Abstract
E-government represents a global initiative that leverages information and communication technologies (ICTs) to enhance public service delivery and strengthen interactions between governments and citizens. While adoption is critical to realizing the potential benefits of e-government, research from the demand-side perspective remains limited, particularly regarding how individuals engage with these systems, the factors shaping their trust, and the role of media in promoting awareness and uptake. This study examines the influence of media exposure on e-government adoption by assessing its impact on trust, perceived ease of use, satisfaction, relative advantage, complexity, and observability. A quantitative survey was conducted among residents of the Rabat-Salé-Kénitra region, and the proposed model was tested using Partial Least Squares Structural Equation Modeling (PLS-SEM). The model demonstrated robust reliability (Cronbach’s alpha = 0.710), and ANOVA results (p < 0.001) confirmed the substantial explanatory power of the independent variables in predicting adoption. The model accounted for 65.7% of the variance in adoption and 67.2% in trust. Media exposure and digitalization exerted strong positive effects on trust, which emerged as the most influential predictor of adoption. Additionally, observability and relative advantage positively influenced adoption, whereas complexity had a negative effect. Notably, 72.86% of respondents expressed an intention to adopt e-government services in the future. These findings underscore the pivotal role of media as a catalyst for digital transformation and offer actionable insights for policymakers aiming to enhance citizen trust and engagement with e-government services.
1. Introduction
The COVID-19 pandemic, declared globally in March 2020, disrupted social, economic, and institutional norms, generating widespread uncertainty and forcing rapid societal adaptation. In its aftermath, the accelerated integration of smart-enabled technologies has redefined everyday life, normalizing remote work, online learning, cashless transactions, and an on-demand, hyper-connected lifestyle [1,2]. Digitalization has emerged as a transformative force, fundamentally reshaping managerial practices across both the private and public sectors. The integration of information and communication technologies (ICTs) has enabled organizations to automate processes, enhance productivity, and facilitate data-driven decision-making, thereby challenging traditional management paradigms. In the public sector, e-government initiatives leverage ICT to deliver services via digital platforms, revolutionizing public service delivery and strengthening interactions between governments and citizens [3]. E-government has become a cornerstone of public sector reform globally, fostering transparency, accountability, and efficiency [4,5].
A key driver of this transformation is the adoption of open innovation models, which promote knowledge creation through both internal and external collaboration, breaking down organizational silos [6]. By embracing open innovation, governments can transition from traditional service delivery to integrated e-government systems, utilizing standardized digital identification to provide faster and more user-centric services. The benefits of e-government are well-documented, including reduced corruption, improved administrative efficiency, enhanced service quality, and the promotion of e-democracy and citizen engagement [7,8]. Citizens, as primary users, play an active role in the co-creation and continuous improvement of these services [9].
The evolution of e-government has been closely linked to advances in ICT, particularly the proliferation of digital media [10]. Governments increasingly utilize diverse platforms including official websites, social media, and multimedia content to raise public awareness and educate citizens about the value and use of e-government services [11]. This trend is further propelled by citizen participation and open government initiatives [12,13].
Despite the widespread availability of e-government services, significant gaps remain in understanding the factors that limit their adoption, especially in developing countries. This knowledge gap constrains the realization of e-government’s full potential. Most research to date has focused on developed contexts, with limited attention to the unique challenges faced by developing nations, particularly in Africa [14]. The diversity in social, cultural, political, economic, and technological readiness across countries complicates the application of universal models for e-government adoption. While perceived usefulness and ease of use are recognized as key determinants [15], their mediating roles remain underexplored.
In Morocco, digitalization is central to national strategies aimed at modernizing the economy and enhancing global competitiveness. Initiatives such as Maroc Digital 2025 seek to promote ICT adoption across sectors. However, the extent to which digitalization acts as a disruptive force or a catalyst for innovation and efficiency remains an open question. The literature presents divergent perspectives: while some scholars highlight the potential for increased efficiency and innovation [16], others caution against risks such as job displacement and the erosion of competitive advantage [17].
Empirical evidence from Morocco reveals sectoral disparities in digital transformation. The private sector, particularly banking and industry, has made significant strides, with examples such as CIH Bank’s fully digital operations and OCP’s integration of IoT and AI in supply chains. In contrast, the public sector’s progress has been slower and more uneven, hindered by infrastructural limitations, coordination challenges, and low ICT adoption among public employees [18].
Comparative experiences from countries like Estonia and Singapore demonstrate that successful digital transformation in the public sector requires more than technological investment. It depends on the creation of a supportive ecosystem, including robust infrastructure, coherent national strategies, adaptive regulatory frameworks, public–private partnerships, and a culture of open innovation. Mass media also plays a pivotal role in promoting e-government adoption by raising awareness and educating citizens.
In this context, the present study examines the critical role of mass media in facilitating the adoption of e-government services in Morocco, where integration has faced persistent challenges. Despite ongoing initiatives to advance digitalization within public administration, obstacles remain that hinder full digital integration. As Morocco seeks to accelerate its digital transformation and proactively develop digital administration, the advent of fifth-generation digital technologies promises to fundamentally reshape information exchange and public service delivery. This evolution raises five central research questions:
- What is the role of media in promoting e-government adoption?
- Which factors influence e-government adoption in the Rabat-Salé-Kénitra region?
- How does digitalization affect citizen satisfaction with public services?
- In what ways does media enhance citizens’ trust in digital transformation initiatives?
- What challenges and opportunities exist for advancing electronic public administration in Morocco?
2. Conceptual Framework
2.1. E-Government Service Types
E-government refers to “the use of information and communication technologies (ICTs) to improve government operations or enhance the quality of its services, particularly through the use of the Internet and Web technologies” [19]. Within e-government platforms, the government assumes a central role as the primary technology adopter, content provider, and system administrator [5]. Consequently, the deployment of new platforms is typically guided by institutional priorities and technological advancements, mirroring earlier waves of innovation such as the shift from traditional letters to email [20].The first wave of e-government relied on Web 1.0 abilities, which were characterized by passive users consuming static content with limited interactivity [21].
As e-government practices have expanded, researchers have identified several types of e-government services. These include e-services and communication [22,23], as well as information services, transactional services, and policy-related services [24]. Despite the variety of services available, users primarily turn to e-government platforms for general information or administrative documents [25]. They also offer a range of transactional services, including renewing driver’s licenses or permits, paying property taxes or fines, and applying for recreational licenses. This study adopts the same classification.
2.2. Relationships Between E-Government and Media
The integration of both social and mass media into e-government initiatives is increasingly supported by well-established theoretical frameworks [26]. Social capital theory, in particular, elucidates the pivotal role of social networks and trust in facilitating collective action and cooperation. Media platforms contribute to the enhancement of social capital by nurturing and sustaining social relationships, enabling efficient communication and information exchange, and encouraging active engagement within online communities [27]. Furthermore, the theory of two-way communication is especially relevant in this context, as it emphasizes the importance of reciprocal interactions between governmental bodies and citizens. Media technologies facilitate more dynamic and interactive exchanges, empowering citizens not only to access information disseminated by government entities but also to provide feedback, articulate opinions, and participate in public discourse [28].
In recent years, scholarly attention to the role of media in e-government implementation has intensified. This expanding body of research has explored multiple dimensions, including the impact of media on the adoption of e-government services. Empirical evidence indicates that both social and mass media can significantly enhance public participation in governmental decision-making processes. For example, studies conducted in the United States have identified a positive association between the use of social media by e-government platforms and increased levels of citizen engagement [5]. Similarly, research in India demonstrates that media utilization by e-government initiatives raises public awareness of governmental policies and stimulates citizen involvement [29]. Media has also been shown to be instrumental in promoting government transparency. Evidence from the European Union suggests that governmental engagement with social media correlates positively with greater transparency in budgeting and public procurement processes [30]. In Indonesia, the adoption of Facebook by government agencies has improved public access to information regarding public services and governmental performance [31].
Moreover, media plays a crucial role in fostering trust in e-government adoption. For instance, research in the United Kingdom indicates that media use by local governments facilitates collaboration among governmental bodies, citizens, and community organizations in the development and implementation of community projects [32]. In Australia, social media has been found to enhance collaboration between government and the private sector in the delivery of public services. Additionally, the effective utilization of social media can contribute to building public trust in government, as evidenced by studies in Canada reporting a positive correlation between governmental social media use and public trust [33,34].
Despite the expanding literature on the role of media in e-government implementation, several research gaps persist. First, the majority of existing studies are predominantly descriptive and qualitative, lacking robust quantitative evidence regarding the effectiveness of media interventions. Second, much of the research is limited to isolated outcomes, such as citizen participation or transparency, thereby failing to provide a comprehensive understanding of the multifaceted impact of media across various dimensions of e-government.
2.3. Influence of Media on E-Government Adoption in Morocco
Based on recent search results from August 2025, the influence of media on e-government adoption in Morocco is evident through its role in promoting digital services while facing challenges from regulatory constraints [35]. E-government in Morocco involves initiatives like digital identity systems, unified portals, and partnerships for online public services, which rely on media for public awareness and adoption. Media outlets have helped highlight these advancements, such as the launch of the National Digital Services Portal, potentially increasing citizen engagement. However, media restrictions and government oversight limit critical discourse, which could hinder transparency and trust in e-services [36].
From the available data, media positively influences adoption by disseminating information about e-government tools. For instance, reports on digital portals and partnerships, like those with the DGSN and UNDP, suggest that media coverage raises awareness of services such as eVisas and digital identity applications, encouraging usage in a country with high internet penetration (93%). This aligns with Morocco’s efforts to expand e-government, as outlined in its Open Government Partnership commitments [37].
