Fibrous Polycaprolactone-Based Composite Materials with the Addition of Hardystonite: Haemostatic Potential, Antioxidant Activity, and Biocompatibility Assessment
Abstract
1. Introduction
2. Materials and Methods
2.1. Materials
2.2. Methods
2.2.1. Sample Fabrication
2.2.2. Surface Morphology Using Scanning Electron Microscopy and Energy-Dispersive X-Ray Spectroscopy
2.2.3. Specific Surface Area, Total Pore Volume, and Average Pore Size
2.2.4. Zeta Potential
2.2.5. Blood Plasma Coagulation: Activated Partial Thromboplastin Time, Prothrombin Time, and Thrombin Time
2.2.6. Thiobarbituric Acid Reactive Substances Assay
2.2.7. Preparation of Samples for the Assessment of Biological Properties
2.2.8. Cell Culture
2.2.9. Cell Viability Resazurin Assay
2.2.10. DNA Damage
3. Results and Discussion
3.1. Surface Morphology Using Scanning Electron Microscopy and Energy-Dispersive X-Ray Spectroscopy
3.2. Specific Surface, Total Pore Volume, and Average Pore Size
3.3. Zeta Potential
3.4. Blood Plasma Coagulation: Activated Partial Thromboplastin Time, Prothrombin Time, and Thrombin Time
3.5. Thiobarbituric Acid Reactive Substances Assay
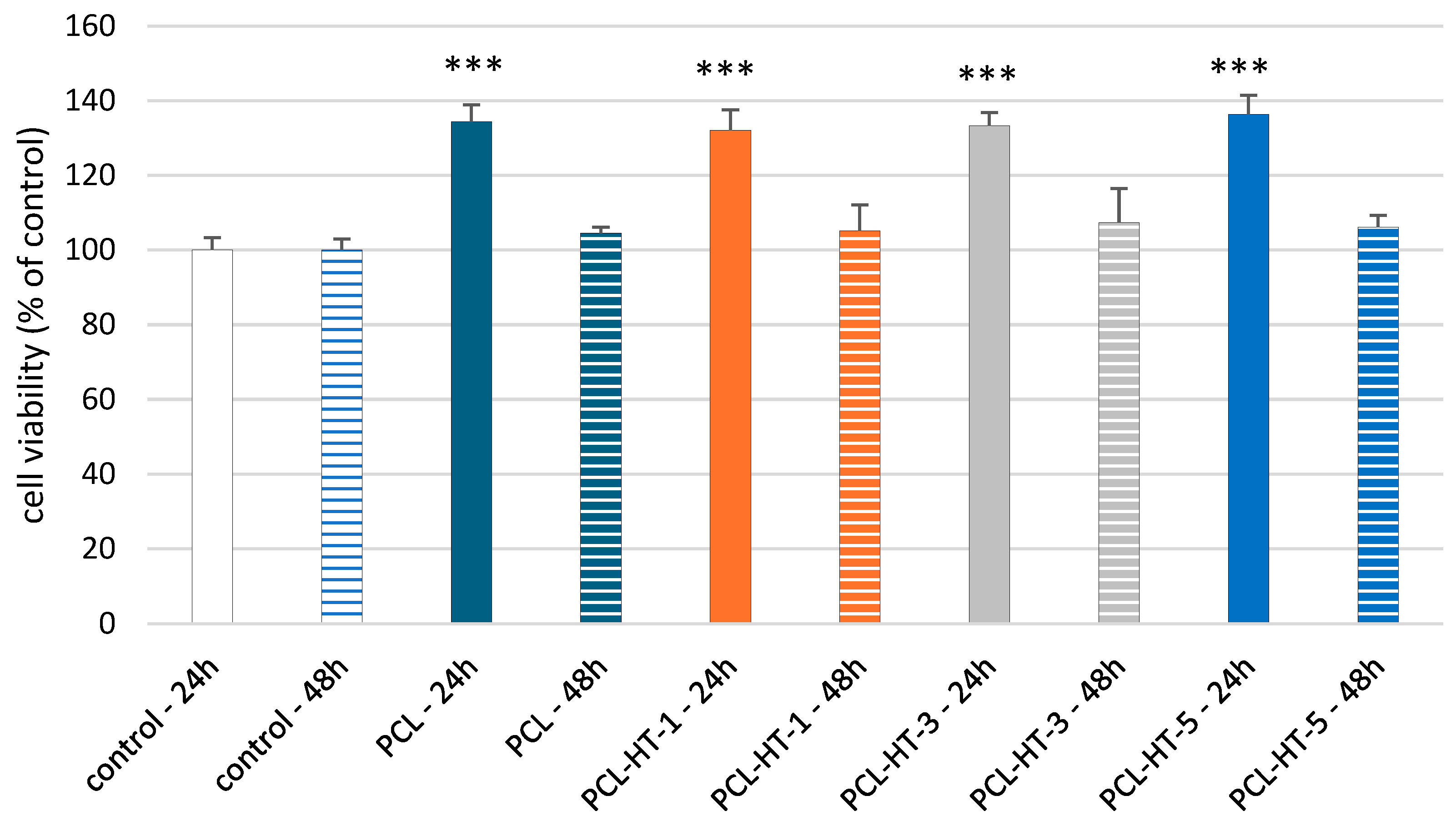
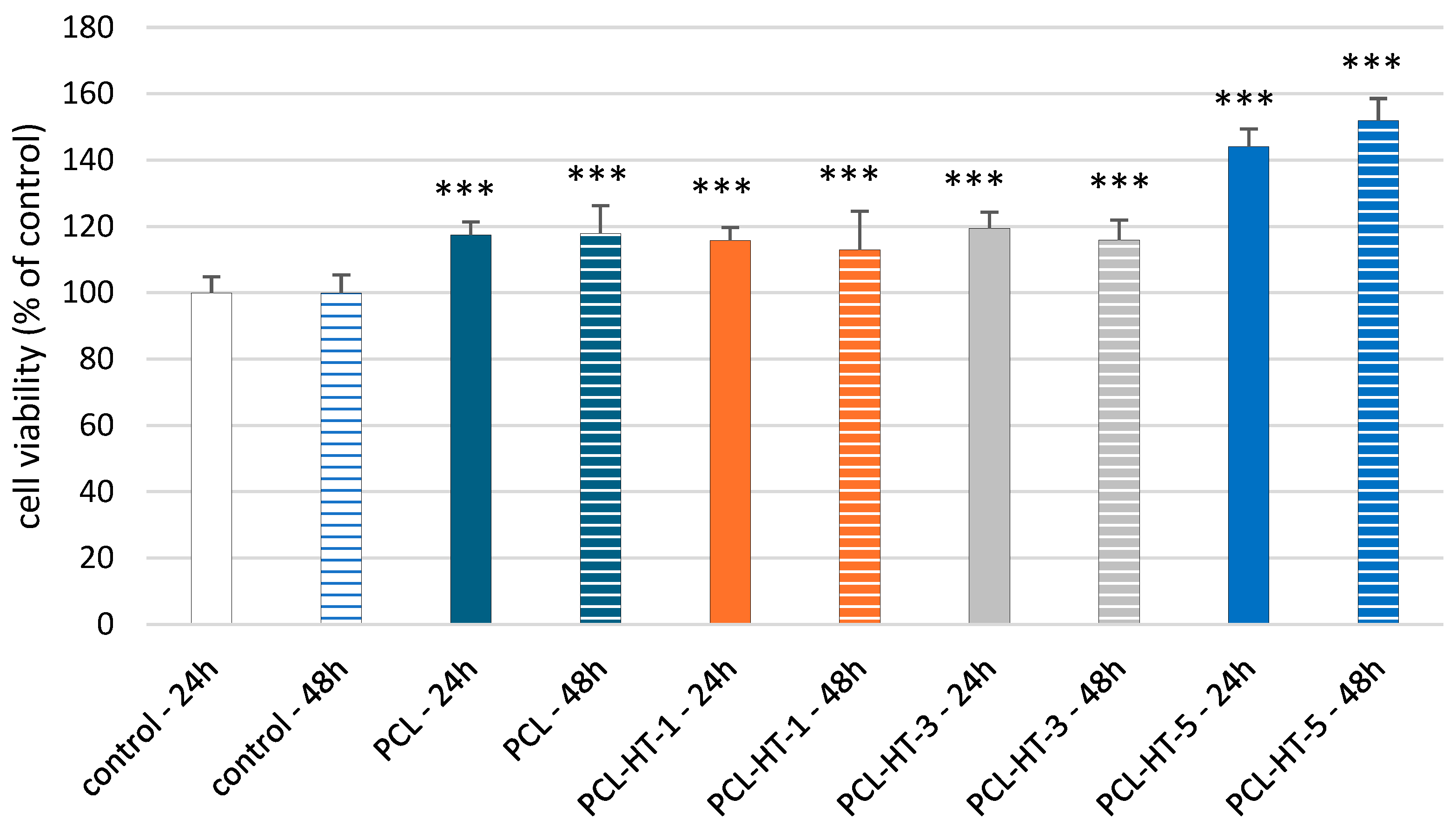
3.6. Effect on the Viability of PBM and Hs68 Cells
3.7. Effects on DNA Damage in PBM Cells and Hs68 Cells
4. Conclusions
Author Contributions
Funding
Institutional Review Board Statement
Informed Consent Statement
Data Availability Statement
Conflicts of Interest
References
- Kruk, A.; Gadomska-gajadhur, A. Rusztowania Komórkowe w Inżynierii Tkankowej. Wyr. Med. 2017, 4, 30–35. [Google Scholar]
- Xue, W.; Chen, P.; Wang, F.; Wang, L. Melt Spinning of Nano-Hydroxyapatite and Polycaprolactone Composite Fibers for Bone Scaffold Application. J. Mater. Sci. 2019, 54, 8602–8612. [Google Scholar] [CrossRef]
- Trevisol, T.C.; Langbehn, R.K.; Battiston, S.; Immich, A.P.S. Nonwoven Membranes for Tissue Engineering: An Overview of Cartilage, Epithelium, and Bone Regeneration. J. Biomater. Sci. Polym. Ed. 2019, 30, 1026–1049. [Google Scholar] [CrossRef] [PubMed]
- Hajiali, F.; Tajbakhsh, S.; Shojaei, A. Fabrication and Properties of Polycaprolactone Composites Containing Calcium Phosphate-Based Ceramics and Bioactive Glasses in Bone Tissue Engineering: A Review. Polym. Rev. 2018, 58, 164–207. [Google Scholar] [CrossRef]
- Mehrasa, M.; Asadollahi, M.A.; Nasri-Nasrabadi, B.; Ghaedi, K.; Salehi, H.; Dolatshahi-Pirouz, A.; Arpanaei, A. Incorporation of Mesoporous Silica Nanoparticles into Random Electrospun PLGA and PLGA/Gelatin Nanofibrous Scaffolds Enhances Mechanical and Cell Proliferation Properties. Mater. Sci. Eng. C 2016, 66, 25–32. [Google Scholar] [CrossRef]
- Pattanashetti, N.A.; Viana, T.; Alves, N.; Mitchell, G.R.; Kariduraganavar, M.Y. Development of Novel 3D Scaffolds Using BioExtruder by Varying the Content of Hydroxyapatite and Silica in PCL Matrix for Bone Tissue Engineering. J. Polym. Res. 2020, 27, 87. [Google Scholar] [CrossRef]
- Siddiqui, N.; Asawa, S.; Birru, B.; Baadhe, R.; Rao, S. PCL-Based Composite Scaffold Matrices for Tissue Engineering Applications. Mol. Biotechnol. 2018, 60, 506–532. [Google Scholar] [CrossRef]
- Rajzer, I. Fabrication of Bioactive Polycaprolactone/Hydroxyapatite Scaffolds with Final Bilayer Nano-/Micro-Fibrous Structures for Tissue Engineering Application. J. Mater. Sci. 2014, 49, 5799–5807. [Google Scholar] [CrossRef]
