You are currently viewing a new version of our website. To view the old version click .
Mining
  • Article
  • Open Access

17 May 2022

Impacts from Topsoil Stockpile Height on Soil Geochemical Properties in Two Mining Operations in British Columbia: Implications for Restoration Practices

,
,
and
Department of Natural Resource Sciences and Biological Sciences, Faculty of Science, Thompson Rivers University, 805 TRU Way, Kamloops, BC V2C 0C8, Canada
*
Author to whom correspondence should be addressed.

Abstract

Mining activities are often severely disruptive to the landscape, and a major barrier to reclamation after mining is lack of quality topsoil. This research addresses knowledge gaps in the industry by exploring the compositional nature of topsoil stockpiles and their ability to facilitate post-mining revegetation after long-term storage. To do this, we conducted an extensive profile characterization of two topsoil stockpiles at two mining operations in the interior of British Columbia, where soil geochemical properties were investigated. Both stockpiles showed reduced soil quality and significant changes compared to reference soils. Importantly, there was an accumulation of metals and a reduction in soil nutrients with increasing stockpile depth in one or both stockpiles. These results highlight the important influence of topsoil-stockpile height on soil geochemical properties, which ultimately influences the success of restoration. This research provides insights into the response of soil geochemistry across a depth gradient in severely disturbed mining soils.

1. Introduction

Topsoil disturbance is one of the greatest hindrances to restoration success during mining operations. Therefore, salvaged topsoil is often stored and re-spread post-mining to help expedite ecological succession and return disturbed sites to a historic state. Native topsoil is a critical source of seeds and propagules and provides beneficial physical, chemical, and microbial properties for restoration and plant establishment. Successful plant community recovery has been reported from re-spreading topsoil stockpiles post-mining. For example, Hall et al. [1] found that plant species recovered by 66% for a forest ecosystem in the Appalachian Mountains, and Holmes [2] found 60% species recovery in a shrubland in South Africa. Unfortunately, topsoil salvage, storage, and replacement during mining operations can have adverse effects on soil quality [3,4,5,6,7,8,9]. Topsoil buried deep in a storage pile may become anaerobic, which alters physical, chemical, and biological components of the soil. Additionally, stripping, and relocating topsoil often results in severe compaction from heavy machinery. Moreover, the equipment often causes admixing topsoil with lower quality subsoil and parent materials during stripping, further degrading topsoil quality in stockpiles. Severely compacted soils are known to have lower oxygen levels, restricted root growth, poor drainage, and nitrogen loss from denitrification [3,10,11]. For example, Birnbaum et al. [12] found that 10-year-old stockpiles resulted in significantly lower plant biomass compared to plants grown on younger stockpiles.
Nutrient availability and suitable geochemical conditions (including salinity, electrical conductivity (EC) and pH) are critical for the establishment and sustainment of plant communities. Macronutrients (N, P, K, S, Mg, and Ca) and micronutrients (Fe, Mn, Zn, Cu, and B) in soil are required for plant health and growth, and the concentrations of these nutrients are commonly manipulated to achieve restoration goals. For example, organic amendments such as manure, biosolids, and wood chips are widely used to provide nutrients and to improve soil quality for restoration [13]. Gardner et al. [14] found that the application of biosolids on copper mine tailings significantly improved plant establishment by increasing nutrient availability. Because soil geochemical properties and nutrient levels impact restoration outcomes, understanding the content of salvaged topsoil for restoration purposes is critical.
This research investigated the geochemical changes occurring within soil stockpiles at two mine operations in the interior of British Columbia (B.C.) in an effort to understand how management impacts stockpile viability for reclamation. We conducted an extensive profile characterization of two topsoil stockpiles in the interior of B.C., where soil geochemical properties were studied. The aim was to investigate the topsoil stockpile restoration suitability and examine the impacts from stockpile height on soil quality for restoration success. The primary value of this work is assisting industrial operators to optimize topsoil stockpile assets and developing tools for assessing soil health that are directly relevant to reclamation practices.

2. Materials and Methods

2.1. Soil Sampling

New Gold’s New Afton copper-gold mine (Figure 1) is located approximately 10 km west of Kamloops in British Columbia’s (B.C.) Southern Interior, Canada, and within the traditional territories of the Tk’emlúps and Skeetchestn Bands. New Afton has a 6-year-old, 15 m-deep topsoil stockpile (50.654442, −120.509320). Because additional topsoil materials have been added throughout the mine life, the oldest soil is at the bottom of the stockpile, and the youngest soil is at the surface. Four soil cores were extracted via solid stem auger drilling by Geotech Drilling Ltd. (Prince George, BC, Canada) during 26–27 September 2018, with each core being approximately 3 m apart. The first 1.53 m was sampled in 0.3 m increments and then once every 0.3 m until the bottom at 13.7 m. Thus, sampling depths were at 0.3, 0.6, 0.9, 1.2, 1.5, 3.0, 4.6, 6.1, 7.6, 9.1, 10.7, 12.2 and 13.7 m. The outer 1 cm of each soil core was discarded to ensure that collected soil was not contaminated by upper layers. Soil from each depth was placed into two 1 L Whirl-Pak® bags as they were pulled up from the soil stockpile (approximately 2 kg per sample). Post-collection, samples were combined by depth as follows; 0.0–0.6 m, 0.6–1.5 m, 1.5–6.1.0 m, and 6.1–13.7 m. The soil stockpile at the time of sampling was sparsely vegetated. A nearby grassland site was sampled as a reference site, where approximately 6 kg of soil from the top 10 cm was collected.
Figure 1. Aerial image of the New Afton mine site, including a close-up of the topsoil stockpile of interest that shows the locations of four soil core samples. Map generated in QGIS® with Bing Virtual Earth background.
Barkerville Gold Mines’ Quesnel River (QR) mill (Figure 2) is located approximately 80 km east of the city of Quesnel in the southern interior of B.C., Canada and is situated in the traditional territories of the Secwépemc First Nation. QR mill has a 20-year-old, 6-m-deep topsoil stockpile (52.670306, −121.783556). Three soil pits approximately 100 m apart were dug using an excavator in May 2019 to access layers of the stockpile from the surface to the bottom at 5.75 m. In the field, soil was placed into two 1 L Whirl-Pak® bags as soil was removed from the stockpile (approximately 2 kg). The stockpile at the time of sampling had vegetation cover, including cottonwood stands. An adjacent undisturbed site was sampled as a reference site, where approximately 16 kg of soil from the top 0.1 m was collected. The samples from both stockpiles were stored in a −20 °C freezer to reduce loss of volatiles and minimize biodegradation [15] at Thompson Rivers University (TRU, Kamloops, BC, Canada) until analysis.
Figure 2. Aerial image of the QR mill, including a close-up of the topsoil stockpile of interest that shows the locations of three soil pit samples. Map generated in QGIS® with Bing VirtualEarth background.