Conversely, media’s influence is tempered by regulatory pressures. Recent legislation, including the new social media law, reflects government concerns over “digital anarchy,” which may restrict independent reporting on e-government issues [38]. Surveys indicate that while Moroccans support media’s watchdog role, they also endorse limits on information, potentially reducing critical coverage that could identify barriers to adoption, such as risks of exclusion in social targeting systems [39]. This environment might slow public trust and uptake of e-services, as seen in analyses of media freedom and digital rights.
Overall, media acts as a double-edged sword: it accelerates e-government adoption through promotion but is constrained by oversight, affecting how effectively citizens engage with digital tools.
2.4. Development of Hypotheses
2.4.1. Diffusion of Innovation Model
The Technology Acceptance Model (TAM) is widely recognized as one of the most influential and extensively applied frameworks for examining individual behavior related to the adoption of information technology and associated innovations [40]. This model offers a robust theoretical foundation by emphasizing two core constructs that shape user behavior: perceived ease of use and perceived usefulness.
One major theoretical perspective is grounded in frameworks such as the Theory of Reasoned Action (TRA), the Theory of Planned Behavior (TPB), TAM, and the Unified Theory of Acceptance and Use of Technology (UTAUT). These models suggest that an individual’s intention to adopt a technology is largely influenced by subjective perceptions of the technology’s attributes. TRA, originally developed to explain general human behavior, posits that behavioral intention shaped by attitudes toward the behavior and perceived social norms predicts actual behavior [41]. TPB extends this by incorporating perceived behavioral control as an additional determinant of both intention and behavior [42]. TAM, tailored specifically for the Information Systems (IS) domain, identifies perceived usefulness and perceived ease of use as key determinants of technology adoption [43]. UTAUT further integrates elements from TRA, TPB, and TAM, along with constructs from several other acceptance models.
A second perspective is offered by the Diffusion of Innovations (DOI) theory, which focuses on how innovations spread within a social system over time [44]. DOI highlights five attributes that influence the adoption rate of an innovation: relative advantage, complexity, compatibility, trialability, and observability.
TAM is structurally based on four principal variables. Perceived usefulness and perceived ease of use function as independent variables, while behavioral intention and actual usage serve as dependent variables [45]. Perceived usefulness is defined as the extent to which a person believes that using a particular technology will improve their performance or productivity, while perceived ease of use refers to the degree to which the technology is perceived as effortless and straightforward to use [12]. Behavioral intention captures an individual’s readiness to use a technology, influenced by both perceived usefulness and ease of use. This intention, in turn, is a strong predictor of actual system usage, representing the tangible engagement with the technology [46]. Empirical studies confirm that actual usage is directly driven by behavioral intention [47].
Beyond these prominent models, several other theoretical approaches often adapted from disciplines such as psychology and sociology are employed in e-government and information systems research. While some models emphasize “acceptance” and others use the term “adoption,” this study uses both terms interchangeably. Accordingly, the following hypotheses are proposed:
TAM is regarded as one of the most prominent and extensively utilized frameworks for examining and understanding individual behavior toward the adoption of information technology and its associated products [48]. This model provides a theoretical basis for analyzing user behavior by focusing on two critical constructs: perceived ease of use and perceived usefulness, which influence the acceptance and utilization of technological innovations [40].
Theorem H1.
Behavioral intention has a significant positive influence on the actual use of e-government services.
Theorem H2.
Perceived usage benefits positively influence individuals’ behavioral intention to use e-government services.
2.4.2. Complexity
Complexity refers to the difficulty or degree of complexity to the extent that the new innovation can be considered difficult to understand and use to some extent [49]. That is, the extent to which potential users perceive the innovation or new idea as difficult to understand and use, and innovations differ in the extent to which they are easy to understand and deal with; the easier the idea is to deal with and understand, the faster it spreads [50].
The e-government app can be considered easy to use, as users can get the administrative documents with the click of a thumb, which saves time and effort. However, some still find smartphone apps in general difficult, especially when it comes to personal information, which is still limited in Morocco.
Complexity is often viewed as a dual-faceted concept; however, in this study, it is specifically examined as an independent variable to explore its functional impact on the adoption of e-government applications. In contrast, ease of use is incorporated to assess users’ perceptions regarding the usability of such applications. Prior research suggests an inverse relationship between perceived complexity and users’ assessments of ease of use and the perceived benefits of adopting e-government services [51]. Based on this premise, the current study proposes the following hypothesis:
Theorem H3.
The difficulty of using the e-government application has a negative impact on the benefits of using the application.
Theorem H4.
The difficulty of using e-government has a negative impact on the ease of use of the app.
2.4.3. Observability
Observability can be defined as the degree to which an innovation can be visible to society and its benefits can be easily observed and shared by individuals in society [52]. Some products or inventions are easily observable to society, others are characterized as complex and therefore cannot be described by the general user population or explain their benefits and therefore will need longer periods to be observed in society. Smartphone applications in general and e-government in particular can be considered easily observable products of which benefits can be easily noticed compared to complex mechanical products or sophisticated operating systems.
The elements that are important to users are clear from how to use this application to get an administrative document. The app saves users time and effort, which helps them realize the benefits they have received for using e-government. According to the theoretical basis, the more users are able to perceive the benefits and innovation, the more likely they are to adopt the product [53], so the study hypothesizes the following:
Theorem H5.
The observability of e-government has a positive effect on the benefits of using e-government services.
Theorem H6.
Observability has a positive effect on the ease of use of the e-government app.
2.4.4. Compatibility
Compatibility is a critical dimension of the Innovation Diffusion Theory. In their meta-analysis of innovation, Ref. [54] concluded that innovations are more likely to be adopted when they align with an individual’s job responsibilities and value system. Similarly, Ref. [55] observed that the readiness of potential adopters to embrace information technology is influenced by how well it aligns with their accustomed work practices.
Compatibility has also been identified as a significant factor influencing citizens’ intentions to adopt e-Government services [56,57]. The design and implementation of e-Government services are expected to align with users’ existing workflows and practices. Based on this, we propose the following hypothesis:
Theorem H7.
Compatibility has a significant positive effect on attitudes toward e-Government services.
2.4.5. Trust in E-Government
Trust in e-government is fundamentally anchored in citizens’ confidence in the reliability of technological infrastructure, the assurance of secure electronic information storage, and the perceived risks associated with digital transactions [58]. This trust extends to users’ expectations that governmental institutions will safeguard the authenticity of stored data, protect the privacy of shared information, ensure the security of electronic transactions, and maintain high standards in both service quality and system performance. Moreover, it reflects a broader belief in the goodwill and integrity of the government and its institutional environment [59].
First-time users of e-government services often exhibit caution due to the perceived risks and uncertainties involved [60]. However, individuals who trust the government are more likely to adopt and share e-government services, provided they feel secure and confident in the system. Increasing trust levels can reduce resistance to using online services, thereby attracting more users. Factors such as attitudes toward e-government, perceived benefits, trust, social media usage, and social influence have been shown to predict the willingness to use information technology for public engagement or support [34]. Based on this, we propose the following hypothesis:
Theorem H8.
Elevated levels of trust in government institutions significantly facilitate the widespread adoption of e-government services.
2.4.6. Media
The principles of Government 2.0, including open government, transparency, citizen engagement, interagency collaboration, and trust in government, are often associated with the use of social media and media research [61]. While media usage aligns with e-government practices, its interactive potential is frequently underexplored. The mere adoption of new technologies does not inherently guarantee positive outcomes. Media publicity can play a significant role in facilitating e-government communication and marketing efforts [62].
Previous studies describe media as “the influence or pressure from the mass media to perform the behavior”. In other terms, media refers to the perception of how it impacts an individual’s adoption or use of a specific e-government system [63,64]. Research by [65] identifies mass media as a key antecedent of subjective norms, highlighting its role in shaping IT usage among end-users. According to [66], the media significantly influences individual behavior, both positively and negatively. Numerous studies have demonstrated that mass media exerts a positive and significant effect on subjective norms [66]. Within any society, individuals often influence others to adopt e-government services, thereby enhancing their acceptance [67]. To address this relationship, the following hypothesis was proposed:
Theorem H9.
Mass media influence has a significant and positive effect on the adoption of e-government services.
3. Materials and Methods
3.1. Data Collection
To determine the sample size, Slovin’s formula was applied to ensure an adequate representation of the population [68]. Given the limited number of individuals using e-government services in the region of Kénitra, Morocco, a sample size of approximately 311 respondents was deemed sufficient to represent the population with a 5% margin of error and a 95% confidence level. A voluntary sampling method was employed. Data collection was conducted using an online questionnaire, which was developed in consultation with experts in the field, resulting in 342 responses. Prior to the main data collection, a pilot test was carried out to evaluate the content and format of the questionnaire, ensuring alignment with the study’s objectives. Data from the pilot test were excluded from the final analysis. The questionnaire was distributed via online social media platforms, including Facebook, WhatsApp, and LinkedIn, during the period from 3 March 2024 to 15 May 2024. Combining the research question with the study’s context, the data collection focused on gathering respondents’ perceptions regarding the role of media in the adoption of e-government. According to a previous study by [69], the age gap can influence individuals’ attitudes toward adopting new technologies, with people under 50 years old being more open to innovation.
The questionnaire’s layout and language were revised, and it was subsequently translated into Arabic to maximize the response rate. Of the 342 responses received, 311 were deemed valid (95.1% of the total), while 31 were excluded due to incomplete or inconsistent data. Only valid responses were analyzed to ensure the reliability, validity, and appropriateness of the data for hypothesis testing.