- Lee, E.J.; Teng, S.H.; Jang, T.S.; Wang, P.; Yook, S.W.; Kim, H.E.; Koh, Y.H. Nanostructured Poly(ε-Caprolactone)-Silica Xerogel Fibrous Membrane for Guided Bone Regeneration. Acta Biomater. 2010, 6, 3557–3565. [Google Scholar] [CrossRef]
- Ding, Y.; Roether, J.A.; Boccaccini, A.R.; Schubert, D.W. Fabrication of Electrospun Poly (3-Hydroxybutyrate)/Poly (ε-Caprolactone)/Silica Hybrid Fibermats with and without Calcium Addition. Eur. Polym. J. 2014, 55, 222–234. [Google Scholar] [CrossRef]
- Nikiforov, A.Y.; Deng, X.; Onyshchenko, I.; Vujosevic, D.; Vuksanovic, V.; Cvelbar, U.; De Geyter, N.; Morent, R.; Leys, C. Atmospheric Pressure Plasma Deposition of Antimicrobial Coatings on Non-Woven Textiles. Eur. Phys. J. Appl. Phys. 2016, 75, 24710. [Google Scholar] [CrossRef]
- Wei, Q.; Xiao, X.; Hou, D.; Ye, H.; Huang, F. Characterization of Nonwoven Material Functionalized by Sputter Coating of Copper. Surf. Coat. Technol. 2008, 202, 2535–2539. [Google Scholar] [CrossRef]
- Preem, L.; Kogermann, K. Electrospun Antimicrobial Wound Dressings: Novel Strategies to Fight Against Wound Infections. In Chronic Wounds, Wound Dressings and Wound Healing; Springer: Berlin/Heidelberg, Germany, 2018. [Google Scholar] [CrossRef]
- Maryin, P.V.; Bolbasov, E.N.; Tverdokhlebov, S.I. The Physico-Chemical Properties of Electrospun Vascular PLLA Scaffolds Modified by the DC Magnetron Sputtering of a Titanium Target. J. Phys. Conf. Ser. 2018, 1115, 032076. [Google Scholar] [CrossRef]
- Zhang, K.; Zheng, H.; Liang, S.; Gao, C. Aligned PLLA Nanofibrous Scaffolds Coated with Graphene Oxide for Promoting Neural Cell Growth. Acta Biomater. 2016, 37, 131–142. [Google Scholar] [CrossRef]
- Bolbasov, E.N.; Maryin, P.V.; Stankevich, K.S.; Kozelskaya, A.I.; Shesterikov, E.V.; Khodyrevskaya, Y.I.; Nasonova, M.V.; Shishkova, D.K.; Kudryavtseva, Y.A.; Anissimov, Y.G.; et al. Surface Modification of Electrospun Poly-(L-Lactic) Acid Scaffolds by Reactive Magnetron Sputtering. Colloids Surf. B Biointerfaces 2018, 162, 43–51. [Google Scholar] [CrossRef]
- Bolbasov, E.N.; Antonova, L.V.; Stankevich, K.S.; Ashrafov, A.; Matveeva, V.G.; Velikanova, E.A.; Khodyrevskaya, Y.I.; Kudryavtseva, Y.A.; Anissimov, Y.G.; Tverdokhlebov, S.I.; et al. The Use of Magnetron Sputtering for the Deposition of Thin Titanium Coatings on the Surface of Bioresorbable Electrospun Fibrous Scaffolds for Vascular Tissue Engineering: A Pilot Study. Appl. Surf. Sci. 2017, 398, 63–72. [Google Scholar] [CrossRef]
- Pantojas, V.M.; Velez, E.; Hernández, D.; Otaño, W. Initial Study on Fibers and Coatings for the Fabrication of Bioscaffolds. Puerto Rico Health Sci. J. 2009, 28, 258–265. [Google Scholar]
- Cai, S.; Pourdeyhimi, B.; Loboa, E.G. Industrial-Scale Fabrication of an Osteogenic and Antibacterial PLA/Silver-Loaded Calcium Phosphate Composite with Significantly Reduced Cytotoxicity. J. Biomed. Mater. Res. Part B Appl. Biomater. 2019, 107, 900–910. [Google Scholar] [CrossRef]
- Shim, I.K.; Jung, M.R.; Kim, K.H.; Seol, Y.J.; Park, Y.J.; Park, W.H.; Lee, S.J. Novel Three-Dimensional Scaffolds of Poly(L-Lactic Acid) Microfibers Using Electrospinning and Mechanical Expansion: Fabrication and Bone Regeneration. J. Biomed. Mater. Res. Part B Appl. Biomater. 2010, 95, 150–160. [Google Scholar] [CrossRef]
- Rajzer, I.; Grzybowska-Pietras, J.; Janicki, J. Fabrication of Bioactive Carbon Nonwovens for Bone Tissue Regeneration. Fibres Text. East. Eur. 2011, 84, 66–72. [Google Scholar]
