuneiform, 17.37–22.96 mm long, 8.79–13.38 mm wide, distal face bicornate, with dark-violet color at the central portion, which fades to brown-yellowish towards the margins, horns 1.5–2.7 mm long, separated by 120–135° angle, sporangia zone on abaxial surface 10.22–14.81 mm long, microsporangia 220–240 grouped in 3–4 per sorus. Megastrobilus solitary, cylindrical, erect, 44–48 cm long, 10–12 cm diameter; apex mucronate, light orange pubescent at emergence, peduncle tomentose, 7–9 cm long, 2.2–3.2 cm in diameter. Megasporophylls peltate, bicornate, 4–5.5 cm wide, 2.2–2.5 cm tall, distal face pubescent, when mature, distal face presents a dark-violet color at the central portion, which fades to brown-yellowish towards the margins (including horns). Seed ovoid, sarcotesta cream when immature, sclerotesta beige when mature, 1.5–2.0 cm diameter, 2.5–2.9 cm long, with micropylar ridges.
Habitat description: Ceratozamia dominguezii grows between 100 and 130 m a.s.l., in karst tropical forest, according to the vegetation classification of Rzedowski [24]. Associated flora includes Brosimum alicastrum Sw., Pseudobombax ellipticum (Kunth) Dugand, Swietenia macrophylla King, Bursera simaruba (L.) Sarg., Stenanona sp., Coccoloba sp., Amphitecna sp., Plumeria rubra L., Astrocaryum mexicanum Liebm. ex Mart., Chamaedorea ernesti-augustii H. Wendl., Ch. pinnatifrons H. Wendl., Ch. oblongata Mart., Ch. elatior Mart., Ch. tepejilote Liebm., Begonia nelumbonifolia Schltdl. and Cham., Anthurium pedatoradiatum Schott, A. schlechtendalii Kunth, Monstera deliciosa Liebm., and Philodendron radiatum Schott.
Etymology: the specific epithet was chosen to honor Héctor Gómez-Domínguez (M.Sc.), retired technician from the Eizi Matuda Herbarium (Chiapas) whose field explorations and specimen collections resulted in the discovery of several new cycad species from southern Mexico.

4. Discussion

Although the Ceratozamia populations from Uxpanapa, Veracruz, have historically been considered as C. robusta, our results demonstrate that the set of morphological traits presented by these populations are not consistent with the concept of C. robusta, as defined by plants occurring at or near its type locality. The neotype of C. robusta [25] is from Parque Nacional Cañón del Sumidero, northwest of Tuxtla Gutiérrez, Chiapas (Table 1), a locality that is relatively close to Uxpanapa (Figure 1). However, the plants from Uxpanapa (here recognized as C. dominguezii) have significantly longer rachides (Figure 3B), wider distances between leaflets along the rachis (Figure 3E), wider median leaflets (Figure 3F) and wider basal leaflets (Figure 3G, Table 5). This taxon is also distinguishable from C. robusta and the rest of the species in the complex based on qualitative traits (Table 2), most notable being the unique caramel color of emerging leaves (Figure 6), and the dark-violet coloration at the central portion of distal faces of strobili (Figure 7 and Figure 8).
The occurrence of C. dominguezii and the distribution of the other species in the C. robusta species complex can be informative about the evolutionary history of this group (Figure 1). The Isthmus of Tehuantepec has been identified as a main geographic barrier causing the divergence of lineages at either side [17]. Ceratozamia dominguezii and C. robusta occur at the eastern side of the isthmus, whereas C. subroseophylla, C. aurantiaca, and C. leptoceras occur at the western side. However, there is evidence of historical connectivities between the two sides. Wendt [16] identified that the regions of Uxpanapa (home of C. dominguezii), the northern mountains of Chiapas (home of C. robusta in Chiapas), as well as the Izabal floristic refugium region (home of C. robusta in Guatemala and Belize, Los Tuxtlas (home of C. subroseophylla), and the northern mountains of Oaxaca (home of C. aurantiaca) harbor highly similar karstic, tropical rainforests, although each with their own endemic species. These areas are thought to represent floristic refugia that allowed the persistence of paleoendemic groups such as Oreomunnea Oerst. and Ceratozamia [26] during the climatic fluctuations which occurred since the Miocene to the Late Pleistocene [16]. Events of vicariance in plant lineages inhabiting throughout these areas may have occurred during these times, since events of vicariance are expected to have influenced cycad divergence leading to speciation [15,17,18,27]. Future phylogenetic analyses may clarify the times of divergence, as well as its position and delimitation in the phylogeny of the genus.
To date, we have identified four populations of C. dominguezii in Uxpanapa, Veracruz, Mexico. However, Veracruz is one of the states with the highest deforestation rate in the country [28], and the forest of Uxpanapa is one of the most severely affected [29]. Uxpanapa also hosts two other cycad species: Ceratozamia euryphyllidia Vázq. Torres, Sabato and D.W.Stev., a distantly related species belonging to the C. miqueliana species complex [30,31], and Zamia purpurea Vovides, J.D.Rees and Vázq. Torres. Both species are listed as Critically Endangered in the Red List of the International Union for the Conservation of Nature [32]. We propose that C. dominguezii should be considered under the same status, CR, given the same threat and according to the criteria B2ab(i,ii,iii,iv,v) [32]. Conservation measures for in-situ protection and representation of this species in ex-situ collections are urgently necessary.