3.2. Survey Design
This study adopts a quantitative approach to analyze the impact of media on e-government adoption using a questionnaire consisting of 27 carefully designed questions. The questionnaire aimed to identify the various obstacles hindering the adoption of e-government in the Kénitra region. These questions were organized into five distinct sections, as illustrated in Figure 1 to ensure ease of understanding for participants, the questionnaire was developed in Arabic.
Figure 1.
Survey Design. Note: [X] 1 to 5 Likert scale.
The first section of the questionnaire presented demographic information about the respondents, including gender, age, occupation. The second section focused on “Habits and frequency of use of digital services.” The third section explored “the characteristics of the innovation”. The fourth section examined the “Characteristics of e-government users.” Finally, the fifth section addressed the “Role of media in e-government adoption”.
3.3. Data Analysis
In this study, the research model was evaluated using Structural Equation Modeling (SEM) techniques, implemented using SmartPLS 4 software. SEM provides a comprehensive framework for testing hypotheses regarding relationships between observed and latent variables [70]. This statistical approach integrates path analysis, factor analysis, and linear regression into a theoretical causal model, enabling the simultaneous estimation of both measurement and structural sub-models [71].
The questionnaire items were adapted from prior studies on technology acceptance such as [72,73,74,75]. As this research adopts a quantitative approach, SPSS version 26.0 and SmartPLS were utilized to analyze the empirical data, ensuring high accuracy of the results. Prior to analysis, the data underwent a cleaning process to address errors from data collection, including the identification and removal of incomplete, abnormal, or extreme responses. This process, referred to as data monitoring, eliminates unusable responses, as recommended by previous studies [76]. Data preparation preceded the final analysis, during which a reliability assessment was conducted on the 27 items outlined in the survey design.
Cronbach’s alpha serves as a metric for internal consistency, reflecting the extent of relationships within groups. It is a crucial measure of scale reliability, where a higher alpha value typically indicates that the items effectively measure the same underlying construct. However, the interpretation of alpha hinges on several factors, including the item count in the scale, the strength of inter-item correlations [77], and the homogeneity of the construct under examination (Equation (1)).
where
K = is the number of items,
= is the variance of the total score,
= is the variance of item.
SEM was employed to test and validate the proposed relationships using a multivariate approach, with SPSS version 26.0 and SmartPLS facilitating Confirmatory Factor Analysis (CFA) [78]. All measurement scales were assessed for reliability and construct validity through CFA. This method was chosen due to the number of factors and the relationships between factors and their corresponding measurement variables, as previously described [79]. To evaluate whether the proposed model fits the empirical data, a structural model was developed to explore the hypothesized pathways (path model testing). Hypotheses were tested using multiple regression analysis, which examined the relationships between several independent variables and dependent variables, such as trust in e-government and its driving forces. The analysis also explored the varying relationships between trust and the use of e-government/e-government adoption. Multiple regression analysis provided valuable insights into the overall model, allowing researchers to assess whether adding variables improved the model’s predictive power [80].
Given the complexity of the proposed model, SEM analysis was adopted to conduct validity analysis, model testing, and hypothesis testing. SEM has become one of the most widely used and suitable techniques in social sciences for advanced statistical analysis in recent decades. As noted by [81], SEM is a multivariate technique that combines elements of factor analysis and regression, enabling researchers to simultaneously examine relationships between measured and latent variables (measurement theory) and between latent variables (structural theory). This approach allows for the analysis of unobservable variables indirectly measured through indicator variables (Equation (2)).
where
Y = e-government adoption (endogenous latent construct),
PEU = perceived ease of use,
TR = trust in e-government,
CE = citizen engagement,
M = media influence,
ε = error term.
The relationships between latent constructs, which are not directly measurable, were analyzed by categorizing SEM variables into two groups: endogenous and exogenous variables. A variable could simultaneously act as both a dependent and an independent variable. The equations captured all relationships between endogenous and exogenous variables, accounting for potential measurement errors in observed variables. SEM proved to have powerful ability to analyze complex models, revealing both direct and indirect relationships between variables [82].
4. Results and Discussion
4.1. Reliability Test
In order to assess the reliability of internal consistency between dimensions, authors usually compare the estimate of with a conventional threshold set at 0.70 [83], such that > 0.70. The study employed 27 questions for the test, which shows high reliability ( = 0.710), exceeding the recommended threshold of 0.72 according to [84], thus reinforcing the robustness of the measurements (Table 1). This robust reliability indicates that the scale items are effectively aligned in measuring the intended construct. These results, in line with established norms and previous research, strengthen the credibility of the analyses on digital acculturation. The role of media in e-government adoption: the case of the region Rabat-Salé-Kénitra, Morocco. The distribution of the alpha coefficient confirms the strength of the internal consistency of the measures, reinforcing the validity of the data used in this study. Additionally, this study emphasizes the greater significance of the relationships between various independent variables (such as media, trust, digital services, complexity, compatibility, and observability) and the dependent variable (e-government adoption).
Table 1.
Reliability test.
4.2. Demographic Characteristics of Respondents
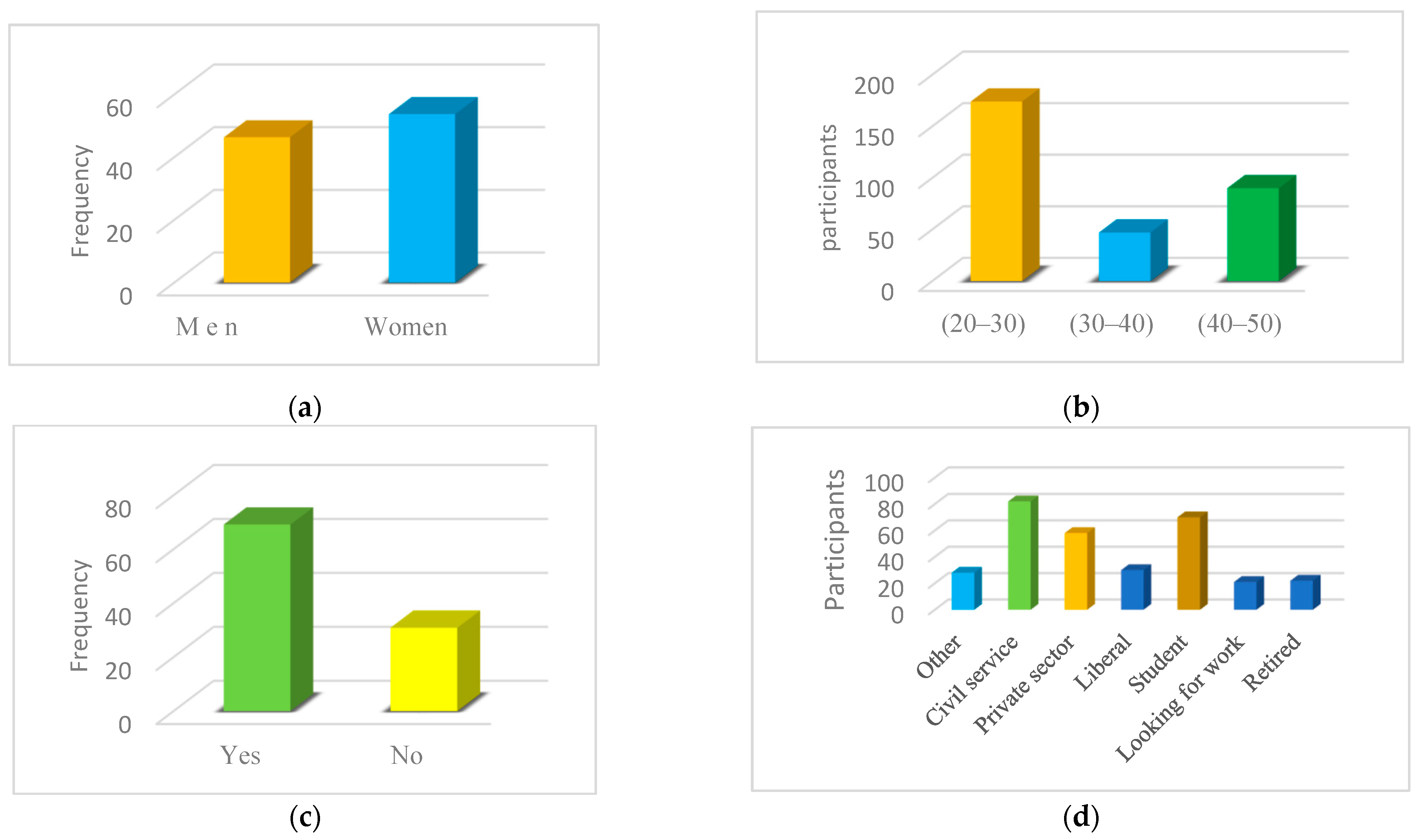
The data analysis was conducted using SPSS software (version 26). As summarized in Table 2, descriptive statistics revealed that the sample comprised 311 participants, with a slightly higher representation of women 53.7% compared to men (46.3%). Regarding age distribution, the majority of respondents were between 20 and 30 years old (55.9%), followed by those aged 40–50 years (28.9%), while a smaller proportion fell into the 30–40 age group (15.1%). This indicates that the sample is predominantly composed of young adults, which may influence perspectives on employment, education, and digital engagement (Table 2).
Table 2.
Demographic characteristics of respondents.
In terms of educational attainment, the vast majority of participants (88.1%) had completed higher education, while 11.9% had a high school diploma. This high proportion of highly educated individuals suggests that the sample may have higher levels of literacy and professional qualifications, which could impact responses related to career aspirations, workplace expectations, and professional mobility.