- Ghosal, K.; Manakhov, A.; Zajíčková, L.; Thomas, S. Structural and Surface Compatibility Study of Modified Electrospun Poly(ε-Caprolactone) (PCL) Composites for Skin Tissue Engineering. AAPS PharmSciTech 2017, 18, 72–81. [Google Scholar] [CrossRef] [PubMed]
- Park, S.; Kim, J.; Lee, M.-K.; Park, C.; Jung, H.-D.; Kim, H.-E.; Jang, T.-S. Fabrication of Strong, Bioactive Vascular Grafts with PCL/Collagen and PCL/Silica Bilayers for Small-Diameter Vascular Applications. Mater. Des. 2019, 181, 108079. [Google Scholar] [CrossRef]
- Ródenas-Rochina, J.; Ribelles, J.L.G.; Lebourg, M. Comparative Study of PCL-HAp and PCL-Bioglass Composite Scaffolds for Bone Tissue Engineering. J. Mater. Sci. Mater. Med. 2013, 24, 1293–1308. [Google Scholar] [CrossRef] [PubMed]
- Plazas Bonilla, C.E.; Trujillo, S.; Demirdögen, B.; Perilla, J.E.; Murat Elcin, Y.; Gómez Ribelles, J.L. New Porous Polycaprolactone-Silica Composites for Bone Regeneration. Mater. Sci. Eng. C 2014, 40, 418–426. [Google Scholar] [CrossRef]
- Chen, B.; Sun, K. Poly (ε-Caprolactone)/Hydroxyapatite Composites: Effects of Particle Size, Molecular Weight Distribution and Irradiation on Interfacial Interaction and Properties. Polym. Test. 2005, 24, 64–70. [Google Scholar] [CrossRef]
- Surmenev, R.A.; Shkarina, S.; Syromotina, D.S.; Melnik, E.V.; Shkarin, R.; Selezneva, I.I.; Ermakov, A.M.; Ivlev, S.I.; Cecilia, A.; Weinhardt, V.; et al. Characterization of Biomimetic Silicate- and Strontium-Containing Hydroxyapatite Microparticles Embedded in Biodegradable Electrospun Polycaprolactone Scaffolds for Bone Regeneration. Eur. Polym. J. 2019, 113, 67–77. [Google Scholar] [CrossRef]
- Shor, L.; Güçeri, S.; Wen, X.; Gandhi, M.; Sun, W. Fabrication of Three-Dimensional Polycaprolactone/Hydroxyapatite Tissue Scaffolds and Osteoblast-Scaffold Interactions in Vitro. Biomaterials 2007, 28, 5291–5297. [Google Scholar] [CrossRef]
- Tian, G.; Zhu, G.; Xu, S.; Ren, T. A Novel Shape Memory Poly(ε-Caprolactone)/Hydroxyapatite Nanoparticle Networks for Potential Biomedical Applications. J. Solid State Chem. 2019, 272, 78–86. [Google Scholar] [CrossRef]
- Lin, Y.H.; Chiu, Y.C.; Shen, Y.F.; Wu, Y.H.A.; Shie, M.Y. Bioactive Calcium Silicate/Poly-ε-Caprolactone Composite Scaffolds 3D Printed under Mild Conditions for Bone Tissue Engineering. J. Mater. Sci. Mater. Med. 2018, 29, 11. [Google Scholar] [CrossRef]
- Wang, Y.; Dai, J.; Zhang, Q.; Xiao, Y.; Lang, M. Improved Mechanical Properties of Hydroxyapatite/Poly(ε-Caprolactone) Scaffolds by Surface Modification of Hydroxyapatite. Appl. Surf. Sci. 2010, 256, 6107–6112. [Google Scholar] [CrossRef]
- Shin, K.H.; Koh, Y.H.; Kim, H.E. Synthesis and Characterization of Drug-Loaded Poly(ε -Caprolactone)/Silica Hybrid Nanofibrous Scaffolds. J. Nanomater. 2013, 2013, 351810. [Google Scholar] [CrossRef]
- Ge, J.; Li, M.; Zhang, Q.; Yang, C.Z.; Wooley, P.H.; Chen, X.; Yang, S.Y. Silica Aerogel Improves the Biocompatibility in a Poly-ε-Caprolactone Composite Used as a Tissue Engineering Scaffold. Int. J. Polym. Sci. 2013, 2013, 402859. [Google Scholar] [CrossRef]
- Li, L.; Li, G.; Jiang, J.; Liu, X.; Luo, L.; Nan, K. Electrospun Fibrous Scaffold of Hydroxyapatite/Poly (∈-Caprolactone) for Bone Regeneration. J. Mater. Sci. Mater. Med. 2012, 23, 547–554. [Google Scholar] [CrossRef] [PubMed]
- Dwivedi, R.; Kumar, S.; Pandey, R.; Mahajan, A.; Nandana, D.; Katti, D.S.; Mehrotra, D. Polycaprolactone as Biomaterial for Bone Scaffolds: Review of Literature. J. Oral Biol. Craniofacial Res. 2020, 10, 381–388. [Google Scholar] [CrossRef]
