Targeting Breast and Gynecologic Cancers: The Role of Natural Products with Emphasis on Cinnamon and Its Derivatives—Advances in Nanoscale Therapeutics and Adjuvant Strategies
Abstract
1. Introduction
2. Cinnamon Extract as an Anticancer Intervention in Breast and Gynecologic Cancers
3. Cinnamon Metabolites in Gynecological and Breast Carcinomas
3.1. Trans-cinnamaldehyde (CAL)
3.2. Trans-Cinnamic Acid
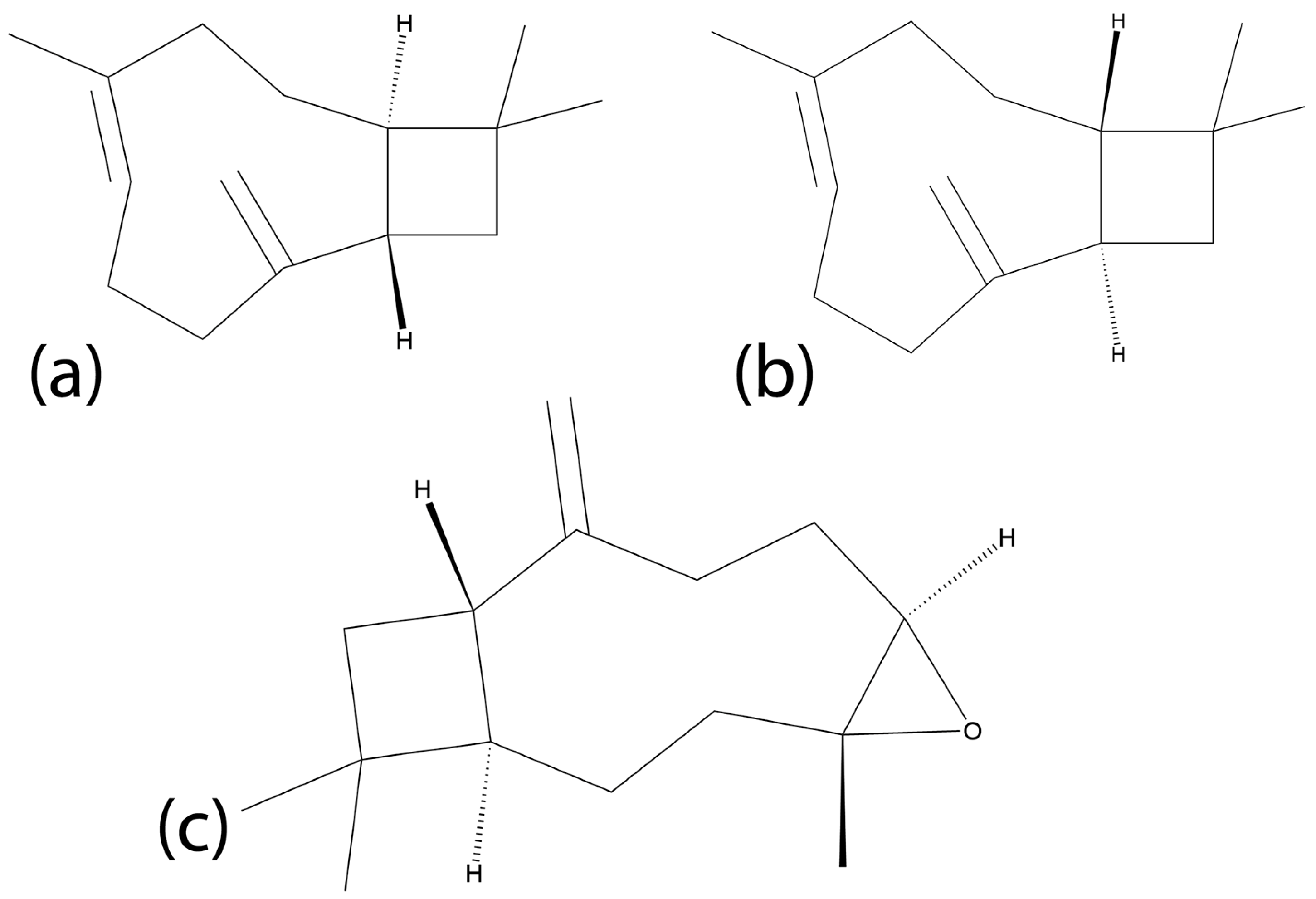
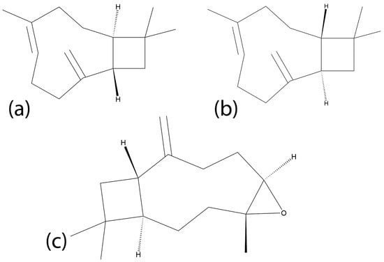
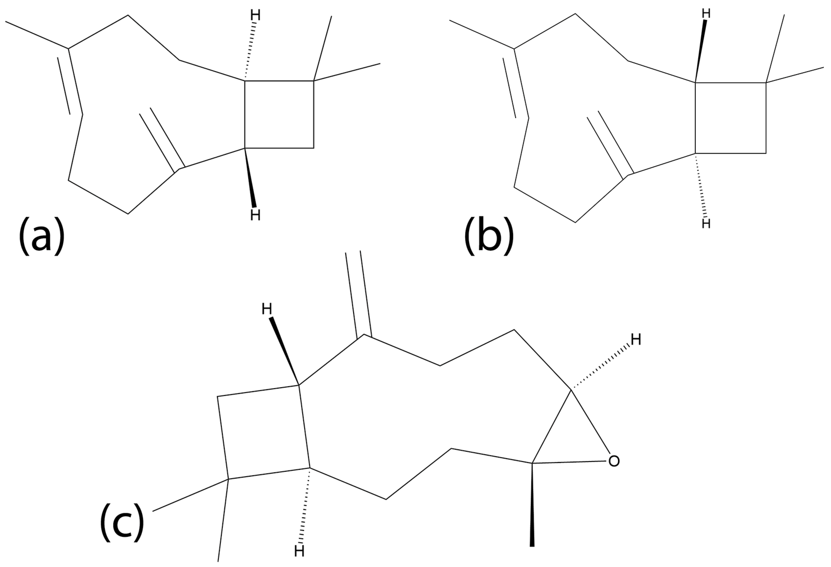
3.3. Caryophyllenes
4. Nanoformulations of Cinnamon Extract and Its Derivatives
5. CE and Its Derivatives as Adjuvants
6. Hybrid Scaffolds of Cinnamic Acid and Its Derivatives
7. Conclusions and Future Challenges
Author Contributions
Funding
Data Availability Statement
Acknowledgments
Conflicts of Interest
References
- Ji, H.; Lix, X.; Zhang, H.Y. Natural products and drug discovery: Can thousands of years of ancient medical knowledge lead us to new and powerful drug combinations in the fight against cancer and dementia? EMBO Rep. 2009, 10, 194–200. [Google Scholar] [CrossRef] [PubMed]
- Reshi, Z.; Ahmad, W.; Lukatkin, A.; Javed, S. From nature to lab: A review of secondary metabolite biosynthetic pathways, environmental influences and in vitro approaches. Metabolites 2023, 13, 895. [Google Scholar] [CrossRef] [PubMed]
- Rinehart, K. Secondary metabolites from marine organisms. Ciba Found. Symp. 1992, 171, 236–249. [Google Scholar]
- Chifiriuc, M.C.; Filip, R.; Constantin, M.; Pircalabioru, G.G.; Bleotu, C.; Burlibasa, L.; Ionica, E.; Corcionivoschi, N.; Mihaescu, G. Common Themes in Antimicrobial and Anticancer Drug Resistance. Front. Microbiol. 2022, 13, 960693. [Google Scholar] [CrossRef]
- Lauritano, C.; Martinez, K.; Battaglia, P.; Granata, A.; de la Cruz, M.; Cautain, B.; Martin, J.; Reyes, F.; Ianora, A.; Guglielmo, L. First evidence of anticancer and antimicrobial activity in mediterranean mesopelagic species. Sci. Rep. 2020, 10, 4929. [Google Scholar] [CrossRef]
- Pommier, Y.; Leo, E.; Zhang, H.; Marchand, C. DNA Topoisomerases and Their Poisoning by Anticancer and Antibacterial Drugs. Chem. Biol. 2010, 17, 421–433. [Google Scholar] [CrossRef]
- Tornesello, A.L.; Borrelli, A.; Buonaguro, L.; Buonaguro, F.M.; Tornesello, M.L. Antimicrobial Peptides as Anticancer Agents: Functional Properties and Biological Activities. Molecules 2020, 25, 2850. [Google Scholar] [CrossRef] [PubMed]
- Heulot, M.; Jacquier, N.; Aeby, S.; Le Roy, D.; Roger, T.; Trofimenko, E.; Barras, D.; Greub, G.; Widmann, C. The anticancer peptide TAT-RasGAP317-326 exerts broad antimicrobial activity. Front. Microbiol. 2017, 8, 994. [Google Scholar] [CrossRef] [PubMed]
- Zhou, M.; Zou, X.; Cheng, K.; Zhong, S.; Su, Y.; Wu, T.; Tao, Y.; Long, L.; Yan, B.; Jiang, Y. The role of cell-penetrating peptides in potential anti-cancer therapy. Clin. Trans. Med. 2022, 12, e822. [Google Scholar] [CrossRef]
- Rizvi, A.; Farhan, M.; Nabi, F.; Khan, R.H.; Adil, M.; Ahmad, A. Transcriptional Control of the Oxidative Stress Response and Implications of Using Plant Derived Molecules for Therapeutic Interventions in Cancer. Curr. Med. Chem. 2021, 28, 8480–8495. [Google Scholar] [CrossRef]
- Ávila-Gálvez, M.Á.; González-Sarrías, A.; Martínez-Díaz, F.; Abellán, B.; Martínez-Torrano, A.J.; Fernández-López, A.J.; Giménez-Bastida, J.A.; Espín, J.C. Disposition of Dietary Polyphenols in Breast Cancer Patients’ Tumors, and Their Associated Anticancer Activity: The Particular Case of Curcumin. Mol. Nutr. Food Res. 2021, 65, 2100163. [Google Scholar] [CrossRef]
- Li, H.; Yang, B.; Huang, J.; Xiang, T.; Yin, X.; Wan, J.; Luo, F.; Zhang, L.; Li, H.; Ren, G. Naringin Inhibits Growth Potential of Human Triple-Negative Breast Cancer Cells by Targeting β-Catenin Signaling Pathway. Toxicol. Lett. 2013, 220, 219–228. [Google Scholar] [CrossRef] [PubMed]
- Spatafora, C.; Tringali, C. Natural-Derived Polyphenols as Potential Anticancer Agents. Anticancer Agents Med. Chem. 2012, 12, 902–918. [Google Scholar] [CrossRef] [PubMed]
- Piao, L.; Mukherjee, S.; Chang, Q.; Xie, X.; Li, H.; Castellanos, M.R.; Banerjee, P.; Iqbal, H.; Ivancic, R.; Wang, X.; et al. TriCurin, a Novel Formulation of Curcumin, Epicatechin Gallate, and Resveratrol, Inhibits the Tumorigenicity of Human Papillomavirus-Positive Head and Neck Squamous Cell Carcinoma. Oncotarget 2016, 8, 60025–60035. [Google Scholar] [CrossRef]
- Han, Y.; Huang, M.; Li, L.; Cai, X.; Gao, Z.; Li, F.; Rakariyatham, K.; Song, M.; Fernández Tomé, S.; Xiao, H. Non-Extractable Polyphenols from Cranberries: Potential Anti-Inflammation and Anti-Colon-Cancer Agents. Food Funct. 2019, 10, 7714–7723. [Google Scholar] [CrossRef]
- Gollucke, A.P.B.; Aguiar, O.; Barbisan, L.F.; Ribeiro, D.A. Use of Grape Polyphenols against Carcinogenesis: Putative Molecular Mechanisms of Action Using in Vitro and in Vivo Test Systems. J. Med. Food 2013, 16, 199–205. [Google Scholar] [CrossRef]
