Ceratozamia aurantiaca (Zamiaceae): A New Cycad Species from the Northern Rainforests of Oaxaca, Mexico
Abstract
:1. Introduction
2. Materials and Methods
3. Results
3.1. Morphological Observations
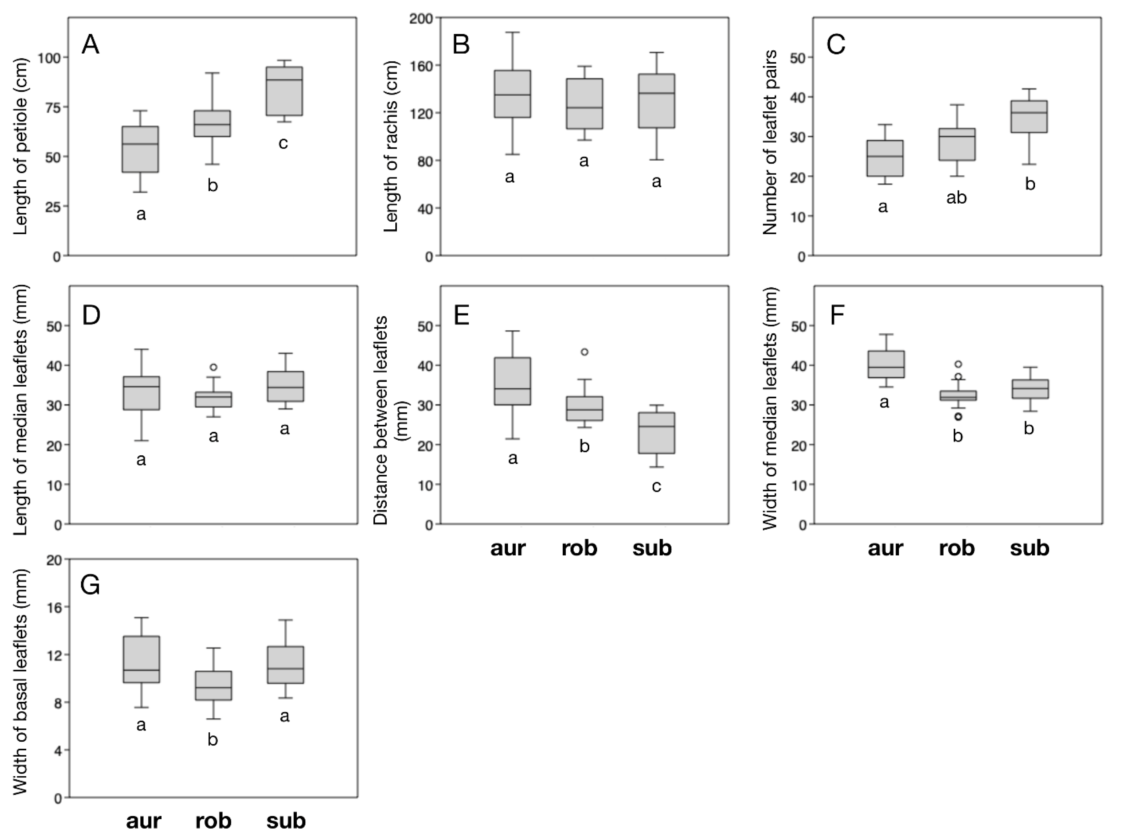
3.2. Morphometric Analyses
3.3. New Species Description
4. Discussion
Author Contributions
Funding
Institutional Review Board Statement
Informed Consent Statement
Data Availability Statement
Acknowledgments
Conflicts of Interest
Appendix A


References
- Calonje, M.; Stevenson, D.W.; Osborne, R. The World List of Cycads, Online Edition. 2021. Available online: http://www.cycadlist.org (accessed on 4 August 2021).