Author Contributions

Conceptualization, M.A.P.-F. and J.S.G.-O.; methodology, M.A.P.-F., J.S.G.-O., M.C., P.D.-J.; software, J.S.G.-O.; validation, M.A.P.-F., J.S.G.-O., M.C. and A.P.V.; formal analysis, J.S.G.-O.; investigation, M.A.P.-F., J.S.G.-O., M.C. and A.P.V.; resources, M.A.P.-F.; data curation, J.S.G.-O.; writing—original draft preparation, J.S.G.-O.; writing—review and editing, M.A.P.-F., J.S.G.-O., M.C., A.P.V., P.D.-J.; visualization, J.S.G.-O.; supervision, M.A.P.-F.; project administration, M.A.P.-F.; funding acquisition, M.A.P.-F. All authors have read and agreed to the published version of the manuscript.

Funding

Not applicable.

Data Availability Statement

Not applicable.

Acknowledgments

The authors thank José García González for providing photos, and Cesar Danial Coutiño Ovando and Alexis Fabian José Pérez for their support during fieldwork. Special thanks to Joaquín Cabrera Arguelles for facilitating and granting permissions to study the plants in his ranch. Funding for this research was provided by the Montgomery Botanical Center through the Plant Exploration Fund and an anonymous donor.

Conflicts of Interest

The authors declare no conflict of interest.