- Huang, S.F.; Horng, C.T.; Hsieh, Y.S.; Hsieh, Y.H.; Chu, S.C.; Chen, P.N. Epicatechin-3-Gallate Reverses TGF-β1-Induced Epithelial-To-Mesenchymal Transition and Inhibits Cell Invasion and Protease Activities in Human Lung Cancer Cells. Food Chem. Toxicol. 2016, 94, 1–10. [Google Scholar] [CrossRef] [PubMed]
- Flores-Pérez, A.; Marchat, L.A.; Sánchez, L.L.; Romero-Zamora, D.; Arechaga-Ocampo, E.; Ramírez-Torres, N.; Chávez, J.D.; Carlos-Reyes, Á.; Astudillo-de la Vega, H.; Ruiz-García, E.; et al. Differential Proteomic Analysis Reveals That EGCG Inhibits HDGF and Activates Apoptosis to Increase the Sensitivity of Non-Small Cells Lung Cancer to Chemotherapy. Proteom. Clin. Appl. 2015, 10, 172–182. [Google Scholar] [CrossRef]
- Sidhar, H.; Giri, R.K. Induction of Bex Genes by Curcumin Is Associated with Apoptosis and Activation of P53 in N2a Neuroblastoma Cells. Sci. Rep. 2017, 7, 41420. [Google Scholar] [CrossRef]
- Hernandez-Valencia, J.; Garcia-Villa, E.; Arenas-Hernandez, A.; Garcia-Mena, J.; Diaz-Chavez, J.; Gariglio, P. Induction of P53 Phosphorylation at Serine 20 by Resveratrol Is Required to Activate P53 Target Genes, Restoring Apoptosis in MCF-7 Cells Resistant to Cisplatin. Nutrients 2018, 10, 1148. [Google Scholar] [CrossRef]
- Sun, X.-X.; Dai, M.-S. Deubiquitinating Enzyme Regulation of the P53 Pathway: A Lesson from Otub1. World J. Biol. Chem. 2014, 5, 75–84. [Google Scholar] [CrossRef] [PubMed]
- Zhang, P.; Zhang, X. Stimulatory Effects of Curcumin and Quercetin on Posttranslational Modifications of P53 during Lung Carcinogenesis. Hum. Exp. Toxicol. 2017, 37, 618–625. [Google Scholar] [CrossRef]
- Minnelli, C.; Moretti, P.; Fulgenzi, G.; Mariani, P.; Laudadio, E.; Armeni, T.; Galeazzi, R.; Mobbili, G. A Poloxamer-407 Modified Liposome Encapsulating Epigallocatechin-3-Gallate in the Presence of Magnesium: Characterization and Protective Effect against Oxidative Damage. Int. J. Pharm. 2018, 552, 225–234. [Google Scholar] [CrossRef] [PubMed]
- Dilkalal, A.; Annapurna, A.S.; Umesh, T.G. In Vitro Antioxidant, Anticancer and in Silico Studies of Polyphenol Enriched Leaf Extract of Asystasia Gangetica. Sci. Rep. 2024, 14, 28374. [Google Scholar] [CrossRef]
- Leopoldini, M.; Russo, N.; Toscano, M. The Molecular Basis of Working Mechanism of Natural Polyphenolic Antioxidants. Food Chem. 2011, 125, 288–306. [Google Scholar] [CrossRef]
- Oyenihi, A.B.; Smith, C. Are Polyphenol Antioxidants at the Root of Medicinal Plant Anti-Cancer Success? J. Ethnopharmacol. 2019, 229, 54–72. [Google Scholar] [CrossRef]
- Cabello, C.M.; Bair, W.B.; Lamore, S.D.; Ley, S.; Bause, A.S.; Azimian, S.; Wondrak, G.T. The Cinnamon-Derived Michael Acceptor Cinnamic Aldehyde Impairs Melanoma Cell Proliferation, Invasiveness, and Tumor Growth. Free Radic. Biol. Med. 2009, 46, 220–231. [Google Scholar] [CrossRef]
- Lee, C.W.; Lee, S.H.; Lee, J.W.; Ban, J.O.; Lee, S.Y.; Yoo, H.S.; Jung, J.K.; Moon, D.C.; Oh, K.W.; Hong, J.T. 2-Hydroxycinnamaldehyde Inhibits SW620 Colon Cancer Cell Growth through AP-1 Inactivation. J. Pharmacol. Sci. 2007, 104, 19–28. [Google Scholar] [CrossRef]
- Tsao, R. Chemistry and Biochemistry of Dietary Polyphenols. Nutrients 2010, 2, 1231–1246. [Google Scholar] [CrossRef]
- Karimi, A.; Majlesi, M.; Rafieian-Kopaei, M. Herbal versus Synthetic Drugs; Beliefs and Facts. J. Nephropharmacol. 2015, 4, 27–30. [Google Scholar]
- Vladu, A.; Ficai, D.; Ene, A.; Ficai, A. Combination Therapy Using Polyphenols: An Efficient Way to Improve Antitumoral Activity and Reduce Resistance. Int. J. Mol. Sci. 2022, 23, 10244. [Google Scholar] [CrossRef]
- Pichersky, E.; Raguso, R. Why do plants produce so many terpenoid compounds. New Phytol. 2018, 220, 692–702. [Google Scholar] [CrossRef]
- Avila, C. Terpenoids in marine heterobranch molluscs. Mar. Drugs. 2020, 18, 162. [Google Scholar] [CrossRef]
- Gutiérrez-del-Río, I.; López-Ibáñez, S.; Magadán-Corpas, P.; Fernández-Calleja, L.; Pérez-Valero, Á.; Tuñón-Granda, M.; Miguélez, E.M.; Villar, C.J.; Lombó, F. Terpenoids and Polyphenols as Natural Antioxidant Agents in Food Preservation. Antioxidants 2021, 10, 1264. [Google Scholar] [CrossRef]
- Alam, W.; Ahmed, I.; Ali, M.; Khan, F.; Khan, H. Neuroprotective effects of terpenoids. In Phytonutrients and Neurological Disorders; Academic Press: Cambridge, MA, USA, 2023; Chapter 8; pp. 227–244. [Google Scholar]
- Wojtunik, K.A.; Ciesla, L.M.; Waksmundzka-Hajnos, M. Model studies on the antioxidant activity of common terpenoid constituents of essential oils by means of the 2,2 diphenyl-1-picrylhydrazyl method. J. Agric. Food Chem. 2014, 62, 9088–9094. [Google Scholar] [CrossRef]
- Talib, W.H.; Abukhader, M.M. Combinatorial Effects of Thymoquinone on the Anticancer Activity and Hepatotoxicity of the Prodrug CB 1954. Sci. Pharm. 2013, 81, 519–530. [Google Scholar] [CrossRef] [PubMed]
- Shoaib, M.; Shah, I.; Ali, N.; Adhikari, A.; Tahir, M.N.; Shah, S.W.A.; Ishtiaq, S.; Khan, J.; Khan, S.; Umer, M.N. Sesquiterpene lactone! a promising antioxidant, anticancer and moderate antinociceptive agent from Artemisia macrocephala jacquem. BMC Complement. Altern. Med. 2017, 17, 27. [Google Scholar] [CrossRef] [PubMed]