- Vovides, A.P.; Pérez-Farrera, M.A.; González, D.; Avendaño, S. Relationships and Phytogeography in Ceratozamia (Zamiaceae). In Cycad Classification: Concepts and Recommendations; Walters, T., Osborne, R., Eds.; CABI Publishing: Wallingford, UK, 2004; pp. 109–125. [Google Scholar] [CrossRef]
- Medina-Villarreal, A.; González-Astorga, J.; de Los Monteros, A.E. Evolution of Ceratozamia cycads: A proximate-ultimate approach. Mol. Phylogen. Evol. 2019, 139, 106530. [Google Scholar] [CrossRef] [PubMed]
- Walters, T.; Osborne, R.; Decker, D. ‘We Hold These Truths…’. In Cycad Classification: Concepts and Recommendations; Walters, T., Osborne, R., Eds.; CABI Publishing: Cambridge, UK, 2004; pp. 1–11. [Google Scholar] [CrossRef]
- Whitelock, L.M. The Cycads; Timber Press: Portland, OR, USA, 2002; p. 532. [Google Scholar]
- Stevenson, D.W.; Sabato, S. Typification of names in Ceratozamia Brongn., Dion Lindl., and Microcycas A. DC. (Zamiaceae). Taxon 1986, 35, 578–584. [Google Scholar] [CrossRef]
- Martínez-Domínguez, L.; Nicolalde-Morejón, F.; Vergara-Silva, F.; Stevenson, D.W. Integrative taxonomy of Mexican cycads: Biogeography, morphology and DNA barcoding corroborate a new sympatric species in Ceratozamia (Zamiaceae). Phytotaxa 2016, 268, 25–45. [Google Scholar] [CrossRef]
- Vovides, A.P.; Pérez-Farrera, M.A.; Gutiérrez-Ortega, J.S.; Avendaño, S.; Medina-Villarreal, A.; González-Astorga, J.; Galicia, S. A revision of the Ceratozamia miqueliana (Zamiaceae) species complex based on analyses of leaflet anatomical characters. Flora 2020, 270, 151649. [Google Scholar] [CrossRef]
- Martínez-Domínguez, L.; Nicolalde-Morejón, F.; Lorea-Hernández, F.G.; Vergara-Silva, F.; Stevenson, D.W. A novelty in Ceratozamia (Zamiaceae, Cycadales) from the Sierra Madre del Sur, Mexico: Biogeographic and morphological patterns, DNA barcoding and phenology. PhytoKeys 2020, 156, 1. [Google Scholar] [CrossRef] [PubMed]
- Gutiérrez-Ortega, J.S.; Pérez-Farrera, M.A.; Vovides, A.P.; Chávez-Cortázar, A.; López, S.; Santos-Hernández, N.G.; Ruíz-Roblero, S.K. Ceratozamia sanchezae (Zamiaceae): A new cycad species from Chiapas Highlands (Mexico). Phytotaxa 2021, 500, 201–216. [Google Scholar] [CrossRef]
- Pérez-Farrera, M.A.; Vovides, A.P.; Hernández-Sandoval, L.; González, D.; Martínez, M. A Morphometric Analysis of the Ceratozamia norstogii Complex (Zamiaceae). In Cycad Classification: Concepts and Recommendations; Walters, T., Osborne, R., Eds.; CABI Publishing: Wallingford, UK, 2004; pp. 127–136. [Google Scholar]
- Hammer, Ø.; Harper, D.A.; Ryan, P.D. PAST: Paleontological statistics software package for education and data analysis. Palaeontol. Electron. 2001, 4, 9. [Google Scholar]
- Wendt, T. Las selvas de Uxpanapa, Veracruz-Oaxaca, México: Evidencia de refugios florísticos cenozoicos. An. Inst. Biol. UNAM Ser. Bot. 1989, 58, 29–54. [Google Scholar]