References

  1. Brongniart, A.T. Sur un noveau genre de cycadées du Mexique. Ann. Sci. Nat. Bot. Ser. 1846, 3, 5–9. [Google Scholar]
  2. Osborne, R.; Stevenson, D.W.; Hill, K.D. The world list of cycads. In Proceedings of the Fourth International Conference on Cycad Biology (CYCAD 96), Panzhihua, China, 1–5 May 1996; Chen, C.J., Ed.; International Academic Publishers: Beijing, China, 1999; pp. 224–239. [Google Scholar]
  3. Calonje, M.; Stevenson, D.W.; Osborne, R. The World List of Cycads, Online Edition. 2021. Available online: http://www.cycadlist.org (accessed on 19 September 2021).
  4. Martínez-Domínguez, L.; Nicolalde-Morejón, F.; Vergara-Silva, F.; Stevenson, D.W. Taxonomic review of Ceratozamia (Zamiaceae) in the Sierra Madre Oriental, Mexico. PhytoKeys 2018, 100, 91–124. [Google Scholar] [CrossRef] [PubMed]
  5. Haynes, J.L.; Whitelock, L.M.; Schutzman, B.; Adams, R. A new endemic Ceratozamia from Honduras (Cycadales: Zamiaceae). Cycads Newsl. 2008, 31, 16–21. [Google Scholar]
  6. Martínez-Domínguez, L.; Nicolalde-Morejón, F.; Vergara-Silva, F.; Stevenson, D.W. Integrative taxonomy of Mexican cycads: Biogeography, morphology and DNA barcoding corroborate a new sympatric species in Ceratozamia (Zamiaceae). Phytotaxa 2016, 268, 25–45. [Google Scholar] [CrossRef]
  7. Gutiérrez-Ortega, J.S.; Pérez-Farrera, M.A.; Vovides, A.P.; Chávez-Cortázar, A.; López, S.; Santos-Hernández, N.G.; Ruíz-Roblero, S.K. Ceratozamia sanchezae (Zamiaceae): A new cycad species from Chiapas Highlands (Mexico). Phytotaxa 2021, 500, 201–216. [Google Scholar] [CrossRef]
  8. Pérez-Farrera, M.A.; Gutiérrez-Ortega, J.S.; Haynes, J.L.; Chemnick, J.; Salas-Morales, S.H.; Calonje, M.; Vovides, A.P. Ceratozamia aurantiaca (Zamiaceae): A new cycad species from the northern rainforests of Oaxaca, Mexico. Taxonomy 2021, 1, 243–255. [Google Scholar] [CrossRef]
  9. Walters, T.; Osborne, R.; Decker, D. We hold these truths. In Cycad Classification: Concepts and Recommendations; Walters, T., Osborne, R., Eds.; CABI Publishing: Wallingford, UK, 2004; pp. 1–11. [Google Scholar]
  10. Moritz, C. Defining ‘evolutionarily significant units’ for conservation. Trends Ecol. Evol. 1994, 9, 373–375. [Google Scholar] [CrossRef]
  11. González, D.; Vovides, V.P. Low intralineage divergence in Ceratozamia (Zamiaceae) detected with nuclear ribosomal DNA ITS and chloroplast DNA trnL-F non-coding region. Syst. Bot. 2002, 27, 654–661. [Google Scholar] [CrossRef]
  12. Villaseñor, J.L. Checklist of the native vascular plants of Mexico. Rev. Mex. Biodivers. 2016, 87, 559–902. [Google Scholar] [CrossRef] [Green Version]
  13. Castillo-Campos, G.; Medina Abreo, M.; Dávila Aranda, P.D.; Zavala Hurtado, J.A. 2005 Contribución al conocimiento del endemismo de la flora vascular en Veracruz, México. Acta Botánica Mex. 2005, 73, 19–57. [Google Scholar] [CrossRef] [Green Version]
  14. Sosa, V.; De Nova, J.A.; Vásquez-Cruz, M. Evolutionary history of the flora of Mexico: Dry forests cradles and museums of endemism. J. Syst. Evol. 2018, 56, 523–536. [Google Scholar] [CrossRef]
  15. Gutiérrez-Ortega, J.S.; Salinas-Rodríguez, M.M.; Martínez, J.F.; Molina-Freaner, F.; Pérez-Farrera, M.A.; Vovides, A.P.; Matsuki, Y.; Suyama, Y.; Ohsawa, T.A.; Watano, Y.; et al. The phylogeography of the cycad genus Dioon (Zamiaceae) clarifies its Cenozoic expansion and diversification in the Mexican transition zone. Ann. Bot. 2018, 121, 535–548. [Google Scholar] [CrossRef] [PubMed]
  16. Wendt, T. Las selvas de Uxpanapa, Veracruz-Oaxaca, México: Evidencia de refugios florísticos cenozoicos. An. Inst. Biol. UNAM Ser. Bot. 1989, 58, 29–54. [Google Scholar]
  17. Gutiérrez-Ortega, J.S.; Salinas-Rodríguez, M.M.; Ito, T.; Pérez-Farrera, M.A.; Vovides, A.P.; Martínez, J.F.; Molina-Freaner, F.; Hernández-López, A.; Kawaguchi, L.; Nagano, A.J.; et al. Niche conservatism promotes speciation in cycads: The case of Dioon merolae (Zamiaceae) in Mexico. New Phytol. 2020, 227, 1872–1884. [Google Scholar] [CrossRef] [PubMed]
  18. Dorsey, B.L.; Gregory, T.J.; Sass, C.; Specht, C.D. Pleistocene diversification in an ancient lineage: A role for glacial cycles in the evolutionary history of Dioon Lindl. (Zamiaceae). Am. J. Bot. 2018, 105, 1512–1530. [Google Scholar] [CrossRef] [Green Version]