- Zhou, X.; Sun, W.-J.; Wang, W.-M.; Chen, K.; Zheng, J.-H.; Lu, M.-D.; Li, P.-H.; Zheng, Z.-Q. Artesunate inhibits the growth of gastric cancer cells through the mechanism of promoting oncosis both in vitro and in vivo. Anticancer Drugs 2013, 24, 920–927. [Google Scholar] [CrossRef] [PubMed]
- Upadhyay, R.K. Therapeutic and Pharmaceutical Potential of Cinnamomum Tamala. Res. Rev. Pharm. Pharm. Sci. 2017, 6, 18–28. [Google Scholar]
- Plata-Rueda, A.; Campos, J.M.; da Silva Rolim, G.; Martínez, L.C.; Dos Santos, M.H.; Fernandes, F.L.; Serrão, J.E.; Zanuncio, J.C. Terpenoid Constituents of Cinnamon and Clove Essential Oils Cause Toxic Effects and Behavior Repellency Response on Granary Weevil, Sitophilus Granarius. Ecotoxicol. Environ. Saf. 2018, 156, 263–270. [Google Scholar] [CrossRef]
- Rao, P.V.; Gan, S.H. Cinnamon: A Multifaceted Medicinal Plant. eCAM 2014, 2014, 642942. [Google Scholar] [CrossRef] [PubMed]
- Akonoso, E.; Latifah, A.; Suwanti, L.; Haq, K.; Pertiwi, H. Clove flower extract (Syzygium aromaticum) has anticancer potential effect analyzed by molecular docking and brine shrimp lethality test (BSLT). Vet. Med. Int. 2022, 5113742. [Google Scholar]
- Mohanty, D.; Padhee, S.; Sahoo, C.; Jena, S.; Sahoo, A.; Panda, P.C.; Nayak, S.; Ray, A. Integrating Network Pharmacology and Experimental Verification to Decipher the Multitarget Pharmacological Mechanism of Cinnamomum Zeylanicum Essential Oil in Treating Inflammation. Heliyon 2024, 10, e24120. [Google Scholar] [CrossRef] [PubMed]
- Mutlu, M.; Bingol, Z.; Mehtap Uc, E.; Köksal, E.; Gören, A.C.; Alwasel, S.H.; Gülçin, İ. Comprehensive Metabolite Profiling of Cinnamon (Cinnamomum Zeylanicum) Leaf Oil Using LC-HR/MS, GC/MS, and GC-FID: Determination of Antiglaucoma, Antioxidant, Anticholinergic, and Antidiabetic Profiles. Life 2023, 13, 136. [Google Scholar] [CrossRef] [PubMed]
- Khedkar, S.; Khan, M.A. An in Vitro Study Elucidating the Synergistic Effects of Aqueous Cinnamon Extract and an Anti-TNF-α Biotherapeutic: Implications for a Complementary and Alternative Therapy for Non-Responders. BMC Complement. Med. Ther. 2024, 24, 131. [Google Scholar] [CrossRef]
- Rad, S.K.; Movafagh, A. Study of Antioxidant, Antiproliferative and DNA Damage Protecting Activities of Cinnamomum Cassia Extracts Obtained by Sequential Extraction. Recent Pat. Food Nutr. Agric. 2020, 11, 45–57. [Google Scholar] [CrossRef]
- Ribeiro-Santos, R.; Andrade, M.; Madella, D.; Martinazzo, A.P.; de Aquino Garcia Moura, L.; de Melo, N.R.; Sanches-Silva, A. Revisiting an Ancient Spice with Medicinal Purposes: Cinnamon. Trends Food Sci. Technol. 2017, 62, 154–169. [Google Scholar] [CrossRef]
- Haw, S.G. Cinnamon, Cassia and Ancient Trade. J. Anc. Hist. Archaeol. 2017, 4, 5–18. [Google Scholar] [CrossRef]
- Bronkhorst, J. Early Interactions Between South and Southeast Asia: Reflections on Cross-Cultural Exchange; Manguin, P.-Y., Mani, A., Wade, G., Eds.; Institute of Southeast Asian Studies: Singapore, 2011; pp. 263–275. [Google Scholar]
- Wang, Y.-H.; Avula, B.; Nanayakkara, N.P.D.; Zhao, J.; Khan, I.A. Cassia Cinnamon as a Source of Coumarin in Cinnamon-Flavored Food and Food Supplements in the United States. J. Agric. Food Chem. 2013, 61, 4470–4476. [Google Scholar] [CrossRef]
- Ngoc, T.M.; Lee, I.; Ha, D.T.; Kim, H.; Min, B.; Bae, K. Tyrosinase-Inhibitory Constituents from the Twigs of Cinnamomum Cassia. J. Nat. Prod. 2009, 72, 1205–1208. [Google Scholar] [CrossRef]
- Liao, S.-G.; Yuan, T.; Zhang, C.; Yang, S.-P.; Wu, Y.; Yue, J.-M. Cinnacassides A–E, Five Geranylphenylacetate Glycosides from Cinnamomum Cassia. Tetrahedron 2009, 65, 883–887. [Google Scholar] [CrossRef]
- Khan, A.; Safdar, M.; Ali Khan, M.M.; Khattak, K.N.; Anderson, R.A. Cinnamon Improves Glucose and Lipids of People with Type 2 Diabetes. Diabetes Care 2003, 26, 3215–3218. [Google Scholar] [CrossRef]
- Allen, R.W.; Schwartzman, E.; Baker, W.L.; Coleman, C.I.; Phung, O.J. Cinnamon Use in Type 2 Diabetes: An Updated Systematic Review and Meta-Analysis. Ann. Fam. Med. 2013, 11, 452–459. [Google Scholar] [CrossRef] [PubMed]
- Wariyapperuma, W.A.N.M.; Kannangara, S.; Wijayasinghe, Y.S.; Subramanium, S.; Jayawardena, B. In Vitro Anti-Diabetic Effects and Phytochemical Profiling of Novel Varieties of Cinnamomum Zeylanicum (L.) Extracts. PeerJ 2020, 8, e10070. [Google Scholar] [CrossRef]
- Morsi, D.; El-Nabi, S.; Elmaghraby, M.; Ali, O.; Fayad, E.; Khalifa, S.; El-Seedi, H.; El-Garawani, I.M. Antiproliferative and immunomodulatory potencies of cinnamon oil in Ehrlich ascites carcinoma bearing mice. Sci. Rep. 2022, 12, 11839. [Google Scholar] [CrossRef] [PubMed]
- Ly, D.; Forman, D.; Ferlay, J.; Brinton, L.A.; Cook, M.B. An International Comparison of Male and Female Breast Cancer Incidence Rates. Int. J. Cancer 2012, 132, 1918–1926. [Google Scholar] [CrossRef]