- Gutiérrez-Ortega, J.S.; Salinas-Rodríguez, M.M.; Ito, T.; Pérez-Farrera, M.A.; Vovides, A.P.; Martínez, J.F.; Molina-Freaner, F.; Hernández-López, A.; Kawaguchi, L.; Nagano, A.J.; et al. Niche conservatism promotes speciation in cycads: The case of Dioon merolae (Zamiaceae) in Mexico. New Phytol. 2020, 227, 1872–1884. [Google Scholar] [CrossRef] [PubMed]
- Gutiérrez-Ortega, J.S.; Yamamoto, T.; Vovides, A.P.; Pérez-Farrera, M.A.; Martínez, J.F.; Molina-Freaner, F.; Watano, Y.; Kajita, T. Aridification as a driver of biodiversity: A case study for the cycad genus Dioon (Zamiaceae). Ann. Bot. 2018, 121, 47–60. [Google Scholar] [CrossRef] [PubMed] [Green Version]
- Gutiérrez-Ortega, J.S.; Molina-Freaner, F.; Martínez, J.F.; Pérez-Farrera, M.A.; Vovides, A.P.; Hernández-López, A.; Tezuka, A.; Nagano, A.J.; Watano, Y.; Takahashi, Y.; et al. Speciation along a latitudinal gradient: The origin of the Neotropical cycad sister pair Dioon sonorense-D. vovidesii (Zamiaceae). Ecol. Evol. 2021, 11, 6962–6976. [Google Scholar] [CrossRef]
- Whitelock, L.M. Range and variation in the genus Ceratozamia (Zamiaceae). Bot. Rev. 2004, 70, 235–239. [Google Scholar] [CrossRef]
- Calonje, M.; Meerow, A.W.; Griffith, M.P.; Salas-Leiva, D.; Vovides, A.P.; Coiro, M.; Francisco-Ortega, J. A time-calibrated species tree phylogeny of the New World cycad genus Zamia L. (Zamiaceae, Cycadales). Int. J. Plant Sci. 2019, 180, 286–314. [Google Scholar] [CrossRef] [Green Version]
- Gutiérrez-Ortega, J.S.; Salinas-Rodríguez, M.M.; Martínez, J.F.; Molina-Freaner, F.; Pérez-Farrera, M.A.; Vovides, A.P.; Matsuki, Y.; Suyama, Y.; Ohsawa, T.A.; Watano, Y.; et al. The phylogeography of the cycad genus Dioon (Zamiaceae) clarifies its Cenozoic expansion and diversification in the Mexican transition zone. Ann. Bot. 2018, 121, 535–548. [Google Scholar] [CrossRef]







| Species | Elevation (m a.s.l.) | Locality | n |
|---|---|---|---|
| C. aurantiaca | 480 | Teutila, Sierra Norte region, Oaxaca, Mexico | 16 |
| C. robusta | 1200 | San Fernando, Parque Nacional Cañón del Sumidero, Chiapas, Mexico (neotype population) | 20 |
| C. subroseophylla | 500 | Santiago Tuxtla, Veracruz, Mexico (type population) | 11 |
| Trait | C. aurantiaca | C. subroseophylla | C. leptoceras | C. robusta |
|---|---|---|---|---|
| Trunk | Erect to decumbent | Erect to decumbent | Erect to decumbent | Erect |
| Color of emerging leaves | Orange-brown to orange | Yellowish-brown | Green to copper-green | Reddish-brown |
| Crown of leaves | Open | Open | Open | Closed |
| Texture of leaflets | Coriaceous | Papyraceous | Membranaceous | Papyraceous |
| Veins on abaxial surface of leaflets | Not visible | Visible | Visible | Not visible |
| Apex of female cone | Mucronate | Mucronate | Acute | Acuminate |
| Key | Name Variable and Unit | F | d.f. | p | LD Axis Load |
|---|---|---|---|---|---|
| A | Length of petiole (cm) | 18.27 | 24.93 | 1.30 × 10−5 | 0.309 |
| B | Length of rachis (cm) | 0.503 | 23.15 | 0.6112 | −0.024 |