Employment status varied among participants, with the civil service sector being the most represented (26.4%), followed by students (22.5%) and individuals working in the private sector (18.7%). Other professional categories included liberal professions (9.6%), retirees (7.1%), and job seekers (6.8%), while 9.0% of respondents were categorized under “Other” occupations. The significant presence of public sector employees and students suggests a sample engaged in stable employment or higher education, which may influence perspectives on job security and career progression (see Figure 2).
Figure 2.
Demographic characteristics: (a) Q1; (b) Q2; (c) Q3; and (d) Q4.
4.3. Frequency of Use of Digital Services
Descriptive statistics indicate that a majority of participants, 69.1%, reported having used digital public services to complete administrative procedures, while 30.9% had not. Regarding frequency of use, 67.2% of respondents engaged with these services once a month, 18.9% reported no usage, 9.6% used them more than twice a month, and 4.2% reported using them twice a month (Table 3).
Table 3.
Frequency of use of digital services.
When asked to identify perceived benefits, the most commonly reported advantage was “easier access” (43.4%), followed by “time-saving” (23.2%) (Table 3). A smaller proportion noted “no need to travel” (14.5%), while 18.9% of respondents indicated there were “no benefits.” This pattern suggests that while the majority acknowledge advantages such as enhanced accessibility and efficiency, a significant portion of the population remains skeptical about the overall benefits.
In terms of challenges, the most frequently cited obstacle was the need for “adequate digital skills” (67.8%), which points to a critical barrier to adoption. A smaller group (25.4%) reported experiencing “no problems at all,” suggesting that while challenges exist, they are not universal. Additional concerns included the perception of high costs (4.2%) and the lack of human interaction (2.6%), though these issues were less prevalent than concerns related to digital literacy (Table 3).
4.4. Characteristics of Innovation
According to Table 4, the analysis of innovation characteristics indicates that, in terms of adoption, 70.4% of participants reported engagement with the digital system, while 29.6% remained non-engaged. Attitudes toward digital transformation, were predominantly positive, with 88.7% of respondents affirming that digital transformation aligns with their cultural values and habits, reflecting a strong propensity for digital integration within the study population.
Table 4.
Characteristics of innovation.
Self-assessed digital proficiency exhibited notable heterogeneity. Nearly half of the respondents (47.9%) identified as Level 3 users, denoting intermediate-to-advanced competency, while 20.9% classified themselves at Level 4, indicative of advanced digital skills. In contrast, 11.9% and 19.3% reported Level 1 and Level 2 proficiency, respectively, highlighting a segment of the population that may be at risk of digital exclusion due to limited skills. Technical challenges remain a significant concern, with 75.6% and 63.3% of participants (Q12 and Q13, respectively) acknowledging the experience of technical difficulties when utilizing digital services.
With respect to perceived benefits, the most frequently cited advantages included improved accessibility (34.1%), reduced necessity for physical travel (29.9%), and enhanced time efficiency (21.2%). Nevertheless, 10.3% of respondents reported no discernible benefits, and 4.5% identified cost reduction as a positive outcome. An evaluation of the usability of public service websites revealed that 45.3% of participants considered the platforms “relatively easy” to navigate, while 20.6% encountered difficulties, underscoring the need for ongoing improvements in user interface and experience.
Participants also articulated several recommendations for optimizing digital public services. The most prevalent suggestions included minimizing intrusive advertisements (41.5%), enhancing navigation features (29.9%), and improving the overall user interface (18.0%). Additionally, 10.6% advocated for the implementation of awareness campaigns, underscoring the importance of targeted communication strategies to foster greater engagement and digital literacy.
4.5. Characteristics of E-Government Users
The findings presented in Table 5 provided valuable insights into participants’ engagement with digital tools, their proficiency levels, their confidence in usage, and the perceived necessity of digital features.
Table 5.
Characteristics of E-government users.
A significant majority of respondents (67.2%, n = 209) indicated that the effective use of digital public services necessitates adequate digital skills, whereas 32.8% (n = 102) did not perceive such competencies as essential. This finding highlights a broad acknowledgment of the importance of digital literacy within the study population. In terms of digital proficiency, this revealed that most participants possessed moderate to advanced capabilities, with 39.2% (n = 122) identifying as Level 3 users and 35.0% (n = 109) as Level 4 users. A smaller proportion (25.7%, n = 80) classified themselves as Level 2 users, suggesting that while the majority are adept with digital technologies, a notable subset may experience difficulties with more complex digital tasks. Self-assessed confidence in utilizing digital tools (Q19) exhibited considerable variability. The majority (52.4%, n = 163) reported moderate confidence, while 24.1% (n = 75) expressed low confidence, and 4.5% (n = 14) reported no confidence. In contrast, 15.8% (n = 49) described themselves as confident, and only 3.2% (n = 10) reported very high confidence in their digital abilities. These results indicate that, although most participants demonstrate a reasonable degree of confidence, a substantial proportion may benefit from targeted training or support to further enhance their digital competencies. (Table 5)
Regarding the perceived necessity of digital characteristics, the majority of participants (72.99%, n = 227) deemed the digital tool or service to be essential, underscoring its relevance in their daily routines. In contrast, 27.01% (n = 84) did not perceive the feature as necessary, indicating potential areas for improvement or the reconsideration of user needs and preferences.
4.6. Mediating Variable: The Media
Table 6 presents a detailed analysis of participants’ awareness, perceptions, and future intentions regarding digital public services. In terms of initial exposure (Q21), nearly half of respondents (48.9%) identified mass media as their primary source of information, while social networks accounted for 27.0% (n = 84), and word of mouth for 24.1% (n = 75). These findings underscore the pivotal role of both formal and informal communication channels in promoting the adoption of digital tools. Regarding the perceived influence of television advertisements (Q22), 66.2% of participants acknowledged their role in encouraging the use of e-government services, whereas 33.8% did not perceive such an effect. Despite the generally positive reception, a significant proportion of users expressed dissatisfaction, highlighting the need for ongoing improvements in user experience and functionality.
Table 6.
Media.
Perceptions of the utility of television advertisements (Q23) were notably divided: 41.5% of respondents considered them completely useless, 31.8% deemed them essential, and 26.7% rated them as very useful. This pronounced divergence in evaluations suggests that the effectiveness of such promotional efforts may vary considerably across user segments, emphasizing the importance of tailoring communication strategies to diverse audience needs. An assessment of the image conveyed by television advertisements (Q24) also revealed mixed opinions: 35.4% rated the portrayal of security, effectiveness, and reliability as excellent, 17.7% as good, and 46.9% as poor. These contrasting assessments highlight the necessity for continuous quality improvements, particularly in addressing the concerns of those who perceive the messaging as inadequate.
With respect to trust in e-government services (Q25), an overwhelming majority (86.2%) indicated that television advertisements increased their level of trust, while 13.8% did not share this sentiment. This robust inclination toward continued engagement is further reflected in future usage intentions (Q26), with 55.9% of respondents expressing certainty about using e-government services for future administrative procedures. However, 17.4% considered future use unlikely, and 26.7% deemed it impossible, indicating that barriers to sustained engagement persist for a notable subset of users.
When asked about their willingness to recommend e-government services to others (Q27), 35.4% were confident in broader adoption, while 28.0% viewed it as unlikely, and 36.7% considered it impossible. These mixed projections suggest that, although optimism exists regarding the potential for widespread adoption, skepticism remains prevalent among a significant portion of the population (Table 6).
4.7. Measurement Model
The structural model was evaluated using the PLS-SEM approach. PLS-SEM is particularly useful for validating models that are both complex and have not been extensively tested in prior literature [85]. Moreover, this approach accounts for measurement error, yielding results that are generally more precise than traditional regression techniques [86]. Given the need for accurate estimations and the complexity of the modified UMEGA model, an area that remains unexplored in existing research, the PLS-SEM approach was deemed the most appropriate. SMART PLS 4.0 was selected as the analytical tool due to its extensive validation in studies involving model evaluation [87]. Compared to alternative approaches such as AMOS and LISREL, which are primarily used for confirmatory testing [88], SMART PLS offers enhanced capabilities for assessing total indirect effects. This feature is particularly critical in the present study, as it facilitates an in-depth examination of the media’s role in e-government adoption through the attitude hypothesis and provides insights into the cumulative indirect effects of all incorporated variables.
To ensure the reliability and validity of the proposed model, multiple quality assessment criteria were employed, as detailed in Table 7 and Table 8. Table 7 presents key reliability and validity metrics, including the composite reliability (CR), Cronbach’s α, average variance extracted (AVE), and factor loadings. Factor loadings above 0.7 are generally considered indicative of construct reliability [83]. As shown in Table 7, the factor loadings in this study ranged from 0.702 to 0.944, meeting the recommended threshold. Furthermore, no cross-loading issues were observed, as all items loaded substantially higher on their intended constructs, confirming that none of the indicators were erroneously assigned to an incorrect factor.
Table 7.
Cronbach’s alpha, composite reliability, and average variance extracted (AVE).
Table 8.
Correlation matrix and square root of AVE.
Construct reliability was assessed using Cronbach’s α and composite reliability. A Cronbach’s α value of at least 0.7 is generally required to establish internal consistency [89]. This criterion was met with α values ranging from 0.698 to 0.742. Similarly, composite reliability values should ideally exceed 0.8, though values above 0.6 are considered acceptable [90]. In this study, all composite reliability values were above 0.8, ranging from 0.789 to 0.981, with the exception of compatibility and digital services (Table 7), thereby confirming the construct reliability of the factors.