  19. Vovides, A.P.; Pérez-Farrera, M.A.; González, D.; Avendaño, S. Relationships and Phytogeography in Ceratozamia (Zamiaceae). In Cycad Classification: Concepts and Recommendations; Walters, T., Osborne, R., Eds.; CABI Publishing: Wallingford, UK, 2004; pp. 109–125. [Google Scholar]
  20. Martínez-Domínguez, L.; Nicolalde-Morejón, F.; Lorea-Hernández, F.G.; Vergara-Silva, F.; Stevenson, D.W. A novelty in Ceratozamia (Zamiaceae, Cycadales) from the Sierra Madre del Sur, Mexico: Biogeographic and morphological patterns, DNA barcoding and phenology. PhytoKeys 2020, 156, 1–25. [Google Scholar] [CrossRef]
  21. Thiers, B. Index Herbariorum: A Global Directory of Public Herbaria and Associated Staff. New York Botanical Garden’s Virtual Herbarium. 2020. Available online: http://sweetgum.nybg.org/science/ih/ (accessed on 8 November 2021).
  22. Hammer, Ø.; Harper, D.A.; Ryan, P.D. PAST: Paleontological statistics software package for education and data analysis. Palaeontol. Electron. 2001, 4, 9. [Google Scholar]
  23. Whitelock, L.M. The Cycads; Timber Press: Portland, OR, USA, 2002; p. 532. [Google Scholar]
  24. Rzedowski, J. Vegetación de México, 1ra. Edición digital ed; Comisión Nacional para el Conocimiento y Uso de la Biodiversidad: Mexico City, Mexico, 2006; p. 504. Available online: https://www.biodiversidad.gob.mx/publicaciones/librosDig/pdf/VegetacionMx_Cont.pdf (accessed on 14 October 2021).
  25. Stevenson, D.W.; Sabato, S. Typification of names in Ceratozamia Brongn., Dion Lindl., and Microcycas A. DC. (Zamiaceae). Taxon 1986, 35, 578–584. [Google Scholar] [CrossRef]
  26. Rzedowski, J.; Palacios-Chávez, R. El bosque de Engelhardtia (Oreomunnea) mexicana en la región de la Chinantla (Oaxaca, México)-una reliquia del Cenozoico. Boletín Soc. Botánica México 1977, 36, 93–127. [Google Scholar] [CrossRef]
  27. Mankga, L.T.; Yessoufou, K.; Mugwena, T.; Chitakira, M. The cycad genus Cycas may have diversified from Indochina and occupied its current ranges through vicariance and dispersal events. Front. Ecol. Evol. 2020, 8, 44. [Google Scholar] [CrossRef] [Green Version]
  28. López-Barrera, F.; Manson, R.H.; Landgrave, R. Identifying deforestation attractors and patterns of fragmentation for seasonally dry tropical forest in central Veracruz, Mexico. Land Use Policy 2014, 41, 274–283. [Google Scholar] [CrossRef]
  29. Hernández, I.U.; Ellis, E.A.; Gallo, C.A. Aplicación de teledetección y sistemas de información geográfica para el análisis de deforestación y deterioro de selvas tropicales en la región Uxpanapa, Veracruz. Geofocus (Informes y Aplicaciones) 2013, 13, 1–24. [Google Scholar]
  30. Medina-Villarreal, A.; González-Astorga, J.; de Los Monteros, A.E. Evolution of Ceratozamia cycads: A proximate-ultimate approach. Mol. Phylogenetics Evol. 2019, 139, 106530. [Google Scholar] [CrossRef] [PubMed]
  31. Vovides, A.P.; Pérez-Farrera, M.A.; Gutiérrez-Ortega, J.S.; Avendaño, S.; Medina-Villarreal, A.; González-Astorga, J.; Galicia, S. A revision of the Ceratozamia miqueliana (Zamiaceae) species complex based on analyses of leaflet anatomical characters. Flora 2020, 270, 151649. [Google Scholar] [CrossRef]
  32. IUCN. The IUCN Red List of Threatened Species. Version 2021-2. 2021. Available online: https://www.iucnredlist.org (accessed on 21 September 2021).
Figure 1. Distribution map of the known populations of the Ceratozamia robusta species complex. The putative new species from Uxpanapa (C. dominguezii sp. nov.) appears in the mid-portion of the distribution range (blue circle). Black circles surrounded by a dotted line indicate the occurrence of populations of C. robusta. The star symbol indicates the neotype locality of C. robusta (Parque Nacional Cañón del Sumidero, Chiapas, Mexico). The species C. aurantiaca, C. subroseophylla and C. leptoceras are also part of the species complex [8]. Green color scale indicates the elevation in meters above sea level (m a.s.l.) as recorded in the raster layers of 30 s resolution of the NASA Shuttle Radar Topographic Mission (SRTM) 90 m Digital Elevation Database v4.1 deposited in DIVA-GIS (https://www.diva-gis.org/; accessed on 14 October 2021).