| C | Number of leaflet pairs | 12.53 | 24.81 | 0.0001735 | 0.103 |
| D | Length of median leaflets (mm) | 1.682 | 21.84 | 0.2092 | 0.032 |
| E | Distance between median leaflets (mm) | 12.56 | 23.87 | 0.0001877 | −0.278 |
| F | Width of median (mm) | 20.94 | 24.59 | 4.899 × 10−6 | −0.227 |
| G | Width of basal leaflets (mm) | 7.277 | 22.46 | 0.003662 | −0.033 |
| C. aurantiaca vs. C. robusta | C. aurantiaca vs. C. subroseophylla | C. subroseophylla vs. C. robusta | |
|---|---|---|---|
| A (length of petiole) | 4.121 * | 9.492 *** | 5.371 ** |
| B (length of rachis) | 1.247 | 0.4368 | 0.8097 |
| C (number of leaflet pairs) | 3.066 | 7.815 *** | 4.749 ** |
| D (length of median leaflets) | 1.317 | 0.927 | 2.244 |
| E (distance between median leaflets) | 3.804 * | 7.942 ** | 4.138 * |
| F (width of median leaflets) | 8.635 *** | 6.692 *** | 1.942 |
| G (width of basal leaflets) | 4.287 * | 0.4224 | 3.864 * |
| C. aurantiaca | C. robusta | C. subroseophylla | Total | |
|---|---|---|---|---|
| C. aurantiaca | 15 | 1 | 0 | 16 |
| C. robusta | 2 | 18 | 0 | 20 |
| C. subroseophylla | 0 | 0 | 11 | 11 |
| Total | 17 | 19 | 11 | 47 |
| C. aurantiaca | C. robusta | C. subroseophylla | |
|---|---|---|---|
| C. aurantiaca | - | 5.07 × 10−6 | 7.42 × 10−8 |
| C. robusta | 10.26 | - | 1.80 × 10−5 |
| C. subroseophylla | 7.35.56 | 13.32 | - |
Publisher’s Note: MDPI stays neutral with regard to jurisdictional claims in published maps and institutional affiliations. |
© 2021 by the authors. Licensee MDPI, Basel, Switzerland. This article is an open access article distributed under the terms and conditions of the Creative Commons Attribution (CC BY) license (https://creativecommons.org/licenses/by/4.0/).
Share and Cite
Pérez-Farrera, M.A.; Gutiérrez-Ortega, J.S.; Haynes, J.L.; Chemnick, J.; Salas-Morales, S.H.; Calonje, M.; Vovides, A.P. Ceratozamia aurantiaca (Zamiaceae): A New Cycad Species from the Northern Rainforests of Oaxaca, Mexico. Taxonomy 2021, 1, 243-255. https://doi.org/10.3390/taxonomy1030018
Pérez-Farrera MA, Gutiérrez-Ortega JS, Haynes JL, Chemnick J, Salas-Morales SH, Calonje M, Vovides AP. Ceratozamia aurantiaca (Zamiaceae): A New Cycad Species from the Northern Rainforests of Oaxaca, Mexico. Taxonomy. 2021; 1(3):243-255. https://doi.org/10.3390/taxonomy1030018
Chicago/Turabian StylePérez-Farrera, Miguel Angel, José Said Gutiérrez-Ortega, Jody L. Haynes, Jeff Chemnick, Silvia H. Salas-Morales, Michael Calonje, and Andrew P. Vovides. 2021. "Ceratozamia aurantiaca (Zamiaceae): A New Cycad Species from the Northern Rainforests of Oaxaca, Mexico" Taxonomy 1, no. 3: 243-255. https://doi.org/10.3390/taxonomy1030018
APA StylePérez-Farrera, M. A., Gutiérrez-Ortega, J. S., Haynes, J. L., Chemnick, J., Salas-Morales, S. H., Calonje, M., & Vovides, A. P. (2021). Ceratozamia aurantiaca (Zamiaceae): A New Cycad Species from the Northern Rainforests of Oaxaca, Mexico. Taxonomy, 1(3), 243-255. https://doi.org/10.3390/taxonomy1030018