- Castro, A.G.B.; Diba, M.; Kersten, M.; Jansen, J.A.; van den Beucken, J.J.J.P.; Yang, F. Development of a PCL-Silica Nanoparticles Composite Membrane for Guided Bone Regeneration. Mater. Sci. Eng. C 2018, 85, 154–161. [Google Scholar] [CrossRef]
- Liu, Y.; Liu, G.; Li, M.; He, C. Synthesis, Characterization, and Hydrolytic Degradation of Polylactide/Poly(ϵ-Caprolactone)/Nano-Silica Composites. J. Macromol. Sci. Part A Pure Appl. Chem. 2017, 54, 813–818. [Google Scholar] [CrossRef]
- Jeon, H.; Lee, M.; Yun, S.; Kang, D.; Park, K.-H.; Choi, S.; Choi, E.; Jin, S.; Shim, J.-H.; Yun, W.-S.; et al. Fabrication and Characterization of 3D-Printed Biocomposite Scaffolds Based on PCL and Silanated Silica Particles for Bone Tissue Regeneration. Chem. Eng. J. 2019, 360, 519–530. [Google Scholar] [CrossRef]
- Odent, J.; Habibi, Y.; Raquez, J.M.; Dubois, P. Ultra-Tough Polylactide-Based Materials Synergistically Designed in the Presence of Rubbery ε-Caprolactone-Based Copolyester and Silica Nanoparticles. Compos. Sci. Technol. 2013, 84, 86–91. [Google Scholar] [CrossRef]
- Hokmabad, V.R.; Davaran, S.; Aghazadeh, M.; Alizadeh, E.; Salehi, R.; Ramazani, A. A Comparison of the Effects of Silica and Hydroxyapatite Nanoparticles on Poly(ε-Caprolactone)-Poly(Ethylene Glycol)-Poly(ε-Caprolactone)/Chitosan Nanofibrous Scaffolds for Bone Tissue Engineering. Tissue Eng. Regen. Med. 2018, 15, 735–750. [Google Scholar] [CrossRef]
- Yu, J.; Xu, L.; Li, K.; Xie, N.; Xi, Y.; Wang, Y.; Zheng, X.; Chen, X.; Wang, M.; Ye, X. Zinc-Modified Calcium Silicate Coatings Promote Osteogenic Differentiation through TGF-β/Smad Pathway and Osseointegration. Sci. Rep. 2017, 7, 3440. [Google Scholar] [CrossRef]
- Hu, D.; Li, K.; Xie, Y.; Pan, H.; Zhao, J.; Huang, L.; Zheng, X. Different Response of Osteoblastic Cells to Mg2+, Zn2+ and Sr2+ Doped Calcium Silicate Coatings. J. Mater. Sci. Mater. Med. 2016, 27, 56. [Google Scholar] [CrossRef] [PubMed]
- Jaiswal, A.K.; Chhabra, H.; Kadam, S.S.; Londhe, K.; Soni, V.P.; Bellare, J.R. Hardystonite Improves Biocompatibility and Strength of Electrospun Polycaprolactone Nanofibers over Hydroxyapatite: A Comparative Study. Mater. Sci. Eng. C 2013, 33, 2926–2936. [Google Scholar] [CrossRef] [PubMed]
- Khanna, K.; Jaiswal, A.; Dhumal, R.V.; Selkar, N.; Chaudhari, P.; Soni, V.P.; Vanage, G.R.; Bellare, J. Comparative Bone Regeneration Study of Hardystonite and Hydroxyapatite as Filler in Critical-Sized Defect of Rat Calvaria. RSC Adv. 2017, 7, 37522–37533. [Google Scholar] [CrossRef]
- Ramirez Caballero, S.S.; Elsayed, H.; Tadier, S.; Montembault, A.; Maire, E.; David, L.; Delair, T.; Colombo, P.; Grémillard, L. Fabrication and Characterization of Hardystonite-Chitosan Biocomposite Scaffolds. Ceram. Int. 2019, 45, 8804–8814. [Google Scholar] [CrossRef]
- Sadeghzade, S.; Emadi, R.; Labbaf, S. Formation Mechanism of Nano-Hardystonite Powder Prepared by Mechanochemical Synthesis. Adv. Powder Technol. 2016, 27, 2238–2244. [Google Scholar] [CrossRef]
- Elsayed, H.; Zocca, A.; Franchin, G.; Bernardo, E.; Colombo, P. Hardystonite Bioceramics from Preceramic Polymers. J. Eur. Ceram. Soc. 2016, 36, 829–835. [Google Scholar] [CrossRef]
- Li, K.; Yu, J.; Xie, Y.; Huang, L.; Ye, X.; Zheng, X. Chemical Stability and Antimicrobial Activity of Plasma Sprayed Bioactive Ca2ZnSi2O7 Coating. J. Mater. Sci. Mater. Med. 2011, 22, 2781–2789. [Google Scholar] [CrossRef]