Figure 1. Distribution map of the known populations of the Ceratozamia robusta species complex. The putative new species from Uxpanapa (C. dominguezii sp. nov.) appears in the mid-portion of the distribution range (blue circle). Black circles surrounded by a dotted line indicate the occurrence of populations of C. robusta. The star symbol indicates the neotype locality of C. robusta (Parque Nacional Cañón del Sumidero, Chiapas, Mexico). The species C. aurantiaca, C. subroseophylla and C. leptoceras are also part of the species complex [8]. Green color scale indicates the elevation in meters above sea level (m a.s.l.) as recorded in the raster layers of 30 s resolution of the NASA Shuttle Radar Topographic Mission (SRTM) 90 m Digital Elevation Database v4.1 deposited in DIVA-GIS (https://www.diva-gis.org/; accessed on 14 October 2021).
Taxonomy 01 00026 g001
Figure 2. The putative new cycad species from Uxpanapa, Veracruz, Mexico. (A) The plants from this locality resembles Ceratozamia robusta, but have significantly longer leaves, and papyraceous, smooth and wider leaflets that are more separated along the rachis. (B) The first author (M.A.P.-F.) showing the large size of leaves.
Figure 2. The putative new cycad species from Uxpanapa, Veracruz, Mexico. (A) The plants from this locality resembles Ceratozamia robusta, but have significantly longer leaves, and papyraceous, smooth and wider leaflets that are more separated along the rachis. (B) The first author (M.A.P.-F.) showing the large size of leaves.
Taxonomy 01 00026 g002
Figure 3. Morphometric variation among the four compared species: Ceratozamia aurantiaca (aur), C. robusta (rob), C. subroseophylla (sub), and the putative new species from Uxpanapa (dom; C. dominguezii sp. nov.). The plots (AG) correspond to the traits listed in Table 3. Whiskers indicate standard errors and circles and asterisks indicate outliers.
Figure 3. Morphometric variation among the four compared species: Ceratozamia aurantiaca (aur), C. robusta (rob), C. subroseophylla (sub), and the putative new species from Uxpanapa (dom; C. dominguezii sp. nov.). The plots (AG) correspond to the traits listed in Table 3. Whiskers indicate standard errors and circles and asterisks indicate outliers.
Taxonomy 01 00026 g003
Figure 4. Linear discriminant analysis plot showing the dispersion of the variation of individuals of four examined species. Plot (A) shows the variation dispersed along the two main axes (axes 1 and 2); plot (B) shows axes 1 and 3. Axes 1, 2, and 3 summarize 68.97%, 22.35% and 8.683% of the total variation. Biplots A–J represent the loading of each trait along the axes: A, length of petiole; B, length of rachis; C, number of leaflet pairs; D, length of median leaflets; E, distance between median leaflets; F, width of median leaflets; G, width of basal leaflets; H, high of trunk; I, diameter of trunk; J, number of leaves.
Figure 4. Linear discriminant analysis plot showing the dispersion of the variation of individuals of four examined species. Plot (A) shows the variation dispersed along the two main axes (axes 1 and 2); plot (B) shows axes 1 and 3. Axes 1, 2, and 3 summarize 68.97%, 22.35% and 8.683% of the total variation. Biplots A–J represent the loading of each trait along the axes: A, length of petiole; B, length of rachis; C, number of leaflet pairs; D, length of median leaflets; E, distance between median leaflets; F, width of median leaflets; G, width of basal leaflets; H, high of trunk; I, diameter of trunk; J, number of leaves.
Taxonomy 01 00026 g004
Figure 5. Ceratozamia dominguezii sp. nov. (A) Adult plant showing the open crown of erect leaves. (B) Apex of the semi-hypogeous robust trunk, details of long petioles armed with thick prickles, and microstrobilus. (C) Emerging leaf displaying distinctive caramel coloration. (D) Close-up of leaflets arrangement on the rachis. (E) Close-up of petiole bases.
Figure 5. Ceratozamia dominguezii sp. nov. (A) Adult plant showing the open crown of erect leaves. (B) Apex of the semi-hypogeous robust trunk, details of long petioles armed with thick prickles, and microstrobilus. (C) Emerging leaf displaying distinctive caramel coloration. (D) Close-up of leaflets arrangement on the rachis. (E) Close-up of petiole bases.