2.2. Soil Tests

The elemental composition of the soil samples was measured at the Analytical Laboratory at the Ministry of Environment and Climate Change Strategy in Victoria, B.C (Table S1). The samples were prepared by heating soil samples at 70 °C for 24 h, followed by sieving through a 1 mm pan. Analyses included a profile of: total aluminum (Al), boron (B), calcium (Ca), copper (Cu), iron (Fe), magnesium (Mg), manganese (Mn), phosphorus (P), potassium (K), sulphur (S), and zinc (Zn) via acid microwave digestion followed by inductively coupled plasma–optical emission spectrometry [16], available P via Bray P-1 extraction ultraviolet analysis, [17], and available ammonium (NH4-N) and nitrate (NO3-N) via potassium chloride extraction [18]. Organic matter (OM) and moisture content were measured in house via loss-on-ignition, and soil-water pH (H2O) and electrical conductivity (EC) were determined using a Palintest® 800 m (Table S1). Loss-on-ignition testing consisted of weighing approximately 1.5 g soil into pre-weighed tins and then heating in succession at 105 °C then 500 °C for 12 and 5 h, respectively, until constant weights were achieved. After each succession, the dried soil was weighed to calculate water content and OM of the soil [19]. Total carbon (C), and nitrogen (N) was measured with a ThermoScientific CHNS Elemental Analyzer (Table S1). These samples were prepared by drying in an oven at 70 °C for 24 h followed by sieving through a 1 mm pan and grinding with a mortar and pestle.

2.3. Data Analysis

The depths sampled at New Afton were a function of the sampling ability of the auger drill used. Given the large depth range in each pooled sample used for geochemical analysis, stockpile depth was treated as categorical variable during data analysis. Conversely, QR mill soil samples were collected at a point depth for each soil pit. More soil samples were purposely taken near the surface of the stockpile; however, the exact depths sampled were largely driven by the sampling ability of the excavator. Because samples more closely represented a single depth, stockpile depth was treated as a numerical variable in the QR mill data analysis.
For analyzing stockpile depth effects on soil geochemical properties, a linear mixed effects regression was used that included depth as a fixed factor and soil cores or soil pits as a random factor (lme4 and lmertest in R). The reference soil characteristics were included in figures and analysis primarily as a benchmark and were not included in statistical testing. Residual plots of geochemical variables were used to determine if a log(x + 1) transformation was necessary. Al, Cu, Fe, Mg, Mn, Na, P, and NH4-N for the New Afton dataset, and Cu, S, Zn, NH4-N, NO3-N, OM, and C/N variables for the QR mill dataset, were log(x + 1) transformed. Multicollinearities between variables were tested using Spearman’s rank correlation in ‘varclus’ function in the nmle R package. The highly correlated (Spearman’s p2 > 0.7) Ca in the QR mill dataset was excluded. The compositions of all measured soil properties with depth were summarized using principal component analysis (PCA) on scaled geochemical variables (ggfortify in R). Values of variables below detection limits were set to have the value of the detection limit. The sodium absorption ratios (SAR) for reclamation suitability ratings were calculated using the following equation:
SAR = [ Na + ]   mmol   L 1 ( 0.5 × [ Ca + + Mg + ] ) 1 2   ( mmol   L 1 )

3. Results

In order to explore the effect of soil stockpile depth on geochemical properties, PCA plots were drawn (Figure 3 and Figure 4), illustrating that depth led to significant changes in soil properties at both New Afton (R2 = 0.15, p < 0.01) and QR mill (R2 = 0.28, p < 0.01). In New Afton, PC1 explained 34.7% of variation, and PC2 explained 19.7% of variation observed between samples (Figure 3). In QR mill, PC1 explained 32.9% and PC2 explained 18.5% (Figure 4). PCA clearly showed variations among different stockpile depths at QR mill, but not New Afton. Additionally, PCA clearly showed geochemical variations among the soil samples from stockpiles and reference soils at both sites. The corresponding reference soil properties from both sites were included on the PCA plots as a benchmark and not included in the principal component calculations. (Figure 3 and Figure 4).
Figure 3. PCA plot showing differences in soil chemical properties at New Afton with changing stockpile depth. PC1 accounts for 34.7% and PC2 accounts for 19.7% of variation observed between soil samples.
Figure 4. PCA plots showing differences in soil chemical properties at QR mill with changing stockpile depth. PC1 accounts for 32.9% and PC2 accounts for 18.5% of variation observed between soil samples.