- Li, K.; Yu, J.; Xie, Y.; Huang, L.; Ye, X.; Zheng, X. Effects of Zn Content on Crystal Structure, Cytocompatibility, Antibacterial Activity, and Chemical Stability in Zn-Modified Calcium Silicate Coatings. J. Therm. Spray Technol. 2013, 22, 965–973. [Google Scholar] [CrossRef]
- Eltohamy, M.; Kundu, B.; Moon, J.; Lee, H.Y.; Kim, H.W. Anti-Bacterial Zinc-Doped Calcium Silicate Cements: Bone Filler. Ceram. Int. 2018, 44, 13031–13038. [Google Scholar] [CrossRef]
- Mohammadi, H.; Hafezi, M.; Nezafati, N.; Heasarki, S.; Nadernezhad, A.; Ghazanfari, S.M.H.; Sepantafar, M. Bioinorganics in Bioactive Calcium Silicate Ceramics for Bone Tissue Repair: Bioactivity and Biological Properties. J. Ceram. Sci. Technol. 2014, 5, 1–12. [Google Scholar] [CrossRef]
- Ma, J.; Huang, B.X.; Zhao, X.C.; Hao, X.H.; Wang, C.Z. Preparation and Characterization of Novel β-CaSiO3–Ca2ZnSi2O7 Bioceramics with Adjustable Degradability and Apatite-Formation Ability. Mater. Lett. 2019, 236, 566–569. [Google Scholar] [CrossRef]
- Aghajani, B.; Karamian, E.; Hosseini, B. Hydroxyapatite-Hardystonite Nanocomposite Scaffolds Prepared by the Replacing the Polyurethane Polymeric Sponge Technique for Tissue Engineering Applications. Nanomed. J. 2017, 4, 254–262. [Google Scholar] [CrossRef]
- Dehsheikh, H.G.; Karamian, E. Characterization and Synthesis of Hardystonite (HT) as a Novel Nanobioceramic Powder. Nanomed. J. 2016, 3, 143–146. [Google Scholar] [CrossRef]
- Mohammadi, H.; Hafezi, M.; Hesaraki, S.; Sepantafar, M.M. Preparation and Characterization of Sr-Ti-Hardystonite (Sr-Ti-HT) Nanocomposite for Bone Repair Application. Nanomed. J. 2015, 2, 203–210. [Google Scholar] [CrossRef]
- Yu, J.; Xu, L.; Xie, N.; Li, K.; Xi, Y.; Liu, X.; Zheng, X.; Chen, X.; Ye, X.; Wei, D. Optimal Zn-Modified Ca-Si-Based Ceramic Nanocoating with Zn Ion Release for Osteoblast Promotion and Osteoclast Inhibition in Bone Tissue Engineering. J. Nanomater. 2017, 2017, 7374510. [Google Scholar] [CrossRef]
- Wu, C.; Chang, J.; Zhai, W. A Novel Hardystonite Bioceramic: Preparation and Characteristics. Ceram. Int. 2005, 31, 27–31. [Google Scholar] [CrossRef]
- Jin, G.; Cao, H.; Qiao, Y.; Meng, F.; Zhu, H.; Liu, X. Osteogenic Activity and Antibacterial Effect of Zinc Ion Implanted Titanium. Colloids Surf. B Biointerfaces 2014, 117, 158–165. [Google Scholar] [CrossRef]
- Wang, X.; Ito, A.; Sogo, Y.; Li, X.; Oyane, A. Zinc-Containing Apatite Layers on External Fixation Rods Promoting Cell Activity. Acta Biomater. 2010, 6, 962–968. [Google Scholar] [CrossRef]
- Zhang, Z.; Li, W.; Liu, Y.; Yang, Z.; Ma, L.; Zhuang, H.; Wang, E.; Wu, C.; Huan, Z.; Guo, F.; et al. Design of a Biofluid-Absorbing Bioactive Sandwich-Structured Zn–Si Bioceramic Composite Wound Dressing for Hair Follicle Regeneration and Skin Burn Wound Healing. Bioact. Mater. 2021, 6, 1910–1920. [Google Scholar] [CrossRef]
- Yao, Q.; Wang, C.; Yu, B.; Wang, P.; Tang, X.; Shi, D.; Xia, Y.; Hu, Y.; Li, S.; Zhou, W. Well-Ordered and Visual Poly(ε-Caprolactone) Composite Fibrous Membranes for the Treatment of Skin Wounds. Colloids Surf. Physicochem. Eng. Asp. 2023, 674, 131940. [Google Scholar] [CrossRef]
- Li, Y.; Han, Y.; Wang, X.; Peng, J.; Xu, Y.; Chang, J. Multifunctional Hydrogels Prepared by Dual Ion Cross-Linking for Chronic Wound Healing. ACS Appl. Mater. Interfaces 2017, 9, 16054–16062. [Google Scholar] [CrossRef] [PubMed]