In addition, converging validity was evaluated using the AVE, with a threshold of 0.5 indicating adequate construct validity [91]. As reported in Table 7, AVE values ranged from 0.511 to 0.576, satisfying this requirement. Discriminant validity was assessed using the Fornell–Larcker criterion (Table 8), which states that a construct demonstrates discriminant validity if the square root of its AVE (Table 8) is greater than its correlations with any other latent construct [90]. As observed in Table 8, all diagonal values (square roots of AVE) were higher than the corresponding off-diagonal values, confirming the discriminant validity of the scales used. Following prior research recommendations [91], these results affirm the reliability and validity of the measurement model, ensuring robustness in subsequent structural model assessments.
Finally, to minimize potential concerns related to common method bias, Harman’s single-factor test was conducted on the dataset. Following the approach outlined by [92], an exploratory factor analysis was performed, extracting an unrotated solution using SPSS version 26.0.
The analysis revealed that the extracted factors collectively explained 67.9% of the total variance, with the highest variance attributed to a single factor reaching only 22.8%. Notably, no single factor accounted for more than 50% of the variance, indicating that common method bias was unlikely to pose a threat to the study’s validity. These results further support the robustness of the measurement model.
4.8. Structural Model and Hypothesis Testing
Figure 3 and Table 9 summarize the statistical outcomes of the structural model tested in this study. The model demonstrated strong explanatory power, accounting for 67.9% of the variance in the factors influencing potential users’ adoption of the “e-government” application, a result considered high according to [93].
Figure 3.
Path analysis results of the structural model.
Table 9.
Outcomes of hypotheses.
As indicated in Table 9, all hypotheses were statistically significant at the 0.05 level, except for the path between perceived compatibility and the media, which was not supported by the data. Also, previous studies have highlighted the significant role of media in facilitating digitalization and e-government adoption. For instance, [94] demonstrated that compatibility and trustworthiness are strong predictors of citizens’ intentions to use e-government services. Similarly, [95] reported comparable findings, showing that compatibility is a key factor in modeling citizen satisfaction with the mandatory adoption of e-government, particularly when influenced by media channels. Specifically, trust (Tr) was identified as a critical determinant in e-government use, with a significant path coefficient of 0.801. This was corroborated by a t-value of 22.97, which exceeds the critical threshold of 1.96, validating the acceptance of the primary hypothesis. Moreover, the study revealed that behavioral intentions explained 67.9% of the variance in potential users’ trust in adopting the “e-gov” application. A moderate proportion, approximately 32.5%, of the variance in actual trust was attributable to factors not included in the model.
The findings further emphasize the significant roles of digitalization (H2: β = 0.419; t = 4.063) and media (H3: β = 0.421; t = 4.151) in shaping behavioral trust, in line with the theoretical framework. The coefficients for both digitalization and media were similar, highlighting their substantial impact on predicting users’ behavioral intentions toward the adoption of the “e-gov” application. The analysis revealed that “e-gov” adoption and media accounted for 65.1% of the variance in trust, reflecting their considerable influence on users’ attitudes and behaviors.
The study also established that relative advantages (H5: β = 0.295; t = 3.016) and compatibility (H7: β = 0.244; t = 3.089) were significant, suggesting that these factors positively influence the media’s role in “e-gov” adoption. Conversely, complexity exhibited a negative relationship with the media’s influence (H8: β = −0.163; t = 2.902), implying that higher complexity diminishes user acceptance of e-government applications due to perceived reduced benefits. Furthermore, observability was found to be statistically significant (H11: β = 0.420; t = 4.113), suggesting that greater visibility of the outcomes and the benefits of using the “e-gov” application increase the likelihood of adoption. Collectively, relative advantages, compatibility, and observability explained 67.6% of the variance in perceived benefits of use.
Relative advantages (H4: β = 0.189; t = 2.420) and observability (H11: β = 0.594; t = 5.012) also had a significant positive effect on e-gov use. In contrast, complexity negatively influenced the digitalization of use (H9: β = −0.123; t = 2.854), supporting the notion that higher complexity reduces users’ willingness to adopt public services. Interestingly, compatibility did not show a statistically significant effect (H6: β = 0.167; t = 1.436) in this study.
Relative advantages, compatibility, and observability together explained 67.6% of the variations in the perceived ease of use of the “e-gov” application, as assessed by potential users. Additionally, the study found that 72.86% of respondents expressed a willingness to use the “e-gov” adoption in the future, representing a notably high adoption rate. In contrast, only 11.45% of respondents indicated no intention to use “e-gov”, and 15.69% remained undecided regarding future adoption. These findings provide valuable insights into the potential trajectory of e-government adoption, despite its currently limited uptake.
4.9. Model Quality Indicators: R2 and Predictive Relevance (Q2)
The quality of the model was assessed using two key indicators: The R2 and Q2. The R2 coefficient is commonly used to evaluate the explanatory power of the model, reflecting the extent to which independent variables account for the variance in the dependent variables. As detailed in Table 10, the overall R2 value for the model was 65.7%, indicating that a substantial portion of the variance in the dependent variables was explained by the independent variables. Specifically, the digitalization of use and perceived benefits accounted for 68.4% of the variance in trust toward the adoption of the “e-gov” application. Moreover, relative advantages, compatibility, complexity, and observability explained 68.4% of the variance in perceived ease of use, while 67.6% of the variance in the role of media in the adoption process was explained.
Table 10.
Indicators of model quality.
These results demonstrate that the model possesses robust explanatory power, effectively accounting for the variance in the internal variables, in line with the criteria established by [93]. In addition, the Q2 was assessed to evaluate the model’s ability to predict new data based on the empirical findings. Q2 is computed via cross-validation, with values greater than zero indicating that the model has predictive relevance. Conversely, Q2 values of zero or lower suggest a lack of predictive relevance. The results, as presented in Table 10, confirm the predictive relevance of the proposed model, with all Q2 values exceeding zero. This further supports the model’s ability to predict outcomes, as per the guidelines of [96].
5. Conclusions
Digital Transformation has emerged as a fundamental driver of Morocco’s economic and social development, offering immense potential to enhance public service delivery, improve administrative efficiency, and stimulate economic growth. Within this framework, e-government plays a pivotal role in the digital transition, enabling greater accessibility to public services, improving their quality, and fostering trust between citizens and public administration. The COVID-19 pandemic has further accelerated the digitalization of public administration, underscoring the need to simplify processes and enhance interconnectivity between public institutions to better serve citizens.
Despite these advancements, Morocco continues to face significant challenges in its digital transformation journey. The persistent “digital divide,” driven by factors such as illiteracy, lack of trust, and limited media engagement has hindered the adoption of e-government services and contributed to a decline in the country’s international rankings. These challenges highlight the urgent need for a robust, integrated digital infrastructure to support the effective implementation of e-government initiatives.
This study examined the role of media as a demand-side determinant of e-government adoption in the Rabat–Salé–kénitra region. Employing a rigorously designed survey instrument comprising 27 items across five thematic sections, the analysis produced a Cronbach’s alpha of 0.710, confirming strong internal consistency. Statistical analyses, including the chi-square (χ2) test with values ranging from 231.26 to 855.02 and a p-value of 0.000, demonstrated a significant relationship between media and e-government adoption. Furthermore, ANOVA results, with a p-value below 0.000, revealed significant relationships between media exposure and adoption behavior, underscoring the influence of information channels in shaping citizens’ perceptions and engagement with e-government services.
These findings carry important implications for policy and practice. By strategically leveraging the media to build trust, enhance usability perceptions, and address informational gaps, policymakers can narrow the digital divide and foster sustained citizen engagement with e-government services. While the empirical focus is on the Rabat–Salé–kénitra region, the patterns observed resonate with broader dynamics in Morocco and, by extension, other developing-country contexts.
Crucially, this research addresses a documented gap in the literature: whereas most prior studies privilege the supply-side perspective, our work foregrounds the demand-side factors trust, perceived usability, and media influence in a developing-country setting. This orientation enriches prevailing theoretical and empirical understandings by illuminating the behavioral and perceptual dimensions underpinning adoption decisions.
Although grounded in the Moroccan experience, the conceptual model and relationships identified may be relevant in diverse socio-economic contexts, including advanced economies. Nevertheless, variations in institutional maturity, governance cultures, and citizen expectations warrant careful contextualization before extrapolation. Future research should therefore replicate and refine this framework across heterogeneous settings to assess its generalizability and extend its theoretical reach.
Ultimately, advancing e-government adoption in Morocco demands an integrated strategy that combines technological innovation with social and institutional capacity-building. Only through such a multidimensional approach can digital transformation serve as a sustainable driver of development and democratic governance.
Author Contributions
Conceptualization, O.E.H. and N.E.H.; methodology, O.E.H.; software, O.E.H. and N.E.H.; validation, O.E.H. and N.E.H.; formal analysis, O.E.H.; investigation, O.E.H.; resources, O.E.H. and N.E.H.; data curation, O.E.H. and N.E.H.; writing—original draft preparation, O.E.H.; writing—review and editing, O.E.H. and N.E.H.; visualization, O.E.H.; supervision, N.E.H.; project administration, O.E.H. and N.E.H.; funding acquisition, O.E.H. All authors have read and agreed to the published version of the manuscript.
Funding
This research received no external funding.
Institutional Review Board Statement
The study was conducted in accordance with the Declaration of Helsinki, and the protocol was approved by the Ethics Committee of the International Center for Doctoral Excellence (Project identification code: CIEDocOE0125) on 11 July 2024.
Informed Consent Statement
Informed consent for participation was obtained from all subjects involved in the study.