- National Center for Biotechnology Information (US). Genes and Disease [Internet]. Bethesda (MD): National Center for Biotechnology Information (US); 1998-. Breast and Ovarian Cancer. Available online: https://www.ncbi.nlm.nih.gov/books/NBK22168/ (accessed on 30 December 2024).
- Borzoei, A.; Rafraf, M.; Niromanesh, S.; Farzadi, L.; Narimani, F.; Doostan, F. Effects of cinnamon supplementation on antioxidant status and serum lipids in women in polycystic ovary syndrome. J. Tradit. Complement. Med. 2018, 8, 128–133. [Google Scholar] [CrossRef]
- Kallel, I.; Hadrich, B.; Gargouri, B.; Chaabane, A.; Lassoued, S.; Gdoura, R.; Bayoudh, A.; Ben Messaoud, E. Optimization of Cinnamon (Cinnamomum Zeylanicum Blume) Essential Oil Extraction: Evaluation of Antioxidant and Antiproliferative Effects. eCAM 2019, 2019, 6498347. [Google Scholar] [CrossRef]
- Yang, T.; Xu, L.; Li, B.; Li, W.; Ma, X.; Fan, L.; Lee, R.; Xu, C.; Xiang, G. Antitumor Activity of a Folate Receptor-Targeted Immunoglobulin G-Doxorubicin Conjugate. Int. J. Nanomed. 2017, 12, 2505–2515. [Google Scholar] [CrossRef]
- Wang, Y.; Peng, R.-Q.; Li, D.-D.; Ding, Y.; Wu, X.-Q.; Zeng, Y.-X.; Zhu, X.-F.; Zhang, X.-S. Chloroquine Enhances the Cytotoxicity of Topotecan by Inhibiting Autophagy in Lung Cancer Cells. Chin. J. Cancer 2011, 30, 690–700. [Google Scholar] [CrossRef]
- Sung, H.; Ferlay, J.; Siegel, R.L.; Laversanne, M.; Soerjomataram, I.; Jemal, A.; Bray, F. Global Cancer Statistics 2020: GLOBOCAN Estimates of Incidence and Mortality Worldwide for 36 Cancers in 185 Countries. CA Cancer J. Clin. 2021, 71, 209–249. [Google Scholar] [CrossRef] [PubMed]
- Koppikar, S.J.; Choudhari, A.S.; Suryavanshi, S.A.; Kumari, S.; Chattopadhyay, S.; Kaul-Ghanekar, R. Aqueous Cinnamon Extract (ACE-c) from the Bark of Cinnamomum Cassiacauses Apoptosis in Human Cervical Cancer Cell Line (SiHa) through Loss of Mitochondrial Membrane Potential. BMC Cancer 2010, 10, 210. [Google Scholar] [CrossRef] [PubMed]
- Yang, P.-M.; Chou, C.-J.; Tseng, S.-H.; Hung, C.-F. Bioinformatics and in vitro experimental analyses identify the selective therapeutic potential of interferon gamma and apigenin against cervical squamous cell carcinoma and adenocarcinoma. Oncotarget 2017, 8, 46145–46162. [Google Scholar] [CrossRef] [PubMed]
- Arnold, M.; Morgan, E.; Rumgay, H.; Mafra, A.; Singh, D.; Laversanne, M.; Vignat, J.; Gralow, J.R.; Cardoso, F.; Siesling, S.; et al. Current and Future Burden of Breast Cancer: Global Statistics for 2020 and 2040. Breast 2022, 66, 15–23. [Google Scholar] [CrossRef]
- Husain, I.; Ahmad, R.; Chandra, A.; Raza, S.T.; Shukla, Y.; Mahdi, F. Phytochemical Characterization and Biological Activity Evaluation of Ethanolic Extract of Cinnamomum Zeylanicum. J. Ethnopharmacol. 2018, 219, 110–116. [Google Scholar] [CrossRef]
- Wagner, K.-U. Know Thy Cells: Commonly Used Triple-Negative Human Breast Cancer Cell Lines Carry Mutations in RAS and Effectors. Breast Cancer Res. 2022, 24, 44. [Google Scholar] [CrossRef]
- Nakayama, J.; Konno, Y.; Maruyama, A.; Tomita, M.; Makinoshima, H. Cinnamon Bark Extract Suppresses Metastatic Dissemination of Cancer Cells through Inhibition of Glycolytic Metabolism. J. Nat. Med. 2022, 76, 686–692. [Google Scholar] [CrossRef]
- Nakayama, J.; Tan, L.; Li, Y.; Goh, B.C.; Wang, S.; Makinoshima, H.; Gong, Z. A Zebrafish Embryo Screen Utilizing Gastrulation Identifies the HTR2C Inhibitor Pizotifen as a Suppressor of EMT-Mediated Metastasis. eLife 2021, 10, e70151. [Google Scholar] [CrossRef]
- Rad, S.K.; Kanthimathi, M.; Malek, N.; Lee, G.; Looi, C.; Wong, W. Cinnamomum cassia suppresses Caspase-9 through stimulation of AKT1 in MCF-7 cells but not MDA-MB-231 cells. PLoS ONE 2015, 10, e0145216. [Google Scholar]
- Singh, S.; Shrivastava, R.; Goswami, B.; Koner, B.C. The apoptosis modulating effect of hydroethanolic cinnamon extract on breast cancer cell line. J. Herbal Med. 2024, 44, 100847. [Google Scholar] [CrossRef]
- Nagy, J.; Armbruster, D. Evolution of uncontrolled proliferation and angiogenic switch in cancer. Math. Biosci. Eng. 2012, 9, 843–876. [Google Scholar]
- Lu, J.; Zhang, K.; Nam, S.; Anderson, R.A.; Jove, R.; Wen, W. Novel Angiogenesis Inhibitory Activity in Cinnamon Extract Blocks VEGFR2 Kinase and Downstream Signaling. Carcinogenesis 2010, 31, 481–488. [Google Scholar] [CrossRef] [PubMed]
- Duffy, A.M.; Bouchier-Hayes, D.J.; Harmey, J.H. Vascular Endothelial Growth Factor (VEGF) and Its Role in Non-Endothelial Cells: Autocrine Signaling by VEGF. In Madame Curie Bioscience Database; Landes Bioscience: Austin, TX, USA, 2013. Available online: https://www.ncbi.nlm.nih.gov/books/NBK6482/ (accessed on 28 December 2024).
- Zhang, K.; Han, E.S.; Dellinger, T.H.; Lu, J.; Nam, S.; Anderson, R.A.; Yim, J.H.; Wen, W. Cinnamon Extract Reduces VEGF Expression via Suppressing HIF-1α Gene Expression and Inhibits Tumor Growth in Mice. Mol. Carcinog. 2016, 56, 436–446. [Google Scholar] [CrossRef]
- Kubatka, P.; Kello, M.; Kajo, K.; Samec, M.; Jasek, K.; Vybohova, D.; Uramova, S.; Liskova, A.; Sadlonova, V.; Koklesova, L.; et al. Chemopreventive and Therapeutic Efficacy of Cinnamomum Zeylanicum L. Bark in Experimental Breast Carcinoma: Mechanistic in Vivo and in Vitro Analyses. Molecules 2020, 25, 1399. [Google Scholar] [CrossRef]