Taxonomy 01 00026 g005
Figure 6. Color variation in emerging leaves of Ceratozamia dominguezii sp. nov. (A) Emerging leaves of caramel color, (B,C) while maturing, leaves gradually acquire a green color.
Figure 6. Color variation in emerging leaves of Ceratozamia dominguezii sp. nov. (A) Emerging leaves of caramel color, (B,C) while maturing, leaves gradually acquire a green color.
Taxonomy 01 00026 g006
Figure 7. Reproductive structures of Ceratozamia dominguezii. (A) Male cone. (B) Female cone.
Figure 7. Reproductive structures of Ceratozamia dominguezii. (A) Male cone. (B) Female cone.
Taxonomy 01 00026 g007
Figure 8. Megastrobilus of Ceratozamia dominguezii. Note the distal faces of sporophylls of dark-violet color that fades to brown-yellowish towards the margins. (A) Lateral view of megastrobilus and peduncle. (B) View from above. (C) View from below. Scales = 10 cm.
Figure 8. Megastrobilus of Ceratozamia dominguezii. Note the distal faces of sporophylls of dark-violet color that fades to brown-yellowish towards the margins. (A) Lateral view of megastrobilus and peduncle. (B) View from above. (C) View from below. Scales = 10 cm.
Taxonomy 01 00026 g008
Figure 9. (A) Transversal view of megastrobili showing details of megasporophylls, abaxial side. (B) Megasporophylls: abaxial side (above) and adaxial side (below). Scales in both panels = 1 cm.
Figure 9. (A) Transversal view of megastrobili showing details of megasporophylls, abaxial side. (B) Megasporophylls: abaxial side (above) and adaxial side (below). Scales in both panels = 1 cm.
Taxonomy 01 00026 g009
Table 1. Species compared in this study. n = number of samples analyzed in morphometric analyses. The number of analyzed samples of Ceratozamia aurantiaca, C. robusta and C. subroseophylla correspond to those used in the study by Pérez-Farrera et al. [8].
Table 1. Species compared in this study. n = number of samples analyzed in morphometric analyses. The number of analyzed samples of Ceratozamia aurantiaca, C. robusta and C. subroseophylla correspond to those used in the study by Pérez-Farrera et al. [8].
SpeciesElevation (m a.s.l.)Localityn
Ceratozamia from Uxpanapa (C. dominguezii sp. nov.)130Uxpanapa, Veracruz, Mexico15
C. aurantiaca480Teutila, Sierra Norte, Oaxaca, Mexico16
C. robusta1200San Fernando, Parque Nacional Cañón del Sumidero, Chiapas, Mexico (neotype population)20
C. subroseophylla500Santiago Tuxtla, Veracruz, Mexico (type population)11
Table 2. Comparison of morphological traits variation among species of Ceratozamia robusta complex.
Table 2. Comparison of morphological traits variation among species of Ceratozamia robusta complex.
TraitCeratozamia from Uxpanapa (C. dominguezii sp. nov.)C. aurantiacaC. subroseophyllaC. robustaC. leptoceras
TrunkErect to decumbentErect to decumbentErect to decumbentErectErect to decumbent
Color of emerging leavesCaramel colorOrange-brown to orangeYellowish-brownReddish-brownGreen to copper-green
Crown of leavesOpenOpenOpenClosedOpen
Texture of leafletsPapyraceousCoriaceousPapyraceousPapyraceousMembranaceous
Veins in abaxial part of leafletsNot visibleNot visibleVisibleNot visibleVisible
Apex of female coneAcuminateMucronateMucronateAcuminateAcute
Table 3. Mean and standard deviation of measures of the seven quantitative traits examined in the four examined taxa. Bold texts in each column indicate the higher values among the four species. Note that the putative new species (Ceratozamia Uxpanapa) has the longer rachis, widest separation between median leaflets and widest basal leaflets.
Table 3. Mean and standard deviation of measures of the seven quantitative traits examined in the four examined taxa. Bold texts in each column indicate the higher values among the four species. Note that the putative new species (Ceratozamia Uxpanapa) has the longer rachis, widest separation between median leaflets and widest basal leaflets.
TraitCeratozamia from Uxpanapa (C. dominguezii sp. nov.)C. aurantiacaC. robustaC. subroseophylla