Data Availability Statement
The authors strongly encourage interested researchers to contact us, as we are more than willing to share the data upon request.
Acknowledgments
The authors would like to thank all those who collaborated in this work on the field sampling, laboratory analysis, and manuscript-writing teams from the Laboratory of Economics and Management of Organizations, Faculty of Economics and Management, ibn Tofail University, Kenitra, Morocco.
Conflicts of Interest
The authors declare no conflicts of interest.
References
- Lee, C.H.; Wang, D.; Desouza, K.C.; Evans, R. Digital Transformation and the New Normal in China: How Can Enterprises Use Digital Technologies to Respond to COVID-19? Sustainability 2021, 13, 10195. [Google Scholar] [CrossRef]
- Lee, C.H.; Wang, D.; Lyu, S.; Evans, R.D.; Li, L. A Digital Transformation-Enabled Framework and Strategies for Public Health Risk Response and Governance: China’s Experience. Ind. Manag. Data Syst. 2023, 123, 133–154. [Google Scholar] [CrossRef]
- Maina, L.W.; Otieno, G.O. Leveraging Technology for Government Service Delivery: Suggestions for Securing the e-Citizen Service in Kenya. East Afr. J. Inf. Technol. 2024, 7, 81–91. [Google Scholar] [CrossRef]
- Alkraiji, A.I. An Examination of Citizen Satisfaction with Mandatory E-Government Services: Comparison of Two Information Systems Success Models. Transform. Gov. People Process Policy 2020, 15, 36–58. [Google Scholar] [CrossRef]
- Thi Uyen Nguyen, T.; Van Nguyen, P.; Thi Ngoc Huynh, H.; Truong, G.Q.; Do, L. Unlocking E-Government Adoption: Exploring the Role of Perceived Usefulness, Ease of Use, Trust, and Social Media Engagement in Vietnam. J. Open Innov. Technol. Mark. Complex. 2024, 10, 100291. [Google Scholar] [CrossRef]
- Yuan, Y.P.; Dwivedi, Y.K.; Tan, G.W.H.; Cham, T.H.; Ooi, K.B.; Aw, E.C.X.; Currie, W. Government Digital Transformation: Understanding the Role of Government Social Media. Gov. Inf. Q. 2023, 40, 101775. [Google Scholar] [CrossRef]
- Zahid, H.; Ali, S.; Abu-Shanab, E.; Muhammad Usama Javed, H. Determinants of Intention to Use e-Government Services: An Integrated Marketing Relation View. Telemat. Inform. 2022, 68, 101778. [Google Scholar] [CrossRef]
- Zhang, B.; Zhu, Y. Comparing Attitudes towards Adoption of E-Government between Urban Users and Rural Users: An Empirical Study in Chongqing Municipality, China. Behav. Inf. Technol. 2021, 40, 1154–1168. [Google Scholar] [CrossRef]
- Tejedo-Romero, F.; Araujo, J.F.F.E.; Tejada, Á.; Ramírez, Y. E-Government Mechanisms to Enhance the Participation of Citizens and Society: Exploratory Analysis through the Dimension of Municipalities. Technol. Soc. 2022, 70, 101978. [Google Scholar] [CrossRef]
- Malodia, S.; Dhir, A.; Mishra, M.; Bhatti, Z.A. Future of E-Government: An Integrated Conceptual Framework. Technol. Forecast. Soc. Change 2021, 173, 121102. [Google Scholar] [CrossRef]
- Porumbescu, G.A. Comparing the Effects of E-Government and Social Media Use on Trust in Government: Evidence from Seoul, South Korea. Public Manag. Rev. 2016, 18, 1308–1334. [Google Scholar] [CrossRef]
- Gao, X.; Lee, J. E-Government Services and Social Media Adoption: Experience of Small Local Governments in Nebraska State. Gov. Inf. Q. 2017, 34, 627–634. [Google Scholar] [CrossRef]
- Reddick, C.G.; Norris, D.F. Social Media Adoption at the American Grass Roots: Web 2.0 or 1.5? Gov. Inf. Q. 2013, 30, 498–507. [Google Scholar] [CrossRef]
- Abdoh, H.M.B.; Saany, S.I.A.; Jebur, H.H.; El-Ebiary, Y.A. The Effect of PESTLE Factors on E-Government Adoption in Jordan: A Conceptual Model. Int. J. Eng. Trends Technol. 2020, 68, 19–23. [Google Scholar] [CrossRef]
- Chen, L.; Aklikokou, A.K. Determinants of E-Government Adoption: Testing the Mediating Effects of Perceived Usefulness and Perceived Ease of Use. Int. J. Public Adm. 2020, 43, 850–865. [Google Scholar] [CrossRef]
- Brynjolfsson, E.; McAfee, A. The Second Machine Age: Work, Progress, and Prosperity in a Time of Brilliant Technologies; Reprint edition; W. W. Norton & Company: New York, NY, USA; London, UK, 2016; ISBN 978-0-393-35064-7. [Google Scholar]
- Saghir, Z.; Nafzaoui, M.A. Determinants of the Continuous Use of E-GOV Information Systems and Services in Morocco: Proposing an Integrative Model. Rev. Contrôle Comptab. Audit 2023, 7, 157–181. [Google Scholar]
- Jallal, M.; Serhier, Z.; Boubekri, Z.; Berrami, H.; Othmani, M.B. Digital Transition in Healthcare in Morocco: Current Progress and Challenges to Overcome. In Proceedings of the Ninth International Congress on Information and Communication Technology, London, UK, 19–22 February 2024; Yang, X.S., Sherratt, R.S., Dey, N., Joshi, A., Eds.; Springer Nature: Singapore, 2024; pp. 161–171. [Google Scholar]
- Yang, L.; Elisa, N.; Eliot, N. Privacy and Security Aspects of E-Government in Smart Cities. In Smart Cities Cybersecurity and Privacy; Rawat, D.B., Ghafoor, K.Z., Eds.; Elsevier: Amsterdam, The Netherlands, 2019; Chapter 7; pp. 89–102. ISBN 978-0-12-815032-0. [Google Scholar]
- Zhao, Y.; von Delft, S.; Morgan-Thomas, A.; Buck, T. The Evolution of Platform Business Models: Exploring Competitive Battles in the World of Platforms. Long Range Plan. 2020, 53, 101892. [Google Scholar] [CrossRef]
- Theocharis, S.; Tsihrintzis, G.A. Semantic Web: The Evolution of the Web and the Opportunities for the e-Government. In Semantic Knowledge Modelling via Open Linked Ontologies: Ontologies in e-Governance; Theocharis, S., Tsihrintzis, G.A., Eds.; Springer International Publishing: Cham, Switzerland, 2023; pp. 51–123. ISBN 978-3-031-20585-9. [Google Scholar]
- Li, M.H.; Feeney, M.K. Adoption of Electronic Technologies in Local U.S. Governments: Distinguishing between E-Services and Communication Technologies. Am. Rev. Public Adm. 2014, 44, 75–91. [Google Scholar] [CrossRef]
- Wirtz, B.W.; Daiser, P. A Meta-Analysis of Empirical e-Government Research and Its Future Research Implications. Int. Rev. Adm. Sci. 2018, 84, 144–163. [Google Scholar] [CrossRef]
- McClure, C.R.; Jaeger, P.T. Government Information Policy Research: Importance, Approaches, and Realities. Libr. Inf. Sci. Res. 2008, 30, 257–264. [Google Scholar] [CrossRef]
- Omweri, F. A Systematic Literature Review of E-Government Implementation in Developing Countries: Examining Urban-Rural Disparities, Institutional Capacity, and Socio-Cultural Factors in the Context of Local Governance and Progress towards SDG 16.6. Int. J. Res. Innov. Soc. Sci. 2024, 8, 1173–1199. [Google Scholar] [CrossRef]
- Hutahaean, M.; Silalahi, A.D.K.; Eunike, I.J.; Silgirana Silalahi, A.A.; Thanh Phuong, D.T. Optimizing Trust in E-Government: Evaluating Social Media Dynamics and Government Protocols Using Fuzzy Sets Qualitative Comparative Analysis. In Proceedings of the 2024 International Conference on Information Management and Technology (ICIMTech), Bali, Indonesia, 28–29 August 2024; pp. 224–229. [Google Scholar]
- Muliadi, M.; Muhammadiah, M.; Amin, K.F.; Kaharuddin, K.; Junaidi, J.; Pratiwi, B.I.; Fitriani, F. The Information Sharing among Students on Social Media: The Role of Social Capital and Trust. VINE J. Inf. Knowl. Manag. Syst. 2022, 54, 823–840. [Google Scholar] [CrossRef]
- Machmud, F.E.A.; Tobirin, T.; Ali, R. Analysis of the Role of Social Media in E-Government Implementation: A Meta-Analysis Study. Open Access Indones. J. Soc. Sci. 2024, 7, 1619–1629. [Google Scholar] [CrossRef]
- Govindaraj, M.; Gnanasekaran, C.; Mariyappan, M.S.R. Role of Government Participation in Social Media Usage and the Impact of E-Government Ecosystem. In Revolutionizing the AI-Digital Landscape; Productivity Press: New York, NY, USA, 2024; ISBN 978-1-03-268830-5. [Google Scholar]
- Drăcea, R.M.; Pirtea, M.G.; Cristea, M.; Noja, G.G.; Ciobanu, L. Budget Transparency and Good Governance for Human Development and Citizens’ Well-Being. New Empirical Evidence from the European Union. Eng. Econ. 2024, 35, 328–347. [Google Scholar] [CrossRef]