- Wang, Q.; Zhang, L.; Yuan, X.; Ou, Y.; Zhu, X.; Cheng, Z.; Zhang, P.; Wu, X.; Meng, Y.; Zhang, L. The Relationship between the Bcl-2/Bax Proteins and the Mitochondria-Mediated Apoptosis Pathway in the Differentiation of Adipose-Derived Stromal Cells into Neurons. PLoS ONE 2016, 11, e0163327. [Google Scholar] [CrossRef]
- Li, Y.; Kong, D.; Wu, H. Analysis and Evaluation of Essential Oil Components of Cinnamon Barks Using GC–MS and FTIR Spectroscopy. Ind. Crops Prod. 2013, 41, 269–278. [Google Scholar] [CrossRef]
- Alizadeh Behbahani, B.; Falah, F.; Lavi Arab, F.; Vasiee, M.; Tabatabaee Yazdi, F. Chemical Composition and Antioxidant, Antimicrobial, and Antiproliferative Activities of Cinnamomum Zeylanicum Bark Essential Oil. eCAM 2020, 2020, 5190603. [Google Scholar] [CrossRef]
- Shahina, Z.; Molaeitabari, A.; Sultana, T.; Dahms, T.E.S. Cinnamon Leaf and Clove Essential Oils Are Potent Inhibitors of Candida Albicans Virulence Traits. Microorganisms 2022, 10, 1989. [Google Scholar] [CrossRef] [PubMed]
- Bahramsoltani, R.; Shahpiri, Z.; Farzaei, M.H.; Hosseinzadeh, L.; Rezazadeh, D.; Pourfarzam, M.; Rahimi, R. Effects of Cinnamon Oil and Its Main Constituents, Cinnamic Acid and Cinnamaldehyde, on 1-Methyl-4-Phenyl-1,2,3,6-Tetrahydropyridine-Induced Neurodegeneration in PC-12 Cells. Boletín Latinoam. Caribe Plantas Med. Aromáticas 2023, 22, 837–847. [Google Scholar] [CrossRef]
- Armando, B.; Awwad, F.; Desgagné-Penix, I. Cinnamaldehyde in Focus: Antimicrobial Properties, Biosynthetic Pathway, and Industrial Applications. Antibiotics 2024, 13, 1095. [Google Scholar] [CrossRef]
- Sharifi-Rad, J.; Dey, A.; Koirala, N.; Shaheen, S.; El Omari, N.; Salehi, B.; Goloshvili, T.; Cirone Silva, N.C.; Bouyahya, A.; Vitalini, S.; et al. Cinnamomum Species: Bridging Phytochemistry Knowledge, Pharmacological Properties and Toxicological Safety for Health Benefits. Front. Pharmacol. 2021, 12, 600139. [Google Scholar] [CrossRef] [PubMed]
- Wahab, W.A.; Adzmi, A.N. The Investigation of Cytotoxic Effect of Cinnamomum zeylanicum Extracts on Human Breast Cancer Cell Line (MCF-7). Sci. Herit. J. 2017, 1, 23–28. [Google Scholar] [CrossRef]
- Vangalapati, M.; Nandam, S.S.; Prakash, D.V.S. In-Vitro Anti-Cancer Studies of Cinnamaldehyde on Breast Cancer Cell Line (MCF-7). Tsbt-BioTechnology 2013, 7, 81–84. [Google Scholar]
- Liu, Y.; An, T.; Wan, D.; Yu, B.; Fan, Y.; Pei, X. Targets and Mechanism Used by Cinnamaldehyde, the Main Active Ingredient in Cinnamon, in the Treatment of Breast Cancer. Front. Pharmacol. 2020, 11, 582719. [Google Scholar] [CrossRef] [PubMed]
- Wang, Y.; Li, Y.; Wang, L.; Chen, B.; Zhu, M.; Ma, C.; Mu, C.; Tao, A.; Li, S.; Luo, L.; et al. Cinnamaldehyde Suppressed EGF-Induced EMT Process and Inhibits Ovarian Cancer Progression through PI3K/AKT Pathway. Front. Pharmacol. 2022, 13, 779608. [Google Scholar] [CrossRef]
- Hallas-Potts, A.; Dawson, J.; Herrington, C. Ovarian cancer cell lines derived from non-serous carcinomas migrate and invade more aggressively than those derived from high-grade serous carcinomas. Sci. Rep. 2019, 9, 5515. [Google Scholar] [CrossRef]
- Lamendola, D.; Duan, Z.; Yusuf, R.; Seiden, M. Molecular description of evolving paclitaxel resistance in the SKOV-3 human ovarian carcinoma cell line. Cancer Res. 2003, 63, 2200–2205. [Google Scholar]
- Yan, X.D.; Li, M.; Yuan, Y.; Mao, N.; Pan, L.Y. Biological comparison of ovarian cancer resistant cell lines to cisplatin and Taxol by two different administrations. Oncol. Rep. 2007, 17, 1163–1169. [Google Scholar] [CrossRef] [PubMed]
- Boggiti, M. Effect of Cinnamaldehyde on Female Reproductive Hormones in 7, 12 Dimethyl Benzanthracene Induced Ovarian Cancer Rats. Int. J. Res. Appl. Sci. Eng. Technol. 2021, 9, 346–350. [Google Scholar] [CrossRef]
- Ruwizhi, N.; Aderibigbe, B.A. Cinnamic Acid Derivatives and Their Biological Efficacy. Int. J. Mol. Sci. 2020, 21, 5712. [Google Scholar] [CrossRef]
- Pal, A.; Tapadar, P.; Pal, R. Exploring the Molecular Mechanism of Cinnamic Acid-Mediated Cytotoxicity in Triple Negative MDA-MB-231 Breast Cancer Cells. Anticancer Agents Med. Chem. 2020, 20, 1141–1150. [Google Scholar] [CrossRef]
- Hunke, M.; Martinez, W.; Kashyap, A.; Bokoskie, T.; Pattabiraman, M.; Chandra, S. Antineoplastic Actions of Cinnamic Acids and Their Dimers in Breast Cancer Cells: A Comparative Study. Anticancer Res. 2018, 38, 4469–4474. [Google Scholar] [CrossRef]
- Fan, R.; Liang, Z.; Wang, Q.; Chen, S.; Huang, S.; Liu, J.; Huang, R.; Chen, J.; Zhao, F.; Huang, W. Beneficial Action of Cinnamic Acid against Ovarian Cancer via Network Pharmacology Analysis and the Pharmacological Activity Assessment. Naunyn-Schmiedeberg’s Arch. Pharmacol. 2023, 397, 2987–2994. [Google Scholar] [CrossRef] [PubMed]
- Kanimozhi, G.; Prasad, N. Chp. 73 Anticancer effect of caffeic acid on human cervical cancer cells. In Coffee in Health and Disease Prevention; Academic Press: San Diego, CA, USA, 2015; pp. 655–661. [Google Scholar]