A (Length of petiole)60.82 (16.61)54.66 (13.11)67.6 (11.22)84.46 (11.93)
B (Length of rachis)172.83 (35.30)135.13 (28.26)126.91 (20.9)132.25 (28.26)
C (Number of leaflet pairs)31.14 (7.27)24.93 (4.611)28.85 (4.90)34.90 (5.30)
D (Length of median leaflets)34.6 (4.73)33.61 (5.90)32.07 (3.05)34.70 (4.45)
E (Distance between median leaflets)40.05 (10.53)35.91 (8.17)29.732 (4.745)23.006 (5.33)
F (Width of median leaflets)37.28 (5.96)40.11 (3.85)32.38 (3.07)34.12 (3.399)
G (Width of basal leaflets)11.77 (1.47)11.50 (2.45)9.2945 (1.46)11.29 (2.05)
Table 4. Morphometric differentiation of seven traits among the four Ceratozamia species examined. Overall differentiation estimated as Welch’s F in ANOVA and p-values are indicated. D.f. = degree freedom.
Table 4. Morphometric differentiation of seven traits among the four Ceratozamia species examined. Overall differentiation estimated as Welch’s F in ANOVA and p-values are indicated. D.f. = degree freedom.
KeyTraitFD.f.p
ALength of petiole12.727.96<0.001
BLength of rachis6.45527.780.001
CNumber of leaflet pairs8.68328.07<0.001
DLength of median leaflets1.69827.230.1908
EDistance between median leaflets13.0527.97<0.001
FWidth of median leaflets14.4528.48<0.001
GWidth of basal leaflets9.14728.07<0.001
Table 5. Pairwise Tukey’s Q values of differentiation between species of seven morphometric traits. Abbreviations: Traits A–G correspond to those listed in Table 3 and Table 4. *, p < 0.05; **, p < 0.005; ***, p < 0.001.
Table 5. Pairwise Tukey’s Q values of differentiation between species of seven morphometric traits. Abbreviations: Traits A–G correspond to those listed in Table 3 and Table 4. *, p < 0.05; **, p < 0.005; ***, p < 0.001.
Ceratozamia from Uxpanapa (C. dominguezii sp. nov.) vs. C. aurantiacaCeratozamia from Uxpanapa (C. dominguezii sp. nov.) vs. C. robustaCeratozamia from Uxpanapa (C. dominguezii sp. nov.) vs. C. subroseophyllaC. aurantiaca vs. C. robustaC. aurantiaca vs. C. subroseophyllaC. subroseophylla vs. C. robusta
ALength of petiole1.782 ns1.962 ns6.841 ***3.743 *8.622 ***4.879 **
BLength of rachis5.167 **6.294 ***5.562 **1.128 ns0.3951 ns0.7325 ns
CNumber of leaflet pairs4.28 *1.581 ns2.597 ns2.698 ns6.877 **4.179 *
DLength of median leaflets0.8264 ns2.131 ns0.09188 ns1.304 ns0.9183 ns2.223 ns
EDistance between median leaflets2.121 ns5.291 **8.74 ***3.17 ns6.619 **3.449 ns
FWidth of median leaflets2.599 ns4.496 *2.9 ns7.095 ***5.499 **1.596 ns
GWidth of basal leaflets0.5448 ns5.092 **0.9928 ns4.547 *0.4481 ns4.099 *
Table 6. Confusion matrix constructed with the linear discriminant analysis (LDA). Rows indicate given groups (number of individuals that we consider as C. aurantiaca, C. robusta, C. subroseophylla or C. dominguezii sp. nov., according to their population type) and columns indicate predicted groups by the LDA.
Table 6. Confusion matrix constructed with the linear discriminant analysis (LDA). Rows indicate given groups (number of individuals that we consider as C. aurantiaca, C. robusta, C. subroseophylla or C. dominguezii sp. nov., according to their population type) and columns indicate predicted groups by the LDA.
C. aurantiacaC. robustaC. subroseophyllaCeratozamia from Uxpanapa (C. dominguezii sp. nov.)Total
C. aurantiaca1500116
C. robusta1180120
C. subroseophylla0011011
Ceratozamia from Uxpanapa (C. dominguezii sp. nov.)1001415
Total1718111662
Table 7. Squared Mahalanobis distances (below the diagonal) and p values (above the diagonal) among the four examined species. All values are significant (p < 0.001), suggesting complete morphological sorting among species.
Table 7. Squared Mahalanobis distances (below the diagonal) and p values (above the diagonal) among the four examined species. All values are significant (p < 0.001), suggesting complete morphological sorting among species.
C. aurantiacaC. robustaC. subroseophyllaCeratozamia from Uxpanapa (C. dominguezii sp. nov.)
C. aurantiaca <0.001<0.001<0.001
C. robusta14.11 <0.001<0.001
C. subroseophylla28.37228.744 <0.001
Ceratozamia from Uxpanapa (C. dominguezii sp. nov.)14.01137.32730.915
Publisher’s Note: MDPI stays neutral with regard to jurisdictional claims in published maps and institutional affiliations.