- Kluska, M.; Juszczak, M.; Wysokiński, D.; Żuchowski, J.; Stochmal, A.; Woźniak, K. Kaempferol Derivatives Isolated from Lens Culinaris Medik. Reduce DNA Damage Induced by Etoposide in Peripheral Blood Mononuclear Cells. Toxicol. Res. 2019, 8, 896–907. [Google Scholar] [CrossRef] [PubMed]
- O’Brien, J.; Wilson, I.; Orton, T.; Pognan, F. Investigation of the Alamar Blue (Resazurin) Fluorescent Dye for the Assessment of Mammalian Cell Cytotoxicity. Eur. J. Biochem. 2000, 267, 5421–5426. [Google Scholar] [CrossRef] [PubMed]
- Tokarz, P.; Piastowska-Ciesielska, A.W.; Kaarniranta, K.; Blasiak, J. All-Trans Retinoic Acid Modulates DNA Damage Response and the Expression of the VEGF-A and MKI67 Genes in ARPE-19 Cells Subjected to Oxidative Stress. Int. J. Mol. Sci. 2016, 17, 898. [Google Scholar] [CrossRef]
- Airaksinen, S. Role of Excipients in Moisture Sorption and Physical Stability of Solid Pharmaceutical Formulations. Ph.D. Thesis, University of Helsinki, Helsinki, Finland, 2005. [Google Scholar]
- Thommes, M.; Kaneko, K.; Neimark, A.V.; Olivier, J.P.; Rodriguez-Reinoso, F.; Rouquerol, J.; Sing, K.S.W. Physisorption of Gases, with Special Reference to the Evaluation of Surface Area and Pore Size Distribution (IUPAC Technical Report). Pure Appl. Chem. 2015, 87, 1051–1069. [Google Scholar] [CrossRef]
- Qi, L.; Tang, X.; Wang, Z.; Peng, X. Pore Characterization of Different Types of Coal from Coal and Gas Outburst Disaster Sites Using Low Temperature Nitrogen Adsorption Approach. Int. J. Min. Sci. Technol. 2017, 27, 371–377. [Google Scholar] [CrossRef]
- Metwally, S.; Ferraris, S.; Spriano, S.; Krysiak, Z.J.; Kaniuk, Ł.; Marzec, M.M.; Kim, S.K.; Szewczyk, P.K.; Gruszczyński, A.; Wytrwal-Sarna, M.; et al. Surface Potential and Roughness Controlled Cell Adhesion and Collagen Formation in Electrospun PCL Fibers for Bone Regeneration. Mater. Des. 2020, 194, 108915. [Google Scholar] [CrossRef]
- Marcotte, L.; Tabrizian, M. Sensing Surfaces: Challenges in Studying the Cell Adhesion Process and the Cell Adhesion Forces on Biomaterials. IRBM 2008, 29, 77–88. [Google Scholar] [CrossRef]
- Croisier, F.; Atanasova, G.; Poumay, Y.; Jérôme, C. Polysaccharide-Coated PCL Nanofibers for Wound Dressing Applications. Adv. Healthc. Mater. 2014, 3, 2032–2039. [Google Scholar] [CrossRef]
- Ms, M.; Venkatasubbu, G.D. Modulating Coagulation via Bioinspired Mesoporous Calcium-Decorated Silica Nanoparticles for Efficient Fibrin Clot Formation. ACS Appl. Bio Mater. 2024, 7, 6998–7008. [Google Scholar] [CrossRef]
- Zheng, Z.; Dai, X.; Li, X.; Du, C. PCL-Based and Hirudin-Containing Composite Nanofibers for Prolonged Anticoagulation Effect. Chem. Res. Chin. Univ. 2023, 39, 1023–1030. [Google Scholar] [CrossRef]
- Liu, J.; Zhou, X.; Zhang, Y.; Zhu, W.; Wang, A.; Xu, M.; Zhuang, S. Rapid Hemostasis and Excellent Antibacterial Cerium-Containing Mesoporous Bioactive Glass/Chitosan Composite Sponge for Hemostatic Material. Mater. Today Chem. 2022, 23, 100735. [Google Scholar] [CrossRef]
- Renné, T.; Schmaier, A.H.; Nickel, K.F.; Blombäck, M.; Maas, C. In Vivo Roles of Factor XII. Blood 2012, 120, 4296–4303. [Google Scholar] [CrossRef] [PubMed]
- Chen, X.; Wang, J.; Paszti, Z.; Wang, F.; Schrauben, J.N.; Tarabara, V.V.; Schmaier, A.H.; Chen, Z. Ordered Adsorption of Coagulation Factor XII on Negatively Charged Polymer Surfaces Probed by Sum Frequency Generation Vibrational Spectroscopy. Anal. Bioanal. Chem. 2007, 388, 65–72. [Google Scholar] [CrossRef] [PubMed]
- Kuchinka, J.; Willems, C.; Telyshev, D.V.; Groth, T. Control of Blood Coagulation by Hemocompatible Material Surfaces—A Review. Bioengineering 2021, 8, 215. [Google Scholar] [CrossRef]