3.1. Macronutrients

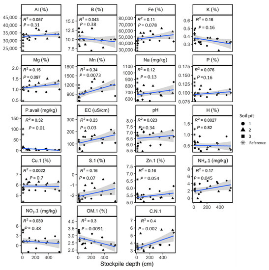
Soil NH4-N showed a notable increase below the 152–610 cm depth interval in the New Afton stockpile (Figure 5, p = 0.08) from an average of 0.27 mg/kg at 152–610 cm to 2.5 mg/kg at the bottom 610–1372 cm interval. NH4-N also increased significantly with depth in the QR mill topsoil stockpile (Figure 6, R2 = 0.18, p = 0.05) and ranged from 3.6 mg/kg to 18.8 mg/kg.
Figure 5. Boxplots showing differences in geochemical variables with stockpile depth at the New Afton site.
Figure 6. Linear regression plots showing changes in geochemical variables with stockpile depth at the QR mill site. The blue lines represent a linear model, and the shaded area in grey represents the 95% confidence intervals. Soil quality guidelines for agricultural land use.
Soil NO3-N decreased with depth in the New Afton stockpile (Figure 5, p = 0.04), from an average of 27 mg/kg and 30.5 mg/kg in the 0–61 cm and 61–152 cm, respectively, to 13.5 mg/kg at the bottom 610–1372 cm. The corresponding reference soil had a lower soil NO3-N content at 5.6 mg/kg. Conversely, at QR mill, there were no significant differences in soil NO3-N with depth (Figure 6, R2 = 0.02, p = 0.38), and the average range for NO3-N was between 7.5 mg/kg and 1.4 mg/kg. The reference soil for QR mill had a much higher level of soil NO3-N at 29.1 mg/kg.
There was no evidence that the C/N changed significantly with stockpile depth in New Afton (Figure 5, p = 0.11), ranging from 6.6 to 10.6, and similar to the reference soil. There was evidence that C/N increased with stockpile depth in the QR mill topsoil stockpile (Figure 6, R2 = 0.35, p < 0.01), ranging from 7.8 to 23.4. Generally, the reference soil (average C/N = 15.2) was most like the bottom half of the topsoil stockpile at the QR mill site.
There were no observed significant differences in total phosphorus (P) content or available P content in the New Afton topsoil stockpile (Figure 5, p = 0.63, p = 0.82, respectively). Total soil P content ranged between 0.1% and 0.13%, and available P content ranged from 1.1 mg/kg to 10 mg/kg in the New Afton stockpile. The corresponding reference soil for New Afton had an average total P content of 0.08% and available P content of 27.7 mg/kg. There was no evidence total P content changes significantly with depth (Figure 6, R2 = 0.076, p = 0.24); however, available P decreased steadily with increased stockpile depth (Figure 6, R2 = 0.37, p = 0.01). QR mill total soil P content range between 0.07% and 0.12% and available P content range from 0.41 mg/kg to 18 mg/kg. The corresponding reference soil for New Afton had an average total soil P content of 0.13% and an average available P content of 145 mg/kg (not shown in figure).
There was no evidence that potassium (K) levels changed significantly with stockpile depth in the New Afton (Figure 5, p = 0.39) and QR mill topsoil stockpile (Figure 6, R2 = 0.16, p = 0.08). Neither stockpile appeared to be notably different than their reference soils.
There was some evidence that soil sulphur (S) levels increased with depth in the New Afton stockpile (Figure 5, p = 0.06). After 0–61 cm depth, S increased by approximately 45% in the upper depth intervals. S was notably higher in the New Afton stockpile compared to the reference soil. There was also some evidence that S increased with depth in the QR mill stockpile (Figure 6, R2 = 0.16, p = 0.07). The QR mill stockpile generally has similar S levels to the reference soil.
There was very little evidence that magnesium (Mg) levels changed significantly with stockpile depth in the New Afton (Figure 5, p = 0.13) and QR mill topsoil stockpile (Figure 6, R2 = 0.16, p = 0.1). Additionally, both stockpiles appeared to have elevated levels of Mg compared to their respective reference soil.
There was very little evidence that calcium (Ca) levels changed significantly with stockpile depth in the New Afton (Figure 5, p = 0.41) and appeared to have elevated levels of Ca compared to the reference soil.

3.2. Micronutrients

There is some evidence that Fe levels increased with depth in New Afton (Figure 5, p = 0.07), where average Fe levels increased by 7% from the top of the stockpile (0–61 cm) to the bottom (610–1372 cm). Soil Fe was higher in the stockpile soil (ranging from 39,000 mg/kg to 44,000 mg/kg) compared to the reference soil (average = 30,666 mg/kg) in New Afton. Soil Fe levels did not change significantly with depth in QR mill samples (Figure 6, R2 = 0.11, p = 0.14), ranging from 40,000 mg/kg to 63,000 mg/kg. Iron was higher in the stockpile soil compared to the reference soil (average = 33,000 mg/kg) for QR mill.
There was no evidence that soil Mn changed significantly with stockpile depth in New Afton (Figure 5, p = 0.29). Soil Mn ranged from 870 mg/kg to 1000 mg/kg, and the corresponding reference soil for New Afton had an average Mn content of 660 mg/kg. There was evidence that soil Mn increased steadily with stockpile depth at QR mill (Figure 6, R2 = 0.34, p < 0.01) despite one outlier with 840 mg/kg Mn at 565 cm. Mn values ranged from 680 mg/kg to 1400 mg/kg and the corresponding reference soil for QR mill had an average Mn content of 1133 mg/kg.
There was evidence that soil Zn changes significantly with stockpile depth in New Afton (Figure 5, p < 0.01). Zinc increased from an average of 65.3 mg/kg at the surface to 71.0 mg/kg at the bottom of the stockpile, with a range from 58 mg/kg to 80.0 mg/kg. The corresponding reference soil for New Afton had an average Zn content of 79.7 mg/kg. There was evidence that Zn increased with stockpile depth in QR mill (Figure 6, R2 = 0.18, p = 0.05). Soil Zn ranged from 58.0 mg/kg to 140.0 mg/kg, and the corresponding reference soil for QR mill had an average Zn content of 154 mg/kg.
There was a spike of Cu at the 152–610 cm sample interval with an average of 495 mg/kg (up to 840 mg/kg was detected) in the New Afton stockpile compared to the rest of the stockpile (ranged from 120.0 mg/kg to 160.0 mg/kg, Figure 5, p < 0.01). There was some evidence Cu levels changed significantly with QR mill stockpile depth (Figure 6, R2 < 0.01, p = 0.9), and Cu content ranged from 83 mg/kg to 250 mg/kg.
There was no evidence that B changed significantly with stockpile depth in New Afton (Figure 5, p = 0.27). Boron ranged from 12.0 g/kg to 27.0 mg/kg, and the corresponding reference soil for New Afton had an average B content of 12.3 mg/kg. There was no evidence that soil Mn changed significantly with stockpile depth at QR mill (Figure 6, R2 = 0.04, p = 0.38), ranging from 7.0 mg/kg to 13.0 mg/kg with the corresponding reference soil for QR mill had an average of 11.6 mg/kg.