- Yulian, M.; Sirojuzilam; Lubis, S.; Purwoko, A. Accelerating Urban Development in Indonesia: The Impact of Online Government Services. Int. J. Sustain. Dev. Plan. 2024, 19, 1041–1052. [Google Scholar] [CrossRef]
- Kasabali, K.; Polychronidou, P.; Kydros, D. Digitization and E-Government: A Systematic Literature Review for the European Union (EU 27) and The United Kingdom. In Digital Economy and Green Growth: Opportunities and Challenges for Urban and Regional Ecosystems; Mavri, M., Ikouta Mazza, P., Karasavvoglou, A., Polychronidou, P., Eds.; Springer Nature: Cham, Switzerland, 2024; pp. 131–144. ISBN 978-3-031-66669-8. [Google Scholar]
- Anggita, I.; Listiani, E.I.; Ahdarrijal, Y. Openness in Governance: The Effect of the E-Government Index on Regulation Quality in Australia. J. Gov. Sci. 2025, 6, 42–55. [Google Scholar] [CrossRef]
- Nguyen, T.T.U.; Nguyen, P.V.; Huynh, H.T.N.; Vrontis, D.; Ahmed, Z.U. Identification of the Determinants of Public Trust in E-Government Services and Participation in Social Media Based on Good Governance Theory and the Technology Acceptance Model. J. Asia Bus. Stud. 2023, 18, 44–61. [Google Scholar] [CrossRef]
- Zaanoun, A. Morocco: The Impact of the Digitization of Public Services; Arab Reform Initiative: Paris, France, 2023. [Google Scholar]
- El Gaoual, I.; Berkane, T. The Media and Societal Transformations in Morocco. Int. J. Res. Innov. Soc. Sci. 2025, 9, 72–80. [Google Scholar] [CrossRef]
- Bennacer, M.; Mahdi, E.; Lahmouchi, M. Digital Transformation in Moroccan SMEs: Overcoming Barriers and Achieving Growth. TEM J. 2025, 14, 1269–1278. [Google Scholar] [CrossRef]
- Team, I.T.E. Morocco Signs Major Digital ID Agreement to Accelerate E-Government Services. ID Tech, 5 May 2025. [Google Scholar]
- Nachit, H.; Belhcen, L.; Elfikri, I.; Jaafari, M. Digital Transformation in the Moroccan Public Sector: Drivers and Barriers. SSRN Electron. J. 2021, 8–9, 13–14. [Google Scholar] [CrossRef]
- Emon, M.M.H.; Khan, T.; Rahman, M.A.; Siam, S.A.J. Factors Influencing the Usage of Artificial Intelligence among Bangladeshi Professionals: Mediating Role of Attitude Towards the Technology. In Proceedings of the 2024 IEEE International Conference on Computing, Applications and Systems (COMPAS), Chattogram, Bangladesh, 25–26 September 2024; pp. 1–7. [Google Scholar]
- Pham Thi, T.D.; Pham, V.K.; Duong, N.T. An Integrated Model of Online Shopping Behavior: Evidence from Online Shoppers In Vietnam. Curr. Psychol. 2024, 43, 34809–34827. [Google Scholar] [CrossRef]
- Kim, S.; Jeong, Y.; Jung, Y. Unveiling the Power of Social Influence: How Functional, Emotional, And Social Values Drive Pilates Participation through an Extended TPB Model. Front. Psychol. 2025, 16, 1453874. [Google Scholar] [CrossRef]
- Ma, J.; Wang, P.; Li, B.; Wang, T.; Pang, X.S.; Wang, D. Exploring User Adoption of Chatgpt: A Technology Acceptance Model Perspective. Int. J. Hum. Comput. Interact. 2025, 41, 1431–1445. [Google Scholar] [CrossRef]
- Mbatha, B. Diffusion of Innovations: How Adoption of New Technology Spreads in Society. In Information, Knowledge, and Technology for Teaching and Research in Africa: Human Machine Interaction and User Interfaces; Ocholla, D., Onyancha, O.B., Adesina, A.O., Eds.; Springer Nature: Cham, Switzerland, 2024; pp. 1–18. ISBN 978-3-031-60267-2. [Google Scholar]
- Chandra, A.; Hermeindito, H. The Effect of TAM Factor on Behavioral Intention to Use (Dashboard Property Management Ciputra SH3A). Enrich. J. Manag. 2024, 14, 488–498. [Google Scholar] [CrossRef]
- Li, X.; Zhang, J.; Yang, J. The Effect of Computer Self-Efficacy on the Behavioral Intention to Use Translation Technologies among College Students: Mediating Role of Learning Motivation and Cognitive Engagement. Acta Psychol. 2024, 246, 104259. [Google Scholar] [CrossRef]
- Meiranto, W.; Farlyagiza, F.; Faisal, F.; Nur Afri Yuyetta, E.; Puspitasari, E. The Mediating Role of Behavioral Intention on Factors Influencing User Behavior in the E-Government State Financial Application System at the Indonesian Ministry of Finance. Cogent. Bus. Manag. 2024, 11, 2373341. [Google Scholar] [CrossRef]
- Musa, H.G.; Fatmawati, I.; Nuryakin, N.; Suyanto, M. Marketing Research Trends Using Technology Acceptance Model (TAM): A Comprehensive Review of Researches (2002–2022). Cogent. Bus. Manag. 2024, 11, 2329375. [Google Scholar] [CrossRef]
- Binsaif, N.H.; Nagro, S.A.; Aldekhail, M.S.; Adam, F. Investigation on E-Government Initiatives in Saudi Arabia Based on Coping Model of User Adaption. Electron. Gov. Int. J. 2024, 20, 540–556. [Google Scholar] [CrossRef]
- Bhatti, M.A.; Hussain, A.; Ahmad, T.I.; Nawaz, M.A. E-Government Development and Its Role in Enhancing Government Effectiveness and Public Sector Governance. Rev. Appl. Manag. Soc. Sci. 2025, 8, 375–389. [Google Scholar] [CrossRef]
- Kadewandana, D.; Kaligis, R.A.W. The Role of Information and Communication Technology (ICT) in E-Government: A Literature Review of Sustainable Development Aspects. Cover. J. Strateg. Commun. 2024, 14, 91–101. [Google Scholar] [CrossRef]
- Pentrakan, A.; Wang, J.Y.; Wong, W.K. Factors Influencing Hospitals’ Willingness for Pharmaceutical Procurement via E-Government Platforms: A PLS-SEM Approach. In Proceedings of the 2024 4th International Conference on Internet and E-Business, Olten, Switzerland, 8–10 July 2024; Association for Computing Machinery: New York, NY, USA, 2024; pp. 21–26. [Google Scholar]
- Nam, H.; Nam, T.; Kim, S. Identifying the Determinants of Platform-Based E-Government Service Use. J. Glob. Inf. Manag. 2024, 32, 1–21. [Google Scholar] [CrossRef]
- Guo, Y. Investigating the Impact of Culture Dimensions on Chinese Citizens’ Continuous Use of E-Government Websites: A Cultural Model-Based Study. Acta Psychol. 2024, 244, 104196. [Google Scholar] [CrossRef]
- Rahman, M.H.; Ahmad, A.B.; Mohamed Sawal, M.Z.H.B. The Influence of Personal Factors on Resistance to Technology Adoption in University Libraries in Bangladesh. Inf. Dev. 2024. [Google Scholar] [CrossRef]
- Aleisa, N. Key Factors Influencing the E-Government Adoption: A Systematic Literature Review. J. Innov. Digit. Transform. 2024, 1, 14–31. [Google Scholar] [CrossRef]
- Zubir, M.H.H.; Latip, M.S.A. Factors Affecting Citizens’ Intention to Use E-Government Services: Assessing the Mediating Effect of Perceived Usefulness and Ease of Use. Transform. Gov. People Process Policy 2023, 18, 384–399. [Google Scholar] [CrossRef]
- Ilieva, G.; Yankova, T.; Ruseva, M.; Dzhabarova, Y.; Zhekova, V.; Klisarova-Belcheva, S.; Mollova, T.; Dimitrov, A. Factors Influencing User Perception and Adoption of E-Government Services. Adm. Sci. 2024, 14, 54. [Google Scholar] [CrossRef]
- Abouliatim, I.; Tounsi, K. Les Déterminants de l’adoption Des Services Du e-Gouvernement: Cas Des Agences Urbaines Au Maroc. Int. J. Account. Financ. Audit. Manag. Econ. 2023, 4, 125–140. [Google Scholar] [CrossRef]
- Alomari, M.K.; Sandhu, K.; Woods, P. Exploring Citizen Perceptions of Barriers to E-Government Adoption in a Developing Country. Transform. Gov. People Process Policy 2014, 8, 131–150. [Google Scholar] [CrossRef]
- Dilip, R.; Manasa, M.G.; Chandrashekhar, L.; Nethravathi, H.M.; Tejashwini, N.; AnilKumar, K.B.; Pramanik, S. Using AI to Improve the Supply of Digital Government Solutions. In Planning Tools for Policy, Leadership, and Management of Education Systems; IGI Global Scientific Publishing: Hershey, PL, USA, 2025; pp. 155–184. ISBN 9798369322529. [Google Scholar]
- Bangero, H.B. Best Practices in E-Government Communication: Lessons from the Local Governments’ Use of Official Facebook Pages. Gov. Inf. Q. 2025, 42, 102010. [Google Scholar] [CrossRef]