- Ambrus, A.; Bányai, I.; Weiss, M.S.; Hilgenfeld, R.; Keresztessy, Z.; Muszbek, L.; Fésüs, L. Calcium Binding of Transglutaminases: A43Ca NMR Study Combined with Surface Polarity Analysis. J. Biomol. Struct. Dyn. 2001, 19, 59–74. [Google Scholar] [CrossRef]
- Varga-szabo, D.; Braun, A.; Nieswandt, B. Calcium Signaling in Platelets. J. Thromb. Haemost. 2009, 7, 1057–1066. [Google Scholar] [CrossRef]
- Singh, S.; Dodt, J.; Volkers, P.; Hethershaw, E.; Philippou, H.; Ivaskevicius, V.; Imhof, D.; Oldenburg, J.; Biswas, A. Structure Functional Insights into Calcium Binding during the Activation of Coagulation Factor XIII A. Sci. Rep. 2019, 9, 11324. [Google Scholar] [CrossRef]
- Mutch, N.J.; Waters, E.K.; Morrissey, J.H. Immobilized Transition Metals Stimulate Contact Activation and Drive Factor XII-Mediated Coagulation. J. Thromb. Haemost. JTH 2012, 10, 2108–2115. [Google Scholar] [CrossRef]
- Adamiak, Z.; Krystkiewicz, W.; Pomianowski, A.; Bukowiecka, D.; Zubrzycki, W.; Jałyński, M.; Holak, P.; Głodek, J.; Jastrzębski, P. The Effect of Hemostatic Dressing Prototypes for the Uniformed Services on Selected Blood Coagulation Parameters in Pigs. Acta Vet. Scand. 2017, 59, 29. [Google Scholar] [CrossRef]
- Chandler, W.L. Procoagulant Activity in Trauma Patients. Am. J. Clin. Pathol. 2010, 134, 90–96. [Google Scholar] [CrossRef] [PubMed]
- Bhattacharjee, S.; De Haan, L.H.; Evers, N.M.; Jiang, X.; Marcelis, A.T.; Zuilhof, H.; Rietjens, I.M.; Alink, G.M. Role of Surface Charge and Oxidative Stress in Cytotoxicity of Organic Monolayer-Coated Silicon Nanoparticles towards Macrophage NR8383 Cells. Part. Fibre Toxicol. 2010, 7, 25. [Google Scholar] [CrossRef]
- Marreiro, D.D.N.; Cruz, K.J.C.; Morais, J.B.S.; Beserra, J.B.; Severo, J.S.; De Oliveira, A.R.S. Zinc and Oxidative Stress: Current Mechanisms. Antioxidants 2017, 6, 24. [Google Scholar] [CrossRef]
- Comino-Sanz, I.M.; López-Franco, M.D.; Castro, B.; Pancorbo-Hidalgo, P.L. The Role of Antioxidants on Wound Healing: A Review of the Current Evidence. J. Clin. Med. 2021, 10, 3558. [Google Scholar] [CrossRef] [PubMed]
- Dunnill, C.; Patton, T.; Brennan, J.; Barrett, J.; Dryden, M.; Cooke, J.; Leaper, D.; Georgopoulos, N.T. Reactive Oxygen Species (ROS) and Wound Healing: The Functional Role of ROS and Emerging ROS-Modulating Technologies for Augmentation of the Healing Process. Int. Wound J. 2017, 14, 89–96. [Google Scholar] [CrossRef]
- Hamvar, M.; Bakhsheshi-Rad, H.R.; Omidi, M.; Ismail, A.F.; Aziz, M.; Berto, F.; Chen, X. Biocompatibility and Bioactivity of Hardystonite-Based Nanocomposite Scaffold for Tissue Engineering Applications. Biomed. Phys. Eng. Express 2020, 6, 035011. [Google Scholar] [CrossRef]
- Bagherpour, I.; Yaghtin, A.; Naghib, S.M.; Molaabasi, F. Synthesis and Investigation on Microstructural, Mechanical Features of Mesoporous Hardystonite/Reduced Graphene Oxide Nanocomposite for Medical Applications. Front. Bioeng. Biotechnol. 2023, 11, 1073435. [Google Scholar] [CrossRef]
- Chang, C.-H.; Tsai, L.-H.; Lee, Y.-C.; Yao, W.-C.; Lin, J.-J. Synergistic Effects of Silicate-Platelet Supporting Ag and ZnO, Offering High Antibacterial Activity and Low Cytotoxicity. Int. J. Mol. Sci. 2023, 24, 7024. [Google Scholar] [CrossRef]
- Shao, X.; Wei, X.; Song, X.; Hao, L.; Cai, X.; Zhang, Z.; Peng, Q.; Lin, Y. Independent Effect of Polymeric Nanoparticle Zeta Potential/Surface Charge, on Their Cytotoxicity and Affinity to Cells. Cell Prolif. 2015, 48, 465–474. [Google Scholar] [CrossRef]