3.3. Salt Content

After a 16% decrease in soil EC at the surface to 1190.6 µS/cm, EC increased to an average of 1445.8 µS/(Figure 5, p = 0.01) in the New Afton stockpile. The New Afton stockpile had notably higher EC levels than the reference soil (average 67.3 µS/cm). There was evidence that soil EC increased significantly with stockpile depth at QR mill (Figure 6, R2 = 0.23, p = 0.03), ranging from 39.6 µS/cm to 217.0 µS/cm. The QR mill stockpile had similar EC content to the reference soil (average 119.4 µS/cm). Based on the reclamation suitability ratings for EC, the New Afton stockpile was rated as fair at all depths and the QR mill stockpile was rated as good at all depths (Table 1).
Table 1. Reclamation suitability ratings for the topsoil stockpiles in grassland (New Afton) and forested (QR mill) ecosystems. G = good; F = fair; P = poor; U = unsuitable [20].
Despite a 20% decrease at the 152–610 cm depth interval, Na increased with depth, from 2200 mg/kg average at the surface (0–60 cm) to 3025 mg/kg average at the bottom (610–1372 cm) interval (Figure 5, p = 0.01) for the New Afton site. The corresponding reference soil had a lower Na content at an average of 766.7 mg/kg. There were no significant changes in soil Na observed in the QR mill stockpile with values ranging from 570 mg/kg to 810 mg/kg, and the reference soil had an average soil Na of 840 mg/kg (Figure 6, R2 = 0.12, p = 0.13). Based on the reclamation suitability ratings for SAR, the New Afton stockpile was rated as poor or unsuitable at all depths, and the QR mill stockpile was rated as fair at all depths (Table 1).

3.4. PH

There was evidence of significant differences in pH with stockpile depth at New Afton (Figure 5, p = 0.03). The topsoil stockpile at New Afton was slightly alkaline, with pH values ranging from 8.0 to 8.3; the corresponding reference soil had an average pH of 7.3. Average pH was lowest at the bottom of the stockpile (pH 8) and highest in the 152–610 cm depth interval (pH 8.18). The QR mill stockpile soil was acidic to neutral and ranged from pH 5.4 to 7.3, with no evidence of significant changes in pH with soil depth (Figure 6, R2 = 0.02, p = 0.52), while the corresponding reference soil had an average pH of 5.63. Based on the reclamation suitability ratings for pH, the New Afton stockpile was rated as fair at all depths, and the QR mill stockpile was rated as good or fair at varying depths (Table 1).

3.5. Organic Matter

There was no evidence of significant changes in soil OM content with depth in the New Afton stockpile (Figure 5, p = 0.43). Soil OM ranged from 1.6% to 4.0%, and the corresponding reference soil had an average soil OM at 3.3%. Conversely, there was an immediate decrease in soil OM moving away from the surface of the QR mill stockpile after 20 cm (Figure 6, R2 = 0.28, p = 0.02). Soil OM values ranged between 2.7% and 11.1%, and the reference soil had an average soil OM content of 10.2%.

4. Discussion

To assess the effect of stockpile storage height on topsoil quality, macronutrients, micronutrients, salt content, pH, and organic matter were measured at varying depths from the topsoil stockpiles at New Afton and QR mill.