- Imai, M.; Yokoe, H.; Tsubuki, M.; Takahasi, N. Growth inhibition of human breast and prostate cancer cells by cinnamic acid derivatives and their mechanism of action. Biol. Pharm. Bull. 2019, 42, 1134–1139. [Google Scholar] [CrossRef] [PubMed]
- Liu, G.-L.; Han, N.-Z.; Liu, S.-S. Caffeic acid phenethyl ester inhibits the progression of ovarian cancer by regulating NF-κb signaling. Biomed. Pharmacother. 2018, 99, 825–831. [Google Scholar] [CrossRef]
- Abd El-Hack, M.E.; Alagawany, M.; Abdel-Moneim, A.M.E.; Mohammed, N.G.; Khafaga, A.F.; Bin-Jumah, M.; Othman, S.I.; Allam, A.A.; Elnesr, S.S. Cinnamon (Cinnamomum zeylanicum) Oil as a Potential Alternative to Antibiotics in Poultry. Antibiotics 2020, 9, 210. [Google Scholar] [CrossRef] [PubMed]
- Tung, Y.-T.; Chua, M.-T.; Wang, S.-Y.; Chang, S.-T. Anti-Inflammation Activities of Essential Oil and Its Constituents from Indigenous Cinnamon (Cinnamomum osmophloeum) Twigs. Bioresour. Technol. 2008, 99, 3908–3913. [Google Scholar] [CrossRef]
- Francomano, F.; Caruso, A.; Barbarossa, A.; Fazio, A.; La Torre, C.; Ceramella, J.; Mallamaci, R.; Saturnino, C.; Iacopetta, D.; Sinicropi, M.S. β-Caryophyllene: A Sesquiterpene with Countless Biological Properties. Appl. Sci. 2019, 9, 5420. [Google Scholar] [CrossRef]
- Nuutinen, T. Medicinal Properties of Terpenes Found in Cannabis sativa and Humulus lupulus. Eur. J. Med. Chem. 2018, 157, 198–228. [Google Scholar] [CrossRef]
- Fidyt, K.; Fiedorowicz, A.; Strządała, L.; Szumny, A. β-Caryophyllene and β-Caryophyllene Oxide—Natural Compounds of Anticancer and Analgesic Properties. Cancer Med. 2016, 5, 3007–3017. [Google Scholar] [CrossRef]
- Dahham, S.S.; Tabana, Y.M.; Iqbal, M.A.; Ahamed, M.B.K.; Ezzat, M.O.; Majid, A.S.A.; Majid, A.M.S.A. The Anticancer, Antioxidant and Antimicrobial Properties of the Sesquiterpene β-Caryophyllene from the Essential Oil of Aquilaria Crassna. Molecules 2015, 20, 11808–11829. [Google Scholar] [CrossRef]
- Park, K.-R.; Nam, D.; Yun, H.-M.; Lee, S.-G.; Jang, H.-J.; Sethi, G.; Cho, S.K.; Ahn, K.S. β-Caryophyllene Oxide Inhibits Growth and Induces Apoptosis through the Suppression of PI3K/AKT/MTOR/S6K1 Pathways and ROS-Mediated MAPKs Activation. Cancer Lett. 2011, 312, 178–188. [Google Scholar] [CrossRef] [PubMed]
- Hanušová, V.; Caltová, K.; Svobodová, H.; Ambrož, M.; Skarka, A.; Murínová, N.; Králová, V.; Tomšík, P.; Skálová, L. The Effects of β-Caryophyllene Oxide and Trans-Nerolidol on the Efficacy of Doxorubicin in Breast Cancer Cells and Breast Tumor-Bearing Mice. Biomed. Pharmacother. 2017, 95, 828–836. [Google Scholar] [CrossRef]
- Shahwar, D.; Ullah, S.; Khan, M.A.; Ahmad, N.; Saeed, A.; Ullah, S. Anticancer Activity of Cinnamon Tamala Leaf Constituents towards Human Ovarian Cancer Cells. Pak. J. Pharm. Sci. 2015, 28, 969–972. [Google Scholar] [PubMed]
- Fei, M.; Fan, W. Beta-Caryophyllene Can Inhibit the Proliferation and Autophagy of HPV16-Infected Immortalized Cervical Epithelial Cells. Eur. J. Gynaecol. Oncol. 2024, 45, 93–100. [Google Scholar]
- Li, L.; Yang, W.-T.; Zheng, P.-S.; Liu, X.-F. SOX17 Restrains Proliferation and Tumor Formation by Down-Regulating Activity of the Wnt/β-Catenin Signaling Pathway via Trans-Suppressing β-Catenin in Cervical Cancer. Cell Death Dis. 2018, 9, 741. [Google Scholar] [CrossRef]
- Badawi, N.M.; Attia, Y.M.; El-Kersh, D.M.; Hammam, O.; Khalifa, M.K.A. Investigating the Impact of Optimized Trans-Cinnamic Acid-Loaded PLGA Nanoparticles on Epithelial to Mesenchymal Transition in Breast Cancer. Int. J. Nanomed. 2022, 17, 733–750. [Google Scholar] [CrossRef]
- Poyraz, F.; Akbas, G.; Duranoglu, D.; Acar, S.; Mansuroglu, B.; Ersoz, M. Sinapic-acid-loaded nanoparticles optimized via experimental design methods: Cytotoxic, antiapoptotic, antiproliferative and antioxidant activity. ACS Omega 2024, 9, 40329–40345. [Google Scholar] [CrossRef]
- Subramanian, K.; Ponnuchamy, K. Gold nanoparticles tethered cinnamic acid: Preparation, characterization, and cytotoxic effects on MCF-7 breast cancer cell lines. Appl. Nanosci. 2018, 8, 1133–1138. [Google Scholar] [CrossRef]
- Hassan, P.; Elshamy, I.; Abo Azma, N. Anticancer effect of combined cinnamon-saffron versus its nanoparticles on oral squamous cell carcinoma cell line. Tanta Dental. J. 2024, 21, 229–236. [Google Scholar] [CrossRef]
- Li, Q.-Q.; Li, B.-L. Cinnamaldehyde and indocyanine green loaded lipid nanoparticles induced intracellular oxidative / thermal stress damage for effective cervical cancer therapy. Micro Nano Lett. 2022, 17, 175–180. [Google Scholar]
- Xu, X.; Zeng, Z.; Chen, J.; Huang, B.; Guan, Z.; Huang, Y.; Huang, Z.; Zhao, C. Tumor-targeted supramolecular catalytic nanoreactor for synergistic chemo/chemodynamic therapy via oxidative stress amplification and cascaded Fenton Reaction. Chem. Eng. J. 2020, 390, 124628. [Google Scholar] [CrossRef]