Share and Cite

MDPI and ACS Style

Pérez-Farrera, M.A.; Gutiérrez-Ortega, J.S.; Vovides, A.P.; Calonje, M.; Díaz-Jiménez, P. Ceratozamia dominguezii (Zamiaceae): A New Cycad Species from Southeastern Mexico. Taxonomy 2021, 1, 345-359. https://doi.org/10.3390/taxonomy1040026

AMA Style

Pérez-Farrera MA, Gutiérrez-Ortega JS, Vovides AP, Calonje M, Díaz-Jiménez P. Ceratozamia dominguezii (Zamiaceae): A New Cycad Species from Southeastern Mexico. Taxonomy. 2021; 1(4):345-359. https://doi.org/10.3390/taxonomy1040026

Chicago/Turabian Style

Pérez-Farrera, Miguel Angel, José Said Gutiérrez-Ortega, Andrew P. Vovides, Michael Calonje, and Pedro Díaz-Jiménez. 2021. "Ceratozamia dominguezii (Zamiaceae): A New Cycad Species from Southeastern Mexico" Taxonomy 1, no. 4: 345-359. https://doi.org/10.3390/taxonomy1040026

APA Style

Pérez-Farrera, M. A., Gutiérrez-Ortega, J. S., Vovides, A. P., Calonje, M., & Díaz-Jiménez, P. (2021). Ceratozamia dominguezii (Zamiaceae): A New Cycad Species from Southeastern Mexico. Taxonomy, 1(4), 345-359. https://doi.org/10.3390/taxonomy1040026

Article Metrics

Back to TopTop