4.1. Macronutrients

Nitrogen is one of the most limiting nutrients for plant growth and primary productivity. Plants acquire nitrogen from the soil, mainly in the form of NH4-N and NO3-N, although NO3-N is the preferable form for take-up by plants. Microbial decomposition converts organic nitrogen into bioavailable NH4-N (mineralization) and, furthermore, through a two-step process, nitrifying bacteria can then oxidize NH4-N into bioavailable NO3-N (nitrification). Nitrate often dominates in aerobic soils, while NH4-N tends to be more prevalent in acidic and anaerobic soils [21]. The soil N results in this study are generally consistent with other research. For example, two soil restoration studies at coal mine sites [6,22] found that when soil was stockpiled in piles that were more than 100 cm high, there was a large accumulation of NH4-N (up to 70 mg/kg) in the topsoil. Conversely, there is evidence of little variation in the amount of NO3-N and NH4-N [3]. Our results showed evidence of NH4-N accumulation in both the New Afton (at and below 610 cm) and QR mill (at and below 100 cm) topsoil stockpiles, which may indicate anoxic conditions at these depths. The increasing C/N ratio in the QR mill stockpile supports this theory as it indicates lower rates of microbial decomposition [4]. Because of the high pH levels in the New Afton stockpile, the accumulation of NH4-N from anaerobic conditions may have been lessened and resulted in retention of NO3-N. In contrast, NH4-N dominated in QR mill topsoil stockpile, especially below 100 cm. This difference in stockpiles may be a function of site age; the QR mill stockpile was approximately 14 years older than the New Afton stockpile, allowing more time for denitrification of NO3-N to NH4-N. Alternatively, the differences may be result of site factors including soil pH, climate, and geological history. In general, NO3-N content for stockpile samples from New Afton were quite high (often higher than 10 mg/kg) compared to the reference soil, thus, levels will likely be sufficient for revegetation upon re-spreading even with the low NH4-N content. Conversely, the NO3-N content in the QR mill stockpile was low (often below 2 mg/kg) compared to the reference levels, whereas NH4-N content was mostly above reference levels.
Phosphorus is an essential nutrient for plant structures, is necessary for various biochemical reactions, and is typically taken up as H2PO4. Only the QR mill topsoil stockpile showed a decreasing trend in available P with depth, perhaps due to stockpile age. This was likely a result of immobilization by soil microbes in anoxic conditions within the stockpile, corresponding with the decrease in OM. This finding is consistent with other research; for example, one study found that soil N and P decreased with depth in claypan soils [23]. According to the Interpretations for Soil Test Phosphorus and Potassium Guidelines for Southern British Columbia [24] document, both topsoil stockpiles characterized here are classified as having low concentrations of available P (5–19 ppm). The New Afton reference soil had a medium (20–39 ppm) concentration, and the QR mill reference soil had high (>100 ppm) levels of available P. Because P availability is pH-dependent, the available P reduction in the New Afton topsoil may be linked to the alkaline soil conditions. In alkaline soils, (pH > 7), P precipitates with Ca, reducing availability [25]. Deficiency in soil P generally results in stunted plant growth and poor establishment.
The majority of S in soil is found in OM and is released through microbial mineralization processes. Our results indicate that total S increased with stockpile depth in both stockpiles. For example, S reached 0.29% at 61–152 cm depth, increasing 45% from the top of the stockpile (0–61 cm) at New Afton. The slight accumulation with stockpile depth may be a result of S leaching throughout the piles [26]. Both stockpiles had elevated levels of total S (up to 0.29%) above the recommended guideline (0.05%) for agricultural land [27] and higher than the corresponding reference soils; however, the ranges present in the stockpiles are considered typical for organic soils [28]. It is possible that anaerobic conditions allowed sulphate-reducing bacteria to increase the amount of hydrogen sulfide (H2S) and decrease the amount of SO42−.
Secondary macronutrients and primary cations such as Ca, K, and Mg are critical for photosynthesis, signal transduction, and structure in plants [29]. These nutrients do not change throughout the stockpile profiles examined here. In general, these nutrients are likely sufficient in both stockpiles for revegetation upon re-spreading. Although, Ca levels in the New Afton stockpile samples (up to 4.5%) were higher than the reference soil (up to 1.1%), the stockpile may benefit from additional Ca inputs to combat the high Na levels (Table 1; Figure 5) [30].

4.2. Micronutrients

Necessary micronutrients (e.g., Cu, Fe, Mn, and Zn) are typically found in sufficient levels in soil [31]. Here, Mn tended to increase with depth in the QR mill stockpile only, and Fe increased with depth in New Afton only, whereas Zn increased with depth in both stockpiles. The accumulation of Fe and Zn compared to reference soils may indicate anaerobic conditions within the piles. In general, there was an accumulation of Fe throughout both stockpiles compared to their reference soils. There was a spike in Cu concentration in the New Afton stockpile at 152–610 cm depth, reaching up to 840 mg/kg, so this section of the stockpile should be avoided when respreading. Additionally, the QR mill stockpile suffered from elevated Cu levels at all depths. The majority of samples from both stockpiles had levels above the recommended concentration for agricultural/residential (63 mg/kg) and commercial/industrial (91 mg/kg) [27]. Additionally, some samples in both piles had Cu levels above the thresholds for livestock/plant/invertebrate toxicity (150 mg/kg) and microbial impairment (350 mg/kg) [32]. Impacts from local mineralogy or admixing with Cu-containing bedrock during topsoil stripping could explain the high levels of Cu in these topsoils.
Soil B is an important nutrient for plant cell wall structure [30]. Soils typically have between 10 and 80 mg/kg of elemental B, although most of it is not available to plants. Results show that soil B does not change within the pile profiles at either site and is sufficient to support plant growth (ranging between 15 to 27 mg/kg at New Afton and 7 to 13 mg/kg at QR mill).

4.3. Salt Content

Electrical conductivity (EC) is a measure of cations or anions of a solution and is associated with soil salinity and soluble nutrients [25]. Because of this, EC is important for understanding soil quality. The statistically significant p-values for pH and EC measured with the Palintest® 800 m in the New Afton stockpile are unlikely to have biological or environmental importance (mean pH and EC ranging from 8.1 to 8.2, and 1191 µS/cm to 1446 µS/cm, respectively). Low p-values were likely due to minimal variation (maximum standard error for pH was 0.04 and EC was 90.5) seen between soil samples (Figure 5). This is supported by Table 1 where suitability ratings for EC and pH are classified with the same ratings throughout varying depths. Soil EC was much higher in the New Afton stockpile than in the reference soil, which was likely the result of elevated Na content in the stockpile. The EC levels in the QR mill soil tended to increase with stockpile depth, indicating an increase in a soluble salt, perhaps Mg or Na. Nevertheless, both piles are characterized as good in terms of their EC levels for reclamation suitability (Table 1) and are not considered saline [25].
Sodium is not necessary for plant growth, and high levels of Na can damage soil structure and plant growth. Soil Na content in New Afton increased 38% from the surface of the pile to the bottom of the pile and was approximately 187% higher than the reference soil. While there are no known studies measuring soil Na levels in topsoil stockpiles, the increase in Na with stockpile depth may have occurred due to leaching of salts down the pile [8]. The elevated Na levels in the stockpile may be a result of the semi-arid conditions in the Kamloops region, where high temperatures and low precipitation are common. Here, the rates of evaporation may have caused an accumulation of Na in the pile. High salt concentrations can cause an ionic imbalance, reducing K and Ca availability and creating drought conditions for plants by reducing the water potential [29]. According to the guidelines from the Soil Quality Criteria Relative to Disturbance and Reclamation, the New Afton stockpile was poor or unsuitable for reclamation at all depths (depending on soil texture), due to the high SAR content (Table 1). Additionally, the SAR and EC levels in the New Afton stockpile indicate the soil is sodic. Sodic soils are often alkaline (typically greater than pH 8.5) as a result from the hydrolysis of sodium carbonate (Na2CO3), releasing hydroxyl groups (OH) [33].