- Chang, S.; Qin, D.; Wang, L.; Zhang, M.; Yan, R.; Zhao, C. Preparation of novel cinnamaldehyde derivative-BSA nanoparticles with high stability, good cell penetrating ability and promising anticancer activity. Coll. Surfaces. A 2021, 624, 126765. [Google Scholar] [CrossRef]
- Barrera-Martinez, C.; Melendez-Ortiz, H.; Padilla-Vaca, F.; Atanase, L.; Peralta-Rodriguez, R.; Liakos, I. Dual loading of trans-cinnamaldehyde and either paclitaxel or curcumin in chitosan nanoparticles: Physicochemical characterization and biological evaluation against MDCK and HeLa cells. Polymers 2024, 16, 3087. [Google Scholar] [CrossRef] [PubMed]
- Zong, Q.; Li, S.; Xiao, X.; Du, X.; Yuan, Y. Self-amplified chain-shattering cinnamaldehyde-based poly(thioacetal) boosts cancer chemo-immunotherapy. Acta Biomater. 2022, 154, 97–107. [Google Scholar] [CrossRef]
- Alkhatib, M.H.; Alghamdi, R.S.; Balamash, K.S.; Khojah, S.M. Cinnamon Oil Nanoemulsion as a Novel Nanocarrier for Bleomycin Amplifies Its Apoptotic Effect on SKOV-3 Ovarian Cancer Cells. Indian J. Exp. Biol. 2022, 59, 10. [Google Scholar]
- Xu, X.; Li, Q.; Dong, W.; Zhao, G.; Lu, Y.; Huang, X.; Liang, X. Cinnamon Cassia Oil Chitosan Nanoparticles: Physicochemical Properties and Anti-Breast Cancer Activity. Int. J. Biol. Macromol. 2023, 224, 1065–1078. [Google Scholar] [CrossRef]
- Di Sotto, A.; Paolicelli, P.; Nardoni, M.; Abete, L.; Garzoli, S.; Di Giacomo, S.; Mazzanti, G.; Ma, C.; Petralito, S. SPC Liposomes as Possible Delivery Systems for Improving Bioavailability of the Natural Sesquiterpene β-Caryophyllene: Lamellarity and Drug-Loading as Key Features for a Rational Drug Delivery Design. Pharmaceutics 2018, 10, 274. [Google Scholar] [CrossRef]
- Wojtowciz, W.; Wrobel, A.; Pyziak, K.; Tarkowski, R.; Balcerzak, A.; Bebenek, M.; Mlynarz, P. Evaluation of MDA-MB-468 cell culture media analysis in predicting triple-negative breast cancer patient sera metabolic profiles. Metabolites 2020, 10, 173. [Google Scholar] [CrossRef]
- Imani, S.; Alizadeh, A.; Tabibiazar, M.; Hamishekar, H.; Roufergarinejad, L. Nanoliposomal co-encapsulation of cinnamon extract and zein hydrosylates with synergistic antioxidant activity for nutraceutical applications. Chem. Pap. 2022, 76, 2059–2069. [Google Scholar] [CrossRef]
- Sabouri, Z.; Shakour, N.; Sabouri, M.; Moghaddas, S.S.T.H. Biochemical, structural characterization and assessing biological effects of cinnamon nanoparticles. Biotechnol. Bioprocess Eng. 2024, 29, 165–175. [Google Scholar] [CrossRef]
- Aliyah, A.N.; Lintangsari, G.; Maran, G.G.; Hermawan, A.; Meiyanto, E. Cinnamon Oil as a Co-Chemotherapy Agent through Inhibition of Cell Migration and MMP-9 Expression on 4T1 Cells. J. Altern. Complement. Med. 2021, 19, 921–928. [Google Scholar] [CrossRef]
- Sandamali, J.A.N.; Hewawasam, R.P.; Jayatilaka, K.A.P.W.; Mudduwa, L.K.B. Cinnamomum zeylanicum Blume (Ceylon Cinnamon) Bark Extract Attenuates Doxorubicin Induced Cardiotoxicity in Wistar Rats. Saudi Pharm. J. 2021, 29, 820–832. [Google Scholar] [CrossRef] [PubMed]
- Sun, Z.; Zhou, D.; Yang, J.; Zhang, D. Doxorubicin Promotes Breast Cancer Cell Migration and Invasion via DCAF13. FEBS Open Bio. 2021, 12, 221–230. [Google Scholar] [CrossRef] [PubMed]
- Augoff, K.; Hryniewicz-Jankowska, A.; Tabola, R.; Stach, K. MMP9: A Tough Target for Targeted Therapy for Cancer. Cancers 2022, 14, 1847. [Google Scholar] [CrossRef]
- Park, D.; Park, S.; Kim, J.-C. In vitro anti-cancer efficacy and cellular interaction of cubic phases of containing cinnamic acid, poly(ethyleneimine) and doxorubicin. Biotechnol. Bioprocess Eng. 2020, 25, 235–245. [Google Scholar] [CrossRef]
- Kostrhunova, H.; Zajac, J.; Markova, L.; Brabec, V.; Kasparkova, J. A multi-action Pt-IV conjugate with oleate and cinnamate ligands targets human epithelial growth factor receptor HER2 in aggressive breast cancer cells. Angew. Chem. Int. Ed. 2020, 59, 21157–21162. [Google Scholar] [CrossRef]
- Islam, S.; Aboussekhra, A. Sequential combination of cisplatin with eugenol targets ovarian cancer stem cells through Notch-Hes1 signalling pathway. J. Exp. Clin. Cancer Res. 2019, 38, 382. [Google Scholar] [CrossRef] [PubMed]
- Di Giacomo, S.; Di Sotto, A.; Mazzanti, G.; Wink, M. Chemosensitizing properties of β-Caryophyllene and β-Caryophyllene oxide in combination with doxorubicin in human cancer cells. Anticancer Res. 2017, 37, 1191–1196. [Google Scholar]
- Mohamed, S.; Helmy, M.; Mahmoud, H.; Embaby, A.; Haroun, M.; Sabra, S.A. Cinnamaldehyde/naringin co-loaded into lactoferrin/casienate-coated zein. J. Drug Del. Sci. Technol. 2024, 96, 105688. [Google Scholar] [CrossRef]
- Anselmo, D.B.; Polaquini, C.; Marques, B.; Ayusso, G.; Assis, L.; Torrezan, G.; Rahal, P.; Fachin, A.; Calmon, M.; Marins, M.; et al. Curcumin-cinnamaldehdye hybrids as antiproliferative agents against women’s cancer cells. Med. Chem. Res. 2021, 30, 2007–2015. [Google Scholar]
- Namboothiri, V.; Palakkezhillam, V.; Haribabu, J.; Kumar, V.; Manakkadan, V.; Rasin, P.; Muena, J.P.; Dharmasivam, M.; Sreekanth, A. Cinnamaldehyde-derived thiosemicarbazone ligands: Analysis combining in silico and in vitro approaches. ACS Appl. Bio Mater. 2024, 7, 5622–5639. [Google Scholar]