- Park, H.; Lee, T.D. Adoption of E-Government Applications for Public Health Risk Communication: Government Trust and Social Media Competence as Primary Drivers. J. Health Commun. 2018, 23, 712–723. [Google Scholar] [CrossRef]
- Wang, L.; Xue, K.; Luo, D. Media Pressure, Corporate Governance Structure, and Disclosure Quality. Int. Rev. Econ. Financ. 2025, 97, 103771. [Google Scholar] [CrossRef]
- Maktub, M.A.K.; Handayani, P.W.; Sunarso, F.P. Citizen Acceptance and Use of the Jakarta Kini (JAKI) e-Government: Extended Unified Model for Electronic Government Adoption. Heliyon 2025, 11, e42078. [Google Scholar] [CrossRef]
- Bach, M.P.; Žmuk, B.; Stjepić, A.M.; Khawaja, S.; Qureshi, F.H. Citizen-Centric Insights into E-Democracy and E-Government: Hybrid Approach Using Cluster and Multiple Regression Analysis. Cent. Eur. J. Oper. Res. 2025, 33, 835–858. [Google Scholar] [CrossRef]
- Nasri, W. Citizens’ Acceptance and Use of e-Government Services in Tunisia: A UTAUT2-Based Approach. Manag. Amp. Sustain. Arab. Rev. 2025; ahead-of-print. [Google Scholar] [CrossRef]
- Raharja, M.I.; Berliani, K. The Quality of Government Financial Reports: Factor’s That Can Affect It. eCo-Fin 2025, 7, 321–333. [Google Scholar] [CrossRef]
- Smrke, U.; Špes, T.; Mlakar, I.; Musil, B.; Plohl, N. Technophobia Mediates the Associations Between Age, Education Level, and Readiness to Adopt New (Health) Technology Among Aging Adults. J. Appl. Gerontol. 2025, 44, 497–507. [Google Scholar] [CrossRef]
- Subhaktiyasa, P.G. PLS-SEM for Multivariate Analysis: A Practical Guide to Educational Research Using SmartPLS. EduLine J. Educ. Learn. Innov. 2024, 4, 353–365. [Google Scholar] [CrossRef]
- Ali, A.H.; Zayed, T.; Abdulai, S.F.; Wang, R.D. A Comprehensive Framework for Examining the Influence of Tower Crane Safe Operations on Sustainable Practices in Modular Integrated Construction. Eng. Constr. Archit. Manag. 2024; ahead-of-print. [Google Scholar] [CrossRef]
- Hung, S.Y.; Chang, C.M.; Kuo, S.R. User Acceptance of Mobile E-Government Services: An Empirical Study. Gov. Inf. Q. 2013, 30, 33–44. [Google Scholar] [CrossRef]
- Sang, S.; Lee, J.D. A Conceptual Model of E-Government Acceptance in Public Sector. In Proceedings of the 2009 Third International Conference on Digital Society, Cancun, Mexico, 1–6 February 2009; pp. 71–76. [Google Scholar]
- Titah, R.; Barki, H. E-Government Adoption and Acceptance: A Literature Review. Int. J. Electron. Gov. Res. 2006, 2, 23–57. [Google Scholar] [CrossRef]
- Wu, X.; Chong, A.Y.L.; Peng, Y.; Bao, H. Predicting the Acceptance of E-Government: A Systematic Review. Internet Res. 2024; ahead-of-print. [Google Scholar] [CrossRef]
- Ramayanti, R.; Azhar, Z.; Nik Azman, N.H. Factors Influencing Intentions to Use QRIS: A Two-Staged PLS-SEM and ANN Approach. Telemat. Inform. Rep. 2025, 17, 100185. [Google Scholar] [CrossRef]
- Amirrudin, M.; Nasution, K.; Supahar, S. Effect of Variability on Cronbach Alpha Reliability in Research Practice. J. Mat. Stat. Komputasi 2021, 17, 223–230. [Google Scholar] [CrossRef]
- Konanahalli, A.; Marinelli, M.; Oyedele, L. Big Data Value Proposition in UK Facilities Management: A Structural Equation Modelling Approach. Buildings 2024, 14, 2083. [Google Scholar] [CrossRef]
- Lesia, M.P.; Aigbavboa, C.O.; Thwala, W.D. Factors Influencing Residential Location Choice in South Africa: Exploratory Factor Analysis (EFA) and Confirmatory Factor Analysis (CFA). J. Hous. Built Environ. 2024, 39, 133–160. [Google Scholar] [CrossRef]
- El Azhari, H.; Cherif, E.; El Halimi, R.; El Mustapha, A.; Ou Larbi, Y.; Coren, F.; Salmoun, F. Predicting the Production and Depletion of Rare Earth Elements and Their Influence on Energy Sector Sustainability through the Utilization of Multilevel Linear Prediction Mixed-Effects Models with R Software. Sustainability 2024, 16, 1951. [Google Scholar] [CrossRef]
- Joshanloo, M. Factor Structure and Measurement Invariance of Conceptions of Happiness in Korea and Canada: An Application of Penalized Structural Equation Modeling in Mplus. Qual. Quant. 2024, 59, 1121–1142. [Google Scholar] [CrossRef]
- Zhu, Y.; Liu, C.; Peng, C.; Zhou, X.; Xie, B.; Li, T.; Li, P.; Zou, Z.; Tang, J.; Liu, Z. Applications of Structural Equation Modeling in Plant Functional Trait Research. Environ. Rev. 2024, 32, 525–538. [Google Scholar] [CrossRef]
- Ayanwale, M.; Alasa, V.; Oyeniran, D. Userfriendlyscience Package of r Programming Language: A Veritable Tool for Reliability Estimate of Non-Cognitive Scale. Cent. Asia Cauc. 2022, 23, 292–305. [Google Scholar]
- Peterson, R.A. A Meta-Analysis of Cronbach’s Coefficient Alpha. J. Consum. Res. 1994, 21, 381–391. [Google Scholar] [CrossRef]
- Vaithilingam, S.; Ong, C.S.; Moisescu, O.I.; Nair, M.S. Robustness Checks in PLS-SEM: A Review of Recent Practices and Recommendations for Future Applications in Business Research. J. Bus. Res. 2024, 173, 114465. [Google Scholar] [CrossRef]
- Hair, J.F.; Sharma, P.N.; Sarstedt, M.; Ringle, C.M.; Liengaard, B.D. The Shortcomings of Equal Weights Estimation and the Composite Equivalence Index in PLS-SEM. Eur. J. Mark. 2024, 58, 30–55. [Google Scholar] [CrossRef]
- Asmawati, A.; Hermawati, N.; Karisma, C.T.; Ayu, D.; Setyobudi, A.I.; Alyano, M.A. SmartPLS Application for Evaluating Cybersecurity Resilience in University of Raharja IT Infrastructure. Int. J. Cyber IT Serv. Manag. 2024, 4, 1–10. [Google Scholar] [CrossRef]
- Madushika, U.G.D.; Lu, W. Review of Structural Equation Modelling (SEM) Application in Construction Management. Eng. Constr. Archit. Manag. 2025; ahead-of-print. [Google Scholar] [CrossRef]
- Bujang, M.A.; Omar, E.D.; Foo, D.H.P.; Hon, Y.K. Sample Size Determination for Conducting a Pilot Study to Assess Reliability of a Questionnaire. Restor. Dent. Endod. 2024, 49, e3. [Google Scholar] [CrossRef] [PubMed]
- Fithri, P.; Hasan, A.; Syafrizal, S.; Games, D. Validation Studies a Questionnaire Developed to Measure Incubator Business Technology Performance Using PLS-SEM Approach. Andalasian Int. J. Appl. Sci. Eng. Technol. 2024, 4, 64–78. [Google Scholar] [CrossRef]
- Purwanto, A.; Sudargini, Y. Partial Least Squares Structural Squation Modeling (PLS-SEM) Analysis for Social and Management Research: A Literature Review. J. Ind. Eng. Manag. Res. 2021, 2, 114–123. [Google Scholar] [CrossRef]
- Kock, F.; Berbekova, A.; Assaf, A.G. Understanding and Managing the Threat of Common Method Bias: Detection, Prevention and Control. Tour. Manag. 2021, 86, 104330. [Google Scholar] [CrossRef]
- Cohen, J. Statistical Power Analysis for the Behavioral Sciences, 2nd ed.; Taylor and Francis: Abingdon, UK, 2013; ISBN 978-0-8058-0283-2. [Google Scholar]
- Carter, L.; Bélanger, F. The Utilization of E-Government Services: Citizen Trust, Innovation and Acceptance Factors. Inf. Syst. J. 2005, 15, 5–25. [Google Scholar] [CrossRef]
- Chan, F.K.Y.; Thong, J.Y.L.; Venkatesh, V.; Brown, S.A.; Hu, P.J.H.; Tam, K.Y. Modeling Citizen Satisfaction with Mandatory Adoption of an E-Government Technology. J. Assoc. Inf. Syst. 2011, 11, 519–549. [Google Scholar] [CrossRef]
- Gotthardt, M.; Mezhuyev, V. Measuring the Success of Recommender Systems: A PLS-SEM Approach. IEEE Access 2022, 10, 30610–30623. [Google Scholar] [CrossRef]
Disclaimer/Publisher’s Note: The statements, opinions and data contained in all publications are solely those of the individual author(s) and contributor(s) and not of MDPI and/or the editor(s). MDPI and/or the editor(s) disclaim responsibility for any injury to people or property resulting from any ideas, methods, instructions or products referred to in the content. |
© 2025 by the authors. Licensee MDPI, Basel, Switzerland. This article is an open access article distributed under the terms and conditions of the Creative Commons Attribution (CC BY) license (https://creativecommons.org/licenses/by/4.0/).