4.4. PH

Soil pH is an important measure of quality for plant growth as it heavily influences microbial community composition and the availability of soil nutrients and toxic elements [25]. The soil pH at New Afton was alkaline, above pH 8.0 at all depths. Using the guidelines from the Soil Quality Criteria Relative to Disturbance and Reclamation [20], the New Afton topsoil stockpile was classified as fair (Table 1), having moderate soil limitations due to high soil pH (>8.0). Conversely, the QR mill topsoil stockpile was slightly acidic and had no to slight limitations for revegetation.
High pH in soils can negatively impact nutrient availability to plants. A rise in pH can increase mineralization, leading to N loss and could indicate the presence of free carbonates. Additionally, the availability of P and K can be significantly reduced [34] in alkaline soils. Alkalinization of soil can occur in arid and semi-arid ecosystems when there is minimal rainfall such as at the New Afton site. These effects could be compounded by the likelihood of layers within the stockpile being highly compacted, creating impenetrable barriers that would negate any rainfall and allow salts to accumulate beneath the surface. Alternatively, an increase in pH can occur due to admixing with calcareous subsoils [8]. In support of this, the parent materials of the dominant soils in the New Afton mine area (Tranquille, Timber, and Trapp Lake) are calcareous and saline [35]. Thus, in typical soil profiles of this area, the pH rises considerably in the C-horizon (approximately pH 8.5) compared to the A-horizon (approximately pH 7.1). It is likely that incorporation of the alkaline subsoils and parent materials occurred resulting in alkaline and sodic conditions in the topsoil stockpile at New Afton.

4.5. Organic Matter

Soil OM includes decomposing plant and animal residues and is an important source of plant nutrients and soil structure [36]. Organic matter in the New Afton stockpile did not fluctuate with depth, but the stockpile had approximately 15% to 39% less OM content compared to the undisturbed soil. Although higher than New Afton soils, organic matter in the QR mill stockpile decreased sharply after the first 10 cm (OM content was approximately halved). This roughly corresponded to the decline in available P and rise in C/N ratio, indicating microbial decomposition. Organic matter is degraded through respiration (mineralization); this process is much slower under anaerobic conditions compared to aerobic [33]. Therefore, the decline in OM in these piles likely happened relatively quickly during oxygenic conditions and has not changed substantially during the anoxic phase. A drop in OM content with topsoil stripping and storage has been generally recognized in the few available studies [4]. For example, one 3-year study found that OM and soil structure declined with increased storage time [9] and another study found that OM declined with stockpile depth [3]. Alternatively, OM content in these piles may have decreased due to mixing with subsoils while stripping. Further, higher levels of OM at the surface of QR mill stockpile may be due to litter and vegetation establishment. Despite, the losses of OM content in these piles, it is likely to be adequate to support plant establishment post-mining [37].

5. Conclusions

Our results showed that long-term storage of topsoil stockpiles resulted in reduced soil quality. Further, stockpile height was a key driver to the alterations of geochemical conditions, which will ultimately have implications for restoration success on mine sites. However, the effect of soil depth on nutrient loss was not as profound as some other studies found [8,38,39]. There was a decline in NO3-N, but not OM or P, with stockpile depth in the taller, younger stockpile (New Afton). However, in the shorter, older pile (QR mill), OM and available P decreased with increasing stockpile depth. Additionally, there was an accumulation of NH4-N, Mn, and Zn with stockpile depth, suggesting anaerobic conditions. Both stockpiles suffered from copper levels above the recommended Canadian Council of Ministers of the Environment concentration for agricultural/residential and commercial/industrial land at most depths. Additionally, some samples were above the threshold levels of Cu set by the Contaminated Sites Regulation for toxicity to livestock, invertebrates, plants, and microbial activity. Further, the New Afton stockpile was rated as unsuitable or poor restoration soil due to a high sodium absorption ratio. While some key nutrients do not change with depth and are likely able to sustain revegetation, we found significant deviations in the overall stockpile soil, especially deeper soils, compared to the native undisturbed soil. The stockpile soil conditions suggest there may be challenges for native vegetation establishment during restoration efforts.
Findings from Golos et al. [40] suggest that plant establishment is worse when plants are grown in stored subsurface topsoil. Related to this, our results showed that topsoil height was a key factor in how topsoil retains its quality components and functions especially when soil depth reached below approximately 60–120 cm depths. Particularly, there was a decline in key plant nutrients and an accumulation of metals. These results and other research [3,10,41] generally aligns with current best practice recommendations to keep topsoil stockpiles under 600 cm [42]; although, some recommend stockpiles should remain below 130 cm [43].
This study sampled two stockpiles at two sites; more samples at other mining operations, including multiple stockpiles at a single site, are needed to be able to observe key patterns in topsoil quality changes from stockpile height and to explore influences from site specific factors (e.g., stockpile age, ecosystem, and climate, geology). The next phase of research should be to study more stockpiles and incorporate field or greenhouse studies to test how native vegetation establishes in soils from varying depths and over time. This study assessed 20 major geochemical elements in the soil to measure soil quality; however, because the results demonstrated high levels of Cu in both topsoil stockpiles, future topsoil stockpile research should assess other contaminants of concern commonly associated with copper mines including Cd, Co, Cr, Ni, and Pb.

Supplementary Materials

The following supporting information can be downloaded at: https://www.mdpi.com/article/10.3390/mining2020017/s1, Table S1: The raw chemical data.

Author Contributions

Conceptualization, L.H.F., A.M.F., J.D.V.H. and W.C.G.; methodology, L.H.F. and A.M.F.; software, A.M.F.; validation, L.H.F., J.D.V.H. and W.C.G.; formal analysis, A.M.F.; investigation, A.M.F.; resources, L.H.F.; data curation, A.M.F.; writing—original draft preparation, A.M.F.; writing—review and editing, A.M.F., J.D.V.H., W.C.G. and L.H.F.; visualization, A.M.F.; supervision, L.H.F.; project administration, A.M.F. and L.H.F.; funding acquisition, L.H.F. All authors have read and agreed to the published version of the manuscript.