- Bulakowska, A.; Slawinski, J.; Halasa, R.; Hering, A.; Gucwa, M.; Ochocka, J.; Stefanowicz-Hajduk, J. An in vitro antimicrobial, anticancer and antioxidant activity of N-[(2-arylmethylthio)phenylsulfonyl] cinnamamide derivatives. Molecules 2023, 28, 3087. [Google Scholar] [CrossRef] [PubMed]
- O’Neill, P.; Barton, V.; Ward, S. The molecular mechanism of action of artemisinin—The debate continues. Molecules 2010, 15, 1705–1721. [Google Scholar] [CrossRef] [PubMed]
- Xu, C.-C.; Deng, T.; Fan, M.-L.; Lv, W.-B.; Liu, J.-H.; Yu, B.-Y. Synthesis and in vitro antitumor evaluation of dihydroartemesisinin-cinnamic ester derivatives. Eur. J. Med. Chem. 2016, 107, 192–203. [Google Scholar] [CrossRef] [PubMed]
- Abourehab, M.; Alqahtani, A.; Almalki, F.; Abdalla, A.; Gouda, A.M. Pyrrolizine/indolizine-cinnamaldehyde Schiff bases: Design, synthesis, biological evaluation, ADME, molecular docking study. Eur. J. Med. Chem. Rep. 2022, 4, 100036. [Google Scholar] [CrossRef]
- Wang, S.R.; Yang, W.; Fan, Y.; Dehaen, W.; Li, Y.; Li, H.; Wang, W.; Zheng, Q.; Huai, Q. Design and synthesis of the novel oleanolic acid-cinnamic acid ester derivatives and glycyrrhetinic acid-cinnamic acid derivatives with cytotoxic properties. Bioorg. Chem. 2019, 88, 102951. [Google Scholar] [CrossRef]
- Reddy, N.D.; Shoja, M.H.; Biswas, S.; Nayak, P.G.; Kumar, N.; Rao, C.M. An appraisal of cinnamyl sulfonamide hydroxamate derivatives (HDAC inhibitors) for anti-cancer, anti-angiogenic and anti-metastatic activities in human cancer cells. Chem. Biol. Interact. 2016, 253, 112–124. [Google Scholar] [CrossRef]
- Pavić, K.; Perković, I.; Gilja, P.; Kozlina, F.; Ester, K.; Kralj, M.; Schols, D.; Hadjipavlou-Litina, D.; Ponitiki, E.; Zorc, B. Design, synthesis and biological evaluation of novel primaquine cinnamic acid conjugates of the amide and acylsemicarbazide type. Molecules 2016, 21, 1629. [Google Scholar] [CrossRef]
- Çalişkan, E.; Özturk, D.; Koran, K.; Tekin, S.; Sandal, S.; Erkan, S.; Gorgulu, A.; Çetin, A. Synthesis of new cinnamoyl-amino acid conjugates and in vitro cytotoxicity and genotoxicity studies. Chem. Biodivers. 2022, 19, e202200426. [Google Scholar] [CrossRef]
- Ventura-Salzar, I.; Palacios-Can, F.; Gonzalez-Maya, L.; Sanchez-Carranza, J.; Antunez-Mojica, M.; Razo-Hernandez, R.; Alvarez, L. Finding a novel chalcone-cinnamic acid chimeric compound with antiproliferative activity against MCF-7 cell line using Free-Wilson type approach. Molecules 2023, 28, 5486. [Google Scholar] [CrossRef] [PubMed]
- Ogunalakin, A.; Sonibare, M.; Yeye, O.; Jabeen, A.; Shah, S.; Ojo, O.; Gyebi, G.; Ayokunle, D. Design, synthesis and characterization of cinnamic acid derivatives with two novel acrylohydrazones on HeLa and CHO-1 cancer cell lines: The experimental and computational perspective. Chem. Afr. 2023, 7, 583–604. [Google Scholar] [CrossRef]
- Aggarwal, S.; Bhadana, K.; Singh, B.; Rawat, M.; Mohammad, T.; Al-Keridis, L.A.; Alshammari, N.; Hassan, M.I.; Das, S.N. Cinnamomum Zeylanicum Extract and Its Bioactive Component Cinnamaldehyde Show Anti-Tumor Effects via Inhibition of Multiple Cellular Pathways. Front. Pharmacol. 2022, 13, 918479. [Google Scholar] [CrossRef] [PubMed]








Disclaimer/Publisher’s Note: The statements, opinions and data contained in all publications are solely those of the individual author(s) and contributor(s) and not of MDPI and/or the editor(s). MDPI and/or the editor(s) disclaim responsibility for any injury to people or property resulting from any ideas, methods, instructions or products referred to in the content. |
© 2025 by the authors. Licensee MDPI, Basel, Switzerland. This article is an open access article distributed under the terms and conditions of the Creative Commons Attribution (CC BY) license (https://creativecommons.org/licenses/by/4.0/).
Share and Cite
Biggs, M.A.; Banerjee, I.A. Targeting Breast and Gynecologic Cancers: The Role of Natural Products with Emphasis on Cinnamon and Its Derivatives—Advances in Nanoscale Therapeutics and Adjuvant Strategies. Macromol 2025, 5, 13. https://doi.org/10.3390/macromol5010013
Biggs MA, Banerjee IA. Targeting Breast and Gynecologic Cancers: The Role of Natural Products with Emphasis on Cinnamon and Its Derivatives—Advances in Nanoscale Therapeutics and Adjuvant Strategies. Macromol. 2025; 5(1):13. https://doi.org/10.3390/macromol5010013
Chicago/Turabian StyleBiggs, Mary A., and Ipsita A. Banerjee. 2025. "Targeting Breast and Gynecologic Cancers: The Role of Natural Products with Emphasis on Cinnamon and Its Derivatives—Advances in Nanoscale Therapeutics and Adjuvant Strategies" Macromol 5, no. 1: 13. https://doi.org/10.3390/macromol5010013
APA StyleBiggs, M. A., & Banerjee, I. A. (2025). Targeting Breast and Gynecologic Cancers: The Role of Natural Products with Emphasis on Cinnamon and Its Derivatives—Advances in Nanoscale Therapeutics and Adjuvant Strategies. Macromol, 5(1), 13. https://doi.org/10.3390/macromol5010013