- Singh, N.P.; McCoy, M.T.; Tice, R.R.; Schneider, E.L. A Simple Technique for Quantitation of Low Levels of DNA Damage in Individual Cells. Exp. Cell Res. 1988, 175, 184–191. [Google Scholar] [CrossRef]
- Jafari, F.; Jafari, S.; Etesamnia, P. Genotoxicity, Bioactivity and Clinical Properties of Calcium Silicate Based Sealers: A Literature Review. Iran. Endod. J. 2017, 12, 407–413. [Google Scholar] [CrossRef]
- Shah, V.; Taratula, O.; Garbuzenko, O.B.; Patil, M.L.; Savla, R.; Zhang, M.; Minko, T. Genotoxicity of Different Nanocarriers: Possible Modifications for the Delivery of Nucleic Acids. Curr. Drug Discov. Technol. 2013, 10, 8–15. [Google Scholar] [CrossRef][Green Version]
















| Sample Name | Specific Surface Area [m2/g] | Total Pore Volume [cm3/g] | Average Pore Size [nm] |
|---|---|---|---|
| PCL | 1.586 ± 0.038 | 7.357 × 10−3 | 19.01 |
| PCL-HT-1 | 1.135 ± 0.936 | 9.592 × 10−3 | 193.1 |
| PCL-HT-3 | 1.443 ± 0.029 | 7.321 × 10−3 | 19.9 |
| PCL-HT-5 | 1.600 ± 0.071 | 8.390 × 10−3 | 21.95 |
| Sample Name | PCL | PCL-HT-1 | PCL-HT-3 | PCL-HT-5 |
|---|---|---|---|---|
| Zeta potential [mV] | −34.05 ± 0.95 | −30.08 ± 0.27 | −27.54 ± 0.48 | −23.50 ± 1.89 |
| Sample Name | Control | PCL | PCL-HT-1 | PCL-HT-3 | PCL-HT-5 |
|---|---|---|---|---|---|
| TBARS [nM] | 1.30 ± 0.15 | 1.42 ± 0.14 | 0.96 ± 0.06 | 0.59 ± 0.12 | 1.17 ± 0.34 |
Disclaimer/Publisher’s Note: The statements, opinions and data contained in all publications are solely those of the individual author(s) and contributor(s) and not of MDPI and/or the editor(s). MDPI and/or the editor(s) disclaim responsibility for any injury to people or property resulting from any ideas, methods, instructions or products referred to in the content. |
© 2026 by the authors. Licensee MDPI, Basel, Switzerland. This article is an open access article distributed under the terms and conditions of the Creative Commons Attribution (CC BY) license.
Share and Cite
Kaczmarek, A.; Kudzin, M.H.; Juszczak, M.; Woźniak, K.; Król, P.; Vázquez, C.I.H.; Mrozińska, Z.; Chruściel, J.J. Fibrous Polycaprolactone-Based Composite Materials with the Addition of Hardystonite: Haemostatic Potential, Antioxidant Activity, and Biocompatibility Assessment. Macromol 2026, 6, 5. https://doi.org/10.3390/macromol6010005
Kaczmarek A, Kudzin MH, Juszczak M, Woźniak K, Król P, Vázquez CIH, Mrozińska Z, Chruściel JJ. Fibrous Polycaprolactone-Based Composite Materials with the Addition of Hardystonite: Haemostatic Potential, Antioxidant Activity, and Biocompatibility Assessment. Macromol. 2026; 6(1):5. https://doi.org/10.3390/macromol6010005
Chicago/Turabian StyleKaczmarek, Anna, Marcin H. Kudzin, Michał Juszczak, Katarzyna Woźniak, Paulina Król, César I. Hernández Vázquez, Zdzisława Mrozińska, and Jerzy J. Chruściel. 2026. "Fibrous Polycaprolactone-Based Composite Materials with the Addition of Hardystonite: Haemostatic Potential, Antioxidant Activity, and Biocompatibility Assessment" Macromol 6, no. 1: 5. https://doi.org/10.3390/macromol6010005
APA StyleKaczmarek, A., Kudzin, M. H., Juszczak, M., Woźniak, K., Król, P., Vázquez, C. I. H., Mrozińska, Z., & Chruściel, J. J. (2026). Fibrous Polycaprolactone-Based Composite Materials with the Addition of Hardystonite: Haemostatic Potential, Antioxidant Activity, and Biocompatibility Assessment. Macromol, 6(1), 5. https://doi.org/10.3390/macromol6010005