Funding

This research was funded by New Afton Mine, Barkerville Gold Mine, Geoscience BC, and through a Natural Sciences and Engineering Research Council of Canada Industrial Research Chair to L Fraser in partnership with Greater Vancouver Sewerage and Drainage District, Genome BC, Geoscience BC, New Gold Inc., Teck, Real Estate Foundation of BC, Arrow Transportation, Trans Mountain Corp, BC Cattlemen’s Association.

Data Availability Statement

Not applicable.

Conflicts of Interest

The authors declare no conflict of interest. The funders had no role in the design of the study; analyses or interpretation of data; in the writing of the manuscript; or in the decision to publish the results.

References

  1. Hall, S.L.; Barton, C.D.; Baskin, C.C. Topsoil Seed Bank of an Oak-Hickory Forest in Eastern Kentucky as a Restoration Tool on Surface Mines. Restor. Ecol. 2010, 18, 834–842. [Google Scholar] [CrossRef]
  2. Holmes, P.M. Shrubland Restoration Following Woody Alien Invasion and Mining: Effects of Topsoil Depth, Seed Source, and Fertilizer Addition. Restor. Ecol. 2001, 9, 71–84. [Google Scholar] [CrossRef]
  3. Abdul-Kareem, A.W.; McRae, S.G. The Effects on Topsoil of Long-Term Storage in Stockpiles. Plant Soil 1984, 76, 357–363. [Google Scholar] [CrossRef]
  4. Ghose, M.K.; Kundu, N.K. Deterioration of Soil Quality Due to Stockpiling in Coal Mining Areas. Int. J. Environ. Stud. 2004, 61, 327–335. [Google Scholar] [CrossRef]
  5. Golos, P.J.; Dixon, K.W. Waterproofing Topsoil Stockpiles Minimizes Viability Decline in the Soil Seed Bank in an Arid Environment. Restor. Ecol. 2014, 22, 495–501. [Google Scholar] [CrossRef]
  6. Harris, J.A.; Birch, P. Soil Microbial Activity in Opencast Coal Mine Restorations. Soil Use Manag. 1989, 5, 1006–1009. [Google Scholar] [CrossRef]
  7. Stahl, P.D.; Perryman, B.L.; Sharmasarkar, S.; Munn, L.C. Topsoil Stockpiling Versus Exposure to Traffic: A Case Study on in situ Uranium Wellfields. Restor. Ecol. 2002, 10, 129–137. [Google Scholar] [CrossRef]
  8. Thurber Consultants Ltd.; Land Resources Network Ltd.; Norwest Soil Research Ltd. Review of the Effects of Storage on Topsoil Quality; Alberta Land Conservation and Reclamation Council: Athabasca, AB, Canada, 1990; pp. 1–128. [Google Scholar]
  9. Wick, A.F.; Stahl, P.D.; Ingram, L.J.; Vicklund, L. Soil Aggregation and Organic Carbon in Short-Term Stockpiles. Soil Use Manag. 2009, 25, 2–7. [Google Scholar] [CrossRef]
  10. Boyer, S.; Wratten, S.; Pizey, M.; Weber, P. Impact of Soil Stockpiling and Mining Rehabilitation on Earthworm Communities. Pedobiologia 2011, 54, S99–S102. [Google Scholar] [CrossRef]
  11. Buresh, R.J.; Patrick, W.H. Nitrate Reduction to Ammonium in Anaerobic Soil1. Soil Sci. Soc. Am. J. 1978, 42, 913. [Google Scholar] [CrossRef]
  12. Birnbaum, C.; Bradshaw, L.E.; Ruthrof, K.X.; Fontaine, J.B. Topsoil Stockpiling in Restoration: Impact of Storage Time on Plant Growth and Symbiotic Soil Biota. Ecol. Restor. 2017, 35, 237–245. [Google Scholar] [CrossRef]
  13. Larney, F.J.; Angers, D.A. The Role of Organic Amendments in Soil Reclamation: A Review. Can. J. Soil Sci. 2012, 92, 19–38. [Google Scholar] [CrossRef]
  14. Gardner, W.C.; Anne Naeth, M.; Broersma, K.; Chanasyk, D.S.; Jobson, A.M. Influence of Biosolids and Fertilizer Amendments on Element Concentrations and Revegetation of Copper Mine Tailings. Can. J. Soil Sci. 2012, 92, 89–102. [Google Scholar] [CrossRef] [Green Version]
  15. Carter, M.R.; Gregorich, E.G. Soil Sampling and Methods of Analysis, 2nd ed.; Taylor & Francis Group: Boca Raton, FL, USA, 2007. [Google Scholar] [CrossRef]
  16. Sandroni, V.; Smith, C.M.M.; Donovan, A. Microwave Digestion of Sediment, Soils and Urban Particulate Matter for Trace Metal Analysis. Talanta 2003, 60, 715–723. [Google Scholar] [CrossRef]
  17. Bray, R.H.; Kurtz, L.T. Determination of Total, Organic, an Available Forms of Phosphorus in Soils. Soil Sci. 1945, 59, 39–46. [Google Scholar] [CrossRef]
  18. Kachurina, O.M.; Zhang, H.; Raun, W.R.; Krenzer, E.G. Simultaneous Determination of Soil Aluminum, Ammonium- and Nitrate-nitrogen Using 1 M Potassium Chloride Extraction. Commun. Soil Sci. Plant Anal. 2000, 31, 893–903. [Google Scholar] [CrossRef]
  19. LacCore. Loss-on-Ignition Standard Operating Procedure; National Lacustrine Core Facility: Minneapolis, MN, USA, 2013; pp. 1–5. [Google Scholar]
  20. Macyk, T.M.; Brocke, L.K.; Hermans, J.C.; McCoy, D. Soil Quality Criteria Relative to Disturbance and Reclamation; Alberta Soils Advisory Committee: Edmonton, AB, Canada, 2004. [Google Scholar]
  21. Hachiya, T.; Sakakibara, H. Interactions between Nitrate and Ammonium in Their Uptake, Allocation, Assimilation, and Signaling in Plants. J. Exp. Bot. 2017, 68, 2501–2512. [Google Scholar] [CrossRef]
  22. Williamson, J.C.; Johnson, D.B. Mineralisation of Organic Matter in Topsoils Subjected to Stockpiling and Restoration at Opencast Coal Sites. Plant Soil 1990, 128, 241–247. [Google Scholar] [CrossRef]
  23. Hsiao, C.J.; Sassenrath, G.F.; Zeglin, L.H.; Hettiarachchi, G.M.; Rice, C.W. Vertical Changes of Soil Microbial Properties in Claypan Soils. Soil Biol. Biochem. 2018, 121, 154–164. [Google Scholar] [CrossRef]
  24. Government of British Columbia. Interpretations for Soil Test Phosphorus and Potassium: Guidelines for Southern British Columbia; 2010. Available online: https://www2.gov.bc.ca/gov/content/industry/agriculture-seafood/agricultural-land-and-environment/soil-nutrients/nutrient-management/what-to-apply/soil-nutrient-testing/soil-test-phosphorus-and-potassium (accessed on 6 January 2022).
  25. Smith, J.L.; Doran, J.W. Measurement and Use of PH and Electrical Conductivity for Soil Quality Analysis. Methods Assess. Soil Qual. 1996, 49, 169–185. [Google Scholar] [CrossRef]
  26. Baer, S.G. Nutrient Dynamics as Determinants and Outcomes of Restoration. In Foundations of Restoration Ecology; Island Press: Washington, DC, USA, 2016. [Google Scholar]
  27. Canadian Council of Ministers of the Environment (CCME). Canadian Soil Quality Guidelines for the Protection of Environmental and Human Health—Copper (1999); Canadian Environmental Quality Guidelines: Winnipeg, MB, Canada, 1999; p. 7. [Google Scholar]
  28. Brown, K.A. Sulphur in the Environment: A Review. Environ. Pollut. Ser. B Chem. Phys. 1982, 3, 47–80. [Google Scholar] [CrossRef]
  29. Yan, B.; Hou, Y. Effect of Soil Magnesium on Plants: A Review. IOP Conf. Ser. Earth Environ. Sci. 2018, 170, 022168. [Google Scholar] [CrossRef]
  30. Naeem, M.; Ansari, A.A.; Gill Singh, S. Essential Plant Nutrients: Uptake, Use Efficiency, and Management; Springer: Cham, Switzerland, 2017; ISBN 9783319588407. [Google Scholar]
  31. Horneck, D.A.; Sullivan, D.M.; Owen, J.S.; Hart, J.M. Soil Test Interpretation Guide. Organ State Univ. Ext. Cat. 2011, 7, 1–8. [Google Scholar] [CrossRef]
  32. BC Reg 375/96 Contaminated Sites Regulation. 2021. Available online: https://www.bclaws.gov.bc.ca/civix/document/id/loo64/loo64/375_96sch5 (accessed on 11 February 2022).
  33. Kumaragamage, D.; Warren, J.; Graeme, S. Soil Chemistry. In Digging into Canadian Soils: An Introduction to Soil Science; Canadian Society of Soil Science: Pinawa, MB, Canada, 2021. [Google Scholar]
  34. Smith, S.; Read, D. Mycorrhizal Symbiosis; Elsevier: Amsterdam, The Netherlands, 2008. [Google Scholar]
  35. Government of Canada Description of Soil BCTRP~~~~~N (TRAPP LAKE). Available online: https://sis.agr.gc.ca/cansis/soils/bc/TRP/~~~~~/N/description.html (accessed on 8 November 2021).
  36. Salehi, M.H.; Beni, O.H.; Harchegani, H.B.; Borujeni, I.E.; Motaghian, H.R. Refining Soil Organic Matter Determination by Loss-on-Ignition. Pedosphere 2011, 21, 473–482. [Google Scholar] [CrossRef]
  37. Suter, G.W.; Norton, S.B. Ecological Risk Assessment: Three Approaches to Define Desired Soil Organic Matter Contents. Encycl. Ecol. 2003, 1, 402–406. [Google Scholar] [CrossRef]
  38. Ezeokoli, O.T.; Mashigo, S.K.; Paterson, D.G.; Bezuidenhout, C.C.; Adeleke, R.A. Microbial Community Structure and Relationship with Physicochemical Properties of Soil Stockpiles in Selected South African Opencast Coal Mines. Soil Sci. Plant Nutr. 2019, 65, 332–341. [Google Scholar] [CrossRef]
  39. Harris, J.A. Soil Microbial Communities and Restoration Ecology: Facilitators or Followers? Science 2009, 325, 6. [Google Scholar] [CrossRef]
  40. Golos, P.J.; Dixon, K.W.; Erickson, T.E. Plant Recruitment from the Soil Seed Bank Depends on Topsoil Stockpile Age, Height, and Storage History in an Arid Environment. Restor. Ecol. 2016, 24, S53–S61. [Google Scholar] [CrossRef]
  41. Harris, J.A.; Birch, P.; Short, K.C. Changes in the Microbial Community and Physico-chemical Characteristics of Topsoils Stockpiled during Opencast Mining. Soil Use Manag. 1989, 5, 161–168. [Google Scholar] [CrossRef]
  42. Natural Resources Canada. A Guide to Soil Salvage; Canadian Forest Service: Ottawa, ON, Canada, 2017.
  43. The City of Calgary Parks. Soil Handling Recommendations: Best Practices to Improve Restoration Work; The City of Calgary Parks: Calgary, AB, Canada, 2018. [Google Scholar]
Publisher’s Note: MDPI stays neutral with regard to jurisdictional claims in published maps and institutional affiliations.

Article Metrics

Citations

Article Access Statistics

Multiple requests from the same IP address are counted as one view.